Multivalent ions influence on electrical properties of tungsten (VI) oxide particles surface in hydrosols
- Authors: Vezo O.S.1, Voitylov A.V.1, Vojtylov V.V.1, Ermakova L.E.1, Petrov M.P.1, Trusov A.A.1
-
Affiliations:
- Санкт-Петербургский государственный университет
- Issue: Vol 86, No 6 (2024)
- Pages: 700-708
- Section: Articles
- Submitted: 20.02.2025
- Accepted: 20.02.2025
- Published: 15.11.2024
- URL: https://medbiosci.ru/0023-2912/article/view/280783
- DOI: https://doi.org/10.31857/S0023291224060034
- EDN: https://elibrary.ru/VLQYTQ
- ID: 280783
Cite item
Full Text
Abstract
In this work, electro–optical and electrophoretic studies of hydrosols containing tungsten (VI) oxide nanoparticles were carried out. The influence of multivalent ions (tetravalent thorium cation and trivalent lanthanum cation) on the zeta potential and polarizability of tungsten (VI) oxide particles was determined. The dispersion dependences of the polarizability of tungsten (VI) oxide particles have been studied. A strong dependence of the electrokinetic potential and a weak dependence of the polarizability of particles on the concentration of thorium and lanthanum cations in the sol were observed. The polarizability of particles was low and weakly depended on the frequency of the field which polarizes the particles. This is not typical for colloidal particles, the thickness of the dense part of the electrical double layer of which is comparable with the size of the molecules, and the polarization of the electrical double layer is determined by its diffuse part. The results obtained allowed us to conclude that for tungsten (VI) oxide particles in the studied concentration range, the predominant fraction of multiply charged counterions is located in the dense part of the electrical double layer, which is associated with their high adsorption potentials.
Full Text
ВВЕДЕНИЕ
Наночастицы и пленки, состоящие из оксидов переходных металлов, представляют большой научный интерес, а область их практического использования постоянно расширяется [1–6]. Надмолекулярные структуры таких соединений имеют широкие перспективы использования в индустрии сверхпроводимости, микроэлектроники, фотокатализа и фотоники [7–9]. Процесс их образования характеризуется несколькими степенями окисления. Получаемые стабильные соединения металлов обладают рядом уникальных свойств, которые позволяют получать новые наноматериалы. Ярким представителем оксидов металлов является триоксид вольфрама, обладающий полупроводниковыми свойствами [10, 11], зависящими от способа его получения [12–15]. Формы оксида можно представить общим соотношением WO3·nH2O [16, 17]. В большинстве случаев n принимает целое значение 1 или 2, но для коллоидных частиц возможны и иные среднестатистические значения n [9, 18–21]. Плотная часть двойного электрического слоя (ДЭС) частиц WO3, как и других оксидов, изучена достаточно подробно [22, 23]. Диффузная часть ДЭС частиц, оказывающая существенное влияние на устойчивость золей, изучена в существенно меньшей степени. Ранее была исследована адсорбция на поверхности частиц и пленок WO3 потенциалопределяющих ионов в зависимости от pH и 1 : 1 валентных ионов фоновых водных электролитов [24]. Были определены пороги коагуляции в присутствии многовалентных ионов в гидрозолях WO3 [25].
Целью данной работы было изучение поляризуемости частиц WO3 в водных растворах электролитов. На нее существенное влияние оказывает диффузная часть ДЭС частиц. Определение влияния ионного состава дисперсионной среды на их поляризуемость и ее зависимость от частоты поляризующего частицу поля позволяет изучать электрические свойства поверхностного слоя частиц.
ТЕХНИКА И МЕТОДИКА ЭКСПЕРИМЕНТА
Экспериментальные исследования гидрозолей c частицами WO3 проводились электрооптическим (ЭО) и электрофоретическим методами. Поскольку ЭО метод используется нечасто, то ниже представлено краткое описание особенностей ЭО методики, использованных в проведенных исследованиях.
Электрооптическая методика
Электрооптические методы исследования золей относятся к классу электроориентационных методов, в которых внешним электрическим полем создается ориентационная упорядоченность несферических частиц, макромолекул, агрегатов, конгломератов и иных образований, способных менять оптические свойства исследуемой дисперсной системы (ДС). При ориентации частиц дисперсной системы появляется ее анизотропия (АДС – анизотропия дисперсной системы), которая обладает осевой симметрией. Пусть величина A, характеризующая ДС, становится зависимой от направления при приложении к системе электрического поля (к таким величинам можно отнести показатели светопреломления и светопоглощения, диэлектрическую проницаемость, электропроводность и некоторые другие величины). Обозначим значения A вдоль и перпендикулярно полю и , соответственно, а А0 – ее значение в отсутствие поля. Если и – главные элементы тензора второго ранга, то обобщая формулы, полученные для показателя преломления жидких кристаллов [26], можно написать:
(1)
и
. (2)
Здесь разность соответствует полной ориентации частиц вдоль поля, S – степень ориентационной упорядоченности частиц в ДС, которую можно представить соотношением
, (3)
в котором – функция распределения частиц по углам между напряженностью поля и осью ориентации частиц вдоль поля.
Как можно видеть, если справедливы соотношения (1) и (2), то
. (4)
При установившейся под действием электрического поля ориентационной упорядоченности частиц W(θ) – это распределение Больцмана. Оно определяется отношением потенциальной энергии частиц в поле к энергии броуновского движения. В процессе релаксации АДС, наблюдаемой после выключения поля, значение W(θ) зависит от произведения констант вращательной диффузии частиц на время наблюдения. В процессе нарастания АДС, начавшейся после приложения поля, W(θ) зависит от времени, напряженности поля, поляризуемости, постоянного дипольного момента частиц и их констант вращательной диффузии. Изучая зависимости величины АДС от напряженности поля, можно определять дипольные моменты частиц, исследовать их поляризуемость и ее зависимость от электроповерхностных свойств частиц. Изучая зависимости АДС от времени в процессе перехода от упорядоченной ориентации частиц к хаотической, можно определять коэффициенты вращательной диффузии частиц.
В данной работе экспериментально определялись интенсивности света и , прошедшего сквозь золь и поляризованного вдоль и ортогонально полю при воздействии на золь электрическим полем, и интенсивность света J0 без воздействия поля. Для золей с малыми частицами, рассеивающими свет как отдельные диполи, изменения интенсивностей и связаны с дихроизмом, обусловленным как поглощением, так и рассеянием света, а их отношение определяется формулой (4). Если в золе содержатся более крупные частицы, рассеяние света которыми носит более сложный характер, результаты измерений не могут быть описаны формулой (4). В этом случае изменения интенсивностей и содержат составляющую Δ J, одинаковую для обеих поляризаций света. Величина N, представленная соотношением
, (5)
не содержит Δ J. Она определяет дихроизм золей, содержащих как малые, так и большие частицы. Учитывая применимость соотношения (4) в случае дихроизма, отношение Δ J / J0 можно рассчитать по формуле
.
В полидисперсных системах с низкой концентрацией частиц, при которой частицы рассеивают свет однократно, максимальная величина дихроизма Nmax, наблюдаемая при полной ориентации частиц вдоль поля, связана с функцией φ(r) распределения частиц по размерам r соотношением [27]
,
в котором a и b определяют минимальное и максимальное значения r, а ΔK – дихроический вес, который определяет вклад частиц с размером r в дихроизм Nmax. Здесь мы полагаем, что нормировка φ(r) определяется соотношением
.
Зависимость N(t) при релаксации из состояния полной ориентации частиц определяется соотношением [27]
, (6)
в котором t – это время после начала релаксации, Dr(r) – зависимость коэффициента вращательной диффузии частиц от их размеров,
,
η – вязкость дисперсионной среды, kB – постоянная Больцмана, T – абсолютная температура. При установившейся в поле ориентации частиц зависимость N от напряженности поля E определяется соотношением [27]
, (7)
в котором ориентационную упорядоченность частиц , учитывая (3), можно представить соотношением
, (8)
где Δγ – анизотропия поляризуемости частиц, которая определяется как разность значений поляризуемости вдоль линии ориентации частицы и среднего значения, перпендикулярного ей, а φ(Δγ) – функция распределения частиц по значениям Δγ,
,
где c и d определяют минимальное и максимальное значения Δγ.
Соотношение (7) справедливо, если E – напряженность переменного поля достаточно высоких частот, при которых постоянный дипольный момент частиц, наблюдаемый в полярных средах [28], не влияет на ориентацию частиц. Определяя экспериментально зависимости N(t) и N(E), можно рассчитать функции распределения частиц с дихроическим весом и как численные решения интегральных уравнений (6) и (7) [29]. Если при определении N измерения проводить в белом свете, а размеры частиц r соизмеримы с длинами волн падающего света, то можно полагать, что в уравнении (6) ΔK меняется пропорционально r2 [27]. Для таких частиц ΔK меняется пропорционально (Δγ)2/3, так как значения поляризуемости пропорциональны r3 [30]. Во всей области размеров частиц, влияющих на дихроизм, допустимо полагать, в соответствии с теорией светорассеяния Ми [31], что для белого света ΔK меняется пропорционально rp. Расчеты показывают, что для частиц с показателем преломления, близким к 2, и не являющихся сильно вытянутыми или сплюснутыми p = 5.3 при 15 < r < 50 нм; p = 2 при 80 < r < 200 нм; p = 0.6 при 250 < r < 400 нм.
Следует заметить, что при образовании даже малого количества агрегатов из частиц существенно меняются зависимости N(t) и N(E), что позволяет использовать эти зависимости при контроле неизменности дисперсных систем [32].
Повышение концентрации ионов в золе приводит к повышению его электропроводности и, как следствие, нагреванию в электрическом поле. В золях с высокой электропроводностью допустимо экспериментальное определение N(E) только в полях малой величины. В этом случае можно определить только среднее значение анизотропии поляризуемости частиц
,
которое связано с экспериментально определяемой зависимостью N(E) соотношением [33]
, (9)
справедливым при малых значения поля Е. Значение Nmax, входящее в (9), можно экспериментально определить при низких концентрациях электролита, при которых полная ориентация частиц вдоль сильного поля может быть получена без разрушения системы.
Среднее значение анизотропии поляризуемости ⟨Δγ⟩ можно выразить из экспериментально полученных значений величины дихроизма N из формулы (9):
. (10)
При проведении ЭО измерений тонкий пучок белого неполяризованного света пропускался между плоскими электродами кюветы через прозрачные окна, которые не меняли поляризации света. Кювета была заполнена исследуемым золем, к которому между электродами прикладывались импульсы поля. Прошедший кювету световой пучок разбивался на два пучка равной интенсивности, линейно поляризованных вдоль и перпендикулярно полю. Измерялись интенсивности и этих пучков, во время и после приложения поля к золю, а также интенсивность J0 прошедшего света при хаотической ориентации частиц. Оптическая часть экспериментальной установки, использованной для электрооптических измерений [34], представлена на рис. 1.
Рис. 1. Оптическая часть экспериментальной установки. S – источник белого неполяризованного света, L – длиннофокусная линза, C – кювета с плоскопараллельными электродами, к которым прикладывается электрическое поле, P – поляризационная призма, PhD1 и PhD2 – фотоприемники.
Определение ζ-потенциала
При определении ζ-потенциала была использована микроэлектрофоретическая методика, позволяющая проводить прямые наблюдения движения частиц. В исследованиях использована ячейка Абрамсона, плоские поверхности которой были расположены горизонтально. Измерения скорости частиц проводились в темном поле микроскопа на стандартных уровнях. Расчет ζ-потенциала частиц проводился по формуле Гельмгольца-Смолуховского.
В области малых значений ζ-потенциала частиц исследуемые золи WO3 теряли устойчивость, а электрофоретические подвижности частиц и агрегатов могли существенно различаться.
Определение объемной доли частиц
При исследованиях систем с низкой агрегативной устойчивостью требовались малые концентрации частиц в них. В исследованных золях объемная доля частиц Θ не превышала сотой доли процента. Расчет в золях при столь малой их концентрации частиц проводился по формуле
,
в которой ρ0, ρ и ρp – плотности дисперсионной среды, дисперсной системы и частиц соответственно. Для частиц WO3 было выбрано значение ρp = 7.4 г/см3 [35]. Значения ρ0 и определялись экспериментально при использовании плотномера DMA 5000M, разрешающая способность которого 1 мкг/см3.
Определение электропроводности и рH золей
Измерения проводились при температуре 25оC. Точность определения рH составляла 0.1, а электропроводности – 0.1 мкС/см. Измерения проводились кондуктометром и рH-метром HANNA HI98308 и HI98129.
Поддержание однородности системы
При приготовлении исследуемых систем и поддержании их неизменности был использован ультразвуковой диспергатор SH-350Y. Однако в ряде случаев ультразвуковая обработка систем, наоборот, приводила к образованию агрегатов из частиц.
СИСТЕМЫ ДЛЯ ИССЛЕДОВАНИЯ
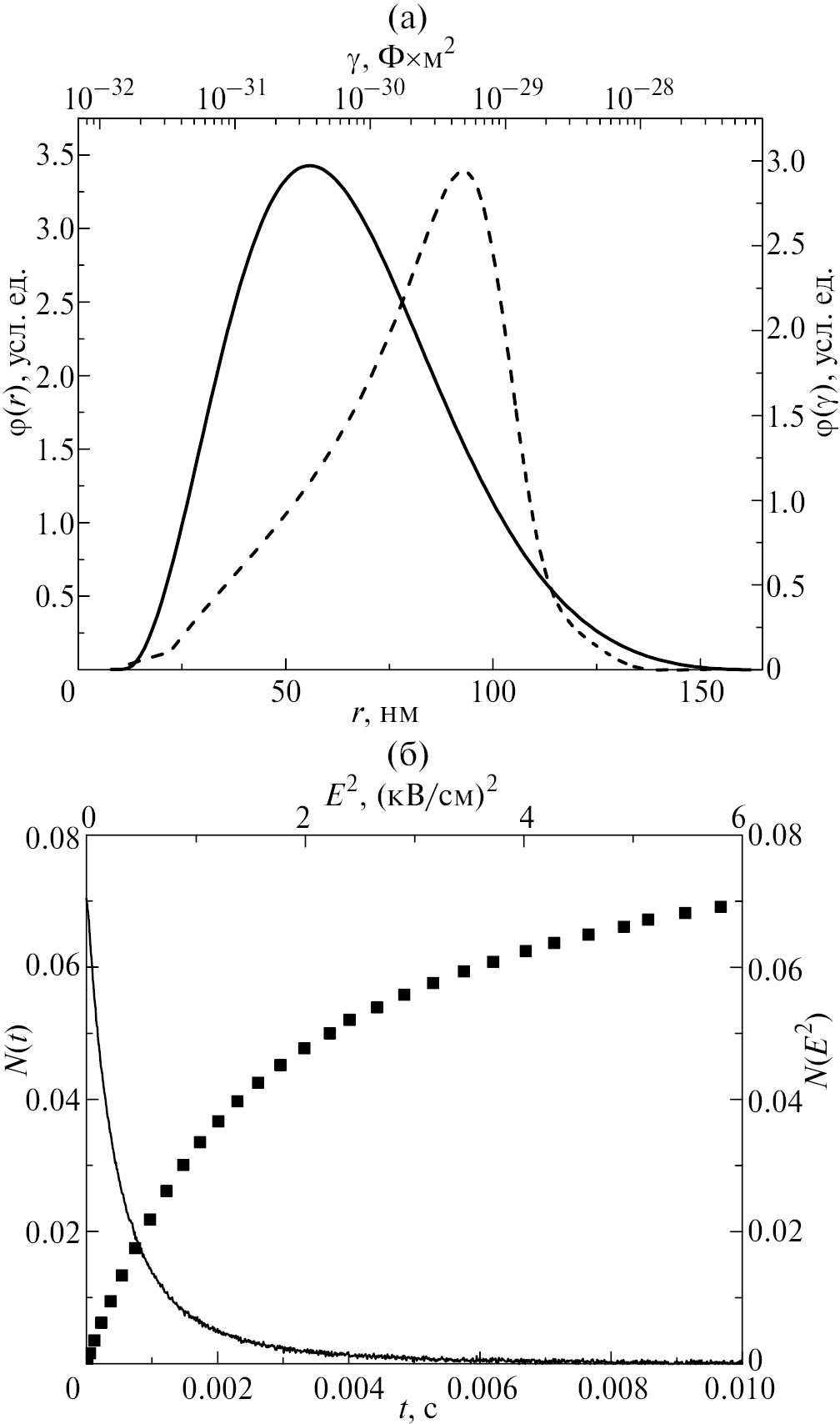
Для исследованных систем в качестве дисперсной фазы был использован порошок с частицами оксида вольфрама (VI) класса (ч). Электрические свойства поверхностного слоя частиц и пленок оксида вольфрама (VI) ранее исследовались в водных растворах электролитов при низких значениях pH и высоких концентрациях ионов фоновых электролитов [24]. Частицы имели высокую степень кристалличности, а побочные добавки в них (Zn, Mg, Te, Ti, Cr, Cu) не превышали 0.01 об. % [24]. Размеры основной доли частиц в порошке лежали в диапазоне 50–500 нм. В данной работе с целью очистки дисперсной фазы от возможных примесей и избавления от наиболее крупных и мелких частиц была приготовлена суспензия в дистиллированной воде, которая после звуковой обработки отстаивалась в течение двух часов, затем верхний слой суспензии отделялся от осадка и центрифугировался. Данный цикл процедур повторялся насколько раз. Для фракционирования частиц по размерам водная суспензия с объемной концентрацией очищенной дисперсной фазы оксида вольфрама менее 0.1 об. % отстаивалась в течение недели. Верхний слой отстаиваемой суспензии, практически прозрачный, содержал слабо рассеивающие свет малые частицы. Средний слой отстаиваемой суспензии был использован для исследований как исходный образец. Объемная доля частиц Θ в нем определялась по рассмотренной выше методике, связанной с определением плотности исходного образца и частиц дисперсной фазы. Она составляла 1.27.10–5. Золи для исследований были получены разбавлением исходного образца в 25 раз. Их рH и электропроводность K составляли 6.85 и 0.4–0.5 мкС/см, соответственно. Золи, не содержавшие добавочный электролит, не меняли свои оптические и электрооптические свойства (константа экстинкции, величина эффекта Nmax, зависимости N(t) и N(E)), что позволяло считать их агрегативно устойчивыми при проведении эксперимента. При электрооптических исследованиях этих золей отношение изменений интенсивности было равно – 1.5. Величина Δ J / J0 составляла 6% от N. Это указывало на наличие в золях крупных частиц, которые не рассеивают свет как отдельные диполи. Однако их доля не была велика. Функции распределения частиц по размерам и значениям анизотропии поляризуемости φ(r) и φ(Δγ) в разбавленном золе определены как решения уравнений (6) и (7). Эти функции, а также зависимости, зависимости N(t) и N(E), использованные при расчетах φ(r) и φ(Δγ), представлены на рис. 2.
Рис. 2. Функции распределения (а) φ(r) – сплошная и φ(Δγ) – штрих и зависимости, (б) N(t) – сплошная и N(E) – квадраты для золя WO3 без добавленного электролита.
Добавление электролитов к золям, полученным разбавлением исходного образца, для которых объемная доля частиц составляла Θ = 0.5 ⋅ 10−6, снижало их устойчивость, что осложняло исследования, но не делало их невозможными. При значениях | ζ | < +20 мВ электрооптические и электрофоретические измерения золя с заданной концентрацией электролита следовало проводить за промежуток времени, не превышающий нескольких минут после звуковой обработки и встряхивания золя.
ВЛИЯНИЕ КАТИОНОВ Th4+ И La3+ НА ПОЛЯРИЗУЕМОСТЬ И ζ-ПОТЕНЦИАЛ НАНОЧАСТИЦ WO3
Для золей, полученных из исходного разбавлением и содержащих электролиты Th(NO3)4, La(NO3)3, определялись значения ζ-потенциала при использовании формулы Гельмгольца–Смолуховского, средние значения анизотропии поляризуемости частиц ⟨Δγ⟩ при использовании формулы (10) и зависимости ⟨Δγ⟩ от частоты приложенного к золю поля. Значения определялись в области малых напряженностей поля Е, при которых N < 0.05 Nmax, зависимость N(E2) были линейной, а золи не нагревались электрическим полем. Для электролитов Th(NO3)4 и La(NO3)3, при их малой концентрации в золях, отвечающих отрицательным значениям ζ, значения ζ и ⟨Δγ⟩ зависели не от абсолютных концентраций электролитов, а от их отношений к объемной доле частиц. Это указывало на адсорбцию на поверхности частиц практически всех ионов Th4+ и La3+ в золе. Представленные ниже значения ζ и ⟨Δγ⟩ при разных концентрациях электролита Th(NO3)4 в золе соответствуют объемной доле частиц Θ = 0.5 ⋅ 10−6. Зависимости ζ и ⟨Δγ⟩ от концентрации Th(NO3)4 в золе представлены на рис. 3. На рис. 4 представлены зависимости ⟨Δγ⟩ от частоты поля при разных концентрациях этого электролита. Результаты аналогичных исследований для электролита La(NO3)3 представлены на рис. 5 и 6. Погрешность определения ⟨Δγ⟩ не превышала 2%. Погрешность определения ζ-потенциала при | ζ | < 20 мВ не превышала 15%, а при | ζ | > 20 мВ не превышала 5%.
Рис. 3. Зависимости ⟨Δγ⟩ (квадраты) при частоте поля 10 кГц и ζ (пустые круги) частиц от концентрации C электролита Th(NO3)4 в золях WO3 при Θ = 0.5 ⋅ 10−6.
Рис. 4. Частотные зависимости ⟨Δγ⟩ в золях WO3 при Θ = 0.5 ⋅ 10−6. Концентрации (в μмоль/л) водных электролитов Th(NO3)4 в золях WO3: С0 – 0.0; С1 – 0.02; С2 – 0.05; С3 – 0.1; С4–0.3; С5–2.0; С6 – 3.0; С7 – 6.0; С8 – 10.0; С9 – 30.0.
Рис. 5. Зависимости ⟨Δγ⟩ (квадраты) при частоте поля 10 кГц и ζ (пустые круги) частиц от концентрации C электролита La(NO3)3 в золях WO3 при Θ = 0.5 ⋅ 10−6.
Рис. 6. Частотные зависимости ⟨Δγ⟩ в золях WO3 при Θ = 0.5 ⋅ 10−6. Концентрации (в μмоль/л) водных электролитов La(NO3)3 в золях: С1 – 0.01; С2 – 0.05; С3 – 0.1; С4 – 10.0; С5 – 100.
Значения pH и электропроводности золя без добавочного электролита составляли 6.8 и 0.4 мкС/см. Увеличение концентрации электролитов приводило к монотонному уменьшению pH и увеличению электропроводности золей пропорционально изменению концентрации электролита. Значения pH составляли 5.8 при концентрации 0.1 ммоль/л электролита Th(NO3)4 и 6.0 при концентрации 1.0 ммоль/л электролита La(NO3)3. Значения электропроводности золей составляли 75 мкС/см при концентрации Th(NO3)4 0.1 ммоль/л и 357 мкС/см при концентрации La(NO3)3 1.0 ммоль/л. Отметим, что во всех исследованных системах частицы оксида вольфрама были заряжены отрицательно [24]. Изменения pH были малы и существенно не влияли на значения ζ и ⟨Δγ⟩. Зависимости анизотропии и средних значений поляризуемости частиц от концентрации электролитов, также как и от частоты поляризующего частицу поля, подобны. Это связано с тем, что анизотропия поляризуемости частиц WO3 определяется разностью главных элементов тензора поляризуемости частиц, а ее среднее значение – полусуммой главных элементов тензора поляризуемости частиц, которые одинаково зависят от концентрации ионов и частоты поля. Это позволят основные выводы, полученные для анизотропии поляризуемости, отнести также и к поляризуемости частиц.
Как следует из теории поляризуемости коллоидных частиц [30], толщина слоя Штерна (расстояние от поверхности до внутренней плоскости Гельмгольца) которых много меньше дебаевского радиуса экранирования и диффузная часть ДЭС хорошо развита, она вносит основной вклад в поляризуемость частиц. ЭО исследования ряда водных суспензий показали, что поляризуемость частиц может спадать в несколько раз при увеличении частоты поля [36, 37]. Так, для частиц алмаза в водных растворах электролитов ⟨Δγ⟩ может меняться на десятичный порядок и более, а её минимум наблюдается в области частот 0.1–1 MГц, в которой диффузная часть ДЭС перестает поляризоваться [33]. Наименьшие значения ⟨Δγ⟩ наблюдаются в области, близкой к изоэлектрической точке (ИЭТ).
В исследованных золях WO3 изменения ⟨Δγ⟩ иные, так как ионы высокой валентности (Th4+ и La3+), даже при очень малых их концентрациях в золях и слабо меняют поляризуемость частиц, величина которой мала и близка к значению, определяемому поляризацией вещества частиц. Как видно из рис. 4 и 6, наиболее существенные изменения ⟨Δγ⟩ в золях WO3 наблюдаются при частоте 10 кГц, отвечающей области дисперсии диффузионного слоя частиц. Этот слой слабо связан с частицей, но может менять электрическое поле, вращающее частицы. Дисперсионные зависимости поляризуемости в золях WO3 также слабо выражены. Наибольшее изменение ⟨Δγ⟩ при повышении частоты поля наблюдается в золях WO3, содержащих незначительные добавки ионов Th4+, оно составляет менее 35%. Повышение концентрации Th4+ и La3+ приводит к изменению ⟨Δγ⟩ не более, чем на 10% при повышении частоты поля в области 10 кГц – 1 MГц. Такие изменения указывают на то, что дисперсия поляризации ДЭС слабо влияет на частотную зависимость поляризуемости частиц, что не типично для большинства гидрозолей.
Наиболее существенное влияние электролитов на величины ζ и ⟨Δγ⟩ наблюдается после изменения знака электрокинетического потенциала, как видно из рис. 3 и 5. Такое изменение связано высокими адсорбционными потенциалами многозарядных противоионов, что приводит к их сверхэквивалентной адсорбции в Штерновском слое [22]. Отметим, что увеличение заряда противоиона приводит к смещению положения ИЭТ от 1 до 0.5 μмоль/л. При переходе ζ через ИЭТ по мере роста концентрации электролита происходит и изменение знака заряда диффузного слоя от положительных значений к отрицательным. По-видимому, при ζ > 0 многозарядные ионы в диффузной части ДЭС практически отсутствуют. Полученные экспериментальные зависимости указывают на то, что в исследованных системах преобладающая часть противоионов находится в плотной части ДЭС, имеет в нем малые коэффициенты диффузии и не влияет на поляризацию частиц в переменном электрическом поле.
ВЫВОДЫ
- Электрокинетический потенциал и поляризуемость частиц WO3 в гидрозолях WO3 определяются отношением концентрации многовалентных ионов в золе к объемной доле в них частиц при низкой концентрации электролита. Это указывает на то, что многовалентные ионы при низкой их концентрации практически полностью адсорбируются частицами.
- Определенные электрооптическим методом значения анизотропии поляризуемости частиц слабо зависят от концентрации электролита в золях. Их значения малы и близки к значениям, соответствующим анизотропии поляризуемости частиц, не обладающих двойным электрическим слоем. Это указывает на малую долю подвижных ионов в двойном электрическом слое частиц, способных влиять на поляризуемость и анизотропию поляризуемости этих частиц.
- Наблюдается слабая зависимость поляризуемости частиц от частоты электрического поля в области частот до 10 кГц и практически ее отсутствие в области частот более 50 кГц, в которой должна наблюдаться дисперсия диффузной части ДЭС. Это указывает на то, что диффузная часть ДЭС частиц слабо выражена.
БЛАГОДАРНОСТЬ
Исследование частиц и их поверхности проводилось с использованием оборудования Научного парка СПбГУ в рамках проекта № АААА-А19-119091190094-6. Авторы благодарны сотрудникам Научного парка за оказанную поддержку.
ФИНАНСИРОВАНИЕ РАБОТЫ
Данная работа финансировалась за счет средств бюджета Санкт-Петербургского государственного университета. Никаких дополнительных грантов на проведение или руководство данным конкретным исследованием получено не было.
СОБЛЮДЕНИЕ ЭТИЧЕСКИХ СТАНДАРТОВ
В данной работе отсутствуют исследования человека или животных.
КОНФЛИКТ ИНТЕРЕСОВ
Авторы данной работы заявляют, что у них нет конфликта интересов.
About the authors
O. S. Vezo
Санкт-Петербургский государственный университет
Email: m.p.petrov@spbu.ru
Russian Federation, Университетская наб., 7/9, Санкт-Петербург, 199034
A. V. Voitylov
Санкт-Петербургский государственный университет
Email: m.p.petrov@spbu.ru
Russian Federation, Университетская наб., 7/9, Санкт-Петербург, 199034
V. V. Vojtylov
Санкт-Петербургский государственный университет
Email: m.p.petrov@spbu.ru
Russian Federation, Университетская наб., 7/9, Санкт-Петербург, 199034
L. E. Ermakova
Санкт-Петербургский государственный университет
Email: m.p.petrov@spbu.ru
Russian Federation, Университетская наб., 7/9, Санкт-Петербург, 199034
M. P. Petrov
Санкт-Петербургский государственный университет
Author for correspondence.
Email: m.p.petrov@spbu.ru
Russian Federation, Университетская наб., 7/9, Санкт-Петербург, 199034
A. A. Trusov
Санкт-Петербургский государственный университет
Email: m.p.petrov@spbu.ru
Russian Federation, Университетская наб., 7/9, Санкт-Петербург, 199034
References
- Патрушева Т.Н., Марченкова С.Г., Кротова И.В., Логунова Т.В., Холькин А.И. Прозрачные оксидные пленки для защиты продуктов питания от световых излучений // Химическая технология. 2020. Т. 21. № 11. С. 491–497.
- Wu C.M., Naseem S., Chou M.H., Wang J.H., Jian Y.Q. Recent advances in tungsten–oxide–based materials and their applications // Front. Mater. 2019. V. 6. P. 49. https://doi.org/10.3389/fmats.2019.00049
- Гайдук Ю.С., Савицкий А.А., Стрижаков Д.А., Реутская О.Г., Таратын И.А. Газочувствительная композиция оксида вольфрама с многостенными углеродными нанотрубками // Известия Национальной академии наук Беларуси. Серия химических наук. 2016. № 1. С. 12.
- Бахтин А.С., Любомирский Н.В., Бахтина Т.А., Николаенко В.В., Гавриш В.М. Исследования повышения фотокаталитической активности диоксида титана за счет применения оксида вольфрама (VI) // Строительство и техногенная безопасность. 2021. № 22 (74). С. 67. https://doi.org/10.37279/2413-1873-2021-22-67-78
- Wang S.J., Wang M.C., Chen S.F., Li Y.H., Shen T.S., Bor H.Y., Wei C.N. Electrical and physical characteristics of WO3/Ag/WO3 sandwich structure fabricated with magnetic–control sputtering metrology // Sensors. 2018. V. 18. № 9. P. 2803.https://doi.org/10.3390/s18092803
- Ghasemi L., Jafari H. Morphological characterization of tungsten trioxide nanopowders synthesized by sol–gel modified Pechini’s method // Mater. Res. 2017. V. 20. P. 1713. https://doi.org/10.1590/1980-5373-MR-2017-0467
- Li W., Zhang X., Chen X., Zhao Y., Wang L., Li, D., Li X., Chen M., Zhao J., Li Y. Preparation and performance of fast-response ITO/Li-NiO/Li-WO3/ITO all-solid-state electrochromic devices by evaporation metho // Mater. Lett. 2020. V. 265. P. 127464. https://doi.org/10.1016/j.matlet.2020.127464
- Dubey P., Sadanand Rai S., Pandey B.K., Dwivedi D.K. Simulation engineering of heterojunction colloidal quantum dot–solar cell using tungsten trioxide (WO3) as an electron transport layer // In Advances in VLSI, Communication, and Signal Processing: Select Proceedings of VCAS 2021. Singapore: Springer Nature Singapore. 2022. V. 911. P. 223–231. https://doi.org/10.1007/978-981-19-2631-0_20
- Mushtaq K., Chou P.M., Lai C.W. Review on the synthesis methods of nano–tungsten oxide dihydrate colloid // MATEC Web of Conferences. 2021. V. 335. P. 16. https://doi.org/10.1051/matecconf/202133503008
- Li Y.M., Hibino M., Miyayania M., Kudo T. Proton conductivity of tungsten trioxide hydrates at intermediate temperature // Solid State Ion. 2000. V. 134. № 3–4. P. 271–279. https://doi.org/10.1016/S0167-2738(00)00759-1
- Williams D.E., Aliwell S.R., Pratt K.F., Caruana D.J., Jones R.L., Cox R.A., Halsall J. Modelling the response of a tungsten oxide semiconductor as a gas sensor for the measurement of ozone // Meas. Sci. Technol. 2002. V. 13. № 6. P. 923. https://doi.org/10.1088/0957-0233/13/6/314
- Chai Y., Ha F.Y., Yam F.K., Hassan Z. Fabrication of tungsten oxide nanostructure by sol–gel method // Procedia Chem. 2016. V. 19. P. 113–118. https://doi.org/10.1016/j.proche.2016.03.123
- Ahmadian H., Tehrani F.S., Aliannezhadi M. Hydrothermal synthesis and characterization of WO3 nanostructures: effects of capping agent and pH. Materials // Research Express. 2019. V. 6. № 10. P. 105024. https://doi.org/10.1088/2053-1591/ab3826
- Zheng H., Ou J.Z., Strano M.S., Kaner R.B., Mitchell A., Kalantar‐zadeh K. Nanostructured tungsten oxide–properties, synthesis and applications // Adv. Funct. Mater. 2011. V. 21. № 12. P. 2175–2196. https://doi.org/10.1002/adfm.201002477
- Yang T., Zhang Y., Cai Y., Tian H. Effect of processing parameters on anodic nanoporous tungsten oxide film structure and porosity for hydrogen detection // J. Mater. Res. 2014. V. 29. P. 166–174. https://doi.org/10.1557/jmr.2013.369
- Александров А.В., Гаврилова Н.Н. Влияние условий синтеза на коллоидно–химические свойства гидрозолей триоксида вольфрама // Успехи в химии и химической технологии. 2013. Т. 27. № 2 (142). С. 47–55.
- Александров А.В., Гаврилова Н.Н., Назаров В.В. Синтез золей гидратированного оксида вольфрама (VI) методом пептизации // Коллоидный журнал, 2017. Т. 79. № 2. С. 115–123. https://doi.org/10.7868/S0023291217020021
- Syrek K., Zaraska L., Zych M., Sulka G.D. The effect of anodization conditions on the morphology of porous tungsten oxide layers formed in aqueous solution // J. Electroanal. Chem. // 2018. V. 29. P. 106–115. https://doi.org/10.1016/j.jelechem.2018.09.054
- Yan A., Xie C., Zeng D., Cai S., Hu M. Synthesis, formation mechanism and sensing properties of WO3 hydrate nanowire netted–spheres // Mater. Res. Bull. 2010. V. 45. № 10. P. 1541–1547. https://doi.org/10.1016/j.materresbull.2010.05.026
- Mardare C.C., Hassel A.W. Review on the versatility of tungsten oxide coatings // Phys. Status Solidi A. 2019. V. 216. № 12. P. 1900047. https://doi.org/10.1002/pssa.201900047
- Chai Y., Ha F.Y., Yam F.K., Hassan Z. Fabrication of tungsten oxide nanostructure by sol–gel method // Procedia Chem. 2016. V. 19. P. 113–118. https://doi.org/10.1016/j.proche.2016.03.123
- Lyklema J. The electrical double layer on oxides // Croatica Chemica Acta, 1971. V. 43. №. 4. P. 249–260.
- Lyklema J., Fokkink L.G. J., De Keizer A. Interfacial electrochemistry of oxides: Recognition of common principles // Interfaces in Condensed Systems. 1990. V. 83. P. 46–51. Steinkopff. https://doi.org/10.1007/BFb0116241
- Петров Ю.Ю., Аввакумова С.Ю., Сидорова М.П., Ермакова Л.Э., Меркушев О.М. Электроповерхностные свойства оксида вольфрама (VI) в растворах электролитов // Коллоидный журнал. 2010. Т. 72. № 5. С. 660.
- Петров Ю.Ю., Аввакумова С.Ю., Сидорова М.П., Ермакова Л.Э., Войтылов В.В., Войтылов А.В. Устойчивость дисперсий оксида вольфрама (VI) в растворах электролитов. // Коллоидный журнал. 2011. Т. 73. № 6. С. 835.
- Вукс М.Ф. Электрические и оптические свойства молекул и конденсированных сред. Ленинград: Изд–во ЛГУ. 1984.
- Spartakov A.A., Trusov A.A., Voitylov A.V., Vojtylov V.V. Electro‐optics of polydisperse colloids // Molecular and Colloidal Electro–Optics. V. 134. CRC Press. 2016. P. 193–227. https://doi.org/10.1201/9781420009859-8
- Толстой Н.А., Спартаков А.А., Трусов А.А., Хилько Г.И. Электрооптические свойства лиофобных коллоидов. 4.Новое доказательство существования жесткого электрического дипольного момента коллоидных частиц. Оценка величины и направления диполя // Коллоид. Журнал. 1966. Т. 28. С. 881.
- Бабаджанянц Л.К., Войтылов А.В., Войтылов В.В., Трусов А.А. Анализ полидисперсности макромолекулярных и нанодисперсных систем электрооптическими методами // Высокомолекулярные соединения. Серия С. 2010. Т. 52. № 7. С. 1329–1340.
- Shilov V.N., Borkovskaia Yu.B., Budankova S.N. Thin double layer theory of the wide–frequency range dispersion of the polarizability of nonconducting spheroidal particles // Molecular and Colloidal Electro–Optics. Surfactant science series. V. 134. CRC Press. 2016. P. 39–58. https://doi.org/10.1201/9781420009859-3
- Ван де Хюлст Г. Рассеяние света малыми частицами М: Наука. 1961.
- Везо О.С., Войтылов А.В., Войтылов В.В., Петров М.П., Трусов А.А. Электрооптический метод исследования коагуляции нанодисперсных систем. Образование агрегатов частиц графита в водных электролитах // Оптика и спектроскопия. 2020. Т. 128. № 6. С. 713–721. https://doi.org/10.21883/OS.2020.06.49401.22-20
- Petrov M.P., Shilov V.N., Trusov A.A., Voitylov A.V., Vojtylov V.V. Electro–optic research of polarizability dispersion in aqueous polydisperse suspensions of nanodiamonds // Colloids Surf. A Physicochem. Eng. Asp. 2016. V. 506. P. 40–49. https://doi.org/10.1016/j.colsurfa.2016.05.087
- Везо О.С., Войтылов А.В., Войтылов В.В., Петров М.П., Трусов А.А. Рефракция гидрозолей с частицами состава алмаз/аморфный углерод // Коллоид. журн. 2024. Т. 86. № 2. С. 153–161. https://doi.org/10.31857/S0023291224020014
- Вольфрама оксиды. Химическая энциклопедия, под. ред. Кнунянца И.Л., Т. 1. С. 421. М.: «Советская энциклопедия», 1988.
- Stoimenova M. The universal electro–optic response of charged colloids in low electrolyte suspensions // J. Colloid Interface Sci. 2008. V. 323. № 2. P. 274–281.https://doi.org/10.1016/j.jcis.2008.04.004
- Thurston G.B, Bowling D.I. The frequency dependence of the Kerr effect for suspensions of rigid particles. // J. Colloid Interface Sci. 1969. V. 30. № 1. P. 34–45. https://doi.org/10.1016/0021-9797(69)90376-2
Supplementary files








