Deposition of submicron aerosols in filters from fibers coated with layers of nanowhiskers
- Authors: Kirsh V.A.1
-
Affiliations:
- Институт физической химии и электрохимии им. А.Н. Фрумкина РАН
- Issue: Vol 86, No 6 (2024)
- Pages: 756-765
- Section: Articles
- Submitted: 20.02.2025
- Accepted: 20.02.2025
- Published: 15.11.2024
- URL: https://medbiosci.ru/0023-2912/article/view/280796
- DOI: https://doi.org/10.31857/S0023291224060089
- EDN: https://elibrary.ru/VLGAJL
- ID: 280796
Cite item
Full Text
Abstract
The deposition of submicron aerosol particles in model filters consisting of micron fibers with radial nanowhiskers on the fiber surface is considered. Numerical modeling of a 3D Stokes transverse flow field was performed in a model filter – an isolated row of parallel fibers with whiskers, taking into account a gas slip effect on their surface. The dependencies of the fiber drag force and the fiber collection efficiency on the length and packing density of the whiskers and on the distance between the fibers are calculated. The dependence of the fiber collection efficiency on the particle radius was determined.
Keywords
Full Text
ВВЕДЕНИЕ
Высокоэффективные фильтрующие тонковолокнистые материалы для тонкой очистки воздуха обеспечили возможность научно-технической революции в 1980-х годах благодаря созданию «чистых комнат». Только с помощью этих фильтров можно обеспечить длительную защиту органов дыхания от биологических взвешенных частиц, таких как вирусы нанометрового размера, особенно в случае, когда они осели на субмикронные частицы пыли и тумана. Тонкая фильтрация биоаэрозолей остается всегда актуальной из-за опасности эпидемий и решается с помощью респираторов. По этой причине необходимо разрабатывать высокоэффективные волокнистые фильтрующие материалы специально для респираторов с минимально возможным сопротивлением потоку при сохранении заданной высокой эффективности улавливания частиц. На протяжении целого столетия эту проблему пытаются решить с помощью электризации фильтра. В результате зарядки волокон или введения в толщу фильтра наэлектризованных заряженных кусочков смолы возрастает начальная эффективность улавливания частиц [1]. Но влияние зарядов продолжается недолго, так как они стекают, а в случае электретных волокон их слабое электрическое взаимодействие с частицами быстро исчезает из-за растущего на волокнах осадка частиц. Другим методом совершенствования фильтрующих материалов является добавка нановолокон. Рыхлый слой нановолокон обладает большой эффективностью улавливания при малом собственном сопротивлении потоку. Однако сам по себе он непрочный, а создание плотных нановолокнистых слоев ведет к неприемлемому росту сопротивления потоку. Перспективным является метод модификации поверхности волокон фильтра при создании на них высокопористых проницаемых коаксиальных слоев. Такие слои представляют собой вторичную фильтрующую структуру, которая увеличивает эффективность улавливания частиц. С момента публикаций [2, 3] интерес к фильтрации с помощью игольчатых волокон заметно вырос. К настоящему времени пористые проницаемые слои на волокнах выращивают из самых разных материалов, включая углеродные нанотрубки и оксиды металлов [4–7]. Следует отметить, что свойства игольчатых покрытий на волокнах и других поверхностях также интенсивно исследуются для интенсификации каталитических, электрохимических и теплофизических процессов.
В наших предыдущих работах [8–11] была обоснована целесообразность использования фильтров с высокопористыми проницаемыми слоями на волокнах. Было исследовано гидродинамическое поле течения в системах волокон с пористыми проницаемыми оболочками в рамках модели течения Стокса-Бринкмана [8], а в [9, 10] проведено прямое численное моделирование обтекания системы композитных волокон с учетом обтекания каждого элемента структуры пористого слоя и рассчитано осаждение частиц. В результате было показано, что нанесение высокопористого слоя иголочек увеличивает критерий качества фильтра – отношение эффективности улавливания к перепаду давления:
, (1)
где P = n/n0 – коэффициент проскока частиц, n и n0 – концентрация частиц после и до фильтра, Δp* – размерный перепад давления, U – скорость потока перед фильтром, μ – динамическая вязкость газа, η – безразмерный коэффициент захвата частиц волокном, F – безразмерная сила сопротивления потоку единицы длины волокна, a0– – радиус волокна без пористой оболочки. Также в [9] мы обратили внимание, что эффективность улавливания частиц плотного слоя иголочек на волокне мала из-за его малой проницаемости и что выгодно создавать как можно более проницаемый слой. Этот вывод следовал из теоретических оценок и из анализа опубликованных экспериментальных результатов других авторов [4, 5] с плотными слоями, в которых небольшой наблюдавшийся прирост эффективности улавливания субмикронных частиц был вызван шероховатостью поверхности плотного слоя иголочек (за счет увеличения эффекта зацепления). Критерий качества был экспериментально исследован в работе [6], где авторы измерили проскок субмикронных частиц и перепад давления через волокнистые фильтры, состоящие из металлических монодисперсных волокон с диаметром 4, 8 и 12 мкм при входной скорости потока U = 10 см/с в зависимости от толщины слоя наноиголочек. Они определили размеры наиболее проникающих частиц и показали, что несмотря на рост эффективности улавливания частиц, существенно возрастал и перепад давления, так что критерий качества не только не возрастал, а весьма заметно уменьшался. Это было получено с исходными фильтрами с диаметром волокон 4 мкм. Для фильтров с большим радиусом волокон величина γ незначительно возрастала, но фильтры из толстых волокон с диаметром 10 мкм не используются для улавливания субмикронных аэрозолей, т. е. не используются для тонкой фильтрации. Поэтому в данной статье неоднократно подчеркивается, что слой нановолокон на поверхности тонких волокон исходного фильтра должен быть как можно более проницаемым. Все это относится и к исходным тонким субмикронным волокнам. Причем здесь уместно напомнить, что в режиме тонкого обеспыливания частицы, коснувшиеся наноиголочек и нановолокон, не сдуваются потоком, даже если их размер заметно превышает радиус волокон [10]. Расчеты в [8, 9] были выполнены без учета эффекта скольжения газа на иголочках, но было отмечено, что его учет должен заметно увеличить критерий γ. В настоящей статье с помощью методов вычислительной гидродинамики впервые проведено моделирование процесса осаждения субмикронных частиц на волокна модельного фильтра, покрытые перпендикулярными к поверхности, т. е. радиально ориентированными наноиголочками, с учетом скольжения газа. В качестве модельного фильтра выбран ряд равноотстоящих параллельных волокон, перпендикулярных потоку (рис. 1), отражающий специфику течения газа при малых числах Рейнольдса в реальных фильтрах [11].
ОПРЕДЕЛЯЮЩИЕ УРАВНЕНИЯ
Поля скоростей и концентрации при обтекании ряда волокон с радиальными цилиндрическими иголочками находились в расчетной ячейке, показанной на рис. 1, численным решением безразмерных стационарных уравнений Стокса [12]:
, (2)
и конвективной диффузии [13]:
, (3)
описывающих соответственно течение вязкой несжимаемой жидкости при малых числах Рейнольдса Re = 2aU/ν << 1 и перенос взвешенных броуновских частиц в конвективном потоке, u – вектор скорости потока, p – давление, n – концентрация, ν – кинематическая вязкость газа, Pe = 2aU/D – диффузионное число Пекле. Здесь все переменные приведены к безразмерному виду с использованием характерных масштабов длины и скорости – радиуса волокна без иголочек a0 и скорости набегающего потока U. Коэффициент диффузии частиц D определялся по формуле Эйнштейна с поправкой Милликена-Каннингема на скольжение газа на частице [14]:
, (4)
где rp – радиус сферических частиц, kB – постоянная Больцмана, T – абсолютная температура, A = 1.246, B = 0.42, b = 0.87, λ – средняя длина свободного пробега газовых молекул. В качестве граничных условий для компонент скорости на поверхности волокон с иголочками при Kn = 0 ставилось условие прилипания:
u = 0, (5)
а при Kn > 0 – условие прилипания для нормальных компонент скорости un и условие скольжения для тангенциальных компонент [15]:
un = 0, us = τKn(σ · n) · (I–nn), (6)
где Kn = λ /a0 – число Кнудсена, определенное по волокну-стержню, σ – тензор напряжений, I – единичный тензор, n – единичный вектор внешней нормали к поверхности, τ = 1.147 – средний коэффициент изотермического скольжения, учитывающий взаимодействие газовых молекул с поверхностью волокон. Для концентрации на поверхности, отстоящей от поверхности волокна с иголочками на безразмерный радиус частицы R, ставилось условие:
n = 0, (7)
Рис. 1. Схема расчетной ячейки (а): (б) – сечение, поперечное волокну.
На входной границе при x = −X ставились условия невозмущенной скорости u = 1 и однородной концентрации n = 1, при x = X – условия отсутствия вязких напряжений, нулевого давления и выравнивания концентрации. На боковых, верхней и нижней гранях ячейки ставились условия симметрии для компонент скорости и концентрации. Метод численного решения задачи изложен в [9]. Безразмерная сила сопротивления единицы длины волокна F = F∗/Uμ определялась интегрированием проекции локального потока импульса на направление потока жидкости:
, (8)
где поток импульса равен [12], σ′ – тензор вязких напряжений, n – вектор внешней нормали к поверхности, dS – элемент поверхности, S – площадь поверхности волокна с иголочками.
Коэффициент захвата частиц волокном находится по формуле:
, (9)
где N – внешняя нормаль к поверхности. Здесь коэффициент захвата волокна определен как отношение интегрального нормального диффузионного потока частиц на волокно с вискерами к диффузионному потоку на входе в расчетную ячейку на площади проекции волокна. Для точечных частиц интеграл в (9) берется непосредственно по поверхности обтекаемого тела при ρ = 1 (поверхность волокна) или ρ = aw (поверхность иголочки, где ρ – полярный радиус в связанной с иголочкой локальной системе координат), для частиц конечного размера поверхность интегрирования не совпадает с обтекаемой поверхностью, а отстоит от нее на безразмерный радиус частицы R. В последнем случае ρ = 1 + R и ρ = aw + R, соответственно. Коэффициент захвата определяет коэффициент проскока и эффективность улавливания частиц E, которые для одного ряда волокон связаны соотношением:
, (10)
где b = a0/h – геометрический параметр ряда волокон (blockage parameter).
Расчеты для волокна с иголочками сравнивались с оценками для волокна с гладкой поверхностью. Безразмерная сила сопротивления волокна стоксову потоку в ряду параллельных волокон была найдена ранее численно в [16], где были определены границы применимости известных формул для сил сопротивления волокон в разреженном и плотном рядах, а для промежуточного интервала 0.5 ≤ b ≤ 0.7 получена следующая аппроксимационная формула:
,(11)
где ζ = h/a − 1, A = 1.3884, B = 1.0083, C = 1.4, E = 0.9748, F1 - сила сопротивления волокна в разреженном ряду волокон [17];
, (12)
где t = πb/2, b = a/h; F3 – сила сопротивления волокна в плотном ряду [18];
, (13)
Максимальные и средние относительные погрешности приведенной аппроксимации не превышают max(ε) = 2% и ε = 0.1% соответственно. Во всем интервале изменения значений b сила сопротивления рассчитывалась по формуле
. (14)
Коэффициенты захвата частиц волокнами без слоев иголочек определялись также численно (отметим, что результаты расчетов находятся в хорошем согласии с формулами классической теории фильтрации [11]).
РЕЗУЛЬТАТЫ РАСЧЕТА
Сила сопротивления волокна с радиальными иголочками. Результаты расчета сил сопротивления волокон с радиусом a0 = 1.5 мкм, покрытых коаксиальными слоями цилиндрических иголочек с радиусом aw с длиной hw показаны на рис. 2. Волокна расположены в ряду перпендикулярно потоку. Расстояние между осями волокон определяется отношением b = a0/h. Отметим, что в случае ряда параллельных волокон наиболее наглядно проявляется специфика стесненного течения при Re < 1, характеризуемая тем, что F не зависит от скорости (от Re), а однозначно определяется величиной b. Мы видим, что сила сопротивления волокна с иголочками резко возрастает с увеличением hw и увеличением плотности упаковки «шубы» иголочек (числа иголочек в расчетной ячейке N). Рост силы сопротивления становится заметным, начиная с hw ≈ 0.2 – 0.3, причем это значение почти не зависит от исходной пористости фильтра (т.е. от b). Сила сопротивления F растет с ростом hw тем более резко, чем меньше пористость фильтра (чем больше b). Поэтому, чтобы избежать резкого увеличения перепада давления на фильтре длина иголочек должна быть меньше диаметра волокна, и слои иголочек желательно создавать малой плотности. При этом исходные фильтры должны быть очень рыхлыми (с малым b). Здесь также интересно отметить, что плотный слой иголок не только увеличивает силу сопротивления волокна, но и экранирует само волокно, уменьшая его собственное сопротивление. Более подробно этот эффект проиллюстрирован на рис. 3 и рис. 4. Здесь представлены зависимости сил сопротивления волокон с высокопористыми слоями наноиголочек (N = 4) от их длины, рассчитанные для разных b (разной плотности упаковки фильтра). Откуда видно, что силы сопротивления волокна-стержня (кривые 2) с ростом длины иголочек уменьшаются не только по сравнению с силой сопротивления волокна с иголочками (1), но и по сравнению с начальной силой волокна без иголочек (при hw = 0). Здесь для сравнения показана кривая (3) зависимости силы сопротивления эквивалентного по диаметру непроницаемого волокна (14), которая во всем интервале заметно превышает F волокна с иголочками и в пределе большого радиуса волокна (при фиксированном расстоянии между волокнами) соответствует силе, рассчитываемой по формуле гидродинамической теории смазки (13). Эти результаты получены без учета скольжения газа на иголочках.
Рис. 2. Зависимости силы сопротивления волокна с иголочками от длины иголочек hw при разных расстояниях между слоями иголочек по оси волокна ξ = 0.2 (1), 0.4 (2), 1 (3); 4 – сила сопротивления непроницаемого волокна с эквивалентным радиусом 1 + hw, по формуле (14): число иголочек в поперечном сечении N = 8, безразмерный радиус иголочки aw = 0.025, Kn = 0.
Рис. 3. Зависимости сил сопротивления волокна с «шубой» из иголочек (1, 2) и волокон-стержней, экранированных слоем иголочек, от hw: (1, 1') – N= 8, (2, 2') –N = 4; ξ = 1, b = 0.3.
Рис. 4. Зависимости сил сопротивления волокон с «шубами» из радиальных иголочек (1–3) от длины иголочек для разных плотностей упаковки волокон b = 0.2; 2 – волокно-стержень, экранированное слоем иголочек, 3 – эквивалентное непроницаемое волокно с радиусом 1 + hw; ξ = 1, aw = 0.025, N = 4.
Вклад эффекта скольжения проиллюстрирован на следующем рис. 5, где показаны рассчитанные зависимости сил сопротивления волокон с иголочками для рядов с различным b от числа Кнудсена, полученные линейной экстраполяцией расчетных зависимостей 1/F(Kn). Расчеты F выполнены в рамках модели течения с граничным условием скольжения при Kn << 1 (пунктирные кривые 6) и на их основе по методу работы [19] построены линейные экстраполяции величин 1/F(Kn) на область промежуточных чисел Кнудсена. Здесь эффект резкого уменьшения сопротивления волокна с иголочками при их малой длине связан не только с действием эффекта скольжения, но и с сильным уменьшением силы сопротивления экранированного волокна-стержня (минимум сил сопротивления от hw на рис. 3). В результате можно ожидать, что из-за эффекта скольжения газа рост сопротивления потоку от слоя иголочек будет мал. Но в любом случае величина критерия качества фильтра с нанесенными на волокна иголочками должна возрасти. Вначале это будет показано для точечных наночастиц.
Рис. 5. Зависимости силы сопротивления волокна с иголочками от числа Кнудсена Kn, полученные линейной экстраполяцией расчетных зависимостей 1/F (модель течения с граничным условием скольжения, Kn << 1, кривые 6) на область промежуточных чисел Kn: hw = 0.5 (1), 1 (2), 1.5 (3), 2 (4), 0 (5); a0 = 1.5 мкм, aw = 0.025, b = 0.2, ξ = 1, N = 8.
Диффузионное осаждение точечных частиц с учетом эффекта скольжения газа. Осаждение точечных частиц из потока газа на волокнах фильтра происходит по единственному механизму – броуновскому смещению частиц с линий тока около волокна. Для гладких волокон этот процесс давно изучен теоретически и экспериментально для разных модельных фильтров, включая отдельный ряд волокон, перпендикулярных направлению потока. При этом все известные методы расчета эффективности осаждения частиц основаны на использовании плоского поля течения около волокна. В данном случае для точного расчета осаждения частиц на волокна с иголочками учитывается трехмерность течения вблизи поверхности волокна. Расчет осаждения точечных частиц будет выполнен с учетом и без эффекта скольжения газа.
На рис. 6 и рис. 7 представлены расчетные зависимости диффузионного коэффициента захвата точечных частиц волокном с «шубой» из радиальных наноиголочек разной длины. Сплошные линии соответствуют расчетам от числа Пекле с учетом эффекта скольжения газа и пунктирные – без учета, откуда следует, что эффект скольжения на волокнах с нановискерами слабо влияет на коэффициент захвата в области малых чисел Пекле, характерных для фильтрации газа ультратонкими волокнами. Вклад эффекта скольжения газа становится заметным при больших числах Pe.. Из рис. 7 видно, что эффект скольжения заметно увеличивает критерий качества при увеличении hw. Очевидно, что вклад скольжения может резко увеличить критерий качества для частиц конечного размера, которые осаждаются за счет диффузии и зацепления. Этот вопрос будет рассмотрен в следующем разделе статьи. Отметим, что исследование осаждения наноаэрозолей, соответствующее Pe < 10, имеет только «академический» интерес, поскольку коэффициент захвата в этом диапазоне близок к максимально возможному, когда требуемая высокая эффективность достигается с помощью простых грубоволокнистых фильтров.
Рис. 6. Зависимости диффузионного коэффициента захвата точечных частиц волокном с «шубой» из иголочек с учетом эффекта скольжения газа (сплошные линии) и без учета (пунктирные) от числа Пекле, где hw = 0 (1), 0.1 (2), 0.5 (3), 1 (4), 2 (5): a0 = 1.5 мкм, aw = 0.025, Kn = 0.043 (λ = 0.065 мкм), ξ = 0.2, N = 8, b = 0.2, U = 10 см/с.
Рис. 7. Критерий качества фильтра γ = γ∗/2a0 из волокон с иголочками с длиной hw = 0.5 в зависимости от числа Пекле: 1 – прямое моделирование с учетом скольжения газа при Kn = 0.043, 2 – Kn = 0, 3 – волокно без «шубы» нановискеров. Остальные параметры те же, что на рис. 6.
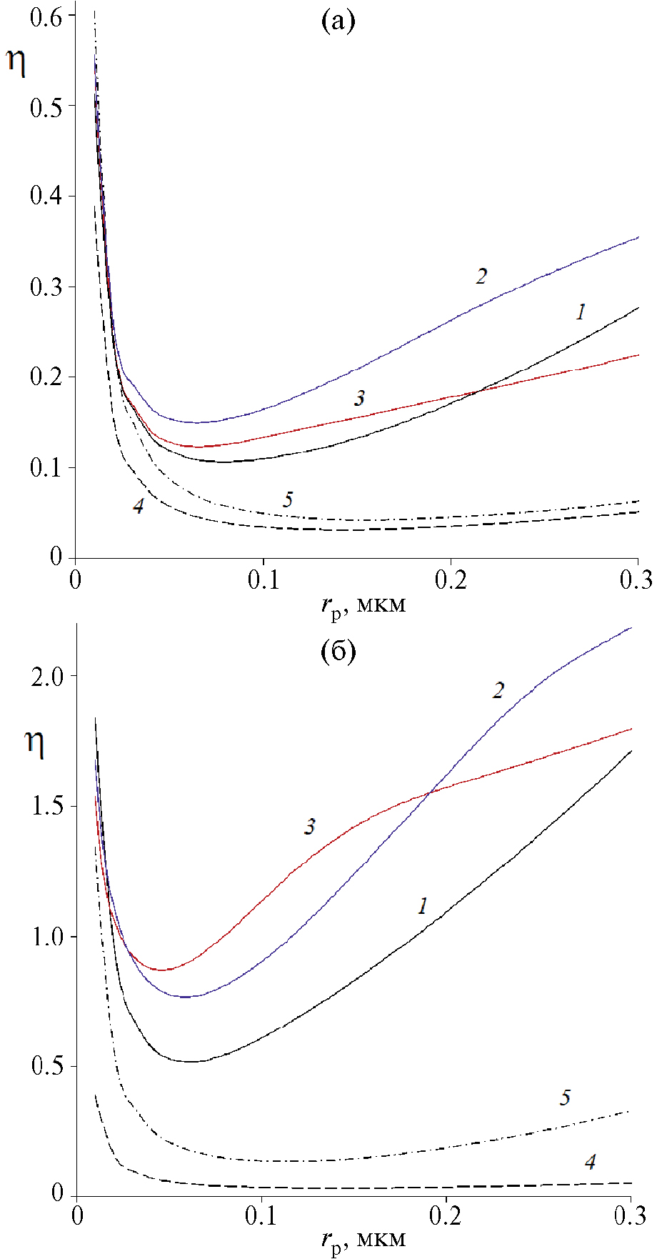
Осаждение субмикронных частиц конечного размера за счет диффузии и зацепления. Аэрозольные частицы субмикронного размера при обычной для режима тонкой фильтрации скорости, не превышающей 10 см/с, осаждаются также в основном благодаря броуновской диффузии. Но при вычислении коэффициента захвата следует учитывать собственный размер частиц и, следовательно, учитывать их свойства. Однако в практике тонкого обеспыливания при оценке эффективности НЕРA-фильтров считается достаточным учитывать дополнительно только размер частиц, принимая при этом, что частица имеет сферическую форму, и использовать формулу Ленгмюра для эффективности фильтра, в которой параметр, характеризующий зацепление частицы, пропорционален квадрату отношения радиусов частицы и волокна. При этом число Кнудсена, определенное по наноиголочкам, всегда велико. Однако, ожидаемый большой эффект от скольжения газа на иголочках ограничен влиянием диффузии, т.к. число Пекле иголочек невелико, и диффузия доминирует над конвекцией. Однако, как увидим, и в этом случае влияние эффекта скольжения дает заметный рост критерия качества. На рис. 8–12 показаны результаты расчетов осаждения аэрозольных частиц конечного размера на волокно с «шубой» из наноиголочек в зависимости от радиуса частиц и геометрических параметров hw и b при U = 10 см/с и aw = 0.025. В рассмотренном примере число Кнудсена, определенное по волокну-стержню Kn = λ/a0 = 0.043, соответствует достаточно большому числу Кнудсена для наноиголочек, равному Knw = λ/ = 2.58, когда влияние эффекта скольжения газа для иголочек весьма существенно. Во всех случаях с увеличением размера частиц справа от минимума на кривых η(rp) эффект скольжения заметно увеличивает коэффициент захвата. На рис. 11 показаны зависимости коэффициентов захвата волокном с иголочками разной длины от радиуса частиц, рассчитанные с учетом эффекта скольжения газа, откуда следует, что в области максимально проникающих частиц эффективность осаждения частиц растет с учетом эффекта скольжения, причем эффект скольжения не влияет на положение минимума η(rp), т.е. на оценку радиуса наиболее проникающих частиц. На рис. 12 даны результаты сравнения величин критерия качества фильтров с иголочками разной длины в зависимости от размера частиц. Во-первых, из этого рисунка следует, что с увеличением длины иголочек величина γ возрастает, причем область минимума резко смещается в сторону меньших размеров частиц. Здесь важно отметить, что в данном примере длина иголочек hw ≈1.5 a0 является оптимальной, т.е. дальнейшее увеличение длины иголочек не ведет к существенному увеличению γ. Во-вторых, величина γ резко растет в области минимума эффективности исходного фильтра при rp ≈ 0.15 мкм. На этом рисунке видно, как сильно эффект скольжения газа на иголочках влияет на расчетную величину критерия качества (из сравнения кривых 2 и 2', где пунктирная кривая 2', рассчитана без учета скольжения).
Рис. 8. Зависимости коэффициентов захвата (а) и критериев качества (б) модельных фильтров из волокон с «шубами» из иголочек от радиуса частиц: (1–3) – расчет для композитного волокна c hw = 1, (4–6) – для волокна без иголочек, сплошные линии – с учетом эффекта скольжения газа при Kn = 0.043, пунктирные – без учета, Kn = 0: b = 0.1 (1), 0.2 (2), 0.3 (3); (в) – отношение критериев качества от rp при b = 0.1 (1), 0.2 (2), 0.3 (3) при Kn = 0.043; aw = 0.025, hw = 1, a0 = 1.5 мкм, ξ = 1, N = 4, U = 10 см/с.
Рис. 9. Зависимости коэффициентов захвата от радиуса частиц при hw = 1 (a), 3 (б), где ξ = 1 (1), 0.4 (2), 0.2 (3); 4 – стержень без слоя иголочек, 5 – непроницаемое волокно эквивалентного внешнего радиуса, Kn = 0, b = 0.2, параметры те же, что и на рис. 8.
Рис. 10. Зависимости коэффициентов захвата волокном с «шубой» из иголочек от радиуса частиц для hw = 1.5 (1, 1'), 1 (2, 2'), 0.5 (3, 3'), 0 (4) без учета (1 – 4) и с учетом эффекта скольжения газа при Kn = 0.043 (1'–3') b = 0.2, ξ = 1, a0 = 1.5 мкм, aw = 0.025, U = 10 см/с, N = 8.
Рис. 11. Зависимости коэффициентов захвата волокном с «шубой» из иголочек от радиуса частиц для hw = 1 (1, 1'), 0.5 (2,2')с учетом эффекта скольжения газа при N = 8 (1, 2), 4 (1', 2'): b = 0.2, ξ = 1, a0 = 1.5 мкм, aw = 0.025, U = 10 см/с, Kn = 0.043.
Рис. 12. Зависимости критериев качества фильтра из волокон с иголочками (1 – 6) от радиуса частиц при hw = 0.2 (2), 0.5 (3), 1 (4), 1.5 (5), 2 (6), 3.5 (7), 1 – hw = 0, Kn = 0.043; 2' – hw = 0.5, Kn = 0. Остальные параметры те же, что на рис. 11.
ЗАКЛЮЧЕНИЕ
Дано количественное обоснование перспективности интенсификации фильтрации газов путем создания на поверхности волокон слоя наноиголочек – вискеров. Этот способ начал широко применяться для специальных целей, поскольку научились выращивать «шубу» из разных материалов на микронных волокнах из иголочек нанометрового диаметра. В данной работе впервые методами вычислительной гидродинамики рассчитаны трехмерное поле течения и силы сопротивления потоку микронных волокон с радиальными наноиголочками конечной длины с учетом влияния соседних волокон и с учетом эффекта скольжения газа на иголочках и рассчитаны коэффициенты захвата субмикронных аэрозольных частиц волокнами в зависимости от параметров иголочек, размера частиц и условий фильтрации. (Отметим, что аналогичная проблема осаждения субмикронных частиц при различных условиях в модельных нановолоконных фильтрах была недавно теоретически изучена в работах [20, 21]). Даны примеры расчета оптимальных параметров слоя иголочек для выбранных фильтров с заданными диаметром волокон и плотностью упаковки волокон, обеспечивающие увеличение «критерия качества» фильтра γ – отношения эффективности улавливания частиц фильтра к его перепаду давления. Теоретически показано, что по сравнению с гладкими волокнами игольчатые волокна при улавливании субмикронных аэрозолей способны обеспечить увеличение критерия качества фильтра в несколько раз. Как и в предыдущем сообщении [9], здесь также подчеркивается, что приоритетным и эффективным исходным материалом являются высокопористые слои волокнистых фильтров, а наносимые или выращиваемые слои наноиголочек также должны обладать высокой проницаемостью. Полученные результаты представляют интерес при создании респираторов долговременного пользования, особенно состоящих из полимерных волокон с вискерами, непосредственно получаемыми в процессе образования волокон. В заключение отметим, что здесь мы рассмотрели режим тонкой фильтрации, в котором не проявляется инерция частиц. Для инерционных частиц [21] критерий качества модифицированных волокон будет еще выше. В следующих сообщениях будет рассмотрено осаждение инерционных частиц конечного размера на волокнах с иголочками (в том числе с учетом инерционности среды), имеющее значение для расчета предфильтров в многоступенчатых системах абсолютной очистки воздуха, а также для решения задач т.н. грубой очистки воздуха от микронных частиц. Полученные в работе результаты также могут также найти применение при решении задач в областях катализа, электрохимии и конвективной теплопередачи.
ФИНАНСИРОВАНИЕ РАБОТЫ
Работа выполнена в ИФХЭ РАН при финансовой поддержке Министерства науки и высшего образования Российской Федерации.
КОНФЛИКТ ИНТЕРЕСОВ
Автор заявляет, что у него нет конфликта интересов.
About the authors
V. A. Kirsh
Институт физической химии и электрохимии им. А.Н. Фрумкина РАН
Author for correspondence.
Email: va_kirsch@mail.ru
Russian Federation, Ленинский проспект, 31, корп. 4, Москва, 119071
References
- Davies C.N. Air filtration. N.Y.: Academic Press, 1973.
- Pfefferkorn, G. Elektronenmikroskopische untersuchungen über den oxydationsvorgang von metallen. Naturwissenschaften. 1953. 40. Bd. 551–552. Electron microscopic observations of aerosols (in German). Proc. Aerosol Technology Workshop, Physical Institute of the University of Mainz, Sept. 29. 1954.pp. 599–603. https://doi.org/10.1007/BF00639678
- Brewer J.M., Goren S.L. Evaluation of metal oxide whiskers grown on screens for use as aerosol filtration media // Aerosol Sci. Technol. 1984. V. 3. № 4. P. 411–429. https://doi.org/10.1080/02786828408959029
- Li P., Wang C., Zhang Y., Wei F. Air filtration in the free molecular flow regime: a review of high-efficiency particulate air filters based on carbon nanotubes // SMALL. 2014. V. 10. № 22. P. 4543–4561. https://doi.org/10.1002/smll.201401553
- Zhang R., Wei F. High-efficiency particulate air filters based on carbon nanotubes // Ch. 26 in Nanotube Superfiber Materials. Science, Manufacturing, Commercialization. Micro and Nano Technologies, 2-nd Ed. 2019. P. 643–666. https://doi.org/10.1016/B978-0-12-812667-7.00026-4
- Karwa A.N., Tatarchuk B.J. Aerosol filtration enhancement using carbon nanostructures synthesized within a sintered nickel microfibrous matrix // Sep. Purif. Technol. 2012. V. 87. P. 84–94. https://doi.org/10.1016/j.seppur.2011.11.026
- Park S.J., Lee D.G. Performance improvement of micron-sized fibrous metal filters by direct growth of carbon nanotubes // Carbon. 2006. V. 44. P. 1930–1935. https://doi.org/10.1016/j.carbon.2006.02.005
- Кирш В.А. Аэрозольные фильтры из пористых волокон // Коллоид. журн. 1996. Т. 58. № 6. С. 786–790.
- Кирш А.А., Кирш В.А. Улавливание аэрозольных частиц фильтрами из волокон, покрытых слоями вискеров // Коллоидный журн. 2019. Т. 81. № 6. С. 706–716. https://doi.org/10.1134/S1061933X19060073
- Кирш В.А., Кирш А.А. Влияние наноиголочек на волокнах и частицах на эффективность фильтрации аэрозолей // Коллоидный журнал. 2021. Т. 83. № 3. С. 293–301. https://doi.org/10.1134/S1061933X2103008X
- Kirsch A.A., Stechkina I.B. The theory of aerosol filtration with fibrous filters // Ch. 4, in Fundamentals of Aerosol Science / Ed. By Shaw D.T. N.Y.: Wiley-Interscience. 1978. P. 165‒256.
- Ландау Л.Д., Лифшиц И.М. Теоретическая физика. Т. 6. Гидродинамика. Изд. 4-е, М.: Наука, 1988.
- Левич В.Г. Физико-химическая гидродинамика. М.: ГИФМЛ, 1959.
- Fuchs N.A. The Mechanics of Aerosols. N.Y.: Dover, 1989.
- Luo H., Pozrikidis C. Effect of surface slip on Stokes flow past a spherical particle in infinite fluid and near a plane wall // J. Eng. Math. 2008. V. 62. P. 1–21. https://doi.org/ 10.1007/s10665-007-9170-6
- Кирш В.А., Кирш А.А. Осаждение аэрозольных наночастиц в сеточных диффузионных батареях // Коллоид. журн. 2020. Т. 82. № 4. С. 432–439.https://doi.org/10.1134/S1061933X20040055
- Miyagi T. Viscous flow at low Reynolds numbers past an infinite row of equal circular cylinders // J. Phys. Soc. Japan. 1958. V. 13. № 5. P. 493–496. https://doi.org/10.1143/JPSJ.13.493
- Keller J.B. Viscous flow through a grating or lattice of cylinders // J. Fluid Mech. 1964. V. 18. P. 94–96. https://doi.org/10.1017/S0022112064000064
- Kirsch A.A., Stechkina I.B., Fuchs N.A. Effect of gas slip on the pressure drop in a system of parallel cylinders at small Reynolds numbers // J. Colloid Interface Sci. 1971. V. 37. P. 458–461. https://doi.org/10.1016/0021-9797(71)90314-6
- Кирш В.А., Кирш А.А. Улавливание субмикронных аэрозольных частиц фильтрами из нановолокон // Коллоид. журн. 2023. Т. 85. № 1. С. 38–46. https://doi.org/10.1134/S1061933X22600476
- Кирш В.А. Инерционное осаждение субмикронных аэрозолей в модельных волокнистых фильтрах из ультратонких волокон // Коллоид. журн. 2023. Т. 85. № 3. С. 307–318. https://doi.org/10.1134/S1061933X23600331
Supplementary files














