The Influence of Oxygen Ions on the Formation of a Thin Current Sheet in the Magnetotail
- Authors: Domrin V.I.1, Malova H.V.2,1, Popov V.Y.3,4, Grigorenko E.E.2, Zelenyi L.M.2
-
Affiliations:
- Skobeltsyn Institute of Nuclear Physics, Moscow State University, 119991, Moscow, Russia
- Space Research Institute, Russian Academy of Sciences, 117997, Moscow, Russia
- Moscow State University, 119991, Moscow, Russia4 Space Research Institute, Russian Academy of Sciences, 117997, Moscow, Russia
- Higher School of Economics University, 101000, Moscow, Russia
- Issue: Vol 61, No 3 (2023)
- Pages: 215-229
- Section: Articles
- URL: https://medbiosci.ru/0023-4206/article/view/137339
- DOI: https://doi.org/10.31857/S0023420622600271
- EDN: https://elibrary.ru/BVIGWS
- ID: 137339
Cite item
Full Text
Abstract
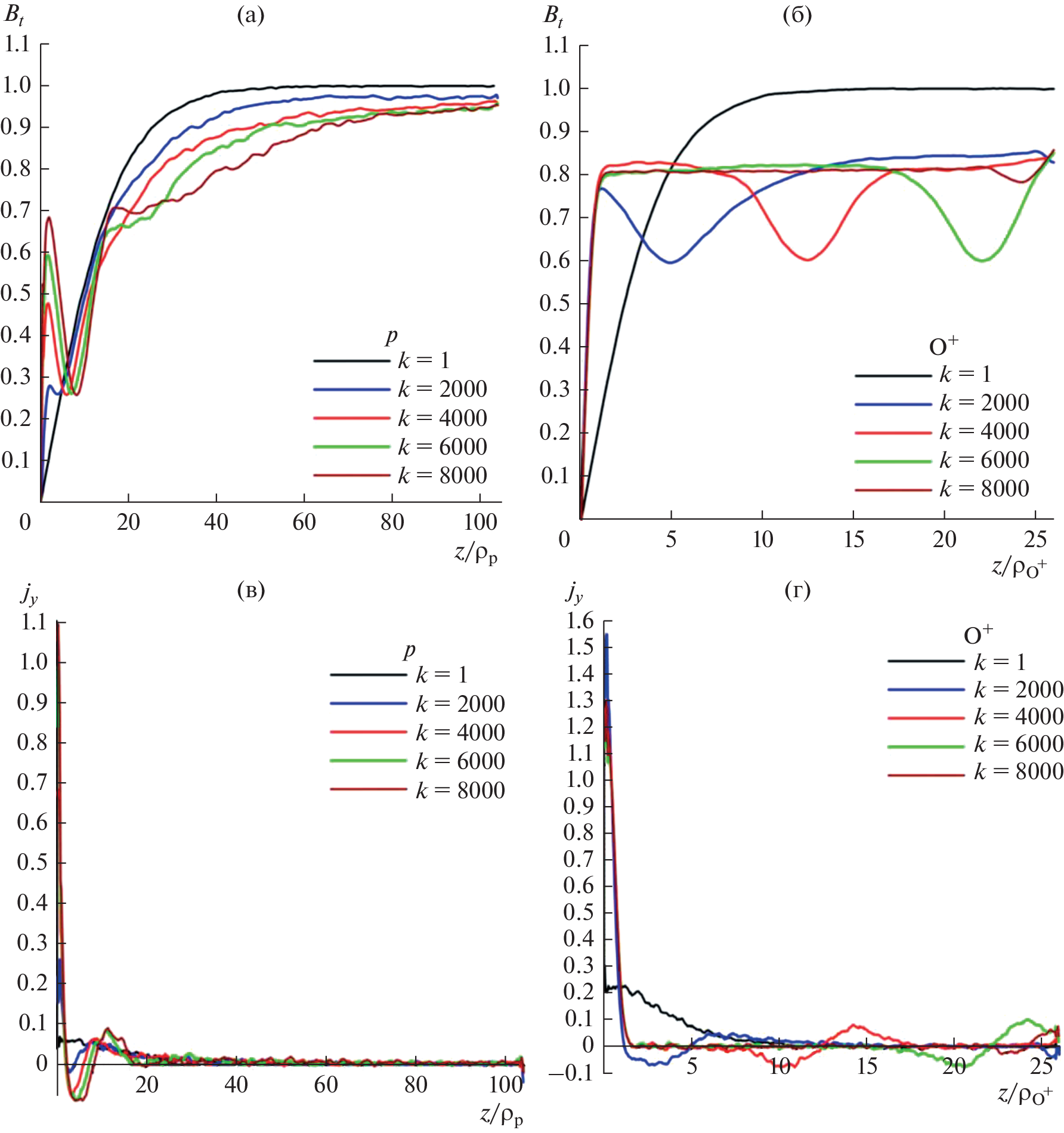
A thin current sheet in the Earth’s magnetotail with characteristic thickness of one to several proton gyroradii is often observed during magnetospheric disturbances named substorms, when a relatively thick current configuration in the magnetotail is narrowed to an extremely small thickness and then can spontaneously be destroyed. The current-sheet destruction is usually accompanied by such active processes as plasma acceleration and heating, as well as generation of an induced electric field and magnetohydrodynamic waves. In this paper, we developed and investigated a model of formation of a thin current sheet in which, along with protons, we have taken into account single-charged oxygen ions coming from the ionosphere into the magnetotail current sheet during magnetically active periods. The aim of this simulation is to study the peculiarities of thin current-sheet formation in two-component plasma and investigate its structure. It is shown that equilibrium configuration can have some characteristic properties. In particular, if the system consists only of protons or heavy ions, single-scale current equilibrium supported by quasi-adiabatic particles is formed. When a current sheet is formed in plasma that consists of a mixture of protons and oxygen ions in comparable concentrations, a current sheet can be formed with heavy ions as current carriers and chaotic proton trajectories that make a negative contribution to the current, due to which the current-density profile becomes bifurcated with the minimum at the center and maxima at the periphery of the sheet. The results may be useful for the interpretation of observational data in the Earth’s magnetotail.
About the authors
V. I. Domrin
Skobeltsyn Institute of Nuclear Physics, Moscow State University, 119991, Moscow, Russia
Email: hmalova@yandex.ru
Россия, Москва
H. V. Malova
Space Research Institute, Russian Academy of Sciences, 117997, Moscow, Russia; Skobeltsyn Institute of Nuclear Physics, Moscow State University, 119991, Moscow, Russia
Email: hmalova@yandex.ru
Россия, Москва; Россия, Москва
V. Yu. Popov
Moscow State University, 119991, Moscow, Russia4 Space Research Institute, Russian Academy of Sciences, 117997, Moscow, Russia; Higher School of Economics University, 101000, Moscow, Russia
Email: nn.levashov@physics.msu.ru
Россия, Москва; Россия, Москва; Россия, Москва
E. E. Grigorenko
Space Research Institute, Russian Academy of Sciences, 117997, Moscow, Russia
Email: hmalova@yandex.ru
Россия, Москва
L. M. Zelenyi
Space Research Institute, Russian Academy of Sciences, 117997, Moscow, Russia
Author for correspondence.
Email: nn.levashov@physics.msu.ru
Россия, Москва
References
- Ness N.F. The Earth’s magnetic tail // J. Geophys. Res. 1965. V. 70. Iss. 13. P. 2989–3005. https://doi.org/10.1029/JZ070i013p02989
- Zelenyi L.M., Malova H.V., Artemyev A.V. et al. Thin current sheets in collisionless plasma: equilibrium structure, plasma instabilities, and particle acceleration // Plasma Physics Reports. 2011. V. 37. Iss. 2. P. 137–182. https://doi.org/10.1134/S1063780X1102005X
- Axford W.I., Hines C.O. A Unifying Theory of High-Latitude Geophysical Phenomena and Geomagnetic Storms // The Upper Atmosphere in Motion / ed. C.O. Hines. 1974. V. 18. 1974. P. 936–967. Geophysical Monograph Series. https://doi.org/10.1029/GM018p0936
- Sergeev V.A., Mitchell D.G., Russell C.T. et al. Structure of the tail plasma/current sheet at ∼11 RE and its changes in the course of a substorm // J. Geophys. Res. 1993. V. 98. Iss. A10. P. 17345–17365. https://doi.org/10.1029/93JA01151
- Sanny J., McPherron R.L., Russell C.T. et al. Growth-phase thinning of the near-Earth current sheet during the CDAW 6 substorm // J. Geophys. Res. 1994. V. 99. Iss. A4. P. 5805–5816. https://doi.org/10.1029/93JA03235
- Asano Y., Mukai T., Hoshino M. et al. Evolution of the thin current sheet in a substorm observed by Geotail // J. Geophys. Res. 2003. V. 108. Iss. A5. CiteID 1189. 10 p. https://doi.org/10.1029/2002JA009785
- Coppi B., Laval G., Pellat R. Dynamics of the Geomagnetic Tail // Phys. Rev. Letters. 1966. V. 16. Iss. 26. P. 1207–1210. https://doi.org/10.1103/PhysRevLett.16.1207
- Daughton W. The unstable eigenmodes of a neutral sheet // Phys. Plasmas. 1999. V. 6. Iss. 4. P. 1329–1343. https://doi.org/10.1063/1.873374
- Lui A.T.Y., Lopez R.E., Anderson B.J. et al. Current disruptions in the near-Earth neutral sheet region // J. Geophys. Res. 1992. V. 97. Iss. 2. P. 1461–1480. https://doi.org/10.1029/91JA02401
- Zelenyi L.M., Malova Kh.V., Popov V.Yu. et al. Albert Galeev: The Problem of Metastability and Explosive Reconnection // Plas. Phys. Rep. 2021. V. 47. Iss. 9. P. 857–877.https://doi.org/10.1134/S1063780X21090075
- Harris E.G. On a plasma sheath separating regions of oppositely directed magnetic field // Nuovo Chimento. 1962. V. 23. № 1. P. 115–121. https://doi.org/10.1007/BF02733547
- Kann J.R. A globally integrated substorm model: Tail reconnection and magnetosphere-ionosphere coupling // J. Geophys. Res. 1998. V. 103. P. 11787–11795. https://doi.org/10.1029/98JA00361
- Birn J., Sommer R., Schindler K. Open and closed magnetospheric tail configurations and their stability // Astrophys. Space Sci. 1975. V. 35. Iss. 7. P. 389–402. https://doi.org/10.1007/BF00637005
- Birn J., Schindler K. Thin current sheets in the magnetotail and the loss of equilibrium // J. Geophys. Res. 2002. V. 107. Iss. A7. Art. № 1117. 10 p. https://doi.org/10.1029/2001JA000291
- Zelenyi L.M., Delcourt D., Malova H.V. et al. Forced current sheets in the Earth’s magnetotail: Their role and evolution due to nonadiabatic particle scattering // Advances in Space Research. 2002. V. 30. Iss. 7. P. 1629–1638. https://doi.org/10.1016/S0273-1177(02)00427-1
- Asano Y., Mukai T., Hoshino M. et al. Evolution of the thin current sheet in a substorm observed by Geotail // J. Geophys. Res. 2003. V. 108. Iss. A5. Art. 1189. https://doi.org/10.1029/2002JA009785
- Runov A., Sergeev V.A., Nakamura R. et al. Local structure of the magnetotail current sheet: 2001 Cluster observations // Annales Geophysicae. 2006. V. 24. Iss. 1. P. 247–262. https://doi.org/10.5194/angeo-24-247-2006
- Runov A., Angelopoulos V., Sergeev V.A. et al. Global properties of magnetotail current sheet flapping: THEMIS perspectives // Ann. Geophys. 2009. V. 27. P. 319–628. https://doi.org/10.5194/angeo-27-319-2009
- Kistler L.M., Mouikis C., Mobius E. et al. Contribution of nonadiabatic ions to the cross-tail current in an O+ dominated thin current sheet // J. Geophys. Res. 2005. V. 110. Iss. 6. Art. № A06213. 15 p. https://doi.org/10.1029/2004JA010653
- Kronberg E., Ashour-Abdalla M., Dandouras I. et al. Circulation of Heavy Ions and Their Dynamical Effects in the Magnetosphere: Recent Observations and Models // Space Science Review. 2014. V. 184. P. 173–235. https://doi.org/10.1007/s11214-014-0104-0
- Zelenyi L.M., Malova H.V., Popov V.Yu. et al. Nonlinear equilibrium structure of thin currents sheets: influence of electron pressure anisotropy // Nonlinear Processes in Geophysics. 2004. V. 11. P. 579–587. https://doi.org/10.5194/npg-11-579-2004
- Zelenyi L.M., Malova H.V., Grigorenko E.E. et al. Universal Scaling of Thin Current Sheets // Geophysical Research Letters. 2020. V. 47. Iss. 14. Art. № e2020GL088422. 10 p. https://doi.org/10.1029/2020GL088422
- Büchner J., Zelenyi L.M. Regular and chaotic charged particle motion in magnetotaillike field reversals: 1. Basic theory of trapped motion // J. Geophys. Res. 1989. V. 94. Iss. A9. P. 11821–11842. https://doi.org/10.1029/JA094iA09p11821
- Zelenyi L.M., Neishtadt A.I., Artemyev A.V. et al. Quasiadiabatic dynamics of charged particles in a space plasma // Physics — Uspekhi. 2013. V. 56. Iss. 4. P. 347–394. https://doi.org/10.3367/UFNe.0183.201304b.0365
- Zelenyi L.M., Malova H.V., Popov V.Yu. Splitting of thin current sheets in the Earth’s magnetosphere // J. Experimental and Theoretical Physics Letters. 2003. V. 78. Iss. 5. P. 296–299. https://doi.org/10.1134/1.1625728
- Delcourt D.C., Malova H.V., Zelenyi L.M. Dynamics of charged particles in bifurcated current sheets: The κ ≈ 1 regime // J. Geophys. Res. 2004. V. 109. Iss. A1. Art. № A01222. https://doi.org/10.1029/2003JA010167
- Nakamura R., Baumjohann W., Runov A., Asano Y. Thin Current Sheets in the Magnetotail Observed by Cluster // Space Science Reviews. 2006. V. 122. P. 29–38. https://doi.org/10.1007/s11214-006-6219-1
- Domrin V.I., Malova Kh.V., Popov V.Yu. et al. Influence of Oxygen Ions on the Structure of the Thin Current Sheet in the Earth’s Magnetotail // Geomagn. Aeron. 2020. V. 60. Iss. 2. P. 171–183. https://doi.org/10.1134/S0016793220020048
- Kropotkin A.P., Domrin V.I. Theory of a thin one-dimensional current sheet in collisionless space plasma // J. Geophys. Res. 1996. V. 101. P. 19893–19902.
- Domrin V.I., Kropotkin A.P. Dynamics of equilibrium upset and electromagnetic energy transformation in the geomagnetotail: A theory and simulation using particles. 3. Versions of formation of thin current sheets // Geomagn. Aeron. 2007. V. 47. Iss. 5. P. 555–565. https://doi.org/10.1134/S0016793207050039
- Grigorenko E.E., Zelenyi L.M., DiBraccio G. et al. Thin Current Sheets of Sub-ion Scales observed by MAVEN in the Martian Magnetotail // Geophysical Research Letters. 2019. V. 46. Iss. 12. P. 6214–6222. https://doi.org/10.1029/2019GL082709
- Leonenko M.V., Grigorenko E.E., Zelenyi L.M. et al. MMS Observations of Super Thin Electron-Scale Current Sheets in the Earth’s Magnetotail // J. Geophysical Research: Space Physics. 2020. V. 126. Iss. 11. Art. № e2021JA029641. https://doi.org/10.1029/2021JA029641
- Zelenyi L., Malova H., Grigorenko E. et al. Current sheets in planetary magnetospheres // Plasma Physics and Controlled Fusion. 2019. V. 61. Iss. 5. Art. № 054002. https://doi.org/10.1088/1361-6587/aafbbf
- Березин Ю.А., Вшивков В.А. Метод частиц в динамике разреженной плазмы. Новосибирск: Наука, 1980. 95 с.
- Григорьев Ю.Н., Вшивков В.А., Федорук М.П. Численное моделирование методами частиц в ячейках. Новосибирск: Изд-во СО РАН, 2004.
- Бэдсел Ч., Лэнгдон А. Физика плазмы и численное моделирование. М.: Энергоатомиздат, 1989. 452 с.
- Mingalev O.V., Setsko P.V., Mel’nik M.N. et al. Role of Oxygen Ions in the Structure of the Current Sheet of the Near-Earth Magnetotail // Plasma Physics Reports. 2022. V. 48. Iss. 3. P. 242–262. https://doi.org/10.1134/S1063780X22030096
- Domrin V.I., Malova H.V., Popov V.Yu. Time Evolution of the Macroscopic Characteristics of a Thin Current Sheet in the Course of Its Formation in the Earth’s Magnetotail // Plasma Physics Reports. 2018. V. 44. Iss. 4. P. 424–437. https://doi.org/10.1134/S1063780X18040025
- Zelenyi L.M., Malova H.V., Popov V.Yu. et al. “Matreshka” model of multilayered current sheet // Geophysical Research Letters. 2006. V. 33. Iss. 5. Art. № L05105. 4 p. https://doi.org/10.1029/2005GL025117
- Zelenyi L., Artemyev A., Malova H., Popov V. Marginal stability of thin current sheets in the Earth’s magnetotail // J. Atmos. Solar Terr. Phys. 2008. V. 70. Iss. 2–4. P. 325–333. https://doi.org/10.1016/j.jastp.2007.08.019
Supplementary files









