Стабилизация регулярных прецессий спутника при помощи моментов сил Лоренца
- Authors: Каленова В.И.1, Морозов В.М.1, Рак М.Г.2
-
Affiliations:
- Научно-исследовательский институт механики Московского государственного университета имени М. В. Ломоносова
- Московский государственный университет имени М. В. Ломоносова
- Issue: Vol 62, No 1 (2024)
- Pages: 89-96
- Section: Articles
- URL: https://medbiosci.ru/0023-4206/article/view/257757
- DOI: https://doi.org/10.31857/S0023420624010087
- ID: 257757
Cite item
Full Text
Abstract
Рассматривается стабилизация регулярных прецессий спутника на круговой орбите при использовании управляющих моментов, определяемых лоренцевыми силами. Линеаризованная система уравнений движения относится к специальному классу линейных нестационарных систем, приводимых к стационарным. Управляемость исследована как для исходных нестационарных систем, так и на основе приведенных стационарных систем. Построены оптимальные алгоритмы стабилизации. Проведено математическое моделирование предложенных алгоритмов, подтверждающее работоспособность и эффективность предложенной методики.
Full Text
ВВЕДЕНИЕ
Магнитные системы ориентации и стабилизации, основанные на различных типах электродинамического взаимодействия спутника с магнитным полем Земли, получили широкое распространение. Важным классом движений спутника относительно центра масс выступают стационарные движения (положения относительного равновесия и регулярные прецессии) в том случае, когда центр масс спутника движется по круговой орбите. Устойчивость этих движений при действии гравитационных, аэродинамических и магнитных моментов рассмотрена в исследованиях [1–3]. В отсутствие диссипативных сил характер устойчивости не является асимптотическим, и вопрос о стабилизации этих движений тем или иным способом представляет практический интерес. Стабилизация положений относительного равновесия при помощи магнитных моментов различной природы рассмотрена в работах [4–6], а с учетом аэродинамических сил — в статье [7]. Обзор работ по управлению ориентацией космических аппаратов при помощи магнитных моментов содержится в публикациях [8, 9]. Стабилизация регулярных прецессий при помощи магнитных моментов, формирующихся за счет взаимодействия собственного магнитного момента спутника с геомагнитным полем, изучена в исследовании [10], там же представлен краткий обзор работ этого направления.
В настоящей работе рассматривается задача стабилизации регулярных прецессий симметричного спутника при помощи моментов лоренцевых сил, действующих на заряженную часть поверхности спутника. В этом случае управляющий момент отличается от управляющего момента, создаваемого магнитными катушками [11–13].
В работе применяется тот же строгий аналитический подход к решению поставленной задачи, что и в предыдущих наших работах [4, 5, 10]. Он заключается в приведении исходной нестационарной системы к стационарной системе большей размерности, для которой проводится анализ управляемости и строится оптимальный алгоритм стабилизации, основанный на LQR-методе (англ. Linear quadratic regulator) на бесконечном интервале времени. Этот подход позволяет построить управление в виде обратной связи с постоянными коэффициентами, обеспечивающее асимптотическую устойчивость стационарной системы. Полученное стабилизирующее управление вводится в исходную нестационарную систему при помощи дополнительных переменных, которые выбираются таким образом, чтобы преобразование от исходных переменных к переменным приведенной стационарной системы было невырожденным и ограниченным.
Работоспособность и эффективность предлагаемого алгоритма стабилизации подтверждается математическим моделированием.
ПОСТАНОВКА ЗАДАЧИ
Рассматривается движение динамически симметричного спутника около центра масс в гравитационном и магнитных полях Земли. Предполагается, что центр масс спутника движется по круговой орбите.
Системы координат и уравнения движения
Используются две правые системы координат:
- OXYZ — орбитальная система координат с началом в центре масс спутника: ось OZ направлена по радиус-вектору центра масс относительно притягивающего центра (центра Земли); ось OY — по нормали к плоскости орбиты; ось OX дополняет систему до правой тройки;
- Oxyz — полусвязная система координат (не участвующая в собственном вращении): ось Oz направлена по оси динамической симметрии спутника. Положение оси Oz задается двумя углами : : — угол поворота вокруг оси OX, который переводит систему координат OXYZ в систему — угол поворота вокруг оси который переводит систему координат в систему Oxyz. Третий угол — угол собственного вращения. Ориентация системы Oxyz относительно орбитальной системы координат OXYZ определяется таблицей направляющих косинусов [14]
Здесь — единичные векторы по направлениям касательной, нормали и радиус-вектора орбитальной системы координат.
Абсолютная угловая скорость спутника (где k — единичный вектор оси симметрии; — угловая скорость системы координат Oxyz) в проекциях на собственные оси имеет вид
Здесь — величина угловой скорости орбитального движения. Динамические уравнения движения спутника около центра масс имеют вид
Здесь — главные центральные моменты инерции спутника; — гравитационный момент; — управляющий момент, который создается за счет лоренцевых сил, возникающих из-за движения заряженной поверхности спутника в магнитном поле Земли [11–13]; q — электростатический заряд; — радиус-вектор центра заряда спутника относительно его центра масс; — скорость центра масс спутника; B(t) — вектор индукции геомагнитного поля, которое аппроксимируется прямым магнитным диполем в орбитальной системе координат [15].
где I — угол наклона плоскости орбиты спутника к плоскости экватора; — постоянная магнитного поля Земли; R — радиус орбиты центра масс спутника.
В полусвязной системе координат вектор где
Далее будем считать, что центр заряда поверхности спутника расположен на оси симметрии спутника, т.е.
Компоненты гравитационного Mg и управляющего момента Mu в системе координат Oxyz имеют вид
где — управляющее воздействие.
Уравнения движения с учетом полученных выражений для моментов представляются в виде
Здесь
Переходя в уравнениях к безразмерным переменным, вводя обозначения и при этом сохраняя старые обозначения для дифференцирования по получим
Стационарные движения
В отсутствие управляющих моментов (m = 0) уравнения движения допускают стационарные решения (регулярные прецессии)
Уравнения стационарных движений
имеют известные решения, которые называют [16, 17] цилиндрической, гиперболоидальной и конической прецессиями: 1) ось симметрии перпендикулярна плоскости орбиты; 2) ось симметрии перпендикулярна радиус-вектору; 3) ось симметрии перпендикулярна касательной к орбите.
Стабилизация стационарных движений
Требуется построить управление, обеспечивающее асимптотическую устойчивость стационарных движений. Управляющий момент следует формировать в виде обратной связи по компонентам вектора состояния
Управление строится для линеаризованных уравнений возмущенного движения, которые являются нестационарными. Эти уравнения приводятся к стационарным системам большего порядка. Управляемость в рассматриваемых задачах исследуется как исходя из нестационарных систем, так и анализируя приведенные стационарные системы. Исследование управляемости стационарной системы — необходимый этап для построения корректных алгоритмов стабилизации, основанных на этих системах. Если стационарная система управляема, то управляема и исходная система. Однако неуправляемость стационарной системы (в силу ее избыточности) может и не повлечь неуправляемость исходной системы.
Управляемость стационарных систем можно исследовать, выявляя условия существования в системе линейных интегралов, не зависящих от управления. А затем можно проверить управляемость исходных нестационарных систем в полученных критических случаях.
ЛИНЕАРИЗАЦИЯ. ПРЕОБРАЗОВАНИЕ К СТАЦИОНАРНЫМ СИСТЕМАМ. УПРАВЛЯЕМОСТЬ
Цилиндрическая прецессия.
В возмущенном движении положим
Линеаризованные уравнения управляемого движения являются стационарными и имеют вид
(1)
Здесь
На полярной орбите система (1), очевидно, неуправляема.
Используя критерий Калмана, можно показать, что исходная стационарная система (1) неуправляема при или при Это означает, что система неуправляема при выполнении одного из соотношений и т.е. или
Ранее рассматривалась задача стабилизации при помощи моментов, создаваемых за счет взаимодействия собственного магнитного момента спутника с геомагнитным полем [10]. В этом случае система неуправляема на экваториальной орбите или при одновременном выполнении следующих условий: и
Гиперболоидальная прецессия.
В возмущенном движении положим
Линеаризованные уравнения управляемого движения имеют вид
(2)
Здесь и
Согласно [18] введем новые переменные по формулам
(3)
Новые переменные удовлетворяют стационарной системе
(4)
Здесь
Рассмотрим управляемость нестационарной системы (2) и стационарной системы (4).
Если орбита экваториальная то система (2) становится стационарной, и она является управляемой при
На экваториальной орбите система (2) является стационарной, и вводить новые переменные не требуется. Система является управляемой при любых параметрах.
Если орбита полярная то и вводить переменные не требуется. В этом случае условие неуправляемости как для системы (2), так и для системы (4) примет вид т.е. или
Если орбита не является ни экваториальной, ни полярной, то как система (2), так и (4) управляема при и
При стабилизации за счет взаимодействия собственного магнитного момента спутника с геомагнитным полем [10] система неуправляема на полярной и экваториальной орбите, только если Если орбита не является ни экваториальной, ни полярной, то система управляема при любых параметрах.
Коническая прецессия.
В возмущенном движении положим
В этом случае линеаризованные уравнения управляемого движения имеют вид
(5)
Здесь
Как и выше, согласно [18] введем новые переменные по формулам (3). Новые переменные удовлетворяют стационарной системе
(6)
Здесь
Если или или то система (5) неуправляема при любом .
На экваториальной орбите у системы (5) появляется дополнительное условие неуправляемости:
На полярной орбите появляется дополнительное условие неуправляемости системы (5):
Для расширенной стационарной системы (6) помимо вышеперечисленных существует условие неуправляемости
При стабилизации за счет взаимодействия собственного магнитного момента спутника с геомагнитным полем [10] на экваториальной орбите система неуправляема, если или На полярной орбите система неуправляема, если или Если орбита не является ни экваториальной, ни полярной, то система управляема при любых параметрах.
Построение стабилизирующего управления
Способ построения алгоритма стабилизации
Для гиперболоидальной и конической прецессий поведение вектора исходной системы описывается нестационарными системами (2) и (5) соответственно. Для построения алгоритмов стабилизации эти системы должны быть представлены в форме Коши:
(7)
Одна из основных идей предлагаемого метода состоит в использовании построенных стационарных систем (4) и (6) для выбора стабилизирующего управления. Это алгоритмизированный, устойчивый в работе способ, удобный для применения (см. работы [4, 5, 10, 18]).
Задача стабилизации состоит в том, чтобы построить управление, обеспечивающее при стремление к нулю компонент вектора состояния системы, полученной из указанных стационарных систем:
(8)
Предполагается, что пара управляема. Матрицу коэффициентов управления можно выбрать из условия минимума квадратичного функционала
где — неотрицательно определенная постоянная матрица соответствующей размерности, Оптимальное управление имеет вид [19]
Матрица размерности является решением матричного уравнения Риккати
(9)
Система (7) стационарна и управляема, поэтому уравнение (9) имеет положительно определенное стационарное решение, совпадающее с единственным решением алгебраического уравнения Риккати
Синтезированное на основе расширенной стационарной системы управляющее воздействие является функцией переменных стационарной системы более высокого порядка, чем исходная нестационарная система. Для введения управления непосредственно в исходную систему следует выразить вектор через вектор исходной системы, дополненный некоторым вектором и их производные. Вектор и вектор связаны соотношением
(10)
Дополнительный вектор вводится таким образом, чтобы квадратная матрица была невырожденной. Введем вектор Тогда управление может быть записано в виде
(11)
Уравнения для дополнительного вектора имеют вид
(12)
Расширенная нестационарная система для построения алгоритма стабилизации состоит из исходной системы (7) и системы (12), где управление формируется согласно (11) с учетом формул (10).
Решения этой расширенной нестационарной системы, замкнутой управлением (11), стремятся к нулю при в силу выбора матрицы так как компоненты вектора связаны с компонентами вектора ограниченным преобразованием (10).
Алгоритм стабилизации регулярных прецессий
- Цилиндрическая прецессия.
Поскольку система (1) стационарна, то вводить дополнительные переменные не требуется. Процесс стабилизации заключается в нахождении постоянных коэффициентов управления для решения задачи оптимальной стабилизации стационарной системы (на основе алгебраического уравнения Риккати).
- Гиперболоидальная и коническая прецессии.
Матрицы преобразования (9) имеют вид
Матрицы расширенной нестационарной системы (7), (12) в этом случае имеют вид
Для гиперболоидальной прецессии:
Для конической прецессии:
Таким образом, алгоритм стабилизации нестационарных систем для указанных случаев прецессий состоит из трех этапов:
1) нахождение постоянных коэффициентов управления для решения задачи оптимальной стабилизации соответствующей стационарной системы (на основе алгебраического уравнения Риккати);
2) построение управления в виде соотношений (10) с помощью невырожденных преобразований
3) решение расширенной нестационарной системы, содержащей исходную нестационарную систему (6) и уравнения для вспомогательных переменных (11).
Моделирование
Цель приведенных ниже результатов моделирования — показать принципиальную применимость предложенных алгоритмов и продемонстрировать их работоспособность. Моделирование проводилось при помощи стандартного пакета Wolfram mathematica v11.0. Коэффициенты управления выбирались при помощи стандартной программы LQR для стационарных систем (7).
Наклон орбиты движения спутника Начальные отклонения по углам по скоростям
Для цилиндрической прецессии и параметров результаты моделирования представлены на рис. 1а, б.
Рис. 1
Для цилиндрической прецессии и параметров результаты моделирования представлены на рис. 2а, б.
Рис. 2
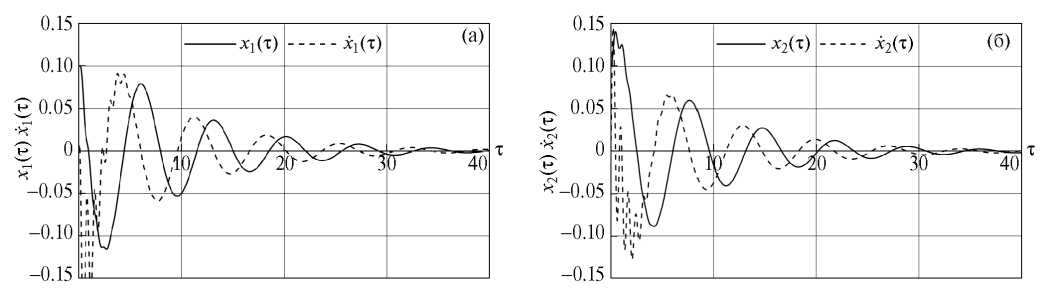
Для гиперболоидальной прецессии и параметров , результаты моделирования представлены на рис. 3а, б.
Рис. 3
Для конической прецессии и параметров результаты моделирования представлены на рис. 4а, б.
Рис. 4
About the authors
В. И. Каленова
Научно-исследовательский институт механики Московского государственного университета имени М. В. Ломоносова
Author for correspondence.
Email: kalenova44@mail.ru
Russian Federation, Москва
В. М. Морозов
Научно-исследовательский институт механики Московского государственного университета имени М. В. Ломоносова
Email: kalenova44@mail.ru
Russian Federation, Москва
М. Г. Рак
Московский государственный университет имени М. В. Ломоносова
Email: kalenova44@mail.ru
Russian Federation, Москва
References
- Морозов В. М. Об устойчивости движения гиростата под действием гравитационных магнитных и аэродинамических моментов // Косм. исслед. 1967. Т. 5. № 5. С. 727–732.
- Морозов В. М. Об устойчивости относительного равновесия спутника при действии гравитационного, магнитного и аэродинамического моментов // Косм. исслед. 1969. Т. 7. № 3. С. 395–401.
- Морозов В. М. Устойчивость движения космических аппаратов // Итоги науки и техники. Сер. «Общая механика». М.: ВИНИТИ, 1971. С. 1–83.
- Морозов В. М., Каленова В. И. Управление спутником при помощи магнитных моментов: управляемость и алгоритмы стабилизации // Косм. исслед. 2020. Т. 58. № 3. С. 199–207.
- Морозов В. М., Каленова В. И. Стабилизация положения равновесия спутника при помощи магнитных и лоренцевых моментов // Косм. исслед. 2021. Т. 59. № 5. С. 393–407.
- Kalenova V. I., Morozov V. M. Novel Approach to Attitude Stabilization of Satellite using Geomagnetic Lorentz forces // Aerospace Science and Technology. 2020. V. 106. Art. ID. 106105. https://doi.org/10.1016/j.ast.2020.106105
- Морозов В. М., Каленова В. И. Стабилизация относительного равновесия спутника при помощи магнитных моментов с учетом аэродинамических сил // Косм. исслед. 2022. Т. 60. № 3. С. 246–253.
- Овчинников М. Ю., Ролдугин Д. С. Современные алгоритмы активной магнитной ориентации спутников // Космические аппараты и технологии. 2019. Т. 3. № 2 (28). С. 73–86. https://doi.org/10.26732/2618-7957-2019-2-73-86
- Ovchinnikov M. Yu., Roldugin D. S. A survey on active magnetic attitude control algorithms for small satellites // Progress in Aerospace Sciences. 2019. V. 109. Art. ID. 100546. https://doi.org/10.1016/j.paerosci.2019.05.006
- Каленова В. И., Морозов В. М., Рак М. Г. О стабилизации регулярных прецессий спутника при помощи магнитных моментов // Прикладная математика и механика. 2021. Т. 85. № 4. С. 436–453. https://doi.org/10.31857/S003282352104010X
- Тихонов А. А. Метод полупассивной стабилизации космического аппарата в геомагнитном поле // Косм. исслед. 2003. Т. 41. № 1. С. 69–79.
- Antipov K. A., Tikhonov A. A. On satellite electrodynamic attitude stabilization // Aerospace Science and Technology. 2014. V. 33. P. 92–99. https://doi.org/10.1016/j.ast.2014.01.004
- Aleksandrov A. Yu., Aleksandrova E. B., Tikhonov A. A. Stabilization of a programmed rotation mode for a satellite with electrodynamic attitude control system // Advances in Space Research. 2018. V. 62. P. 142–151. https://doi.org/10.1016/j.asr.2018.04.006
- Лурье А. А. Аналитическая механика. М.: ГИФМЛ, 1961. 824 с.
- Wertz J. Spacecraft attitude determination and control. Dordrecht, The Netherlands: D. Reidel Publishing Company, 1978. 876 p.
- Likins P. W. Stability of a symmetrical satellite in attitudes fixed in an orbiting reference frame // J. Astronautical Sciences. 1965. V. 12 (1). P. 18–24.
- Белецкий В. В. Движение спутника относительно центра масс в гравитационном поле. М.: Изд-во Московского ун-та, 1975. 308 с.
- Каленова В. И., Морозов В. М. Линейные нестационарные системы и их приложения к задачам механики. М.: Физматлит, 2010. 208 с.
- Ройтенберг Я. Н. Автоматическое управление. М.: Наука, 1978.
Supplementary files






