Солнечная активность за последние 20 лет и ее прогноз на 25-й солнечный цикл
- Authors: Стожков Ю.И.1, Охлопков В.П.2
-
Affiliations:
- Физический институт им. П. Н. Лебедева Российской академии наук
- Московский государственный университет имени М. В. Ломоносова
- Issue: Vol 62, No 4 (2024)
- Pages: 329-333
- Section: Articles
- URL: https://medbiosci.ru/0023-4206/article/view/271871
- DOI: https://doi.org/10.31857/S0023420624040027
- EDN: https://elibrary.ru/JJGMAB
- ID: 271871
Cite item
Full Text
Abstract
Экспериментальные данные о солнечной активности (числе солнечных пятен Rz, индукции полоидального магнитного поля Солнца в полярных шапках Bп и другие), характеристики межпланетной среды и потоки космических лучей свидетельствуют о том, что Солнце вступило в глубокий минимум своей активности, подобный минимуму Дальтона.
Обнаружена почти функциональная связь максимальной величины Bпмах, наблюдаемой в минимумах солнечной активности, с предстоящим максимумом солнечных пятен. На основе этой связи разработан метод прогнозирования максимального числа солнечных пятен Rzmax и временного хода значений Rz в текущем (в настоящее время 25-ом) цикле солнечной активности.
Full Text
ВВЕДЕНИЕ
Известно, что в прошлом в некоторые периоды времени солнечная активность (число солнечных пятен Rz) существенно уменьшалась, иногда пятен на солнечном диске совсем не было [1]. Длительность таких периодов (английское выражение для них – grand minima) составлялo от 3 до 7 одиннадцатилетних солнечных циклов (СЦ). На рис. 1 приведены среднегодовые значения Rz с 1000 г. по настоящее время (https://www.sidc.be/silso/datafiles)[2, 3].
Рис. 1. Среднегодовые значения Rz, с 1000 г. по настоящее время [2, 3]. Буквами обозначены глубокие минимумы солнечной активности [1]: O – минимум Оорта (1130–1180 гг.), W – минимум Вольфа (1415–1549 гг.), S – минимум Шперера (1415–1540 гг.), M – минимум Маундера (1645–1715 гг.), D – минимум Дальтона (1790–1830 гг.). New – современный минимум солнечной активности (2007–настоящее время).
Ранее одним из авторов настоящей работы (В. П. Охлопковым) было рассчитано расстояние r между центром масс солнечной системы и центром Солнца в зависимости от времени (рис. 2) [4]. Оказалось, что все продолжительные минимумы солнечной активности происходили в периоды, когда это расстояние r было равно или больше двух солнечных радиусов [4].
Рис. 2. Расстояние от центра масс Солнечной системы до центра Солнца в зависимости от времени (расчет [4]). Горизонтальная линия наверху проведена для значения солнечного радиуса r = 2. Буквы наверху обозначают глубокие минимумы солнечной активности, наблюдавшиеся в прошлом (см. подпись к рис. 1). New – современный глубокий минимум солнечной активности [1].
Исключение составил минимум Оорта, произошедший в период с 1000 по 1050 гг. [1]. Согласно сделанным расчетам величина r была больше двух солнечных радиусов в 1130–1180 гг. [4] Возможно, что это расхождение связано с тем, что восстановленное число солнечных пятен ~1000-летней давности имеет большие неточности.
В работе [4] было спрогнозировано, что новый глубокий минимум солнечной активности должен наступить в начале этого тысячелетия, а следующий за ним – в период 1170~2200 гг. [4]. Это также показано на рис. 2. В настоящее время наблюдается глубокий минимум солнечной активности [4].
Придерживаемся точки зрения, что временное совпадение глубоких минимумов солнечной активности с максимальным удалением центра масс солнечной системы от центра Солнца не является случайным. Возможно, это свидетельствует о влиянии гравитационных полей планет на солнечную активность.
ЭКСПЕРИМЕНТАЛЬНЫЕ ДАННЫЕ, СВИДЕТЕЛЬСТВУЮЩИЕ О СОВРЕМЕННОМ ГЛУБОКОМ МИНИМУМЕ СОЛНЕЧНОЙ АКТИВНОСТИ
Все глубокие минимумы солнечной активности в прошлом характеризовались значительным уменьшением числа солнечных пятен Rzmax в максимуме 11-летнего СЦ (рис. 1) [1]. Не является исключением и настоящий глубокий минимум солнечной активности. В 23-м СЦ (последним перед глубоким минимумом) среднегодовое максимальное число солнечных пятен было равно Rzmax ≈ 250 (2002 г.). В 24-м СЦ (начало современного глубокого минимума) Rzmax = 135, т. е. количество уменьшилось почти в два раза. Ожидается, что 25-й СЦ будет иметь примерно такую же или меньшую величину Rzmax.
Существенно, что с началом нового глубокого минимума активности Солнца в 24-м СЦ (2009–2018 гг.) по сравнению с 23-м циклом (1997–2009 гг.) почти в два раза уменьшилось суммарное число солнечных вспышек С-М-Х классов (https://www.spaceweatherlive.com/ru/solnechnaya-aktivnost/solnechnyy-cikl.htm). В текущем 25-м СЦ (2019 – настоящее время) также наблюдается малое количество солнечных вспышек, несмотря на то, что солнечная активность практически достигла своего максимума. В 24-м СЦ по сравнению с 23-м циклом в 1.5 раза уменьшилось число магнитных бурь (https://www.spaceweather.com).
На сайте https://www.spaceweather.com приводятся ежедневные данные о параметрах межпланетной среды с 2000 г. по настоящее время. Анализ этих данных, таких как индукция межпланетного магнитного поля, скорость солнечного ветра показывает, что их значения в 24-м и 25-м СЦ уменьшились по сравнению с данными 23-го СЦ. Это также поддерживает предположение о глубоком минимуме в солнечной активности в начале нового тысячелетия.
Как будет видно из дальнейшего, особую роль в развитии 11-летнего СЦ играет индукция солнечного полярного магнитного поля Bп (http://wso.stanford.edu/gifs/Polar.gif). В течение 22-летнего солнечного магнитного цикла эта величина меняется в интервале примерно (–2, +2) Гс и имеет нулевое значение во время инверсии магнитного поля (http://wso.stanford.edu/gifs/Polar.gif) [5]. Согласно наблюдениям и модели Х. Бэбкока [5], в периоды минимумов солнечной активности в 11-летних СЦ солнечное полярное магнитное поле имеет полоидальную структуру, которая трансформируется в тороидальную за счет дифференциального вращения солнечной фотосферы [5].
В минимумах 24-го и 25-го циклов солнечной активности имело место уменьшение величины индукции солнечного полярного поля Bп по сравнению с предыдущими 21–23 циклами (http://wso.stanford.edu/gifs/Polar.gif). Это также поддерживает вывод об уменьшении общего уровня солнечной активности. Заметим, что на Солнце, как правило, измеряется составляющая магнитного поля по лучу зрения.
Подтверждением присутствия глубокого минимума активности Солнца в настоящее время служат данные о космических лучах. Поток космических лучей регистрируется на Земле или в космосе. Чем ниже солнечная активность, тем меньше возмущенность гелиосферы, тем больше поток космических лучей. На рис. 3 показан временной ход потока вторичных частиц, зарегистрированных в атмосфере. Этот поток образован космическими лучами, падавшими на границу атмосферы и имевшими энергию Е = (200…1500) МэВ. Видно, что в минимумах 24-го и 25-го СЦ потоки космических лучей были аномально высокими по сравнению с потоками, наблюдавшимися в минимумах солнечной активности более ранних циклов. Это также свидетельствует о низкой солнечной активности и слабой возмущенности гелиосферы в текущем столетии [6, 7].
Рис. 3. Временной ход среднемесячных значений потоков вторичных заряженных частиц, образованных космическими лучами в атмосфере. Энергии космических частиц находились в интервале 200…1500 МэВ. Наверху указаны номера 11-летних солнечных циклов. A > 0 и A < 0 обозначают положительную и отрицательную фазы 22-летних солнечных магнитных циклов. Горизонтальная пунктирная линия показывает максимальный поток космических лучей, который был зарегистрирован ранее в минимуме солнечной активности 20-го солнечного цикла в 1965 г.
Полученные за последние десятилетия экспериментальные данные о солнечной активности и характеристиках гелиосферы (межпланетной среды) показывают, что Солнце вступило в период своей низкой активности. Такая низкая активность Солнца может продолжаться несколько солнечных циклов [8, 9].
СВЯЗЬ ИНДУКЦИИ СОЛНЕЧНОГО ПОЛЯРНОГО МАГНИТНОГО ПОЛЯ BП С МАКСИМУМОМ ЧИСЛА СОЛНЕЧНЫХ ПЯТЕН RZMAX
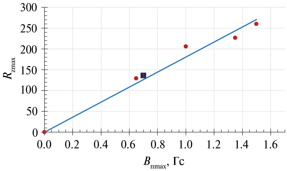
Если данные о числе солнечных пятен Rz, относящиеся к 25-му СЦ сдвинуть по времени на 11.2 года назад, их временные зависимости практически совпадут с данными 24-го СЦ. Коэффициент корреляции составляет примерно единицу. Полагаем, что такое совпадение не случайно, и существует параметр (параметры) солнечной активности, управляющий 11-летним СЦ. Таким параметром является максимальная индукция солнечного полярного магнитного поля Bпmax. Максимальные значения этого поля наблюдаются в периоды минимумов солнечной активности (http://wso.stanford.edu/gifs/Polar.gif). Предположим, что Bпmax определяет максимальное число солнечных пятен Rzmах в 11-летнем цикле солнечной активности. Имеющиеся экспериментальные данные о Rzmах и Bпmax, взятые с сайтов центов данных (https://www.sidc.be/silso/datafiles, http://wso.stanford.edu/gifs/Polar.gif), подтверждают это предположение.
На рис. 4 представлена зависимость Rzмах от Bпmax. Максимальные значения числа солнечных пятен в 11-летних СЦ были взяты с сайта Центра анализа данных о влиянии Солнца (https://www.sidc.be/silso/datafiles), а максимальные значения индукции солнечного полярного магнитного поля Bпmах – с сайта службы (http://wso.stanford.edu/gifs/Polar.gif). Полоидальное полярное магнитное поле Солнца преобразуется в тороидальное дифференциальным вращением солнечного вещества [5]. Солнечные пятна возникают из тороидального магнитного поля [5].
Рис. 4. Зависимость максимального значения числа солнечных пятен в 11-летнем СЦ, Rzmах, от максимального значения индукции солнечного полярного магнитного поля Bпmах. Значения Rzмах являются среднемесячными. Величины Bпmаx получены в минимумах СЦ, а Rzмаx получены в максимумах тех же циклов. Прямая описывает связь между Rzмах и Bпmах: Rzмах = 180.5·Bпmax, где Bпmax, дано в Гауссах. Квадрат – ожидаемое значение Rzмах в 25-м СЦ.
Тогда, согласно работе [5], если полоидальное магнитное поле Bп = 0, то тороидальное поле тоже равно нулю, и число солнечных пятен Rz = 0, так как солнечные пятна образуются из магнитных трубок тороидального магнитного поля [5].
ПРОГНОЗ СОЛНЕЧНОЙ АКТИВНОСТИ. ПРОГНОЗ 25-ГО СОЛНЕЧНОГО ЦИКЛА
По максимальному значению Bпmах можно найти максимальное число солнечных пятен 11-летнего CЦ, которое будет наблюдаться в этом цикле через пять лет (см. подпись к рис. 4).
Прогнозу 25-го солнечного цикла посвящено много работ [8–10]. Ниже изложен простой метод определения максимального числа солнечных пятен текущего цикла и их временного хода.
По величине максимальной индукции солнечного полярного магнитного поля Bпмах, которая наблюдается в минимуме 11-летнего цикла солнечной активности, можно найти временной ход числа солнечных пятен анализируемого цикла. Для этого используем метод сравнения рассматриваемого цикла с другими солнечными циклами в прошлом.
Сначала найдем Rzмах, по соотношению Rzмах = 180.5·Bпmax. Выберем из 24 прошлых солнечных циклов такой, в котором Rzмах совпадает с рассчитанной величиной [3]. Выбранный и анализируемый циклы должны иметь одну и ту же фазу 22-летнего солнечного магнитного цикла. Фаза определяется следующим образом. Фаза в 22-летнем солнечном магнитном цикле меняется в период инверсии солнечного полярного магнитного поля, которая происходит в максимуме солнечной активности (или вблизи максимума). Рассмотрим интервал времени (~11 лет) между двумя инверсиями. В этом временном интервале происходит переход от одного 11-летнего цикла солнечной активности к другому. Если происходит переход от четного цикла к нечетному, то фаза положительная. Если происходит переход от нечетного цикла к четному, то фаза отрицательная. На рис. 5 в качестве примера сопоставлены 18-й и 22-й СЦ. Оба цикла имеют одно и то же максимальное число солнечных пятен Rzmax и одну и ту же положительную фазу солнечного магнитного цикла. Временные зависимости Ri(t) в этих циклах практически совпадают.
Рис. 5. Временные зависимости среднемесячных значений чисел солнечных пятен Rz(t) в 22-м (точки) и 18-м (треугольники) СЦ. Величины Rz были сглажены по пятимесячным данным. Оба ряда данных были совмещены по времени: май 1986 г. (22-й СЦ) был совмещен с февралем 1944 г. (18-й СЦ).
В 25-м СЦ величина Bпмах, равна 0.7 Гс (http://wso.stanford.edu/gifs/Polar.gif), тогда ожидаемое значение Rzмах = 140. Такое же значение Rzмах имеет 7-й солнечный цикл. Оба цикла имеют положительную фазу. Совместим минимумы 7-го и 25-го солнечных циклов. Результат показан на рис. 6.
Рис. 6. Временной ход среднемесячных значений числа солнечных пятен Rz в 24-м и 25-м СЦ. Величины Rz сглажены по пяти месяцам. Пунктирная кривая – прогноз по 7-му циклу солнечной активности. В 7-м СЦ октябрь 1882 г. соответствует марту 2020 г. (25-й СЦ).
ВЫВОДЫ
Экспериментальные данные о солнечной активности и параметрам гелиосферы дают основание утверждать, что Солнце вступило в глубокий минимум своей активности, который будет продолжаться в 25-м и, возможно, в 26-м солнечных циклах.
Максимальная величина индукции солнечного полярного магнитного поля Bпмах, наблюдаемая в минимумах солнечных циклов, определяет максимум числа солнечных пятен Rzмах текущего солнечного цикла.
Найдена почти функциональная связь между индукцией солнечного полярного магнитного поля в минимуме 11-летнего солнечного цикла и максимальным числом солнечным пятен, который будет наблюдаться через пять лет после минимума солнечной активности.
Предложен простой метод прогноза солнечной активности текущего солнечного цикла.
КОНФЛИКТ ИНТЕРЕСОВ
Авторы данной работы заявляют, что у них нет конфликта интересов.
About the authors
Ю. И. Стожков
Физический институт им. П. Н. Лебедева Российской академии наук
Author for correspondence.
Email: stozhkovyi@lebedeev.ru
Russian Federation, Москва
В. П. Охлопков
Московский государственный университет имени М. В. Ломоносова
Email: ovpetrovich@yandex.ru
Научно-исследовательский институт ядерной физики имени Д. B. Скобельцына
Russian Federation, МоскваReferences
- Eddy J.A. The Maunder Minimum. Science. New Series. 1976. V. 192. Art. ID. 4245. P. 1189–1202. https://doi.org/10.1126/science.192.4245.1189
- Shove D.J. The sunspot cycle // J. Geophys. Res. 1955. V. 60. Iss. 2. P. 127–146.
- Shove D.J. Sunspots cycles. Stroudsburg: Hutchinson Ross Pub. Co., 1983. 397 p.
- Stozhkov Y., Okhlopkov V. Solar Activity, Cosmic Ray Fluxes, and Climate Changes // Homage to the Discovery of Cosmic Rays, the Meson-Muon and Solar Cosmic Rays. Chapter 14. New York, NY, USA: Nova Science Publishers Inc., 2013. P. 451–468.
- Babcock H.W. The topology of the Sun’s magnetic field and the 22-year cycle // Astrophysical J. 1961. V. 133. P. 572–587.
- Cтожков Ю.И., Махмутов B.С., Свиржевсктй Н.С. Исследования космических лучей на баллонах в ФИАН // Успехи физических наук. 2022. Т. 192. № 9. С. 1054–1063. https://doi.org/10.3367/UFNr.2021.06.039215
- Stozhkov Y., Makhmutov V., Svirzhevsky N. About Cosmic Ray Modulation in the Heliosphere // Universe. 2022. V. 8. Iss. 558. P. 2–11. https://doi.org/10.3390/universe8110558UNIVERSE
- Coban Gani Caglar, Raheem Abd-ur, Cavus Huseyin et al. Can Solar Cycle 25 Be a New Dalton Minimum? // Solar Physics. 2021. V. 296. Iss. 150. P. 2–15. https://doi.org/10.1007/s11207-021-01906-1
- Peguero J.C., Carrasco V.M.S. A Critical Comment on “Can Solar Cycle 25 Be a New Dalton Minimum?” // Solar Physics. 2023. V. 298. Iss. 48. P. 2–14. https://doi.org/10.1007/s11207-023-0214
- Dibyendu Nandy. Progress in Solar Cycle Predictions: Sunspot Cycles 24–25 in Perspective // Solar Physics. 2021. V. 296. Iss. 3. https://doi.org/10.1007/s11207-021-01797-2
Supplementary files








