STRUCTURE AND MAIN MAGNETIC CHARACTERISTICS OF MULTICOMPONENT ALLOYS (R1-xYx)0.8Sm0.2Fe2 (R ARE RARE-EARTH METALS)
- Authors: Umkhaeva Z.S.1, Tereshina I.S.2, Pankratov N.Y.3, Aliev I.M.1, Khomenko M.R.2, Karpenkov A.Y.4
-
Affiliations:
- Ibragimov Complex Institute, Russian Academy of Sciences, Grozny, 3640511 Russia
- Lomonosov Moscow State University
- Lomonosov Moscow State University, Faculty of Physics
- Tver State University, Tver, 170100 Russia
- Issue: Vol 68, No 3 (2023)
- Pages: 448-454
- Section: ДИНАМИКА РЕШЕТКИ И ФАЗОВЫЕ ПЕРЕХОДЫ
- URL: https://medbiosci.ru/0023-4761/article/view/137419
- DOI: https://doi.org/10.31857/S0023476123700169
- EDN: https://elibrary.ru/XCSYSZ
- ID: 137419
Cite item
Full Text
Abstract
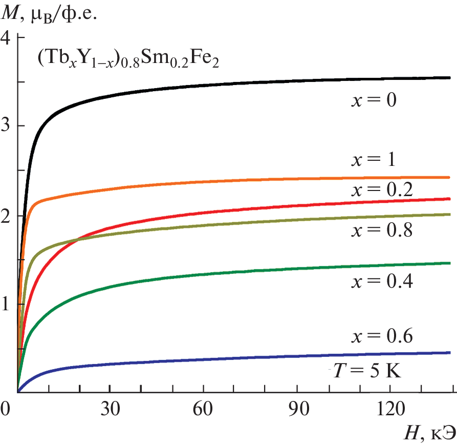
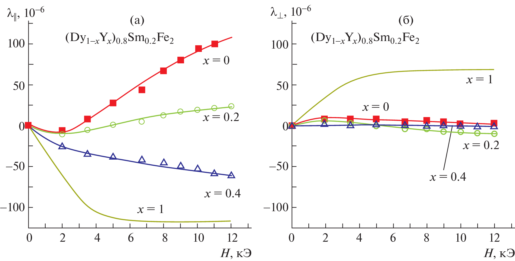
The paper presents the results of the synthesis, structural studies, and investigation of the magnetic and magnetostriction properties of new multicomponent alloys based on heavy rare-earth metals (R1-xYx)0.8Sm0.2Fe2, where R = Tb, Gd, Dy, and Er, х = 0, 0.2, 0.4, 0.6, 0.8, and 1. It was found that alloys of these systems (except for the system with Tb) are single-phase and have the cubic С15 Laves structure. The lattice parameters for all systems were shown to change linearly with increasing х. The main magnetic characteristics of the alloys were determined. The following practically important phenomena were found: the magnetic compensation of the sublattice magnetization, the spin reorientation, and the sign inversion of magnetostriction constants.
About the authors
Z. S. Umkhaeva
Ibragimov Complex Institute, Russian Academy of Sciences, Grozny, 3640511 Russia
Email: zargan.umhaeva@yandex.ru
Россия, Грозный
I. S. Tereshina
Lomonosov Moscow State University
Email: tereshina@physics.msu.ru
Russia, 119991, Moscow
N. Yu. Pankratov
Lomonosov Moscow State University, Faculty of Physics
Email: pankratov@phys.msu.ru
Russia, 119991, Moscow
I. M. Aliev
Ibragimov Complex Institute, Russian Academy of Sciences, Grozny, 3640511 Russia
Email: zargan.umhaeva@yandex.ru
Россия, Грозный
M. R. Khomenko
Lomonosov Moscow State University
Email: zargan.umhaeva@yandex.ru
Russia, 119991, Moscow
A. Yu. Karpenkov
Tver State University, Tver, 170100 Russia
Author for correspondence.
Email: pankratov@phys.msu.ru
Россия, Тверь
References
- Илюшин А.С. Основы структурной физики редкоземельных интерметаллических соединений. М.: МГУ, 2005. 174 с.
- Тейлор К. Интерметаллические соединения редкоземельных металлов. М.: Мир, 1974. 221 с.
- Umkhaeva Z.S., Ilyushin A.S., Aleroeva T.A. et al. // Adv. Eng. Res. 2018. V. 177. P. 198.
- Engdahl G. Handbook of giant magnetostrictive materials. Academic Press, 2000. 386 p. https://doi.org/10.1016/B978-0-12-238640-4.X5014-1
- Gschneidner K.A., Jr. // Rep. Progr. Phys. 2005. V. 68. P. 1479.
- Илюшин А.С. Введение в структурную физику интерметаллических соединений. М.: МГУ, 1984. 99 с.
- Илюшин А.С., Умхаева З.С., Терёшина И.С. и др. // Вестн. МГУ. Сер. 3. 2020. № 3. С. 59.
- Aleroeva T.A., Tereshina I.S., Kaminskaya T.P. et al. // Phys. Solid State. 2019. V. 61. № 12. P. 2503. https://doi.org/10.3103/S0027134920030029
- Илюшин А.С., Умхаева З.С., Алероева Т.А. и др. // Сб. трудов VII Междунар. молодеж. симп. “Физика бессвинцовых пьезоактивных и родственных материалов”, Ростов-на-Дону–Туапсе, 20–24 сентября 2018. С. 362.
- Алероева Т.А., Терёшина И.С., Умхаева З.С. и др. // ФТТ. 2019. Т. 61. № 12. С. 2471.
- Гшнайднер К., Айринг Л. Физика и химия редкоземельных элементов. М.: Металлургия, 1982. 336 с.
- Ilyushin A.S., Tereshina I.S., Aleroeva T.A. et al. // J. Alloys Compd. 2020. V. 847. P. 155976. https://doi.org/10.1016/j.jallcom.2020.155976
- Umkhaeva Z.S., Ilyushin A.S., Nikitin S.A. et al. // Adv. Eng. Res. 2020. V. 905. P. 012071.
- Aleroeva T.A., Ilyushin A.S., Umkhaeva Z.S. et al. // Phys. Condens. State Matter. 2020. № 3. P. 257. https://doi.org/10.3103/S0027134920030029
- Илюшин А.С., Опаленко А.А., Солодов Е.В. и др. // Перспективные материалы. 2013. № 11. С. 42.
- Умхаева З.С., Илюшин А.С., Алероева Т.А. // Вестн. КНИИ РАН. 2021. № 4. С. 97. https://doi.org/10.34824/VKNIIRAN.2021.8.4.009
- Pankratov N.Y., Tereshina I.S., Politova G.A. et al. // J. Magn. Magn. Mater. 2021. V. 527. P. 167728.
Supplementary files








