Structure and optical properties of langasite family crystals (La1–xNdx)3Ga5SiO14 (x = 0, 0.4, 0.6, 1)
- Authors: Golovina T.G.1, Konstantinova A.F.1, Dudka A.P.1, Butashin A.V.1, Umanskii B.A.1, Kozlova N.S.2, Kasimova V.M.2, Zabelina E.V.2
-
Affiliations:
- Shubnikov Institute of Crystallography of Kurchatov Complex of Crystallography and Photonics of NRC “Kurchatov Institute”
- MISiS National University of Science and Technology
- Issue: Vol 69, No 2 (2024)
- Pages: 290-302
- Section: ФИЗИЧЕСКИЕ СВОЙСТВА КРИСТАЛЛОВ
- URL: https://medbiosci.ru/0023-4761/article/view/259698
- DOI: https://doi.org/10.31857/S0023476124020135
- EDN: https://elibrary.ru/YSIBOM
- ID: 259698
Cite item
Full Text
Abstract
The structure and optical properties of crystals from the langasite family (La1 - xNdх)3Ga5SiO14 with different Nd content were investigated. The rotation of the light polarization plane, ρ, was calculated for these crystals from measured transmission spectra in polarized light. It is shown that for small values of ρ (~3-5 degrees/mm), it is necessary to use transmission spectra not with parallel and crossed polarizers, as is usually done, but at different angles between them, for example ±45°, to obtain better results. Circular dichroism measurements of these crystals were performed. Using Kramers-Kronig relations, the connection between the circular dichroism bands and the rotation of the light polarization plane in the absorption band region was determined. Dispersion curves of ρ values were calculated, taking into account absorption in the wavelength range of 400–1000 nm for crystals (La0.6Nd0.4)3Ga5SiO14, (La0.4Nd0.6)3Ga5SiO14, Nd3Ga5SiO14, and compared with the dispersion of ρ for langasite crystal La3Ga5SiO14. Average refractive indices and optical activity parameters of these crystals were calculated from structural data. It is shown that the dependence of the average refractive indices and ρ values on the parameters of the elementary cell, calculated under the assumption of no absorption, is linear. However, such a linear dependence is not observed for experimental ρ values, which is associated with the influence of absorption and the peculiarities of the structure (nonlinear change in the geometry of optically active regions of electron density upon replacing part of La with Nd).
Full Text
ВВЕДЕНИЕ
Первым синтезированным соединением со структурой лангасита является кристалл Ca3Ga2Ge4O14, синтез и расшифровка кристаллической структуры которого впервые выполнены в [1]. Дальнейшие исследования [2] привели к получению ряда монокристаллов с аналогичной структурой (пр. гр. Р321, Z = 1) и обнаружению у них пьезоэлектрических, лазерных и оптических свойств, интересных для практического применения [3–8].
Кристалл лангасита La3Ga5SiO14 является наиболее известным представителем, давшим имя всему семейству [9]. В настоящее время синтезировано более 200 соединений семейства лангасита, часть из них выращена в виде монокристаллов, в основном методом Чохральского. Исследования оптических свойств кристаллов семейства лангасита, включая определение показателей преломления и удельного вращения плоскости поляризации света, приведены, например, в [2, 10–13]. При этом мало исследованы оптические свойства кристаллов семейства лангасита, обладающих значительным поглощением, к которым относятся кристаллы, содержащие ионы Nd. Кристаллы с атомными замещениями также рассматриваются как кандидаты при поиске составов, обладающих фазовым переходом в мультиферроидное состояние при повышенных температурах [14].
Целью настоящей работы является определение степени, в которой изменятся оптические свойства и структура лангасита при замене значительной части атомов лантана на атомы неодима, для чего были исследованы кристаллы составов La3Ga5SiO14 (LGS), (La0.6Nd0.4)3Ga5SiO14 (LN0.4GS), (La0.4Nd0.6)3Ga5SiO14 (LN0.6GS) и Nd3Ga5SiO14 (NGS).
СПЕКТРЫ ПРОПУСКАНИЯ И ПОГЛОЩЕНИЯ КРИСТАЛЛОВ (La1 – хNdх)3Ga5SiO14
Монокристаллы (La1 – хNdх)3Ga5SiO14 (x = 0, 0.4, 0.6, 1) выращены методом Чохральского на автоматизированной установке Malvern (Metals Research, Англия) из расплавов стехиометрического состава на затравку, ориентированную вдоль оптической оси <0001>, в атмосфере N2 с добавкой 3% О2. Конструкция теплового узла и ростовые параметры аналогичны разработанным и описанным в [10, 15]. Кристалл LGS бесцветный, а кристаллы LN0.4GS, LN0.6GS, NGS имеют фиолетовый цвет из-за большого содержания неодима.
Для оптических исследований из кристаллов изготавливали полированные пластинки, перпендикулярные оптической оси <0001>, толщиной 1.76 мм (LGS), 1.04 мм (LN0.4GS), 0.83 мм (LN0.6GS) и 0.81 мм (NGS). Спектры пропускания исследуемых кристаллов (рис. 1а) в диапазоне 200–1000 нм измеряли на спектрофотометре Cary-5000 с универсальной измерительной приставкой UMA [16]. Спектры поглощения K без учета отражения (рис. 1б) можно рассчитать из спектров пропускания по формуле [17]:
Рис. 1. Спектры пропускания (а) и поглощения (б) кристаллов LGS (1), LN0.4GS (2), LN0.6GS (3), NGS (4)
. (1)
Видно, что на исследованных спектрах имеется много полос поглощения, положения которых соответствуют полосам иона Nd3+ [18]. Интенсивность этих полос увеличивается с ростом содержания Nd.
Отметим, что спектры пропускания кристаллов (La1 – хNdх)3Ga5SiO14 с незначительным содержанием Nd (x = 0.01) приведены в [19], где также исследованы электронные переходы ионов Nd, замещающих ионы основного катиона (La); здесь на электронных переходах останавливаться не будем.
РАСЧЕТ ПАРАМЕТРОВ ОПТИЧЕСКОЙ АКТИВНОСТИ ПО СПЕКТРАМ ПРОПУСКАНИЯ КРИСТАЛЛОВ (La1 – хNdх)3Ga5SiO14В ПОЛЯРИЗОВАННОМ СВЕТЕ
Для определения вращения плоскости поляризации света необходимы измерения спектров пропускания в поляризованном свете. Такие измерения проведены в диапазоне 300–1000 нм с шагом 0.2 нм с использованием двух поляризаторов Глана–Тейлора для кристаллов LGS, LN0.4GS, LN0.6GS и NGS.
Удельное вращение плоскости поляризации света при его распространении параллельно оптической оси определяется выражением [20, 21]:
, (2)
где g33 соответствующая компонента псевдотензора гирации, средний показатель преломления, λ – длина волны.
Для проведения измерений величины ρ необходимо выяснить, какие спектры пропускания лучше использовать. Поскольку кристаллы LGS имеют относительно небольшую величину ρ (3.1 град/мм при λ = 633 нм), можно предположить, что для (La1 – хNdх)3Ga5SiO14 эта величина также невелика. Поэтому предлагаемый метод должен быть пригоден для измерения малых величин ρ. Как правило, для расчета ρ используют спектры пропускания T = I/I0 (I0 и I – соответственно интенсивности падающего и прошедшего света) при параллельных и скрещенных поляризаторах и рассматривают максимумы и минимумы интенсивности, тогда ρ рассчитывается по формулам [22]:
, (3)
где ζ = – коэффициент поглощения, d – толщина образца. Минимальное значение ρ, которое можно измерить этим способом, соответствует первому (со стороны бόльших длин волн) максимуму ли минимуму ρ = 90º/d. Но так как кристаллы LN0.4GS, LN0.6GS и NGS поглощающие, необходимо использовать тонкие образцы, и на спектрах может не быть ни одного максимума или минимума. При отсутствии максимумов и минимумов можно использовать формулу
. (4)
При этом величина пропускания при скрещенных поляризаторах может быть очень мала и, очевидно, при ее измерении будет большая погрешность. Поэтому для расчета ρ целесообразно использовать спектры пропускания при разных углах τ между поляризатором и анализатором и проводить расчет по формуле [22]:
. (5)
При τ = ±30º, ±45º, ±60º получим выражения:
(6)
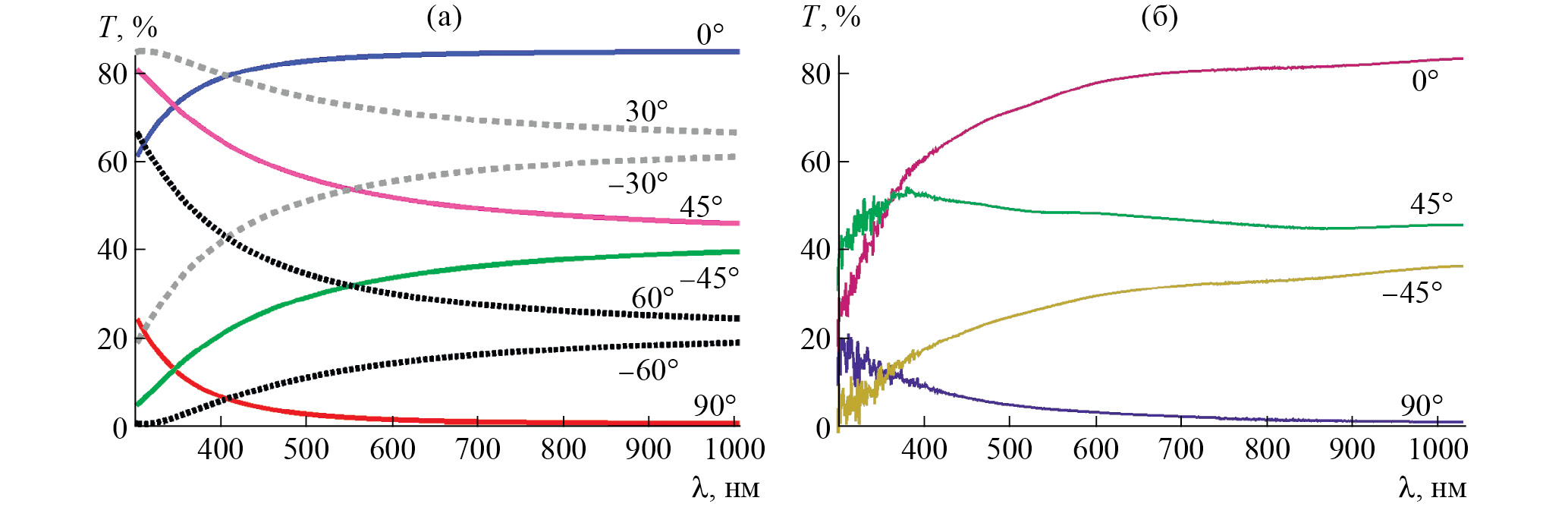
На рис. 2а приведены рассчитанные спектры пропускания в поляризованном свете при разных положениях поляризаторов на примере кристалла LGS толщиной 1.76 мм.
Рис. 2. Рассчитанные (а) и экспериментальные (б) спектры пропускания LGS при разных углах τ между поляризатором и анализатором, толщина образца d = 1.76 мм
На примере измерения спектров пропускания кристаллов LGS (рис. 2б) и расчета величины ρ по формулам (4)–(6) показано, что для тонких образцов лучшие результаты получаются при использовании спектров пропускания при –45º и 45º, –30º и 30º. Такой вывод был сделан исходя из сравнения полученных значений ρ для LGS с известными экспериментальными данными [10]. При расчетах из спектров, измеренных при параллельных и скрещенных поляризаторах, получаются заметно завышенные результаты, поэтому использовать их для тонких образцов нецелесообразно. Наиболее близкие к экспериментальным величины ρ получаются при усреднении данных, рассчитанных из спектров пропускания при τ = ±30º и ±45º. Именно так проведен расчет ρ для кристаллов лангасита с разным содержанием Nd.
Далее приведем результаты измерений и расчетов для кристаллов LN0.4GS и NGS, так как результаты для LN0.6GS являются средними между ними. Измеренные спектры пропускания в поляризованном свете для кристаллов LN0.4GS и NGS приведены на рис. 3. Видно, что величина оптической активности для обоих кристаллов небольшая (интенсивность прошедшего света при скрещенных поляризаторах невелика во всем диапазоне).
Рис. 3. Спектры пропускания в поляризованном свете образцов кристаллов LN0.4GS толщиной d = 1.04 мм (а) и NGS толщиной d = 0.81 мм (б) при углах между поляризаторами 0º, 90º, –45º, 45º
Результаты расчета ρ, проведенного по отдельным точкам в области прозрачности для кристаллов LN0.4GS и NGS, показаны на рис. 4. Видно, что для кристалла LN0.4GS имеет место дисперсия, аналогичная дисперсии LGS, но величины ρ немного больше. Для кристалла NGS дисперсия явно отклоняется от стандартной, что связано с более сильным поглощением.
Рис. 4. Расчет ρ в области прозрачности для кристаллов NGS (кружки) и LN0.4GS (квадратики). Кривая – дисперсия ρ для кристалла LGS
Так как кристаллы (La1 – хNdх)3Ga5SiO14 имеют много полос поглощения, для расчета вращения плоскости поляризации света во всем диапазоне необходимо сначала рассмотреть, как связаны поглощение и оптическая активность.
ИЗМЕРЕНИЕ И РАСЧЕТ ПАРАМЕТРОВ ОПТИЧЕСКОЙ АКТИВНОСТИ В ПОЛОСАХ ПОГЛОЩЕНИЯ КРИСТАЛЛОВ (La1 – хNdх)3Ga5SiO14
В поглощающих кристаллах оптическая активность характеризуется не только вращением плоскости поляризации света, но и циркулярным дихроизмом θ. Величина θ характеризует различие поглощения при распространении в кристалле волн левой и правой круговой поляризации.
Для поглощающего кристалла можно формально ввести “комплексное вращение” [22]:
, (7)
где – показатели преломления, а – коэффициенты поглощения для волн правой и левой круговых поляризации соответственно.
При наблюдении вращения плоскости поляризации света в полосе поглощения может наблюдаться аномальный ход дисперсии (эффект Коттона). Параметры ρ и θ связаны между собой соотношениями Крамерса–Кронига в виде [22, 23]:
, (8)
где интеграл понимается в смысле главного значения.
Циркулярный дихроизм можно представить в виде отдельных полос, каждая из которых записывается в виде экспоненциальной функции
. (9)
В случае изолированной полосы θi можно рассчитать добавку Δρi к величине ρ, связанную именно с этой полосой, по формуле
. (10)
Вид величины Δρi для одной полосы циркулярного дихроизма θi представлен на рис. 5а. Для нескольких полос величина Δρ рассчитывается как сумма вкладов каждой отдельной полосы. Для двух полос одной величины, но разных знаков добавка Δρi показана на рис. 5б, 5в, для двух полос одного знака – на рис. 5г, 5д, для трех полос разных знаков – на рис. 5е. Аналогичным образом можно провести расчет для любого числа полос разных величин и знаков. Полная величина ρ рассчитывается прибавлением добавки Δρ к дисперсионной зависимости, полученной без учета рассматриваемых полос поглощения (рис. 4).
Рис. 5. Циркулярный дихроизм θi (пунктирные линии) в одной или нескольких полосах поглощения и рассчитанная добавка к вращению плоскости поляризации Δρi (сплошные линии)
Для получения циркулярного дихроизма измерены спектры пропускания и поглощения при правой и левой круговой поляризации падающего света. Измерения проводили с помощью стандартного CCD-спектрометра, определяющего спектры пропускания; для получения круговой поляризации использовали линейный поляризатор и пластинку λ/4.
Пропускание для правой и левой круговых поляризаций падающего света можно записать в виде:
. (11)
Из измеренных спектров пропускания рассчитывается величина:
. (12)
Измеренные спектры циркулярного дихроизма для кристаллов LN0.4GS и NGS приведены на рис. 6.
Рис. 6. Спектры циркулярного дихроизма для кристаллов LN0.4GS (а) и NGS (б)
Отметим, что все переходы иона Nd3+ активны в спектре кругового дихроизма и проявляются в виде полос как положительного, так и отрицательного знака [19]. Однако для большинства переходов при комнатной температуре соответствующие им спектральные линии перекрываются, затрудняя их изучение.
Для определения связи оптической активности и циркулярного дихроизма рассмотрим некоторые полосы поглощения, наблюдаемые для кристаллов (La1 – хNdх)3Ga5SiO14. Рассмотрим для примера пять диапазонов длин волн: 500–550, 550–650, 650–710, 710–840 и 840–920 нм. Для расчета вклада циркулярного дихроизма в величину ρ проводилась экстраполяция экспериментальной величины θ экспоненциальными функциями (9). С использованием полученных функций проводился расчет ∆ρ по формуле (10). Для расчета ρ к дисперсионной зависимости, рассчитанной без учета поглощения, прибавляли ∆ρ. Полученные значения θ, ∆ρ и ρ, а также сравнение рассчитанных величин ρ с экспериментальными показаны на рис. 7 на примере кристаллов LN0.4GS и NGS. Экспериментальная дисперсия ρ вблизи полос поглощения рассчитана из измеренных спектров пропускания по формулам (6) для τ = ±45º. Самый простой случай – одна полоса циркулярного дихроизма – имеет место в диапазоне 550–650 нм (рис. 7г–7е). В остальных диапазонах рассматривалось несколько полос циркулярного дихроизма (рис. 7).
Рис. 7. Связь циркулярного дихроизма θ и вращения плоскости поляризации света ρ: первый столбец – расчет добавки Δρ к величине ρ, связанной с разными полосами циркулярного дихроизма θ, на примере кристалла LN0.4GS; дисперсия ρ с учетом циркулярного дихроизма θ в сравнении с экспериментальной дисперсией удельного вращения (показана точками): второй столбец – LN0.4GS, третий столбец – NGS
Величины ρ, рассчитанные из измеренных спектров пропускания с учетом поглощения, показаны на рис. 8 на примере кристаллов LN0.4GS и NGS. Видно, что дисперсионные зависимости ρ для обоих кристаллов отличаются от обычно наблюдаемых в прозрачных кристаллах (кривая для LGS). Обе дисперсии имеют особенности в области полос поглощения. Изменение ρ в этих областях зависит от величины поглощения и, соответственно, содержания Nd.
Рис. 8. Рассчитанные с учетом поглощения величины вращения плоскости поляризации света ρ в сравнении с соответствующей величиной для LGS (кривая внизу) для кристаллов: а – LN0.4GS, б – NGS
СТРУКТУРА КРИСТАЛЛОВ (La1 – хNdх)3Ga5SiO14
Для определения структурной обусловленности изменения вращения плоскости поляризации света в ряду LGS, LN0.4GS, LN0.6GS, NGS проведены дифракционные исследования кристаллов LN0.4GS, LN0.6GS при 295 К.
Рентгенодифракционные измерения кристалла LN0.4GS проведены на дифрактометре Xcalibur S3 (Rigaku Oxford Diffraction).
Образец LN0.6GS для дифракционного исследования был приготовлен в форме эллипсоида с минимальным и максимальным диаметрами 0.138 и 0.150 мм. Съемка проведена на дифрактометре XtaLAB Synergy DW (Rigaku Oxford Diffraction), на MoKα-излучении с детектором HyPix-Arc 150. Расчет интегральных интенсивностей проведен в программе CrysAlisPro [24]. Обработка данных включала в себя: учет геометрических особенностей съемки (поправка Лоренца) и коррекцию на поляризацию излучения, поправку на эффект теплового диффузного рассеяния [25], коррекцию интенсивностей на поглощение излучения. Уточнение структурных параметров выполнено в программе ASTRA [26]. Синтезы Фурье электронной плотности построены с использованием программы Jana2006 [27].
Результаты измерений подтвердили пр. гр. P321, Z = 1 и установили при 295 К параметры элементарной ячейки a и c, равные 8.1652(6) и 5.0958(5) Å для LGS [5, 28, 29], 8.123(1) и 5.078(1) Å для LN0.4GS, 8.10403(3) и 5.07565(6) Å для LN0.6GS, 8.06449(3) и 5.06143(2) Å для NGS [30, 31] (даны наиболее точные известные результаты).
Зависимость параметра ячейки а от содержания Nd практически линейна (рис. 9), что согласуется с правилом Вегарда [32].
Рис. 9. Зависимость параметра решетки а от содержания Nd
В кристаллах (La1 – хNdх)3Ga5SiO14 катионная позиция жесткого базового кислородного тетраэдра заселена атомами двух сортов, Si : Ga = 1 : 1. Переход La → Nd не затрагивает базовую структуру, но должен заметно менять пьезоэлектрические и оптические свойства кристаллов, так как изменяются характеристики подвижных атомов в большой полости.
Можно ли ожидать линейной зависимости оптических свойств, в том числе параметров оптической активности, в ряду этих кристаллов подобно зависимости пьезоэлектрических свойств [4]?
Оптическая активность (и, в целом, хиральность) кристаллов семейства лангасита определяется главным образом характеристиками спирали электронной плотности, имитирующей тройную винтовую ось симметрии [31]. Ось этой спирали во всех рассматриваемых кристаллах проходит параллельно оси с элементарной ячейки через атом Ga(1a), находящийся в октаэдрическом окружении в начале координат (рис. 10). При этом электронная плотность формируется атомами Ga(3f), локализованными в центрах тетраэдров, и анионами O3(6g). Таким образом, частичным или полным замещением La → Nd ни одна из важных позиций не затрагивается, и априори можно было ожидать, что изучаемая замена не внесет нелинейного возмущения в изменение оптической активности кристаллов (La1 – хNdх)3Ga5SiO14 с ростом x.
Рис. 10. Конфигурация (в форме эллипсоидов атомных смещений) из атомов Ga(3f) и атомов O3(6g) в соседних ячейках, формирующая трехзаходную спираль в кристалле NGS
Тем не менее выше показано, что полученные результаты отвергли это ожидание.
Предварительно напомним, что для координационного числа КЧ = 8 радиус r(VIIILa3+) = 1.16 Å немного больше радиуса r(VIIINd3+) = 1.109 Å, и лантан немного легче (138.9 против 144.2 а.е.м.). В условиях дифракционного эксперимента имеет место усреднение атомных смещений вне зависимости от их природы, обусловлены ли они тепловым движением или статистическим беспорядком от ячейки к ячейке. Таким образом, крупный и легкий атом La должен иметь бόльшие параметры атомного смещения (ADP), чем Nd при прочих равных условиях.
Действительно, катион La в позиции 3e в LGS имеет эквивалентный параметр атомного смещения Ueq[La(3e)] = 0.01120(1) Å2, а для NGS Ueq[Nd(3e)] = 0.0111(2) Å2. Характерно, что подобное справедливо для всех остальных семи независимых атомов структуры, в частности в LGS Ueq[Ga(3f)] = 0.0116(1) и Ueq[O3(6g)] = 0.0238(1) Å2, а в NGS Ueq[Ga(3f)] = 0.0113(4) и Ueq[O3(6g)] = 0.0217(2) Å2. Однако оказалось, что в промежуточных составах наблюдаются не промежуточные величины, а значительно повышенные – это свидетельство того, что эффект от разупорядочения превосходит эффект от уменьшения и утяжеления атома Nd, приходящего на частичную замену La.
Для объяснения наблюдаемого феномена использована модель мультиячейки [29], согласно которой вокруг жестких базовых тетраэдров Si(2d) и Ga(2d) формируются немного различные ячейки. Эта модель с расщеплением всех семи позиций доказана для LGS [29], а для NGS имеет место расщепление не менее чем пяти позиций, включая самые важные для оптических проявлений позиции Ga(2f) и O3(6g) [31] (рис. 10). При появлении второй смешанной позиции (La, Nd)(3e) число мультиячеек увеличивается до четырех аналогично ситуации для состава La3Ga5GeO14 [33].
Таким образом, разброс центров тяжести атомов в разных мультиячейках должен стать основанием для увеличения ADP и Ueq в кристаллах смешанных составов. Доказательство этому можно найти на рис. 10 как увеличение вытянутости атомов в смешанных позициях вдоль линии спирали той области, которую атомы занимают во времени и пространстве. Это увеличение наблюдается на практике даже для состава LN0.6GS, где максимальна доля “маленького” и тяжелого Nd в смешанной позиции (что по упрощенной логике должно, наоборот, снижать Ueq): Ueq[(La, Nd)(3e)] = 0.01254(2), Ueq[Ga(3f)] = 0.01301(1) и Ueq[O3(6g)] = 0.0246(7) Å2.
Дальнейший анализ объемов и искажений атомных полиэдров структур показывает, что при росте x наблюдается немонотонная перестройка спиралей электронной плотности, что и является, вероятно, структурной причиной нелинейной зависимости от состава некоторых оптических свойств кристаллов в рассматриваемом ряду (La1 – хNdх)3Ga5SiO14. Наибольшее значение для влияния на оптические характеристики имеют изменение объема и искажение октаэдра 1a, проявляющиеся в неожиданном увеличении высоты октаэдра 1a в LN0.6GS по сравнению с LGS на 0.0078 Å. Таким образом, спираль электронной плотности сжимается с боков и вытягивается в области октаэдра 1a, одновременно высота тетраэдра 3f уменьшается на 0.0053 Å (рис. 10). При этом в NGS в сравнении с LGS наблюдается, наоборот, уменьшенная на 0.0057 Å высота октаэдра 1a.
Можно ожидать, что для состава LN0.4GS, оптические свойства которого рассмотрены наиболее подробно, отмеченные структурные аномалии также справедливы. Таким образом, несмотря на линейный характер зависимости параметров элементарной ячейки от содержания неодима, имеются внутренние структурные причины для некоторого отклонения зависимости физических свойств от линейности.
РАСЧЕТ ПОКАЗАТЕЛЕЙ ПРЕЛОМЛЕНИЯ И ПАРАМЕТРОВ ОПТИЧЕСКОЙ АКТИВНОСТИ КРИСТАЛЛОВ (La1 – хNdх)3Ga5SiO14 ИЗ СТРУКТУРНЫХ ДАННЫХ
Проведен расчет по структурным данным с использованием метода молекулярных рефракций [34] и программы WinOptAct [35] показателей преломления nср и удельного вращения плоскости поляризации света ρ для длины волны λ = 633 нм, соответствующей области прозрачности всех исследуемых кристаллов. Рассчитанные величины для LGS сравнивали с экспериментальными данными [10].
Расчет средних показателей преломления методом молекулярных рефракций проводили по формуле [34]:
, (13)
где R – молекулярная рефракция вещества, M – его молярная масса, D – плотность. Рефракции для кристаллов сложного состава можно рассчитать, используя разложение их формул на “фрагменты”:
(14)
Расчет RLGS проведен по формулам (13), (14) с использованием экспериментальных показателей преломления [10] и данных [34]. Для остальных кристаллов рефракции рассчитаны из выражений (14), для расчета рефракции Nd2O3 взяли n = 1.9114 (оценка из данных [36]: n = 1.92 при λ = 589 нм и n = 1.86 при λ = ∞). Из полученных значений рефракций по формуле (13) вычислены средние показатели преломления кристаллов LN0.4GS, LN0.6GS, NGS.
Для расчета средних показателей преломления и вращения плоскости поляризации света из структурных параметров можно применить программу WinOptAct [35]. В качестве входных данных для этой программы используется атомная структура исследуемого кристалла (сорта атомов, их координаты и анизотропные параметры атомных смещений для соответствующей абсолютной конфигурации), а также поляризуемости ионов. Варьируя значения поляризуемостей, можно приблизительно рассчитать величины nср и ρ. Так как решение, получаемое при расчете по WinOptAct, сильно зависит от поляризуемостей ионов, которые неизвестны, при расчете необходимо на что-то ориентироваться. В рассматриваемом случае из известных данных есть средние показатели преломления кристаллов LN0.4GS, LN0.6GS, NGS, рассчитанные методом молекулярных рефракций, и экспериментальные величины no, ne и ρ для LGS [10].
Результаты расчетов приведены в табл. 1. Видно, что показатели преломления в ряду LGS, LN0.4GS, LN0.6GS, NGS уменьшаются, а значения ρ увеличиваются. При этом зависимость nср от параметров ячейки можно аппроксимировать прямой линией (рис. 11а). Также линейная зависимость от параметров ячейки получается для величин ρ, рассчитанных по программе WinOptAct (рис. 11б). Отметим, что для экспериментальных значений ρ линейной зависимости от параметров ячейки не наблюдается, что, вероятно, связано с влиянием поглощения на оптическую активность и нелинейной зависимостью геометрических характеристик спиралей электронной плотности от содержания неодима.
Рис. 11. Зависимости от параметра ячейки а средних показателей преломления, рассчитанных по методу молекулярных рефракций (nср1, ●) и программе WinOptAct (nср2, ■) (а); рассчитанных (▲) и экспериментальных (♦) величин вращения плоскости поляризации света ρ (б)
Таблица 1. Средние показатели преломления nср1, рассчитанные по методу молекулярных рефракций [34], показатели преломления nср2 и величины ρ, рассчитанные по программе WinOptAct [35], длина волны λ = 633 нм
Состав | а, с, Å | nср1 | nср2 | ρ, град/мм | ρэксп, град/мм |
LGS | 8.165 5.096 | 1.905 | 1.907 | –3.1 | –3.1 |
LN0.4GS | 8.123 5.078 | 1.884 | 1.885 | –3.8
| –4.3 |
LN0.6GS | 8.104 5.076 | 1.875 | 1.874 | –4.2 | –4.5 |
NGS | 8.064 5.061 | 1.855 | 1.857 | –4.7 | –5.1 |
Показатель преломления зависит от полной высоты спирали в пределах трех ячеек (и диаметра спирали), а оптическая активность – от степени сжатия или растяжения отдельных участков этой спирали, т.е. от вариации межатомных расстояний. Полная высота спирали меняется линейно от состава (как параметр элементарной ячейки), а сжатие или растяжение спирали имеет нелинейность из-за появления мультиячеек для смешанных составов.
ЗАКЛЮЧЕНИЕ
Проведено исследование оптических свойств и структуры кристаллов семейства лангасита (La1 – хNdх)3Ga5SiO14 с разным содержанием Nd, выращенных методом Чохральского.
Для образцов кристаллов (La1 – хNdх)3Ga5SiO14 с x = 0, 0.4, 0.6, 1, вырезанных перпендикулярно оптической оси, проведено измерение спектров пропускания и поглощения в неполяризованном и поляризованном свете в диапазоне длин волн 200–1000 нм. Для кристаллов, содержащих Nd, на исследованных спектрах имеется много полос поглощения. Из измеренных спектров пропускания в поляризованном свете проведен расчет вращения плоскости поляризации света ρ. Для всех кристаллов полученные значения относительно невелики (ρ ~ 3–5 град/мм). Показано, что при малой величине ρ для получения лучших результатов необходимо измерять спектры пропускания при разных углах между поляризаторами (не только 0º и 90º, но и, например, ±30º, ±45º).
Проведено измерение спектров пропускания при правой и левой круговой поляризации падающего света, из которых рассчитан циркулярный дихроизм данных кристаллов. С помощью соотношений Крамерса–Кронига проведен расчет изменения величины ρ, связанного с поглощением, для одной и нескольких полос циркулярного дихроизма. Выполнен расчет дисперсионных зависимостей ρ с учетом полос поглощения для кристаллов (La0.6Nd0.4)3Ga5SiO14, (La0.4Nd0.6)3Ga5SiO14 и Nd3Ga5SiO14. Полученные величины сравнивались с соответствующими величинами для кристалла La3Ga5SiO14.
Проведено рентгеноструктурное исследование кристаллов (La1 – хNdх)3Ga5SiO14. В целом наблюдается монотонная и близкая к линейной зависимость структурных характеристик от содержания неодима. Но при этом имеются отклонения от линейности, вызванные, вероятно, появлением элементарных ячеек с несколько разными межатомными расстояниями при замене части La на Nd. Согласно модели мультиячейки возможны четыре типа ячеек, определяемых заселением катионных позиций 3e и 2d: La и Si, La и Ga, Nd и Si, Nd и Ga. Такое разнообразие вызывает дополнительное растяжение спирали электронной плотности в области октаэдра 1a на 0.0078 Å вдоль оси c элементарной ячейки, что ослабляет взаимодействие анионов, но усиливает взаимодействие между катионами и анионами.
Выполнен расчет средних показателей преломления кристаллов (La1 – хNdх)3Ga5SiO14 из структурных данных методом молекулярных рефракций и по программе WinOptAct при длине волны λ = 633 нм. Также проведен расчет ρ без учета поглощения по программе WinOptAct. Показано, что зависимость средних показателей преломления, а также рассчитанных величин ρ от параметров элементарной ячейки является линейной. Первое можно объяснить тем, что величина показателя преломления зависит от числа и сортов атомов, приходящихся на единицу длины. При линейном характере зависимости параметра элементарной ячейки от содержания неодима и, в целом, сходном составе линейная зависимость является вполне ожидаемой. Второе связано с объективными вычислительными ограничениями: расчетные значения ρ имеют упрощенную до линейной зависимость, так как используется средняя атомная модель (модель мультиячейки использовать в таких расчетах невозможно).
Напротив, экспериментальные значения ρ для кристаллов (La0.6Nd0.4)3Ga5SiO14, (La0.4Nd0.6)3Ga5SiO14 и Nd3Ga5SiO14 заметно отличаются от рассчитанных, что связано с влиянием поглощения на оптическую активность и дополнительно с наличием четырех разных наборов межатомных расстояний и нелинейным изменением геометрии оптически активных электронных спиралей при замене части La на Nd.
Авторы выражают благодарность Б.В. Миллю за выращенные кристаллы.
Работа выполнена в рамках Государственного задания ФНИЦ “Кристаллография и фотоника” РАН. Измерения спектров пропускания кристаллов (La1 – xNdx)3Ga5SiO14 (x = 0, 0.4, 0.6, 1) проводились в аккредитованной испытательной лаборатории полупроводниковых материалов и диэлектриков “Монокристаллы и заготовки на их основе” НИТУ МИСиС при финансовой поддержке Минобрнауки России в рамках государственного задания ВУЗам FSME-2023-0003.
About the authors
T. G. Golovina
Shubnikov Institute of Crystallography of Kurchatov Complex of Crystallography and Photonics of NRC “Kurchatov Institute”
Author for correspondence.
Email: tatgolovina@mail.ru
Russian Federation, Moscow
A. F. Konstantinova
Shubnikov Institute of Crystallography of Kurchatov Complex of Crystallography and Photonics of NRC “Kurchatov Institute”
Email: tatgolovina@mail.ru
Russian Federation, Moscow
A. P. Dudka
Shubnikov Institute of Crystallography of Kurchatov Complex of Crystallography and Photonics of NRC “Kurchatov Institute”
Email: tatgolovina@mail.ru
Russian Federation, Moscow
A. V. Butashin
Shubnikov Institute of Crystallography of Kurchatov Complex of Crystallography and Photonics of NRC “Kurchatov Institute”
Email: tatgolovina@mail.ru
Russian Federation, Moscow
B. A. Umanskii
Shubnikov Institute of Crystallography of Kurchatov Complex of Crystallography and Photonics of NRC “Kurchatov Institute”
Email: tatgolovina@mail.ru
Russian Federation, Moscow
N. S. Kozlova
MISiS National University of Science and Technology
Email: tatgolovina@mail.ru
Russian Federation, Moscow
V. M. Kasimova
MISiS National University of Science and Technology
Email: tatgolovina@mail.ru
Russian Federation, Moscow
E. V. Zabelina
MISiS National University of Science and Technology
Email: tatgolovina@mail.ru
Russian Federation, Moscow
References
- Белоконева Е.Л., Симонов М.А., Милль Б.В. и др. // Докл. АН СССР. 1980. Т. 255. № 5. С. 1099.
- Каминский А.А., Милль Б.В., Саркисов С.Э. // Физика и спектроскопия лазерных кристаллов. М.: Наука, 1986. С. 197.
- АО Фомос-Материалы, Москва. https://newpiezo.com
- Kaminskii A.A., Belokoneva E.L., Mill B.V. et al. // Phys. Status Solidi. A. 1984. V. 86. P. 345. https://doi.org/10.1002/pssa.2210860139
- Mill B.V., Pisarevsky Yu.V. // Proc. 2000 IEEE/EIA Intern. Frequency Control Symp., Kansas City, Missouru, USA. P. 133.
- Mill B.V., Belokoneva E.L., Fukuda T. // Rus. J. Inorg. Chem. 1998. V. 43. P. 1032.
- Кугаенко О.М., Торшина Е.С., Петраков В.С. и др. // Изв. вузов. Материалы электронной техники. 2014. Т. 17. № 3. С. 174. https://doi.org/10.17073/1609-3577-2014-3-174-182
- Балышева О.Л., Клудзин В.В., Кулаков С.В., Дмитриев В.Ф. // Информационно-измерительные системы. 2012. № 6. С. 67.
- Андреев И.А., Дубовик М.Ф. // Письма в ЖЭТФ. 1984. Т. 10. С. 487.
- Kaminskii A.A., Mill B.V., Khodzhabagyan G.G. et al. // Phys. Status Solidi. A. 1983. V. 80. P. 387. https://doi.org/10.1002/pssa.2210800142
- Батурина О.А., Гречушников Б.Н., Каминский А.А. и др. // Кристаллография. 1987. Т. 32. Вып. 2. С. 406.
- Heimann R.B., Hengst M., Rossberg M., Bohm J. // Phys. Status Solidi. A. 2003. V. 198. № 2. P. 415. https://doi.org/10.1002/pssa.200306627
- Wei A., Wang B., Qi H., Yuan D. // Cryst. Res. Technol. 2006. V. 41. № 4. P. 371. https://doi.org/10.1002/crat.200510589
- Lyubutin I.S., Naumov P.G., Mill’ B.V. et al. // Phys. Rev. B. 2011. V. 84. P. 214425. https://doi.org/10.1103/PhysRevB.84.214425
- Милль Б.В., Буташин А.В., Ходжабагян Г.Г. и др. // Докл. АН СССР. 1982. Т. 264. С. 1385.
- Универсальная измерительная приставка Agilent Cary Universal Measurement Accessory (UMA) // Agilent Technologies. http://www.agilent.com/cs/library/technicaloverviews/public/5991-2529RU.pdf
- Бёккер Ю. Спектроскопия. М.: Техносфера, 2009. 528 с.
- Свиридов Д.Т., Свиридова Р.К., Смирнов Р.Ф. Оптические спектры ионов переходных металлов в кристаллах. М.: Наука, 1976. 267 с.
- Бурков В.И., Буташин А.В., Федотов Е.В. и др. // Кристаллография. 2005. Т. 50. № 6. С. 1031.
- Шубников А.В. Основы оптической кристаллографии. М.: Изд-во АН СССР, 1958. 207 с.
- Шувалов Л.А., Урусовская А.А., Желудев И.С. и др. Современная кристаллография. Т. 4. Физические свойства кристаллов. М.: Наука, 1981. 496 с.
- Константинова А.Ф., Гречушников Б.Н., Бокуть Б.В., Валяшко Е.Г. Оптические свойства кристаллов. Минск: Наука и техника, 1995. 302 с.
- Джерасси К. Дисперсия оптического вращения. М.: Изд-во иностранной литературы, 1962. 400 с.
- Rigaku Oxford Diffraction, 2018, CrysAlisPro Software system, version 1.171.39.46, Rigaku Corporation, Oxford, UK.
- Дудка А.П., Рабаданов М.Х., Лошманов А.А. // Кристаллография. 1989. Т. 34. Вып. 4. С. 818.
- Dudka A.// J. Appl. Cryst. 2010. V. 43. № 6. P. 1440. https://doi.org/10.1107/S0021889810037131
- Petricek V., Dusek M., Palatinus L. // Z. Kristallogr. 2014. В. 229. № 5. S. 345. https://doi.org/10.1515/zkri-2014-1737
- Максимов Б.А.,Молчанов В.Н., Милль Б.В. и др.// Кристаллография. 2005. Т. 50. № 5. С. 813.
- Дудка А.П. // Кристаллография. 2017. Т. 62. № 2. С. 202. https://doi.org/10.7868/S0023476117020102
- Iwataki T., Ohsato H., Tanaka K. et al. // J. Eur. Ceram. Soc. 2001. V. 21. P. 1409. https://doi.org/10.1016/S0955-2219(01)00029-2
- Дудка А.П., Милль Б.В. // Кристаллография. 2014. Т. 59. № 5. С. 759. https://doi.org/10.7868/S0023476114050038
- Vegard L. // Z. Phys. 1921. B. 5. S. 17. https://doi.org/10.1007/BF01349680
- Дудка А.П. // Кристаллография. 2017. Т. 62. № 3. С. 374. https://doi.org/10.7868/S0023476117030043
- Бацанов С.С. Структурная рефрактометрия. М.: Высшая школа, 1976. 304 с.
- Glazer A.M. // J. Appl. Cryst. 2002. V. 35. P. 652. https://doi.org/10.1107/S0021889802013997
- Shannon R.D., Shannon R.C., Medenbach O., Fischer R.X. // J. Phys. Chem. Ref. Data. 2002. V. 31. № 4. P. 931. https://doi.org/10.1063/1.1497384
Supplementary files













