Hyperspectral X-ray imaging for nanometrology
- Authors: Safonov А.I.1, Nikolaev K.V.1,2, Yakunin S.N.1
-
Affiliations:
- National Research Center “Kurchatov Institute”
- Moscow Institute of Physics and Technology (State University)
- Issue: Vol 69, No 4 (2024)
- Pages: 730-742
- Section: ПРИБОРЫ, АППАРАТУРА
- URL: https://medbiosci.ru/0023-4761/article/view/264439
- DOI: https://doi.org/10.31857/S0023476124040207
- EDN: https://elibrary.ru/XBFBRP
- ID: 264439
Cite item
Full Text
Abstract
A tool for X-ray hyperspectral imaging has been developed. It is based on a conventional CCD driven by an algorithm that allows resolution in both energy and position. A new algorithm has been developed that allows the real-time analysis of single photon events. The factors influencing the energy resolution, the formation of artifacts in the energy spectra, and the counting efficiency are analyzed. Furthermore, a method for achieving sub-pixel precision using the singular value decomposition is suggested. The algorithm has been tested on synthetic data and in a live experiment with the registration of X-ray fluorescence emission from a thin film structure. Applying hyperspectral imaging to grazing emission X-ray fluorescence opens up new possibilities in nanometrology.
Full Text
Введение
Прогресс в рентгеновских методах структурной диагностики обусловлен развитием как новых источников синхротронного излучения, так и экспериментальной аппаратуры, в частности детекторных систем. Классические экспериментальные методы при переходе из лаборатории на синхротронные источники претерпевают качественные изменения, приобретая повышенную чувствительность, локальность и пространственное разрешение, а также разрешение по времени.
Термин “стоячие рентгеновские волны” (СРВ) [1, 2] обобщает целый класс современных экспериментальных методов исследования структуры, основанных на измерении и анализе угловых зависимостей выхода вторичного излучения в кристаллах, тонких пленках, многослойных и периодических гетероструктурах в условиях дифракции и зеркального отражения. Для анализа тонкопленочных и слоистых систем наибольшее распространение получила вариация метода СРВ с детектированием вторичного флуоресцентного излучения в геометрии скользящего падения при сильном эффекте зеркального отражения. Такие эксперименты позволяют исследовать распределение химических элементов по глубине структуры, распределение атомов в латеральных направлениях усредняется. Современное развитие методов СРВ идет по двум направлениям: добавление локальности и чувствительности к трехмерному распределению элементов в структурах; переход экспериментов в режим без сканирования с измерением картины СРВ за один кадр. Определенный шаг в решении этих задач позволяет сделать вариация метода в геометрии “нормальное падение–скользящий выход флуоресценции” – косселевские СРВ [3, 4]. Для реализации этого метода требуется применение схемы детектирования вторичного флуоресцентного излучения, дающей одновременно пространственное и энергетическое разрешение.
Цель настоящего исследования – разработка аппаратно-методической базы для позиционно-чувствительной спектрометрии рентгеновского флуоресцентного излучения для реализации новых экспериментальных методов структурной диагностики. Частную задачу, мотивирующую разработку улучшенного позиционно-чувствительного энергодисперсионного спектрометра, составляла постановка метода косселевских СРВ с параллельным сбором флуоресцентного излучения под скользящими углами. В то же время область применения позиционно-чувствительных энергодисперсионных детекторов достаточно большая: эмиссионная спектрометрия [5], флуоресцентная визуализация [6], “цветная” томография [7, 8], метрология элементов современной микроэлектроники [9–11], полихроматическая птайкография [12, 13].
Современные рентгеновские позиционно-чувствительные детекторы, построенные по гибридной технологии на базе мультиплексов Medipix и Timepix, обладают определенной чувствительностью к энергии рентгеновского фотона за счет дискриминации порогами и применения режима работы ToT (time over threshold – определение заряда по длительности импульса) соответственно [14, 15]. Энергетическое разрешение таких детекторов значительно уступает разрешению стандартных энергодисперсионных детекторов, что ограничивает возможности их применения для спектрометрии многокомпонентных систем с близко расположенными и перекрывающимися линиями. Кроме того, недостаточное пространственное разрешение (55 мкм) и невозможность детектирования низкоэнергетических флуоресцентных линий легких элементов ограничивают применение этих детекторов.
Наиболее перспективный путь получения энергетического разрешения для позиционно-чувствительных детекторов – использование матриц, построенных по технологии приборов с зарядовой связью (ПЗС). Возможность измерения количества носителей заряда в электронном облаке, сгенерированном поглощенным фотоном, высокое пространственное разрешение (15–7 мкм), а также наличие матриц с глубоким обеднением и засветкой со стороны подложки позволяет создавать на их базе позиционно-чувствительные рентгеновские спектрометры. Возможность использования ПЗС-камер в качестве энергодисперсионных устройств для излучения в рентгеновском диапазоне было продемонстрировано в серии работ [16–18].
Основным ограничением применения классических ПЗС-матриц для таких задач является низкая частота считывания, что делает нецелесообразным их применение в экспериментах с большими загрузками. Эти ограничения преодолевают, применяя более совершенные разновидности ПЗС-камер на базе матриц с параллельным построчным считыванием – pnCCD [19] и матриц с электронным умножением – emCCD [20]. Такие устройства также сохраняют и считывают сгенерированный заряд, но обладают значительно большими скоростями работы. Предлагаемый здесь подход обработки сигналов ПЗС-камер в полной мере применим к работе с pnCCD- и emCCD-матрицами и является методическим заделом для проведения измерений в условиях высокой загрузки.
В настоящей работе представлен алгоритм реализации энергодисперсионного позиционно-чувствительного детектора на базе классической ПЗС-матрицы, рассмотрены факторы, влияющие на энергетическое разрешение, эффективность счета в зависимости от плотности потока фотонов, обсуждается дополнительная возможность увеличения пространственного разрешения через определение субпиксельной координаты событий. Работа представленного алгоритма протестирована на моделированных данных, а также в реальном эксперименте по регистрации пространственно-энергетической структуры флуоресцентного излучения в методе косселевских СРВ.
Алгоритм энергодисперсионного анализа сигналов ПЗС
Основной режим работы рентгеновских ПЗС-камер подразумевает накопление за время экспозиции зарядов, сгенерированных в материале сенсора под действием падающего излучения, и последующее считывание. Накопленный каждой фоточувствительной ячейкой интегральный заряд от всех поглощенных фотонов при помощи последовательного считывания формирует двумерное пространственное распределение интегральной интенсивности излучения. В таком подходе за счет интегрирования за время воздействия фотонов с различной энергией в результирующем изображении теряется информация об энергии зафиксированных фотонов. Для получения чувствительности к энергии поглощенных фотонов необходимо уменьшить экспозицию, вплоть до режима счета единичных фотонов. При условии, что зарегистрированное ПЗС-матрицей изображение содержит дифференцированные как по времени, так и по координате сигналы единичных фотонов, последующая обработка позволяет получить как пространственное, так и энергетическое распределение. Алгоритм обработки изображений матричного детектора, содержащих единичные события поглощения рентгеновских фотонов, строится по следующему общему принципу: учет фона, нахождение электронных облаков и определение их положений, сортировка наложенных событий, интегрирование зарядов и определение энергии фотонов. Блок-схема алгоритма представлена на рис. 1.
Рис. 1. Блок-схема алгоритма, реализующего позиционно-чувствительный энергодисперсионный анализатор.
В такой идеологии [21–23] процесс измерения представляет собой циклическую процедуру быстрого измерения картины поглощения единичных фотонов, считывания и постобработки. Обработка сигналов матричного детектора происходит в режиме реального времени и не должна превышать экспозицию, что накладывает ряд ограничений на применяемые подходы и методы в части скорости и эффективности работы. Работа с реальной ПЗС-матрицей требует учета совокупности факторов для получения требуемого энергетического разрешения, высокого быстродействия, уменьшения артефактов, таких как неэффективность переноса заряда по матрице, шумы считывания, плотность потока фотонов.
Для практической реализации алгоритма использовали серийную ПЗС-камеру Greateyes Alex-i 1k1k BI DD c обратной засветкой и глубоким обедненным слоем, обладающую достаточной квантовой эффективностью для регистрации фотонов рентгеновского диапазона вплоть до 20 кэВ.
Учет фонового шума. Для увеличения порога чувствительности рентгеновской ПЗС-матрицы к единичным фотонам низкой энергии ее рабочую температуру поддерживают на уровне –100°C. При такой температуре тепловой шум, обусловленный процессом термогенерации [24, 25], достаточно эффективно снижается. Накопленный в потенциальных ямах заряд за время экспозиции и считывания формирует двумерный фоновый сигнал, называемый темновым [26]. Форма и уровень темнового сигнала матрицы зависят от температуры, экспозиции и скорости считывания [27]. Для каждой комбинации этих параметров темновой сигнал матрицы постоянный и может быть использован для корректного выделения индуцируемых воздействием фотонов событий.
Первая подготовительная операция для работы алгоритма – получение темновых кадров без экспонирования матрицы. Для уменьшения влияния шумов считывания целесообразно использовать усредненный сигнал по серии единичных кадров (на практике достаточным является серия из 15–25 кадров) [28], измеренных при тех же параметрах работы рентгеновской ПЗС-матрицы – температуре, времени экспозиции, скорости считывания [29]. Полученный таким образом сигнал отражает эффективную карту распределения тепловых шумов матрицы и используется для корректировки экспериментальных кадров с индуцированными воздействием фотонов событиями.
Обнаружение событий. Для обнаружения событий применяют поиск локальных максимумов, интенсивность которых превышает заданный уровень дискриминации. Использование дискриминации нижнего уровня, с одной стороны, позволяет отсечь шумы считывания ПЗС-матрицы и управлять количеством ложных срабатываний алгоритма, с другой стороны, может снизить возможность детектирования низкоэнергетических фотонов. Поскольку ширина распределения амплитуд шумов считывания, а также экспериментальные ширины спектральных линий зависят от скорости считывания ПЗС-матрицы, необходимо использование гибкой стратегии выбора комбинации скорости считывания и порога дискриминации. Критерием выбора этих параметров является баланс между скоростью работы, энергетическим разрешением, возможностью детектирования легких элементов и количеством шумов.
Оптимальный порог дискриминации – пять среднеквадратичных отклонений распределения шумов считывания по амплитудам (5sread). Он соответствует вероятности ложного срабатывания 2.86 × 10–7, или примерно одному неверно определенному фотону на три–четыре кадра, что практически полностью исключает появление шума в нижней части энергетического спектра. Для стабильной регистрации низкоэнергетического рентгеновского излучения порог дискриминации должен быть меньше максимумов соответствующих спектральных линий. Для регистрации флуоресцентного излучения бора и углерода необходимо использовать частоту считывания до 250 кГц. При высоких скоростях считывания выбранный порог дискриминации будет либо эффективно усекать линии бора и углерода, либо добавлять в спектр линию шумов, перекрывая полезный сигнал. Это иллюстрирует рис. 2, где представлены распределения шумов считывания, а также зависимость ширины спектральной линии бора от частоты считывания ПЗС-матрицы: 250 кГц, 1, 3 МГц.
Рис. 2. Энергетическое распределение шумов считывания и Kα-линии бора.
Здесь и далее в численном эксперименте, а также в эксперименте на реальных объектах будем использовать частоту считывания 1 МГц и порог дискриминации 5sread, соответствующий 125 эВ.
Вычисление энергии. Количество носителей заряда в электронном облаке, сгенерированном поглощенным фотоном, занимает некоторую область ПЗС-матрицы и пропорционально энергии фотона [30]. Переход от измеренного интегрального заряда к энергии фотонов осуществляется через коэффициент, равный энергии образования электронно-дырочной пары ω (3.62 эВ для кремния) и постоянный во всем спектральном диапазоне.
Обработка наложений. Размер области, занимаемой электронным облаком, зависит от глубины поглощения [31, 32] и может составлять от одного пикселя до кластера 3 × 3 пикселей для используемой ПЗС-матрицы с пикселем 13 мкм и обедненной областью 40 мкм. Электронные облака от двух или более фотонов, поглощенных на достаточно близком расстоянии, могут пересекаться или полностью накладываться. Такой эффект приводит к появлению артефактов в энергетическом спектре, а вероятность их появления возрастает с увеличением потока фотонов.
При полном наложении максимумы электронных облаков неразличимы, и их рассматривают как единое событие, внося в спектр несуществующие энергетические линии – пики наложений. При частичном наложении максимумы каждого электронного облака различимы и оставляют шанс определить координату и энергию каждого фотона. Для их обработки могут быть использованы алгоритмы разложения и подгонки [33], а также алгоритмы распознавания на основе машинного обучения [34]. Такие методы требуют больших вычислительных мощностей, что ограничивает их применение в режиме реального времени.
В разработанном алгоритме применяется процедура отсеивания событий с частичным наложением. Для идентификации таких событий проводят проверку увеличенного кластера 5 × 5 пикселей на наличие дополнительных локальных максимумов, которое однозначно свидетельствует о наложении событий. Такие события отбраковывают и не учитывают при формировании пространственно-энергетической карты. Идентификация и отбраковка таких событий позволяет составлять карты распределения наложений, которые являются аналогом мертвого времени в классических энергодисперсионных детекторах и должны быть использованы для коррекции интенсивности пространственного распределения флуоресцентного излучения.
Учет наложений и последующая коррекция спектров является принципиальной, но в то же время открытой задачей в метрологических применениях позиционно-чувствительного анализатора, требующей отдельной детальной проработки. Перспективным способом учета наложений и восстановления оригинального спектра может стать постобработка пиков наложений с разделением на исходные спектральные линии с применением теоремы о свертке [35] или итерационной деконволюции [36].
Коррекция энергии. В приборах с зарядовой связью наблюдается эффект искажения энергии фотона, зависящий от позиции поглощения на фоточувствительной матрице. В процессе перекачки зарядов через матрицу и регистр считывания теряется часть заряда [37], размер потерь зависит от числа и скорости переносов. Частота переноса заряда в параллельном регистре на несколько порядков ниже частоты в последовательном, и потери при параллельном переносе в несколько раз меньше, чем при последовательном, и потерями в нем можно пренебречь [38]. В используемой ПЗС-камере эффективность переноса заряда в параллельном регистре близка к единице, и потери составляют менее одного электрона из 1000 на весь регистр. Последовательный регистр обладает худшей эффективностью переноса заряда, а потери составляют приблизительно 10 электронов из 1000 для дальней ячейки регистра, что эквивалентно 36 эВ. Чтобы продемонстрировать этот эффект, было проведено калибровочное измерение флуоресцентного спектра излучения медной мишени. На рис. 3а изображена зависимость энергетического положения Kα- и Kβ-линий меди от номера ячейки в последовательном регистре. В дальних регистрах смещение значений энергии фотонов для линии меди достигает 83 эВ, что приводит к ухудшению интегральной разрешающей способности (рис. 3б).
Рис. 3. Зависимость энергетического распределения Kα-линии (8047 эВ) и Kβ-линии (8905 эВ) меди от номера строки (а) и в крайних строках (б).
Наиболее простой способ коррекции энергетических искажений – применение матрицы поправочных коэффициентов, получаемой с помощью аппроксимации калибровочного спектра [39]. Для коррекции энергии фотона при формировании массива данных используют поправку, соответствующую координате пикселя, в котором зарегистрировано событие.
Определение субпиксельной координаты. При регистрации фотона не одним, а сразу несколькими пикселями появляется возможность повысить пространственное разрешение детектора. В качестве оценки координаты детектирования фотона с субпиксельным разрешением можно использовать “центр масс” изображения электронного облака. Можно прибегнуть к более сложной стратегии: аппроксимировать изображение функцией Гаусса и принять за точку детектирования центр этой функции. Однако анализ, проведенный в [40], показал, что метод “центра масс” более точный, что позволяет применять его в алгоритме без необходимости расхода вычислительных ресурсов.
Для подавления шумовой составляющей перед расчетом “центра масс” применяют сингулярное матричное разложение [41] областей, содержащих индуцированные воздействием фотонов события. По аналогии с фурье-преобразованием для матриц [42] использование сингулярных чисел матрицы сигнала позволяет провести анализ данных и отделить шумовую составляющую сигнала от полезной, так как предполагается, что информацию о сигнале несут лишь несколько максимальных сингулярных чисел, а остальные содержат в себе лишь информацию о шумовой составляющей. Одним из основных приложений сингулярного матричного разложения является метод главных компонент [43], позволяющий уменьшать размерность данных посредством использования сингулярных чисел с максимальными значениями. Применение этого метода для снижения уровня шумов при обработке сигналов путем восстановления данных из сингулярных чисел с максимальным значением продемонстрировано в [44]. При восстановлении фрагмента изображения, содержащего индуцированное воздействием фотонов событие, после декомпозиции используют только максимальное сингулярное число и соответствующие ему сингулярные векторы. Эта операция позволяет подавить шумовую компоненту и добиться повышения точности определения субпиксельных координат в среднем на 0.03 пикселя для индуцированных событий размером 3 × 3 пикселя.
Скорость и эффективность счета
Как и любая детекторная система, двумерная ПЗС-камера, работающая в режиме счета единичных фотонов, в условиях высокой загрузки демонстрирует потерю счета событий. Для традиционных энергодисперсионных приборов мертвое время – интервал времени, в течение которого детектор не может правильно реагировать на новое событие, что обычно приводит к наложению и неверному счету событий и определению энергии.
Для оценки эффективности необходимо знать отношение зарегистрированных фотонов к потоку, падающему на матрицу. Для описания зависимости мертвого времени от загрузки используют две распространенные модели [45, 46] – парализующую и непарализующую. Непарализующая модель подразумевает простую потерю события, произошедшего в течение мертвого времени предыдущего события. В основе парализующей модели лежит не простая потеря события, а удлинение мертвого времени предыдущего события. В этой модели парализующий фактор f можно рассматривать как коэффициент среднего увеличения мертвого времени при пересечении двух событий. Обе модели описывают крайние состояния работы счетных устройств и не могут в полной мере отобразить поведение реальных детекторных систем. Более подходящей моделью для описания мертвого времени является гибридная модель, предложенная в [47] и доработанная в [48]. Эта модель двухпараметрическая, учитывающая парализующее и непарализующее мертвое время. Она связывает входящий поток событий Nin и регистрируемый детектором поток событий Nout следующим образом:
(1)
где t – время формирования импульса, f – парализующий фактор.
Для каждой детекторной системы существует минимальное время t, которое должно разделять два события, чтобы они были зарегистрированы как независимые. Для двумерного детектора этот эффект следует назвать “мертвой площадью”, так как при покадровой съемке определяющим параметром является площадь, которую занимает индуцированное воздействием фотонов электронное облако, что является аналогией времени формирования пика в точечных детекторах. Тогда в случае двумерного детектора t – это доля от площади ПЗС-матрицы, занимаемая одним индуцированным событием.
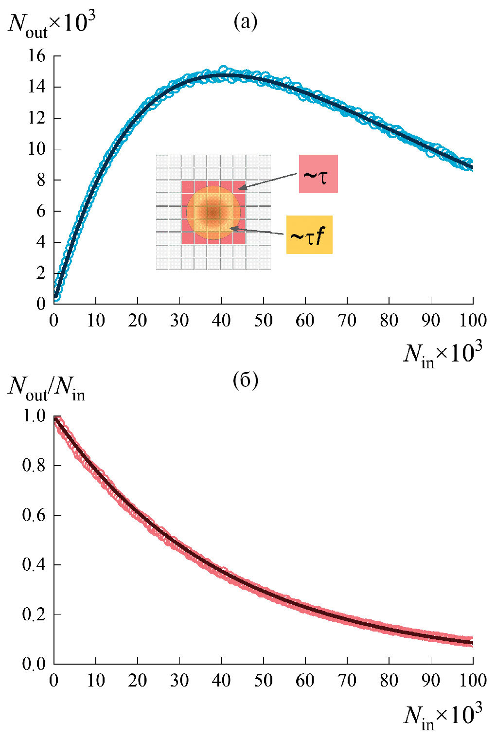
Выбор приемлемой эффективности счета детекторной системы должен базироваться на оценках отношения регистрируемого количества событий к входному потоку. Такие оценки могут быть получены из серии численных экспериментов, заключающихся в генерации сигнала с разной загрузкой и случайным пространственным распределением событий по матрице, его обработке и соотношении получаемой величины регистрируемого потока с величиной входного потока событий. Результаты такого моделирования в диапазоне входных загрузок до 105 фотонов на кадр, а также аппроксимация моделью (1) представлены на рис. 4а.
Рис. 4. Зависимость регистрируемого потока фотонов (а) и эффективности счета (б) от загрузки детектора.
Как видно из рисунка, гибридная модель (1), используемая для описания временных наложений в традиционных энергодисперсионных спектрометрах, хорошо описывает поведение двумерного детектора на базе ПЗС-матрицы при пространственных наложениях событий. В результате аппроксимации результатов численного эксперимента получены следующие параметры модели: τ = 25 × 10–6, f ≈ 0.77.
Параметр t – “мертвая площадь” – является пространственной характеристикой описанного выше алгоритма отсеивания событий, резервирующей под каждое индуцированное фотонным воздействием событие область 5 × 5 пикселей, состоящую из непосредственно занимаемой электронным облаком области со смежным пиксельным пространством. Значение параметра t, определенное из аппроксимации, согласуется с мертвой площадью отдельного события (5 × 5)/106 для используемых ПЗС-матриц размером 1000 × 1000 пикселей и алгоритма обработки наложений.
Параметр f – парализующий фактор, или коэффициент, связанный с конечным размером пикселя и равный отношению реально занимаемой области индуцированного фотонным воздействием события на ПЗС-матрице p к зарезервированной для него мертвой области t. Этот параметр может быть оценен по соотношению для площади p, соответствующей ~20 пикселям. Полученная из общих принципов оценка 0.8 хорошо согласуется со значением парализующего фактора из аппроксимации (1) для предложенного алгоритма обработки наложений и размера матрицы.
На рис. 4б представлена зависимость эффективности счета и идентификации фотонов как результат численного эксперимента, а также ее аппроксимация функцией (1). Для предложенной комбинации ПЗС-камеры и алгоритма обработки наложений сохраняется возможность работы на потоках входной загрузки до 105 фотонов на кадр, однако эффективность счета при этом не превышает 10%. Наилучшие показатели по комбинации эффективности счета, линейности и наличию пиков наложений будут достигнуты при входной загрузке до 104 фотонов на кадр.
В условиях малых загрузок (до 103 фотонов на кадр для выбранной камеры) при надежной фильтрации шумовых составляющих можно пренебречь разницей между физически занимаемой и зарезервированной областями и перейти к классической парализующей модели (f = 1):
(2)
В выбранной интерпретации t как мертвой площади это означает, что эффективность счета равна приведенной оставшейся незанятой площади ПЗС-матрицы (каждый последующий фотон уменьшит свободную площадь в (1 – t) раз).
Количественные оценки параметров модели (1) позволяют проанализировать режимы работы детекторной системы на основе ПЗС-камеры для определения оптимальных параметров проведения экспериментов. При выборе стратегии проведения экспериментов необходимо соблюдение баланса между временем эксперимента, качеством спектров, наличием артефактов, а также искажением абсолютных интенсивностей. Наилучшей стратегией применения выбранной ПЗС-камеры в спектрометрических задачах, требующих наиболее чистых спектров, является работа на загрузках не более 103 фотонов на кадр. Задачи визуализации, где не требуется анализ абсолютных интенсивностей спектральных линий, могут быть успешно решены при загрузках 3 × 104.
Численный эксперимент
Для проверки работы алгоритма анализа кадров с индуцированными воздействием фотонов событиями, реализующего функцию позиционно-чувствительного спектрометра, был проведен численный эксперимент. Тестовый спектр содержал шесть линий, перекрывающих большую часть спектра: 525 (OKα), 1487 (AlKα), 4090 (ScKα), 4460 (ScKβ), 8047 (CuKα), 8905 эВ (CuKβ).
Энергетическую дисперсию спектральных линий моделировали как нормально распределенную величину со среднеквадратичным отклонением шума Фано [49], принципиально ограничивающего энергетическое разрешение полупроводниковых детекторов:
(3)
где E – энергия фотона, F – фактор Фано (0.115 для кремния), ω – энергия образования электронно-дырочной пары (3.62 эВ для кремния).
Пространственная дисперсия заряда, индуцированного фотонным воздействием, подчинялась нормальному распределению [50] со среднеквадратичным отклонением размеров электронного облака scc = 0.35 пикселя. Координаты детектирования фотонов на матрице задавали случайным образом.
Для тестирования были сгенерированы и обработаны две серии экспериментальных данных: 1000 кадров по 103 фотонов и 100 кадров по 104 фотонов в каждом кадре. Суммарное количество фотонов в сериях было одинаковым. Результирующие спектры, полученные при обработке двух серий данных, представлены на рис. 5. Они хорошо согласуются с тестовым спектром по составу и положению основных линий, однако по ширине и интенсивности наблюдаются существенные отличия.
Рис. 5. Спектры, полученные из серии моделированных кадров (квадраты – пики наложений).
Энергетическое разрешение анализатора на основе ПЗС-камеры зависит от алгоритма постобработки, применяемых коррекций, а также от скорости считывания. Уширение линий за счет шумов считывания можно представить следующим образом:
(4)
где FWHM – ширина на полувысоте, nq – количество пикселей, содержащих индуцированный фотонным воздействием заряд единичного события, sread – шум считывания, sF – шум Фано.
Таким образом, шум считывания ПЗС-матрицы вносит определяющий вклад в разрешение спектрометра, причем уширение низкоэнергетических пиков будет значительней. Полученное из численного эксперимента энергетическое разрешение на линии меди CuKα составило FWHM = 200 эВ при частоте считывания 1 МГц, что хорошо согласуется с теоретической оценкой (4) FWHMm = 205 эВ. Тогда для частоты считывания 3 МГц можно ожидать энергетическое разрешение на линии меди 290 эВ, а для частоты 250 кГц разрешение составит 165 эВ.
Уменьшение интенсивностей спектральных линий при увеличении потока фотонов связано с перекачкой событий в пики наложений, а также с отсеиванием событий при частичных наложениях. Для серии данных с 103 фотонов на кадр в спектрах наблюдается незначительное увеличение фона за счет формирования пиков наложений, эффективность счета фотонов превышает 97%. В энергетическом спектре в серии данных с 104 фотонов на кадр наблюдается уменьшение интенсивности пиков и происходит значительное увеличение фона, на котором хорошо различаются пики наложений, а эффективность счета фотонов снижается до 77%.
Экспериментальные результаты
Практической задачей для применения позиционно-чувствительного флуоресцентного детектора является постановка экспериментального метода косселевских СРВ в геометрии “нормальное падение–скользящий выход флуоресценции”. Этот метод предполагает нормальное падение возбуждающего излучения и регистрацию флуоресцентного излучения в геометрии скользящего выхода. В качестве тестового объекта была использована планарная слоистая структура W(3 нм)/Ti(16 нм)/W(3 нм), выращенная методом магнетронного напыления на кремниевой подложке. В таких структурах два тяжелых слоя W играют роль стенок планарного волновода, сравнительно легкий слой Ti образует волноводный канал. В классическом методе СРВ когерентная суперпозиция падающей и отраженных волн внутри волноводной структуры формирует локализованные пучности волнового поля стоячей рентгеновской волны, соответствующие волновым модам TE0, TE1, TE2 (TE – transverse electric) [51] и усиливающие выход флуоресцентного излучения. Такой же эффект с формированием волновых мод наблюдается для косселевских СРВ, измеряемых в геометрии скользящего выхода [52] при интерференции флуоресцентного излучения внутри слоистой структуры. Таким образом, в тестовом эксперименте ожидали зафиксировать неоднородное пространственное распределение флуоресцентного излучения с характерным усилением в области волноводных мод TE0, …, TEn.
Тестирование алгоритма и принципа сбора флуоресцентного сигнала с пространственным разрешением в эксперименте в геометрии “нормальное падение–скользящий выход флуоресценции” проводили на станции “Микрофокус” Курчатовского источника синхротронного излучения. Использовали излучение, генерируемое поворотным магнитом. Для возбуждения флуоресцентного сигнала от исследуемой структуры была выбрана энергия 11.4 кэВ, между значениями энергии L2- и L3-краев поглощения вольфрама. Пучок формировали с помощью монохроматора и двукратного отражения на базе периодических многослойных структур, обеспечивающих энергетическое разрешение ∆λ/λ = 10–2, высшие гармоники подавляли с использованием плоского кремниевого зеркала. Минимизации влияния параллакса на пространственное распределение флуоресцентного излучения достигали фокусировкой пучка с помощью поликапиллярной линзы до размера 100 × 100 мкм в позиции образца.
Образец устанавливали перпендикулярно падающему излучению. ПЗС-камеру размещали под углом 90° к направлению падения излучения, формируя геометрию для регистрации флуоресцентного излучения при скользящих углах выхода. Расстояние от области засветки образца до центра камеры составляло 225 мм. При регистрации флуоресцентного спектра использовали режим съемки с частотой считывания 1 МГц, что обеспечило энергетическое разрешение 180 эВ (на дублете линий TiKα), достаточное для разделения Kα- и Kβ-линий титана. Всего по алгоритму было обработано 10000 кадров. При выбранной экспозиции одного кадра 1 с средняя загрузка ПЗС-камеры составила 5000 фотонов на кадр, что соответствует средней по площади детектора эффективности счета 90%. Вклад наложений в спектре на уровне 10% сохраняет возможность использования полученных данных для визуализации и качественного анализа пространственно-энергетической структуры флуоресцентного излучения. Для решения метрологических задач и математического анализа таких экспериментальных данных требуется коррекция спектров с учетом наложений, что является отдельной задачей, требующей систематического анализа и проработки. Классический подход нормирования на “живое время”, широко применяемый при обработке спектров, не учитывает соотношение спектральных линий и нелинейный характер формирования наложений, из-за чего отношение интенсивностей линий может быть измерено неверно.
Итоговый спектр флуоресцентного излучения структуры W(3 нм)/Ti(16 нм)/W(3 нм), полученный интегрированием сигнала по всем пикселям детектора, представлен на рис. 6. Полный набор экспериментальных данных представляет собой гиперспектральное изображение – трехмерный массив данных, включающий в себя спектральную информацию для каждого пикселя ПЗС, и отражает информацию о пространственно-энергетической структуре флуоресцентного излучения, выходящего под скользящими углами из слоистой структуры (рис. 7а).
Рис. 6. Флуоресцентный спектр образца W(3 нм)/Ti(16 нм)/W(3 нм): звездочки – флуоресцентные линии экспериментального оборудования, треугольники – пики вылета, квадраты – пики наложений.
Рис. 7. Гиперспектральное изображение (а) и пространственные распределения дублета Kα-линии титана (б) и Lα1-линии вольфрама (в) по ПЗС-матрице.
Все энергетические пики характеризуются ярко выраженным затянутым левым хвостом. Этот эффект вызван растеканием заряда – заряд, генерируемый фотонами, распределяется по нескольким пикселям ПЗС-матрицы. Из-за варьирования размеров индуцированного фотонным возбуждением электронного облака [31] его края могут выходить за пределы кластера 3 × 3 пикселя. Заряд, содержащийся в таких периферийных пикселях, неотличим от шумов считывания. В таком случае в процессе выделения событий происходит систематическое отсечение части индуцированного заряда. Увеличение области детектирования единичного события позволило бы учесть эффект растекания заряда, но повлекло бы за собой увеличение мертвой площади из-за повышенной вероятности наложений.
Карты пространственного распределения отдельных флуоресцентных линий получают простым интегрированием гиперспектрального изображения в выбранных энергетических пределах. Для наложенных спектральных линий, таких как Lβ-линии вольфрама, необходимо применение декомпозиции, например доступной в PyMCA [53]. На рис. 7 представлены соответствующие карты распределения дублета Kα-линий титана (рис. 7б), проинтегрированные в диапазоне 4.187–4.742 кэВ, и Lα1-линии вольфрама (рис. 7в), проинтегрированные в диапазоне 8.226–8.586 кэВ.
На картах распределений отчетливо видна неоднородная структура флуоресцентного излучения с характерными линиями вдоль азимутального направления. Локальное усиление флуоресцентного излучения связано с внутренним резонансом и формированием волноводных мод в тонкопленочном тестовом образце. Положения и структура максимумов различных флуоресцентных линий определяются длиной волны, а также пространственным распределением материала. Тестовая структура не имеет латеральных особенностей, поэтому на картах распределения нет модуляций по азимутальному направлению, и они могут быть по нему проинтегрированы для получения зависимостей интенсивности флуоресцентного излучения от угла выхода (рис. 7, сплошные линии). Такие угловые зависимости обладают хорошей статистикой и могут быть использованы для дальнейшей математической обработки и получения информации о структуре исследуемого объекта.
Заключение
Предложен алгоритм обработки сигналов ПЗС-камер, позволяющий расширить их функциональные возможности до записи гиперспектральных изображений в области 0.1–20 кэВ. Предложен ряд решений, которые дают возможность улучшить рабочие параметры анализатора. Использование пороговой дискриминации на основе среднеквадратичного отклонения шумов считывания является эффективным решением проблемы регистрации фотонов на фоне шумов, что особенно актуально при работе с низкоэнергетическим излучением. Коррекция эффекта неоднородного определения энергии фотонов, связанного с неэффективностью перемещения заряда по ПЗС-матрице, позволяет значительно улучшить энергетическое разрешение (на 83 эВ для дублета Kα-линий меди при частоте считывания 1 МГц).
На основе моделей мертвого времени счетных устройств выведена зависимость эффективности счета разработанного анализатора от величины входящего потока фотонов. Это особо актуально при работе с синхротронными источниками, так как по мере увеличения входящего потока растет удельное количество наложений, искажающих энергетический спектр. Открытой остается задача увеличения эффективности регистрации спектров с применением ПЗС-камер при высоких загрузках. Одним из предполагаемых решений является восстановление величины потока и удельной интенсивности энергетических линий в спектре.
Алгоритм апробировали на данных, полученных в результате эксперимента в геометрии “нормальное падение–скользящий выход флуоресценции” на трехслойной волноводной структуре W/Ti/W. Для метрологических применений загрузка ПЗС-камеры не должна превышать 1000 фотонов на кадр. Достигнутого энергетического разрешения разработанного анализатора (180 эВ для дублета Kα-линий титана) при частоте считывания 1 МГц достаточно для проведения экспериментов этим методом.
Авторы выражают благодарность Г.В. Пруцкову (НИЦ “Курчатовский институт”) за помощь в проведении эксперимента на синхротронной станции “Микрофокус”. Также авторы выражают благодарность И.В. Афанасьевой и коллективу Лаборатории перспективных разработок САО РАН за техническую поддержку работ с ПЗС-камерой. Один из авторов (С.Н. Якунин) выражает благодарность профессору И.А. Махоткину (University of Twente) за полезное обсуждение работы по постановке экспериментального метода “нормальное падение–скользящий выход флуоресценции”.
Работа выполнена при финансовой поддержке Российского фонда фундаментальных исследований (грант № 19-29-12038).
About the authors
А. I. Safonov
National Research Center “Kurchatov Institute”
Author for correspondence.
Email: Safonov_AIg@nrcki.ru
Russian Federation, Moscow
K. V. Nikolaev
National Research Center “Kurchatov Institute”; Moscow Institute of Physics and Technology (State University)
Email: Safonov_AIg@nrcki.ru
Russian Federation, Moscow; Moscow
S. N. Yakunin
National Research Center “Kurchatov Institute”
Email: Safonov_AIg@nrcki.ru
Russian Federation, Moscow
References
- Zegenhagen J., Kazimirov A. X-ray Standing Wave Technique, The Principles And Applications. World Scientific, 2013. V. 7.
- Ковальчук М.В., Новикова Н.Н., Якунин С.Н. // Природа. 2012. № 12. С. 3.
- Kossel W., Loeck V., Voges H. // Z. Phys. 1935. B. 94. № 1. S. 139. https://doi.org/10.1007/BF01330803
- Baumann J., Kayser Y., Kanngießer B. // Phys. Status Solidi. B. 2021. V. 258. № 3. P. 2000471.
- Bergmann U., Glatzel P. // Photosynth. Res. 2009. V. 102. P. 255. Https://doi.org/10.1007/s11120-009-9483-6
- Лидер В.В. // Успехи физ. наук. 2018. Т. 188. № 10. С. 1081. https://doi.org/10.3367/UFNr.2017.07.038174
- Schioppa E.J. The Color of X-Rays: Spectral X-Ray Computed Tomography using Energy Sensitive Pixel Detectors. Amsterdam U., 2014. № CERN-THESIS-2014–179.
- Lazzari O., Jacques S., Sochi T., Barnes P. // Analyst. 2009. V. 134. № 9. P. 1802. https://doi.org/10.1039/B901726G
- Hönicke P., Kayser Y., Nikolaev K.V. et al. // Small. 2022. V. 18. P. 2105776. https://doi.org/10.1002/smll.202105776
- Staeck S., Andrle A., Hönicke P. et al. // Nanomaterials. 2022. V. 12. P. 3766. https://doi.org/10.3390/nano12213766
- Skroblin D., Herrero A.F., Siefke T. et al. // Nanoscale. 2022. V. 14. № 41. P. 15475. https://doi.org/10.1039/D2NR03046B
- Maiden A.M., Morrison G.R., Kaulich B. et al. // Nat. Commun. 2013. V. 4. № 1. P. 1669. https://doi.org/10.1038/ncomms2640
- Batey D.J., Cipiccia S., Van Assche F. et al. // Sci. Rep. 2019. V. 9. № 1. P. 12278. https://doi.org/10.1038/s41598-019-48642-y
- Fröjdh E. Hybrid Pixel Detectors: Characterization and Optimization: Thesis. Mid Sweden University, 2015.
- Pennicard D., Lange S., Smoljanin S. et al. // J. Phys. Conf. Ser. 2013. V. 425. № 6. P. 062010. https://doi.org/10.1088/1742-6596/425/6/062010
- Catura R.C., Smithson R.C. // Rev. Sci. Instrum. 1979. V. 50. № 2. P. 219. https://doi.org/10.1063/1.1135790
- Bailey R., Damerell C.J.S., English R.L. et al. // Nucl. Instrum. Methods. 1983. V. 213. № 2–3. P. 201. https://doi.org/10.1016/0167-5087(83)90413-1
- Walton D., Stem R.A., Catura R.C. et al. // Proc. SPIE. 1984. V. 501. P. 306. https://doi.org/10.1117/12.944675
- Pinotti E., Bräuninger H., Findeis N. et al. // Nucl. Instrum. Methods Phys. Res. A. 1993. V. 326. № 1–2. P. 85. https://doi.org/10.1016/0168-9002(93)90337-H
- Hynecek J. // IEEE Trans. Electron Devices. 1992. V. 39. № 8. P. 1972. https://doi.org/10.1109/16.144694
- Turner M.J.L., Abbey A., Arnaud M. et al. // Astron. Astrophys. 2001. V. 365. № 1. P. L27. https://doi.org/10.1051/0004-6361:20000087
- Gendreau K.C. X-Ray CCDS for Space Applications: Calibration, Radiation Hardness, and Use for Measuring the Spectrum of the Cosmic X-Ray Background: Thesis. Massachusetts Institute of Technology, 1995.
- Baumann J., Gnewkow R., Staeck S. et al. // J. Anal. At. Spectrom. 2018. V. 33. № 12. P. 2043. https://doi.org/10.1039/C8JA00212F
- Allen F.G., Gobeli G.W. // Phys. Rev. 1962. V. 127. № 1. P. 150. https://doi.org/10.1103/PhysRev.127.150
- Tamm I. // Z. Phys. 1932. B. 76. № 11–12. S. 849. https://doi.org/10.1007/BF01341581
- El Gamal A., Eltoukhy H. // IEEE Circuit. Devic. 2005. V. 21. № 3. P. 6. https://doi.org/10.1109/MCD.2005.1438751
- Белоус Д.А. // Изв. вузов России. Радиоэлектроника. 2017. № 3. С. 60.
- Ильин А.А., Виноградов А.Н., Егоров В.В. и др. // Современные проблемы дистанционного зондирования Земли из космоса. 2013. Т. 10. № 3. С. 106.
- Юшкин М.В., Клочкова В.Г. Комплекс программ обработки эшелле-спектров. Препринт САО. 2004. № 206.
- Ишханов Б.С., Капитонов И.М., Кэбин Э.И. Частицы и ядра. Эксперимент. М.: МАКС Пресс, 2013. С. 260.
- Jakubek J. // Nucl. Instrum. Methods Phys. Res. A. 2009. V. 607. № 1. P. 192. https://doi.org/10.1016/j.nima.2009.03.148
- Prigozhin G., Butler N.R., Kissel S.E., Ricker G.R. // IEEE Trans. Electron Devices. 2003. V. 50. № 1. P. 246. https://doi.org/10.1109/TED.2002.806470
- Abboud A., Send S., Pashniak N. et al. // J. Instrum. 2013. V. 8. № 05. P. P05005. https://doi.org/10.1088/1748-0221/8/05/P05005
- Blaj G., Chang C.E., Kenney C.J. // AIP Conf. Proc. 2019. V. 2054. № 1. P. 060077. https://doi.org/10.1063/1.5084708
- Hernández G., Fernández F. // Appl. Phys. B. 2018. V. 124. P. 1. https://doi.org/10.1007/s00340-018-6982-1
- Shustov A.E., Ulin S.E. // Phys. Proc. 2015. V. 74. P. 399. https://doi.org/10.1016/j.phpro.2015.09.210
- Dutton T.E., Woodward W.F., Lomheim T.S. // P. Soc. Photo. Opt. Ins. 1998. V. 3301. P. 52. https://doi.org/10.1117/12.304568
- Тучин М.С., Бирюков А.В., Захаров А.И., Прохоров М.Е. // Механика, управление и информатика. 2013. № 13. С. 249.
- Christen F., Kuijken K., Baade D. et al. // Scientific Detectors for Astronomy 2005: Explorers of the Photon Odyssey. Dordrecht: Springer Netherlands, 2006. P. 543.
- Fumo P., Waldron E., Laine J.P., Evans G. // J. Astron. Telesc. Instrum. Syst. 2015. V. 1. № 2. P. 028002. https://doi.org/10.1117/1.JATIS.1.2.028002
- Старовойтов В.В. // Информатика. 2017. № 2. С. 70.
- Narwaria M., Lin W. // IEEE Trans. Systems, Man, Cybernetics. B. 2011. V. 42. № 2. P. 347. https://doi.org/10.1109/TSMCB.2011.2163391
- Gerbrands J.J. // Pattern Recognit. 1981. V. 14. № 1–6. P. 375. https://doi.org/10.1016/0031-3203(81)90082-0
- Jha S.K., Yadava R.D.S. // IEEE Sens. J. 2010. V. 11. № 1. P. 35. https://doi.org/10.1109/JSEN.2010.2049351
- Feller W. Courant Anniversary Volume. New York, 1948. P. 105.
- Evans R.D., Evans R.D. The Atomic Nucleus. New York: McGraw-Hill, 1955. P. 582.
- Lee S.H., Gardner R.P. // Appl. Radiat. Isot. 2000. V. 53. № 4–5. P. 731. https://doi.org/10.1016/S0969-8043(00)00261-X
- Patil A., Usman S. // Nucl. Technol. 2009. V. 165. № 2. P. 249. https://doi.org/10.13182/NT09-A4090
- Fano U. // Phys. Rev. 1947. V. 72. № 1. P. 26. https://doi.org/10.1103/PhysRev.72.26
- Abboud A., Send S., Pashniak N. et al. // J. Instrum. 2013. V. 8. P. P05005. https://doi.org/10.1088/1748-0221/8/05/P05005
- Kondratev O.A., Makhotkin I.A., Yakunin S.N. // Appl. Surf. Sci. 2022. V. 574. P. 151573. https://doi.org/10.1016/j.apsusc.2021.151573
- Nikolaev K.V., Safonov A.I., Kondratev O.A. et al. // J. Appl. Cryst. 2023. V. 56. № 5. P. 1435. https://doi.org/10.1107/S1600576723007112
- Solé V.A., Papillon E., Cotte M. et al. // Spectrochim. Acta. B. 2007. V. 62. № 1. P. 63. https://doi.org/10.1016/j.sab.2006.12.002
Supplementary files









