Accounting for the imperfection of the spectrophotometric complex optical elements when measuring transmission spectra of gyrotropic uniaxial crystals. I. Samples are cut perpendicular to the optical axis
- Authors: Golovina T.G.1, Konstantinova A.F.1, Zabelina Е.V.1, Kozlova N.S.2, Kasimova V.М.2
-
Affiliations:
- Shubnikov Institute of Crystallography of Kurchatov Complex of Crystallography and Photonics of NRC “Kurchatov Institute”
- National University of Science and Technology MISIS
- Issue: Vol 70, No 1 (2025)
- Pages: 42-52
- Section: ФИЗИЧЕСКИЕ СВОЙСТВА КРИСТАЛЛОВ
- URL: https://medbiosci.ru/0023-4761/article/view/286243
- DOI: https://doi.org/10.7868/S3034551025010061
- EDN: https://elibrary.ru/ITMHLM
- ID: 286243
Cite item
Abstract
A theoretical and experimental study of the effect of imperfections of the polarizer, analyzer and photomultiplier tube (PMT) on the measurement results of spectral transmission dependences of catangasite crystals Ca3TaGa3Si2O14 cut perpendicular to the optical axis has been carried out. There is a difference between the spectra obtained with p- and s-polarizations of incident light and the jumps on the curves at λ = 1050 nm. This is due to the imperfection of the PMT and the optical activity of the crystal. The estimation of the parameters of the PMT from experimental data depending on the wavelength is carried out. The influence of the imperfection of the PMT and polarizers on the results of calculating the rotation of the plane of polarization of light ρ is studied. It is shown that transmission spectra measured at angles between the polarizer and the analyzer ±45° are necessary for accurate calculation of the value of ρ. The measurement errors obtained depend on the change of optical elements in a particular device.
Full Text
Введение
Для правильной интерпретации результатов спектрофотометрических измерений необходимо учитывать погрешности, связанные с неидеальностью оптических элементов прибора [1]. Также нужно принимать во внимание погрешности, связанные с несовершенством образца: дефектами, неоднородностями, качеством полировки поверхности, точностью ориентировки. Кроме того, существует погрешность установки образца в измерительной камере относительно падающего пучка.
Таким образом, при реальных экспериментах погрешность спектрофотометрических измерений превышает заданную в руководстве по эксплуатации. Проблема несовершенства отдельных оптических элементов прибора обсуждается не так часто, при этом оно может существенно влиять на результаты измерений оптических свойств.
В [2] теоретически изучено влияние несовершенства элементов спектрофотометрического комплекса на коэффициенты пропускания света, прошедшего через пластинку одноосного оптически активного кристалла, вырезанного перпендикулярно оптической оси. Но в данной работе недостаточно экспериментальных данных, а также рассмотрены далеко не все интересные случаи.
В каждом приборе имеются особенности, определяющие погрешности проводимых измерений. Для оценки этих погрешностей необходимо измерить спектральные зависимости коэффициентов пропускания света в неполяризованном и поляризованном свете для разных образцов при их разной ориентации. При этом лучше использовать кристаллы, оптические свойства которых достаточно хорошо изучены. Примером таких кристаллов являются кристаллы семейства лангасита, которые впервые выращены Б.В. Миллем [3]. Первые измерения показателей преломления и параметров оптической активности лангаситов представлены в [4, 5]. В настоящее время эти кристаллы находят широкое практическое применение и выращиваются хорошего оптического качества [6, 7].
Настоящая работа посвящена теоретическому и экспериментальному исследованию неидеальности оптических элементов спектрофотометра на примере измерений кристаллов катангасита Ca3TaGa3Si2O14, вырезанных перпендикулярно оптической оси. Проведен анализ влияния несовершенства поляризатора, анализатора и фотоэлектронного умножителя (ФЭУ) на измеряемые спектры коэффициентов пропускания.
Если возьмем другие кристаллы и другой спектрофотометр, могут появиться погрешности, отличные от исследованных в настоящей работе. Но с помощью полученных результатов можно определить, на какие величины нужно обращать внимание, чтобы получать правильные результаты для разных кристаллов и на любом спектрофотометре.
Измерение и расчет коэффициентов пропускания света с учетом неидеальности элементов спектрофотометрического комплекса
Измерения спектров пропускания кристаллов проведены в диапазоне λ = 200–2500 нм с шагом 1 нм на спектрофотометре Cary-5000 с универсальной измерительной приставкой UMA [8] в неполяризованном и поляризованном свете с использованием двух поляризаторов Глана–Тейлора.
Рассмотрим три случая измерения спектров пропускания света: без поляризатора; с одним поляризатором в положениях, которые соответствуют p- и s-поляризациям падающего на кристалл света; с поляризатором и анализатором при разных углах τ между направлениями их наибольшего пропускания. Исследованы кристаллы, прозрачные в большей части выбранного диапазона, не имеющие ярко выраженных полос поглощения.
Измеряемые интенсивности прошедшего света нормированы из условия, что пропускание без образца равно 100%. Для нормировки спектров пропускания использовали базовые линии.
Базовые линии для трех рассмотренных случаев приведены на рис. 1. Базовая линия, соответствующая 100%-ному пропусканию без поляризатора (рис. 1а), имеет заметный скачок при 1050 нм, связанный, вероятно, со сменой канала в детекторе прибора (переход с Si на InGaAs в соответствии со штатными настройками спектрофотометра Cary-5000 c приставкой UMA [9]). Также имеет место незначительная “ступенька” при λ = 720 нм (при этой длине волны происходит “смена решетки” [9]). Исходя из вида базовых линий с поляризатором (рис. 1б) можно предположить, что поляризация падающего света меняется скачком при длинах волн λ = 720 и 1050 нм, так как при этих длинах волн на кривых имеются разрывы. При измерениях с поляризатором и анализатором важна точность нулевой базовой линии, т.е. отличие пропускания скрещенных поляризаторов от нуля должно быть минимальным (рис. 1в, 1г). В УФ-области при λ = 200–300 нм измерения с данными поляризаторами невозможны (пропускание скрещенных поляризаторов становится больше, чем их пропускание в параллельном положении). Если положение параллельных поляризаторов соответствует p-поляризации, пропускание поляризаторов в видимой области больше (рис. 1в), поэтому для измерений в видимой области лучше использовать именно это положение. В ИК-области, наоборот, лучше проводить измерения при s-поляризации, так как пропускание скрещенных поляризаторов заметно меньше, чем при p-поляризации (вставки на рис. 1в, 1г).
Рис. 1. Базовые линии: а – без поляризатора, 100 и 0%; б – 100 и 0% с поляризатором для s- и p-поляризаций; в, г – с поляризатором и анализатором, 100% – поляризатор и анализатор параллельны, 0% – поляризатор и анализатор скрещены, на вставках показана нулевая линия в увеличенном масштабе; в – p-поляризация, г – s-поляризация.
На всех базовых линиях (рис. 1) имеются особенности при длинах волн λ = 720 и 1050 нм. Рассмотрим, как данные особенности будут сказываться при измерениях спектров пропускания света.
Для расчета интенсивности прошедшего света можно использовать метод матриц Мюллера [1]. Вычислим интенсивность света как первую компоненту вектора Стокса S. В случае наличия и поляризатора, и анализатора вектор S имеет вид
S = MF·MA·M·MP·S0, (1)
где MP, MA, M, MF – матрицы Мюллера поляризатора, анализатора, пластинки и ФЭУ соответственно, S0 – вектор Стокса падающего света; для неполяризованного света S0 = {1, 0, 0, 0}. Нормировку расчетных спектров проводим также, как должны нормироваться экспериментальные спектры – из условия, что пропускание рассматриваемых элементов без образца равно 100%. Все расчеты проведены с помощью программы Wolfram Mathematica [10].
Матрица Мюллера одноосного поглощающего оптически активного кристалла в системе главных осей (проекция оптической оси на плоскость пластинки параллельна оси x) имеет вид [11]:
, (2)
– разность фаз в пластинке, , величина характеризует дихроизм пластинки, n1, n2 – показатели преломления, κ1, κ2 – показатели поглощения кристалла в данном направлении, , k = tgγ – эллиптичность собственных волн [12].
В случае образца, вырезанного перпендикулярно оптической оси, линейное двупреломление и линейный дихроизм равны нулю. В оптически активном кристалле вдоль оптической оси распространяются две циркулярно поляризованные волны. При этом k = ±1, Δ = 2ρd, ρ – вращение плоскости поляризации проходящего через кристалл света [13], δ характеризует циркулярный дихроизм – различие поглощения волн правой и левой круговых поляризаций [14]. Для матрицы Мюллера получим (оптическая ось параллельна оси z):
. (3)
Из оптических элементов в рассматриваемом случае есть поляризатор, анализатор и ФЭУ. Все они могут быть неидеальными. Пусть p1 – пропускание поляризатора в направлении наибольшего пропускания, p2 – пропускание поляризатора в перпендикулярном направлении [1]. В идеальном случае p2 = 0. Матрица неидеального поляризатора имеет вид [1]:
. (4)
Здесь α – угол между направлением наибольшего пропускания поляризатора и осью x. Направление x выбрано так, что α = 0 соответствует p-поляризации прошедшего через поляризатор света, α = 90° – s-поляризации. Аналогичную матрицу можно записать для анализатора.
Неидеальность поляризатора можно оценить по пропусканию скрещенных поляризаторов (отношение пропускания скрещенных и параллельных поляризаторов ~ 2p2/p1). Из рис. 1в, 1г видно, что величина p2 значительна в диапазоне λ = 200–300 нм. Также p2 ≠ 0 в ИК-области при p-поляризации (рис. 1в), но в этом случае отношение p2/p1 не превышает 0.015.
Помимо поляризатора и анализатора погрешность может вносить детектор прибора (ФЭУ). Пусть параметр f1 характеризует регистрацию излучения p-поляризации, f2 – регистрацию излучения s-поляризации. Матрица Мюллера неидеального ФЭУ имеет такой же вид, как и матрица неидеального поляризатора [15]. В идеальном случае f1 = f2 = 1, матрица Мюллера ФЭУ становится единичной матрицей, и получаемая интенсивность света совпадает с интенсивностью без учета ФЭУ. В случае f1 ≠ f2 ФЭУ играет роль “частичного” анализатора.
Расчет по методу матриц Мюллера для одноосных кристаллов, вырезанных перпендикулярно оптической оси, для некоторых случаев рассмотрен в [2]. При этом неидеальность оптических элементов рассмотрена в [2] без оценки соответствующих параметров для конкретного прибора. В настоящей работе проведем сравнение экспериментальных и расчетных данных для конкретных кристаллов, представляющих практический интерес.
Спектры пропускания пластинки, вырезанной перпендикулярно оптической оси (z-срез)
Без поляризатора
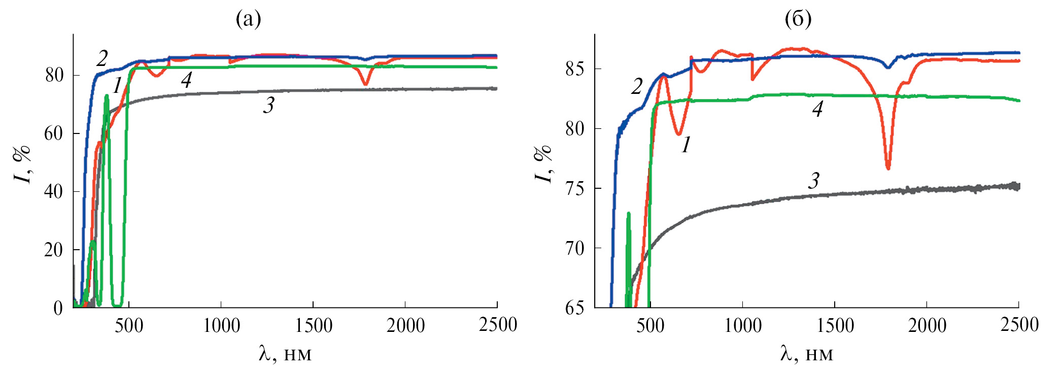
Рассмотрим спектры коэффициентов пропускания кристаллов катангасита Ca3TaGa3Si2O14 (толстый образец d = 10 мм и тонкий образец d = 1 мм), ниобата лития LiNbO3 и граната Gd3Al2Ga3O12:Ce в неполяризованном свете (рис. 2). Все образцы вырезаны из кристаллов, выращенных в АО “Фомос-Материалы” [6]. Спектр для толстого образца Ca3TaGa3Si2O14 имеет ярко выраженные скачки при λ = 720 нм (“смена решетки”) и 1050 нм (смена канала в детекторе прибора). Для тонкого образца Ca3TaGa3Si2O14 скачок заметен только при λ = 720 нм. При этом практически незаметны скачки для LiNbO3 и Gd3Al2Ga3O12:Ce.
Рис. 2. Спектры пропускания в разных масштабах: 1 – толстый образец катангасита Ca3TaGa3Si2O14 (d = 10 мм), 2 – тонкий образец Ca3TaGa3Si2O14 (d = 1 мм), 3 – ниобат лития LiNbO3 (d = 1 мм), 4 – гранат Gd3Al2Ga3O12:Ce (d = 1.94 мм).
Для обоих образцов Ca3TaGa3Si2O14 присутствует полоса поглощения при λ = 1800 нм. Отметим, что эта полоса есть у разных лангаситов, природа ее пока не определена однозначно.
Для неполяризованного света S0 = {1, 0, 0, 0}, I = I0e–ζ. Таким образом, если считать, что падает неполяризованный свет, скачков на графиках не должно быть.
Так как падающий свет на самом деле не является неполяризованным, а имеет частичную эллиптическую поляризацию, скачок при λ = 720 нм можно связать со сменой поляризации падающего света. Проведем расчет интенсивности прошедшего света для случая падения света произвольной эллиптической поляризации.
Если записать вектор Стокса падающего излучения эллиптической поляризации в виде [1]:
S0 = {1, cos2ωcos2χ, cos2ωsin2χ, sin2ω}, (5)
где χ характеризует азимут, а ω – эллиптичность падающего света, из (1) получим
. (6)
При λ = 720 нм происходит “смена решетки” и может скачком измениться поляризация падающего света. При λ = 1050 нм в результате смены параметров детектора прибора могут скачком измениться величины f1, f2. Из-за этого появляется сдвиг зависимостей коэффициентов пропускания (скачки на кривых, рис. 2). В случае идеального ФЭУ f1 = f2, а интенсивность прошедшего света не зависит от поляризации падающего света. При неидеальном ФЭУ зависимость от поляризации падающего света есть, так как выражение (6) содержит параметры ω и χ, но при отсутствии оптической активности эти параметры должны сокращаться при нормировке. Это подтверждается отсутствием заметных сдвигов на кривых для оптически неактивных кристаллов LiNbO3 и Gd3Al2Ga3O12:Ce, а также тем, что для толстого образца Ca3TaGa3Si2O14 с большей величиной ρd эти сдвиги гораздо более выражены, чем для тонкого.
Отметим, что скачки на спектрах пропускания появляются для любых кристаллов, в том числе оптически неактивных (рис. 2, кривые 3, 4), но при отсутствии оптической активности они малы и меньше погрешности эксперимента. Поэтому можно сделать вывод, что в данном случае присутствуют и другие погрешности.
Для более точной оценки погрешностей эксперимента рассмотрим спектры пропускания в поляризованном свете.
С поляризатором без анализатора, p- и s-поляризация падающего света
Интенсивности прошедшего света, полученные для p- и s-поляризаций падающего света для образцов стекла и кристаллов катангасита Ca3TaGa3Si2O14 разной толщины, показаны на рис. 3. Отметим, что в идеальном случае интенсивность прошедшего света должна быть одинакова при p- и s-поляризации.
Рис. 3. Результаты измерения интенсивности прошедшего света при p- и s-поляризациях и усредненные спектры (Ip + Is)/2: а – контрольный светофильтр из стекла ЖС-3, d = 2.14 мм (1), и Ca3TaGa3Si2O14, d = 1 мм (2); б – Ca3TaGa3Si2O14, d = 10 мм; в – сравнение усредненных спектров для стекла (1), тонкого (2) и толстого (3) образцов Ca3TaGa3Si2O14.
Наблюдаемая разница в интенсивностях может быть связана с неидеальностью оптических элементов: поляризатора и ФЭУ. Тогда в случае падения света эллиптической поляризации, если поляризатор ориентирован в направлении x (на кристалл падает свет p-поляризации):
(7)
При идеальном ФЭУ (f1 = f2), но неидеальном поляризаторе получим
(8)
Добавка, связанная с неидеальностью поляризатора, пропорциональна произведению малых величин shδ и p2(1/2), при отсутствии циркулярного дихроизма (δ = 0) величины p1 и p2 сокращаются при нормировке. Поэтому, так как учитываем только погрешности первого порядка малости, неидеальность поляризатора в данном случае можно не рассматривать.
Если считать поляризатор идеальным (p2 = 0), формулы заметно упрощаются. Для p- и s-поляризаций получим
(9)
(10)
При этом данные формулы имеют одинаковый вид при падении на поляризатор неполяризованного света и света произвольной эллиптической поляризации. Видно, что при неидеальном ФЭУ (f2 ≠ f1) интенсивность прошедшего света зависит от величины оптической активности. В идеальном случае должно быть I0p = I0s, но на рис. 3 это не выполняется. Связано это различие, скорее всего, с нормировкой прибора (p- и s-поляризации нормируются по-разному). При этом разные величины Ip и Is наблюдаются, в том числе, для стекла, не имеющего оптической активности и двупреломления (кривые 1 на рис. 3а). Для толстого образца Ca3TaGa3Si2O14 наблюдается заметный скачок на кривых при λ = 1050 нм, связанный с изменением параметров ФЭУ (отношения f1/f2). Из (9), (10) видно, что скачок будет наибольшим при cos2ρd = –1, а при cos2ρd = 1 он отсутствует (если считать δ = 0). Используя значения ρ из [7, 16], для толстого образца Ca3TaGa3Si2O14 получим cos2ρd = –0.91, а для тонкого cos2ρd = 0.94. Поэтому для тонкого образца Ca3TaGa3Si2O14 скачок практически не заметен. Также для толстого образца присутствуют осцилляции при длинах волн λ < 1050 нм (рис. 3б), связанные с большой величиной ρd в этой области. При λ = 720 нм нет скачка ни на одной из кривых.
Таким образом, отдельные спектры Ip и Is становятся разными вследствие разной нормировки для p- и s-поляризаций и неидеальности ФЭУ. Разница между полученными кривыми и их точки пересечения зависят в первую очередь от оптической активности и величины f1/f2.
Для получения более корректного спектра рассмотрим величину (рис. 3а, 3б, пунктирные кривые). Циркулярный дихроизм в данном случае очень мал, поэтому считаем δ = 0. Пусть f2/f1 = 1 + h, |h| << 1. Тогда в первом приближении f1/f2 ≈ 1 – h,
Ip = (I0p/2)e–ζ(2 + h – hcos2ρd), Is = (I0s/2)e–ζ(2 – h + hcos2ρd).
Считая I0s = I0p + ΔI, ΔI << I0s, ΔI << I0p и учитывая только члены первого порядка малости, получим
(Ip + Is)/2 = e–ζ(I0p + ΔI/2). (11)
Таким образом, величина (Ip + Is)/2 в первом приближении не зависит от величин оптической активности и f2/f1. Поэтому полусумма (Ip + Is)/2 более корректно определяет пропускание кристалла, чем отдельные спектры Ip и Is. Для толстого образца катангасита (d = 10 мм) использование усредненного спектра не устраняет полностью погрешности, связанные с неидеальностью ФЭУ (остается скачок при λ = 1050 нм, рис. 3в). В этом случае величина 2ρd велика и нужен учет второго порядка малости.
Для расчета интенсивностей прошедшего света с учетом неидеальности ФЭУ нужно сначала оценить отношение f1/f2 в зависимости от длины волны. Из рис. 3б видно, что величина f1/f2 должна меняться скачком при λ = 1050 нм.
Для оценки f1/f2 ≈ 1 – h из экспериментальных спектров пропускания используем формулу
hsin2ρd = (Ip – Is + ΔIe–ζ)/(Ip + Is), (12)
где ΔIe–ζ принимаем равным разнице между экспериментальными Ip и Is на длине волны 2500 нм (для тонкого образца ΔIe–ζ = 88.3 – 87.2 = 1.1). При этом, так как h – малая величина, формула (12) дает корректные результаты только при значениях sin2ρd, близких к единице. Лучше всего использовать точки, в которых sin2ρd = 1. Поэтому оценить f1/f2 можно только на толстом образце и при тех длинах волн, при которых значение sin2ρd достаточно велико.
Для тонкого образца величины f1/f2 рассчитаны в области λ = 400–570 нм, в остальном диапазоне f1/f2 принято константой, равной 1.033 (константа выбиралась так, чтобы полученная кривая была гладкой, рис. 4а). Рассчитанные при разных длинах волн в диапазоне λ = 400–570 нм значения f1/f2 экстраполированы зависимостью
f1/f2 = –1.07 × 104 – 1.63 × 108/λ2 + + 2.05 × 106/λ + 29.71 λ – 0.046 λ2 +
+ 3.82 × 10–5 λ3 – 1.31 × 10–8 λ4. (13)
Рис. 4. Расчет f1/f2 и интенсивностей прошедшего света для кристаллов катангасита при I0p = 88.3 и I0s = 87.2: а – расчет f1/f2 для тонкого образца (d = 1 мм), б, в – расчет интенсивностей прошедшего света для тонкого (б) и толстого (в) образцов с полученными данными f1/f2; г – расчет f1/f2 для толстого образца (d = 10 мм), д, е – расчет интенсивностей прошедшего света для тонкого (д) и толстого (е) образцов с полученными данными f1/f2.
Результаты расчета интенсивностей прошедшего света по формулам (9), (10) с полученными величинами f1/f2 (13) приведены на рис. 4б, 4в для толщин образцов 1 и 10 мм. За I0p и I0s приняты величины Ip и Is при λ = 2500 нм для образца Ca3TaGa3Si2O14 толщиной d = 1 мм: I0p = 88.3, I0 = 87.2. Видно, что полученные кривые не слишком хорошо согласуются с экспериментальными, особенно для толщины 10 мм. Связано это с тем, что для тонкого образца невозможно правильно рассчитать f1/f2, а также оценить величину скачка при λ = 1050 нм (рис. 3б).
Для толстого образца проведем расчет величин f1/f2 в области λ = 400–1050 нм в соответствии с формулой (12), в области λ ≥ 1050 нм считаем отношение f1/f2 константой и примем его равным среднему значению, полученному в диапазоне λ = 1050–1200 нм, f1/f2 = 0.94 (рис. 4г). Результаты расчета f1/f2 в диапазоне λ = 400–1050 нм экстраполированы зависимостью
f1/f2 = –0.32 + 64.93/λ + 5.02 ×
× 10–3 λ – 6.37 × 10–6 λ2 +2.64 × 10–9 λ3. (14)
Результаты расчета интенсивностей прошедшего света с данными значениями f1/f2 приведены на рис. 4д, 4е. Значения I0p и I0s те же, что и в предыдущем случае: I0p = 88.3, I0s = 87.2. Видно, что полученные на рис. 4д, 4е зависимости достаточно хорошо согласуются с экспериментальными.
Для получения лучшего согласования экспериментальных и рассчитанных спектров пропускания нужно оценивать f1/f2 во всем диапазоне на более толстых образцах или на других срезах, а также учитывать поглощение кристалла.
С поляризатором и анализатором
Спектры пропускания тонких образцов катангасита (d = 1 мм), вырезанных перпендикулярно оптической оси, в поляризованном свете при разных положениях поляризатора и анализатора рассмотрены в [17]. При этом не учитывалась неидеальность оптических элементов прибора. Рассмотрим, как указанная неидеальность влияет на спектры пропускания и какую вносит погрешность при расчете величин оптической активности.
Экспериментальные спектры пропускания для двух образцов катангасита с разными углами между поляризатором и анализатором показаны на рис. 5а, 5б. При этом поляризатор установлен под фиксированным углом α (α = 0 – p-поляризация падающего на кристалл света, α = 90° – s-поляризация), а положение анализатора β меняется, угол между поляризатором и анализатором обозначим τ = β – α. Измерения для толстого образца проводили при падении на кристалл волны s-поляризации, для тонкого образца – при падении волны p-поляризации. Все спектры, за исключением случая параллельных поляризаторов, имеют “ступеньку” при λ = 1050 нм.
Рис. 5. Экспериментальные спектры Ca3TaGa3Si2O14 при разных углах τ между поляризатором и анализатором: а, б – исходные, в, г – сглаженные; τ = 0° и 90° (а, в), τ = ±45° (б, г). Сплошные линии – толстый образец (d = 10 мм), измерения при s-поляризации; пунктир – тонкий образец (d = 1 мм), измерения при p-поляризации. Для сглаженных кривых часть спектра при λ > 1050 нм умножается на величину I(1049 нм)/I(1050 нм) = 1.125 для τ = 90°, 1.057 для τ = –45°, 1.046 для τ = 45° (толстый образец), 0.873 для τ = 90°, 0.917 для τ = –45°, 0.939 для τ = 45° (тонкий образец).
Для z-среза с разными углами τ между поляризатором, анализатором и неидеальным ФЭУ получим
(15)
При α = 0 (p-поляризация падающего света)
(15а)
при α = 90° (s-поляризация падающего света)
(15б)
В этом случае параметры f1, f2 входят только в отдельный множитель (формула (15) отличается от идеальной умножением на ). Величина данного множителя зависит от начального положения поляризатора α; замена α = 0 на α = 90° приводит к перестановке местами коэффициентов f1, f2. При λ = 1050 нм, вероятно, величины f1 и f2 меняются скачком, поэтому скачком меняется и интенсивность. При этом при параллельных поляризаторах (β = α, τ = 0) согласно (15) скачка не будет.
Для получения гладких кривых можно перенормировать правую часть спектров рис. 5а, 5б умножением величин пропускания I при длинах волн λ ≥ 1050 нм на отношение I(1049 нм)/I(1050 нм), характеризующее относительный сдвиг кривых (табл. 1). Отметим, что при подобном сглаживании кривых не учитывается разница величин ρd при λ = 1049 и 1050 нм. Видно, что при падении на кристалл света p-поляризации величина I(1049)/I(1050) меньше единицы, а для s-поляризации – больше единицы. При этом относительный сдвиг кривых максимален для случая скрещенных поляризаторов. Сглаженные спектры пропускания показаны на рис. 5в, 5г.
Таблица 1. Экспериментальные и рассчитанные величины I(1049 нм)/I(1050 нм)
Образец Ca3TaGa3Si2O14 | τ, град | I(1049 нм)/I(1050 нм) | |
эксперимент | расчет | ||
d = 1 мм | –45 | 0.917 | 0.947 |
45 | 0.939 | 0.948 | |
90 | 0.873 | 0.902 | |
d = 10 мм | –45 | 1.057 | 1.059 |
45 | 1.046 | 1.043 | |
90 | 1.125 | 1.111 | |
Рассчитаем I(1049 нм)/I(1050 нм) из формул (15а) и (15б) для обоих случаев, используя выражение (14) для f1/f2 при λ = 1049 нм и f1/f2 = 0.94 при λ = 1050 нм. Из табл. 1 видно, что рассчитанные величины I(1049 нм)/I(1050 нм) достаточно хорошо согласуются с экспериментальными, особенно для толстого образца.
Учет неидеального ФЭУ при расчете вращения плоскости поляризации света ρ. Будем считать α = 0°. Так как циркулярный дихроизм очень мал, примем δ = 0. При параллельных и скрещенных поляризаторах:
(16)
при τ = ±45°:
(17)
Для получения формул с α = 90° нужно поменять местами f1 и f2.
Величина не меняется при неидеальном ФЭУ, и это согласуется с тем, что кривая при параллельных поляризаторах не имеет скачка при λ = 1050 нм. Согласно (15)–(17) максимальный относительный сдвиг кривых при λ = 1050 нм должен быть при скрещенных поляризаторах τ = 90°, что согласуется с полученными экспериментальными результатами (рис. 5а, табл. 1). Положение максимумов и минимумов не зависит от f1, f2, но от этих величин зависят точки пересечения кривых. Например, в случае вместо tg2ρd = 1 и ρd = p/4 получим tg2ρd = f2/f1 и пересечение кривых будет отклоняться от точки ρd = p/4.
В случае τ = ±45° величины f1, f2 входят в формулы одинаково и для τ = +45°, и для τ = –45°, и не влияют на положение точек пересечения кривых и . Кроме того, из (17) видно, что при τ = ±45° неидеальность ФЭУ не влияет на результат расчета ρ (параметры f1, f2 не входят в выражение для ρd).
Учет неидеального поляризатора и анализатора при расчете оптической активности. Рассмотрим влияние неидеальности поляризатора и анализатора на спектры пропускания. Для простоты предполагаем, что величины наибольшего и наименьшего пропускания p1 и p2 поляризатора и анализатора одинаковые. При нормировке считаем, что без образца при параллельных поляризаторах пропускание 100%, а при скрещенных – 0%. Поэтому вычитаем из полученной интенсивности величину пропускания скрещенных поляризаторов без образца. Тогда при идеальном ФЭУ получим
. (18)
Так как циркулярный дихроизм в прозрачных кристаллах очень мал, считаем δ = 0. Тогда
. (19)
Таким образом, неидеальность поляризатора без учета неидеальности ФЭУ приводит только к появлению постоянного множителя, который никак не влияет на расчет оптической активности.
Учет неидеального поляризатора, анализатора и ФЭУ при расчете оптической активности. При одновременном учете указанных неидеальностей общее выражение для интенсивности прошедшего света получается очень громоздким. Поэтому приведем выражения только для значений τ = 0°, ±45° и 90° в приближении δ = 0.
При τ = 0°, 90°:
, (20)
. (21)
Оставляя только члены первого порядка малости, получим
. (22)
Таким образом, неидеальность поляризаторов при τ = 0°, 90° вносит погрешность при расчете ρ только во втором порядке малости.
При τ = ±45°
. (23)
Из данного выражения можно получить, что и в этом случае неидеальные поляризатор и анализатор вносят погрешность при расчете ρ во втором порядке малости, так как получаемая добавка к интенсивности пропорциональна произведению малых величин h.
Таким образом, погрешность при расчете ρ, связанная с неидеальностью ФЭУ, в общем случае заметно больше погрешности, связанной с неидеальностью поляризатора и анализатора. При этом рассмотренные несовершенства измерения никак не влияют на расчет оптической активности по максимумам и минимумам интенсивностей (15)–(17), поэтому такой расчет является наиболее точным, но он возможен только при больших величинах ρd.
Отметим, что наибольшая погрешность при расчете ρ получается при его малых величинах и использовании формул (16) для параллельных и скрещенных поляризаторов. В связи с этим выражение (16) не пригодно для расчета ρ в ИК-области, где оптическая активность мала. Кроме того, присутствует погрешность расчета оптической активности, связанная с неидеальностью ФЭУ. В соответствии с формулами (15), (17) наиболее точные результаты расчета ρ должны быть при угле τ = ±45°. В приближении идеального ФЭУ расчет при τ = ±45° также дает наиболее точные результаты [17].
Заключение
Проведены теоретические и экспериментальные исследования спектров коэффициентов пропускания кристаллов катангасита Ca3TaGa3Si2O14 разной толщины (1 и 10 мм), вырезанных перпендикулярно оптической оси, с учетом неидеальности оптических элементов спектрофотометрического комплекса (поляризаторов и ФЭУ).
При измерениях в неполяризованном свете на спектрах коэффициентов пропускания имеются скачки при длинах волн λ = 720 и 1050 нм, наиболее заметные на образце толщиной 10 мм. При этом для оптически неактивных кристаллов LiNbO3 и Gd3Al2Ga3O12:Ce подобных скачков не наблюдается.
Интенсивности прошедшего света, измеренные с одним поляризатором при p- и s-поляризациях падающего света, оказываются разными. Для толстого образца наблюдаются ярко выраженные скачки на кривых при λ = 1050 нм. Разница между полученными спектрами обусловлена неидеальностью ФЭУ и величиной вращения плоскости поляризации света ρd, которая гораздо больше для толстого кристалла. Проведена оценка из экспериментальных данных параметров ФЭУ и их зависимости от длины волны.
При измерениях с поляризатором и анализатором неидеальность ФЭУ приводит к скачку на спектрах пропускания при λ = 1050 нм, который можно устранить умножением на константу. Неидеальность поляризаторов и ФЭУ никак не влияет на положение максимумов и минимумов интенсивностей прошедшего света и, соответственно, на результат расчета ρ по максимумам и минимумам на толстом образце (10 мм). Если толщина образца невелика (1 мм), расчет вращения плоскости поляризации света ρ проводится по отношениям интенсивностей прошедшего света при разных углах между поляризатором и анализатором. В этом случае основной вклад вносят погрешности, связанные с неидеальностью ФЭУ и с малой величиной оптической активности. Обе эти погрешности максимальны для случая скрещенных поляризаторов, поэтому расчет по отношению интенсивностей при скрещенных и параллельных поляризаторах может давать большую погрешность, особенно в ИК-области. В таком случае для более точного результата необходимы спектры пропускания, измеренные при углах между поляризатором и анализатором ±45°.
Полученные погрешности измерений зависят от смены оптических элементов в конкретном приборе.
Авторы выражают благодарность АО “Фомос-Материалы” и лично О.А. Бузанову за предоставленные образцы кристаллов.
Работа проведена в рамках выполнения государственного задания НИЦ “Курчатовский институт” в части расчета оптических параметров кристаллов и учета неидеальности оптических элементов спектрофотометра. Измерения спектров пропускания кристаллов выполнены в МУИЛ ППМиД “Монокристаллы и заготовки на их основе” при финансовой поддержке Минобрнауки России в рамках государственного задания вузам FSME-2023-0003.
About the authors
T. G. Golovina
Shubnikov Institute of Crystallography of Kurchatov Complex of Crystallography and Photonics of NRC “Kurchatov Institute”
Author for correspondence.
Email: tatgolovina@mail.ru
Russian Federation, Moscow
A. F. Konstantinova
Shubnikov Institute of Crystallography of Kurchatov Complex of Crystallography and Photonics of NRC “Kurchatov Institute”
Email: tatgolovina@mail.ru
Russian Federation, Moscow
Е. V. Zabelina
Shubnikov Institute of Crystallography of Kurchatov Complex of Crystallography and Photonics of NRC “Kurchatov Institute”
Email: tatgolovina@mail.ru
Russian Federation, Moscow
N. S. Kozlova
National University of Science and Technology MISIS
Email: tatgolovina@mail.ru
Russian Federation, Moscow
V. М. Kasimova
National University of Science and Technology MISIS
Email: tatgolovina@mail.ru
Russian Federation, Moscow
References
- Шерклифф У. Поляризованный свет. М.: Мир, 1965. 264 с.
- Константинова А.Ф., Головина Т.Г., Набатов Б.В., Евдищенко Е.А. // Кристаллография. 2018. Т. 63. № 6. С. 921. https://doi.org/10.1134/S0023476118060139
- Милль Б.В., Буташин А.В., Ходжабагян Г.Г. и др. // Докл. АН СССР. 1982. Т. 264. № 6. С. 1385.
- Батурина О.А., Гречушников Б.Н., Каминский А.А. и др. // Кристаллография. 1987. Т. 32. Вып. 2. С. 406.
- Каминский А.А. Физика и спектроскопия лазерных кристаллов. М.: Наука, 1986. 271 с. https://newpiezo.com/
- Забелина Е.В., Козлова Н.С., Бузанов О.А. // Оптика и спектроскопия. 2023. Т. 131. Вып. 5. С. 634. https://doi.org/10.21883/OS.2023.05.55715.67-22 https://www.campilab.by/file/35_5991-2529ru.pdf/5991-2529RU.pdf
- Standard Operating Procedure Agilent Technologies – Cary 7000 Universal Measurement Spectrophotometer (UMS). University at Buffalo, 2024. P. 1. https://www.buffalo.edu/shared-facilities-equip/facilities-equipment/MaterialsCharacterizationLabs.host.html/content/shared/www/shared-facilities-equip/equipment-list/agilent-cary-7000.detail.html https://www.wolfram.com/mathematica/
- Шамбуров В.А., Евдищенко Е.А., Вислобоков А.И. // Кристаллография. 1988. Т. 33. Вып. 3. С. 554.
- Константинова А.Ф., Гречушников Б.Н., Бокуть Б.В., Валяшко Е.Г. Оптические свойства кристаллов. Минск: Наука и техника, 1995. 302 с.
- Шубников А.В. Основы оптической кристаллографии. М.: Изд-во АН СССР, 1958. 205 с.
- Кизель В.А., Бурков В.И. Гиротропия кристаллов. М.: Наука, 1980. 304 с.
- Shindo Y., Nakagawa M. // Rev. Sci. Instrum. 1985. V. 56. № 1. P. 32. https://doi.org/10.1063/1.1138467
- Shi X., Yuan D., Wei A. et al. // Mater. Res. Bull. 2006. V. 41. № 6. P. 1052. https://doi.org/10.1016/j.materresbull.2005.11.019
- Головина Т.Г., Константинова А.Ф., Касимова В.М. и др. // Кристаллография. 2024. Т. 69. № 5. С. 835. https://doi.org/10.31857/S0023476124050092
Supplementary files
Note
In the print version, the article was published under the DOI: 10.31857/S0023476125010061







