Accounting for the imperfection of the spectrophotometric complex optical elements when measuring transmission spectra of gyrotropic uniaxial crystals. II. Samples are cut parallel to the optical axis
- Authors: Golovina T.G.1, Konstantinova A.F.1, Zabelina Е.V.2, Kozlova N.S.2, Kasimova V.М.2
-
Affiliations:
- Shubnikov Institute of Crystallography of Kurchatov Complex of Crystallography and Photonics of NRC “Kurchatov Institute”
- National University of Science and Technology MISIS
- Issue: Vol 70, No 1 (2025)
- Pages: 53-61
- Section: ФИЗИЧЕСКИЕ СВОЙСТВА КРИСТАЛЛОВ
- URL: https://medbiosci.ru/0023-4761/article/view/286247
- DOI: https://doi.org/10.7868/S3034551025010076
- EDN: https://elibrary.ru/ITFNXG
- ID: 286247
Cite item
Abstract
A theoretical and experimental study of the effect of imperfections of the polarizer, analyzer and photomultiplier tube (PMT) on the measurement results of the transmission coefficient spectra of the langasite family crystals cut parallel to the optical axis has been carried out. It is shown that in the absence of an analyzer, oscillations appear on the transmission spectra, the amplitude of which depends on the rotation of the crystal. These oscillations are associated with linear birefringence and appear due to the imperfection of the PMT, which plays the role of a partial analyzer. From the obtained spectra, the parameters of the PMT are calculated depending on the wavelength. The calculation of the birefringence of the studied crystals was carried out and an estimate of the error of such calculation was obtained. It is shown that the imperfection of optical elements does not lead to additional errors in the calculation of birefringence. Thus, when the plate is cut perpendicular to the optical axis, circular birefringence is manifested, when parallel, there is linear birefringence.
Full Text
Введение
В первой части работы [1] показано, что неидеальность оптических элементов спектрофотометрического комплекса оказывает существенное влияние на результаты измерений спектральных зависимостей пропускания света для образцов Ca3TaGa3Si2O14, вырезанных перпендикулярно оптической оси z (z-срез). Наиболее заметные погрешности спектрофотометрических измерений связаны с несовершенством фотоэлектронного умножителя (ФЭУ). В частности, показано, что неидеальность ФЭУ приводит к разнице между спектральными зависимостями пропускания, измеренными при p- и s-поляризациях падающего света. На полученных спектрах имеются особые точки при длинах волн λ = 720 и 1050 нм, связанные со сменой оптических элементов в данном конкретном спектрофотометре. Показано, как несовершенство оптических элементов влияет на результаты расчета вращения плоскости поляризации света (циркулярного двупреломления) из измеренных спектров пропускания.
В настоящей работе проведено теоретическое и экспериментальное исследование неидеальности оптических элементов спектрофотометра на примере измерений спектров пропускания некоторых кристаллов семейства лангасита и кварца, вырезанных параллельно оптической оси (х-срез), при разных углах между оптической осью кристалла и направлениями наибольшего пропускания поляризатора и анализатора.
Точные измерения спектров коэффициентов пропускания света необходимы для последующего определения оптических параметров из экспериментальных данных с помощью методов, представленных, например, в [2–4]. Оптическая активность (циркулярное двупреломление) для пластинки х-среза проявляется очень слабо, но на такой пластинке можно определить линейное двупреломление кристалла. Проведена оценка погрешностей при расчете величин двупреломления из полученных экспериментальных спектров пропускания.
Измерение и расчет спектров пропускания света с учетом неидеальности спектрофотометрического комплекса
Для расчета спектральных зависимостей пропускания удобно использовать метод матриц Мюллера [5]. Для пластинки одноосного поглощающего кристалла, вырезанной параллельно оптической оси, матрица Мюллера имеет вид [6]:
(1)
Здесь оптическая ось параллельна оси x, no, ne – главные показатели преломления, κo, κe – показатели поглощения кристалла.
Из оптических элементов в рассматриваемом случае есть поляризатор, анализатор и ФЭУ. Все они могут быть неидеальными. Пусть p1 – пропускание поляризатора в направлении наибольшего пропускания, p2 – пропускание поляризатора в перпендикулярном направлении [5]. В идеальном случае p2 = 0. Для ФЭУ введем параметры f1 и f2, где f1 характеризует регистрацию излучения p-поляризации, f2 – s-поляризации, в идеальном случае f1 = f2. Матрица Мюллера неидеального ФЭУ имеет такой же вид, как и матрица неидеального поляризатора [5, 7].
Измерения спектров пропускания кристаллов проведены в диапазоне 200–2500 нм с шагом 1 нм на спектрофотометре Cary-5000 с универсальной измерительной приставкой UMA [8] без поляризатора в естественно поляризованном свете, с одним поляризатором без анализатора для s- и p-поляризаций падающего на кристалл света, с поляризатором и анализатором в параллельном и скрещенном положениях.
Без поляризатора
В отличие от образцов z-среза, для которых ничего не меняется при их повороте вокруг нормали к поверхности, для образца, вырезанного параллельно оптической оси, спектры пропускания будут зависеть от поворота образца φ. Пусть начальное положение образца φ = 0 соответствует случаю, когда его оптическая ось параллельна оси x.
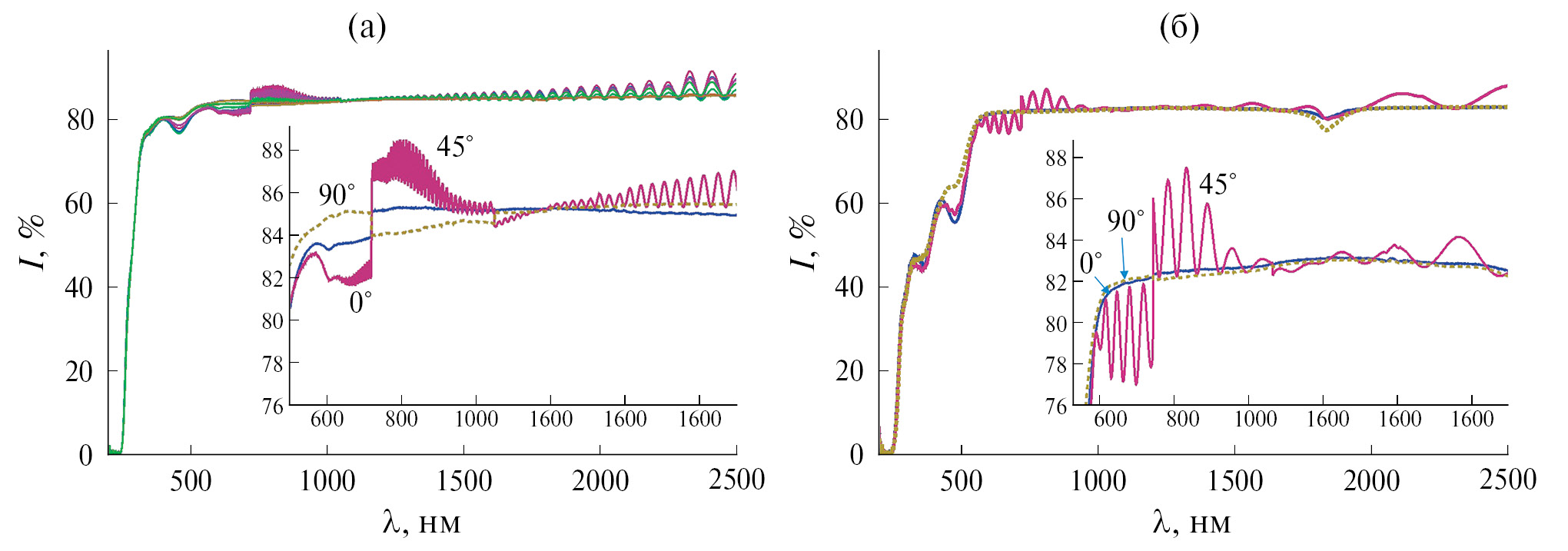
Спектры коэффициентов пропускания кристаллов Ca3TaGa3Si2O14 и La3Ga5SiO14 в неполяризованном свете для разных углов φ приведены на рис. 1. Видно, что кривые имеют разрывы при λ = 720 и 1050 нм. При λ = 720 нм происходит “смена решетки”, при 1050 нм – смена канала в детекторе прибора (переход с Si на InGaAs [9]). При углах φ, не равных 0° и 90°, наблюдаются осцилляции, амплитуда которых максимальна при φ = 45°. Для кристалла Ca3TaGa3Si2O14 частота осцилляций заметно больше, чем для La3Ga5SiO14.
Рис. 1. Спектры пропускания в неполяризованном свете при разных поворотах образца φ: а – катангасит Ca3TaGa3Si2O14, φ меняется от 0° до 105° через 15°, на вставке – спектры для φ = 0°, 45° и 90° в увеличенном масштабе; б – лангасит La3Ga5SiO14, φ = 0°, 45° и 90°, на вставке – те же спектры в увеличенном масштабе.
Осцилляции, подобные полученным на рис. 1, наблюдались в [10] для облученных образцов лангатата La3Ga5.5Ta0.5O14 и были связаны с наличием нарушенного слоя на поверхности. Но в исследуемом случае образцы не являются облученными, поэтому и нарушенного слоя не должно быть.
Запишем формулу для интенсивности прошедшего света с учетом неидеальности ФЭУ. Если на кристалл падает неполяризованный свет с вектором Стокса S0 = {1, 0, 0, 0}, получим
(2)
Видно, что в этом приближении неидеальность ФЭУ не приводит к появлению осцилляций.
Предположим, что падающий свет на самом деле не является неполяризованным. Считаем, что падающий свет имеет произвольную эллиптическую поляризацию S0 = {1, cos2ωcos2χ, cos2ωsin2χ, sin2ω}. Тогда для интенсивности прошедшего света получаем
(3)
При φ = 45°
(4)
Таким образом, при φ ≠ πn/2 появляется зависимость от двупреломления, что объясняет наличие осцилляций (рис. 1). Скачки на кривых связаны со сменой поляризации падающего света при 720 нм и сменой параметров ФЭУ при 1050 нм.
Выражения (3), (4) записаны для простоты без учета линейного дихроизма δ. При рассмотрении осцилляций на рис. 1 учет линейного дихроизма не дает никаких новых эффектов, но делает формулы более громоздкими.
Тем не менее при рассмотрении разницы между положениями кристалла φ = 0° и 90° учитывать линейный дихроизм необходимо (иначе полученные интенсивности прошедшего света должны быть равными). Запишем выражения для интенсивностей в виде:
φ = 0:
(5)
φ = 90°:
(6)
Так как δ малая величина и тоже малая величина, можем приближенно записать
(7)
Эта формула объясняет скачок интенсивностей прошедшего света при 720 нм (меняется поляризация падающего света и величины ω и χ). При 1050 нм скачок интенсивности тоже присутствует, но он не так выражен, как при 720 нм. Скорее всего, при 1050 нм скачок поляризации тоже есть, но меньшего размера. Это подтверждается базовыми линиями поляризаторов, рассмотренными в [1].
С поляризатором без анализатора, p- и s-поляризация падающего света
Экспериментальные спектры пропускания при p- и s-поляризациях падающего света для кристаллов катангасита Ca3TaGa3Si2O14, лангасита La3Ga5SiO14, лангатата La3Ga5.5Ta0.5O14 и кварца SiO2 для углов поворота образца φ = 0° и 45° приведены на рис. 2 (левая часть). На правой части рис. 2 представлены спектры пропускания, рассчитанные по формулам, описанным далее. При φ = 45° имеют место осцилляции, связанные с двупреломлением. Таким образом, если направление поляризации падающего света параллельно или перпендикулярно оптической оси (φ = 0, 90°), осцилляций нет, если под углом, появляются осцилляции. Также на рис. 2 показаны усредненные спектры при φ = 45° (полусумма спектров для p- и s-поляризаций). Видно, что усреднение не приводит к исчезновению осцилляций.
Рис. 2. Экспериментальные при φ = 0°, 45° (слева) и расчетные при φ = 45° с неидеальным ФЭУ (справа) спектры пропускания образцов х-среза Ca3TaGa3Si2O14, d = 1 мм (а, б), La3Ga5SiO14, d = 1 мм (в, г), La3Ga5.5Ta0.5O14, d = 1 мм (д, е) и кварца, d = 3.1 мм (ж, з), в диапазоне 300–2500 нм, p- и s-поляризация. Осциллирующие кривые в середине – средние величины (Ip(φ = 45°) + Is(φ = 45°))/2.
Вычислим интенсивности прошедшего света для p- и s-поляризаций с учетом неидеального поляризатора и ФЭУ:
(8)
(9)
Видно, что наличие осцилляций объясняется неидеальностью ФЭУ (если f1 = f2, неидеальность поляризатора приводит только к появлению некоторого множителя без изменения общего вида кривой).
Будем рассматривать только неидеальность ФЭУ и перепишем формулы (8) и (9) в виде:
(10)
(11)
При φ = 0 получим
Используя формулы (10), (11) и экспериментальные спектры пропускания при φ = 0° и 45°, можно приближенно оценить зависимость f1/f2 от длины волны. Для подбора значений f1/f2 использовали выражения (не учитывая линейный дихроизм, δ = 0):
Ip(φ = 45°)/Ip(φ = 0°) = ½(1 + f2/f1 + + (1 – f2/f1)cosΔ),
Is(φ = 45°)/Is(φ = 0°) =
= ½(1 + f1/f2 + (1 – f1/f2)cosΔ). (12)
При cosΔ = 1 оба отношения равны единице, а при cosΔ = –1 получим
Ip(φ = 45°)/Ip(φ = 0°) = f2/f1,
Is(φ = 45°)/Is(φ = 0°) = f1/f2. (13)
Таким образом, рассматривая экстремумы отношений (12), можно найти значения f1/f2 в отдельных точках. Величины f1/f2, рассчитанные с помощью (12), (13) по экспериментальным данным при разных длинах волн, показаны на рис. 3. Видно, что при λ = 1050 нм имеет место скачкообразное изменение f1/f2. По данным точкам с помощью аппроксимации полиномами рассчитаны дисперсионные зависимости f1/f2. При тех длинах волн, когда нельзя оценить f1/f2 из эксперимента из-за шума, принимаем f1/f2 = 1.
Рис. 3. Рассчитанные значения f1/f2: 1 – катангасит, 2 – лангасит, 3 – лангатат, 4 – кварц. Сплошная линия – аппроксимация по точкам, полученным для всех четырех кристаллов. Пунктиром показаны величины f1/f2, рассчитанные в [1] для образцов катангасита z-среза толщиной 1 мм (1') и 10 мм (1").
Примеры полученных функций f1/f2(λ) для кристалла катангасита:
λ ≤ 518 нм, f1/f2 = 1; 518 < λ < 1050 нм,
f1/f2 = –346.0 – 1.82 × 107/λ2 + 1.27 × 105/λ + 0.47λ – – 3.13 × 10–4λ2 + 8.22 × 10–8λ3;
λ ≥ 1050 нм,
f1/f2 = 91.28 +2.28 × 107/λ2 – 7.27 × 104/λ – 0.055λ + + 1.62 × 10–5λ2 – 1.88 × 10–9λ3.
Для кристалла лангасита:
λ ≤ 500 нм, f1/f2 = 1; 500 < λ < 1050 нм,
f1/f2 = –91.75 – 4.34 × 106/λ2 + 3.17 × 104/λ + 0.135λ – – 9.59 × 10–5λ2 + 2.68 × 10–8λ3;
λ ≥ 1050 нм,
f1/f2 = 29.0 + 8.50 × 106/λ2 – 2.50 × 104/λ – 0.015λ + + 3.87 × 10–6λ2 – 3.84 × 10–10λ3.
Для правильного нахождения величин f1/f2 должно быть достаточно экстремумов на кривых Ip(λ), Is(λ). Но если экстремумов слишком много, может не хватить точности измерений для правильного определения их амплитуды. Пунктиром на рис. 3 показаны значения f1/f2, полученные в [1] для тонкого (1 мм) и толстого (10 мм) образцов катангасита z-среза. Видно, что для корректного определения f1/f2 на образцах z-среза нужна большая толщина этих образцов. Для x-среза толщины 1 мм вполне достаточно.
Значения f1/f2 зависят только от параметров прибора и должны быть одинаковы для всех кристаллов. Разница между полученными величинами f1/f2 (рис. 3) обусловлена, вероятно, присутствием погрешностей расчета, связанных с неточностью определения положения и амплитуды экстремумов, а также с линейным дихроизмом, несовершенством образцов, неточностью их ориентировки и т.п.
Если аппроксимировать точки, полученные для всех четырех кристаллов, одной кривой (сплошная линия на рис. 3), получим:
λ ≤ 440 нм, f1/f2 = 1,
440 < λ < 1050 нм,
f1/f2 = –62.68 – 2.74 × 106/λ2 + 2.11 × 104/λ + 0.0943λ – – 6.79 × 10–5λ2 + 1.90 × 10–8λ3,
λ ≥ 1050 нм,
f1/f2 = 63.82 + 1.66 × 107/λ2 – 5.18 × 104/λ – 0.037λ + + 1.06 × 10–5λ2 – 1.18 × 10–9λ3.
Рассчитанные интенсивности прошедшего света при φ = 45° показаны на рис. 2 (правая часть). В качестве величин I0pe–ζ, I0se–ζ в формулах (10), (11) приняты экспериментальные значения пропускания при φ = 0°. При расчете использованы экспериментальные показатели преломления катангасита [11], лангасита, лангатата [12] и кварца [13, 14]. На этих же рисунках показаны экспериментальные спектры пропускания при φ = 0°, которые должны быть огибающими спектров при φ = 45°. Экспериментальные и расчетные зависимости при φ = 45° достаточно хорошо согласуются, особенно при λ > 1050 нм. При λ < 1050 нм сходство хуже, что связано с менее точным определением отношения f1/f2 в этой области из-за частых осцилляций и недостаточного шага эксперимента для точного определения значений экстремумов.
С поляризатором и анализатором
Рассмотрим спектры пропускания при наличии и поляризатора, и анализатора. Поляризатор устанавливается под фиксированным углом α между направлением наибольшего пропускания и оптической осью кристалла, положение анализатора (угол β) меняется. Наиболее наглядные спектры получаются при таких длинах волн, когда двупреломление не очень велико (рис. 4).
Рис. 4. Спектры пропускания для образцов катангасита (а, б, в) и лангасита (г, д, е) при параллельных и скрещенных поляризаторах (α = 0, β = 0, 90°), угол между оптической осью и направлением наибольшего пропускания поляризатора φ = 45°. Экспериментальные спектры приведены в диапазонах 300–2500 нм (а, г) и 1500–2500 нм (б, д), расчетные – в диапазоне 1500–2500 нм (в, е).
Если кристалл ориентирован так, что оптическая ось параллельна оси x (φ = 0°), с учетом неидеального ФЭУ получим
(14)
В реальных измерениях обычно используются значения α = 0° и 90°, поэтому в данном случае осцилляций не будет.
При α = 0°, 90° и повороте кристалла на угол φ:
α = 0°,
(15)
α = 90°,
(16)
Нормировка выбрана так, чтобы коэффициент пропускания параллельных поляризаторов (β = α) без образца был равен 100%. На рис. 4а, 4б, 4г, 4д показаны экспериментальные спектры пропускания кристаллов катангасита и лангасита для случая параллельных и скрещенных поляризаторов при φ = 45°, на рис. 4в, 4е – расчет по формуле (15) с полученными ранее значениями f1/f2. Видно, что неидеальность ФЭУ приводит к разным величинам максимумов интенсивностей при параллельных и скрещенных поляризаторах. При длине волны λ = 1050 нм согласно формулам (14)–(16) наблюдается незначительный сдвиг на кривых при углах β ≠ α. Неидеальность поляризаторов проявляется в том, что минимумы интенсивностей в ИК-области становятся меньше нуля (рис. 4г, 4д); это связано с тем, что пропускание скрещенных поляризаторов больше нуля и эта величина при нормировке считается за ноль [1].
Таким образом, в этом случае неидеальный ФЭУ, в отличие от случая наличия только поляризатора, не влияет на вид кривых и проявляется только в некотором изменении величины интенсивности.
Расчет двупреломления из измеренных спектров пропускания
Расчет двупреломления кристалла Δn можно провести по максимумам или минимумам полученных спектральных зависимостей пропускания. Для расчета можно использовать зависимости, полученные при любых углах между поляризатором и анализатором, при условии φ ≠ 0°, 90° и β – φ ≠ ≠ 0°, 90°. Однако лучше использовать такие углы β и φ, при которых величина близка к единице (чем больше амплитуда осцилляций, тем точнее можно определить положения максимумов и минимумов). Если λ1, λ2 – положения соседних максимумов или минимумов, величину Δn можно рассчитать по формуле (λ2 > λ1):
(17)
Если использовать максимум и соседний с ним минимум, то можно записать
(18)
Данные выражения не учитывают разницу между значениями Δn в точках λ1 и λ2. Проведем расчет Δn для трех образцов – Ca3TaGa3Si2O14 и La3Ga5SiO14 толщиной 1 мм, SiO2 толщиной 3.1 мм. В табл. 1 приведено сравнение результатов расчета Δn, проведенного по теоретическим (формулы (15), (16)) и экспериментальным кривым I(λ). Погрешность расчета определялась по формулам
δ(Δn)расч = (Δnрасч – Δnэксп)/Δnрасч,
δ(Δn)изм = (Δnизм – Δnэксп)/Δnизм. (19)
Здесь Δnрасч и Δnизм рассчитаны из теоретических и измеренных кривых I(λ) соответственно, экспериментальные значения Δnэксп взяты из дисперсий, приведенных в [11–14], в точке λ1 = λрасч. Приведенные в табл. 1 расчеты получены по формуле (17). Разница между результатами расчета по формулам (17), (18) незначительна (при расчете по теоретическим данным не более 0.1–0.2% для всех рассмотренных случаев).
Таблица 1. Результаты расчета двупреломления кристаллов при разных длинах волн
Кристалл | λрасч, нм | λизм, нм | Δnэксп [11–14] | Δnрасч | Δnизм | δ(Δn)расч, % | δ(Δn)изм, % |
Ca3TaGa3Si2O14 | 580 | 581 | 0.0731 | 0.0927 | 0.0850 | 21 | 14 |
901 | 898 | 0.0676 | 0.0750 | 0.0742 | 10 | 8.9 | |
1515 | 1517 | 0.06516 | 0.0676 | 0.06727 | 3.6 | 3.1 | |
La3Ga5SiO14 | 587 | 589 | 0.01116 | 0.01181 | 0.01178 | 5.5 | 5.3 |
913 | 906 | 0.01095 | 0.01120 | 0.01200 | 2.2 | 8.7 | |
1552 | 1560 | 0.01086 | 0.01094 | 0.01196 | 0.7 | 9.2 | |
SiO2 | 577 | 577 | 0.00912 | 0.00994 | 0.00995 | 8.2 | 8.3 |
912 | 917 | 0.00882 | 0.00936 | 0.00934 | 5.8 | 5.6 | |
1546 | 1572 | 0.00848 | 0.00938 | 0.00936 | 9.6 | 9.4 |
Примечание. λрасч – положения экстремумов на теоретических кривых I(λ), λизм – положение экстремумов на измеренных кривых I(λ).
Наиболее точный расчет по теоретическим кривым получился для кристалла лангасита. Погрешность расчета для лангасита и катангасита в видимой области спектра больше, чем в ИК-диапазоне, для кварца погрешности при расчете в разных областях сопоставимы. Наибольшая разница между значениями Δn, рассчитанными по теоретическим и экспериментальным спектрам пропускания, получена для кристалла лангасита. Это может быть связано как с неточностью определения положений максимумов и минимумов, так и с отличием двупреломления исследуемого образца от представленных в литературе данных. Для образцов кварца и катангасита различие между Δnрасч и Δnизм не так велико и меньше, чем различие между Δnрасч и Δnэксп (особенно это заметно для кварца).
Таким образом, основная погрешность определения Δn связана не с погрешностями измерения спектров пропускания, а с отсутствием учета зависимости Δn от λ.
Для расчета величины Δn также можно использовать спектральные зависимости пропускания, измеренные только с одним поляризатором при φ = 45° (рис. 2а, 2в, 2д, 2ж). Расчет проводится по той же формуле (17), λ1, λ2 – положения соседних максимумов или минимумов. Полученные результаты: для кварца Δnизм(578 нм) = 0.00998, Δnизм(918 нм) = 0.00936, Δnизм(1570 нм) = 0.00915, для катангасита Δnизм(896 нм) = 0.0739, Δnизм(1526 нм) = 0.0700. Из сравнения с приведенными в табл. 1 данными видно, что погрешность расчета сопоставима с соответствующей погрешностью при использовании стандартных спектров пропускания, измеренных с поляризатором и анализатором.
Таким образом, неидеальность ФЭУ (а также поляризатора и анализатора) никак не влияет на расчет двупреломления по максимумам и минимумам зависимостей коэффициентов пропускания.
Заключение
Проведено теоретическое и экспериментальное исследование спектральных зависимостей коэффициентов пропускания кристаллов Ca3TaGa3Si2O14, La3Ga5SiO14, La3Ga5.5Ta0.5O14 и SiO2 с учетом неидеальности оптических элементов спектрофотометрического комплекса для образцов, вырезанных параллельно оптической оси. При такой ориентации оптическая активность (циркулярное двупреломление) кристалла проявляется очень слабо, но максимально выражено влияние линейного двупреломления и дихроизма.
Показано, что при измерениях без анализатора неидеальность ФЭУ приводит к появлению осцилляций на спектрах пропускания, связанных с двупреломлением, амплитуда которых зависит от поворота кристалла. Наибольшая амплитуда осцилляций наблюдается при угле φ = 45° между оптической осью и направлением наибольшего пропускания поляризатора. Таким образом, ФЭУ играет роль частичного анализатора. Из полученных спектров рассчитаны параметры ФЭУ в зависимости от длины волны.
Проведен расчет двупреломления Δn исследуемых кристаллов из спектров пропускания, измеренных с поляризатором и анализатором. Для сравнения величина Δn также рассчитана из спектров, измеренных с одним поляризатором без анализатора при φ = 45°. Точность расчета обоими способами сопоставима. Показано, что основная погрешность измерения Δn связана с отсутствием учета зависимости Δn от длины волны. Неидеальность поляризатора, анализатора и ФЭУ не приводит к дополнительным погрешностям при расчете Δn, так как не влияет на разность фаз Δ.
Таким образом, несовершенство ФЭУ оказывает существенное влияние на вид спектральных зависимостей пропускания, особенно при φ ≠ 0°, 90°. Несовершенство поляризаторов не влияет на вид зависимостей, но может приводить к появлению отрицательных значений интенсивности в тех областях, где пропускание скрещенных поляризаторов не равно нулю. При этом указанные неидеальности не влияют на результаты расчета двупреломления кристаллов из измеренных спектров.
Авторы выражают благодарность АО “Фомос-Материалы” и лично О.А. Бузанову за предоставленные образцы кристаллов.
Работа проведена в рамках выполнения государственного задания НИЦ “Курчатовский институт” в части расчета оптических параметров кристаллов и учета неидеальности оптических элементов спектрофотометра. Измерения спектров пропускания кристаллов выполнены в МУИЛ ППМиД “Монокристаллы и заготовки на их основе” при финансовой поддержке Минобрнауки России в рамках государственного задания вузам FSME-2023-0003.
About the authors
T. G. Golovina
Shubnikov Institute of Crystallography of Kurchatov Complex of Crystallography and Photonics of NRC “Kurchatov Institute”
Author for correspondence.
Email: tatgolovina@mail.ru
Russian Federation, Moscow
A. F. Konstantinova
Shubnikov Institute of Crystallography of Kurchatov Complex of Crystallography and Photonics of NRC “Kurchatov Institute”
Email: tatgolovina@mail.ru
Russian Federation, Moscow
Е. V. Zabelina
National University of Science and Technology MISIS
Email: tatgolovina@mail.ru
Russian Federation, Moscow
N. S. Kozlova
National University of Science and Technology MISIS
Email: tatgolovina@mail.ru
Russian Federation, Moscow
V. М. Kasimova
National University of Science and Technology MISIS
Email: tatgolovina@mail.ru
Russian Federation, Moscow
References
- Головина Т.Г., Константинова А.Ф., Забелина Е.В. и др. // Кристаллография. 2025. Т. 70. № 1. С. 42. http://doi.org/10.31857/S0023476125010061
- Меланхолин Н.М. Методы исследования оптических свойств кристаллов. М.: Наука, 1970. 156 с.
- Kobayashi J., Uesu Y. // J. Appl. Cryst. 1983. V. 16. P. 204. https://doi.org/10.1107/S0021889883010262
- Kobayashi J., Asahi T., Sakurai M. et al. // Acta Cryst. A. 1998. V. 54. P. 581. https://doi.org/10.1107/S0108767398001986
- Шерклифф У. Поляризованный свет. М.: Мир, 1965. 264 с.
- Шамбуров В.А., Евдищенко Е.А., Вислобоков А.И. // Кристаллография. 1988. Т. 33. Вып. 3. С. 554.
- Shindo Y., Nakagawa M. // Rev. Sci. Instrum. 1985. V. 56. № 1. P. 32. https://doi.org/10.1063/1.1138467 https://www.campilab.by/file/35_5991-2529ru.pdf/5991-2529RU.pdf https://www.buffalo.edu/shared-facilities-equip/facilities-equipment/MaterialsCharacterizationLabs.host.html/content/shared/www/shared-facilities-equip/equipment-list/agilent-cary-7000.detail.html
- Kozlova N., Buzanov O., Kozlova A. et al. // Radiat. Applic. 2016. V. 1. № 3. P. 171. https://doi.org/10.21175/RadJ.2016.03.032
- Забелина Е.В., Козлова Н.С., Бузанов О.А. // Оптика и спектроскопия. 2023. Т. 131. Вып. 5. С. 634. https://doi.org/10.21883/OS.2023.05.55715.67-22
- Батурина О.А., Гречушников Б.Н., Каминский А.А. и др. // Кристаллография. 1987. Т. 32. Вып. 2. С. 406.
- Шубников А.В. Кварц и его применение. М.; Л.: Изд-во АН СССР, 1940. 194 с.
- Ghosh G. // Opt. Commun. 1999. V. 163. P. 95. https://doi.org/10.1016/S0030-4018(99)00091-7
Supplementary files
Note
In the print version, the article was published under the DOI: 10.31857/S0023476125010076






