Химический состав осадков и его изменения в центре современной гидротермальной системы в Срединной долине океанического хребта Хуан де Фука, скважина 858B ODP
- Авторы: Курносов В.Б.1, Коновалов Ю.И.1, Галин К.Р.1
-
Учреждения:
- Геологический институт РАН
- Выпуск: № 1 (2023)
- Страницы: 50-68
- Раздел: Статьи
- URL: https://medbiosci.ru/0024-497X/article/view/137915
- DOI: https://doi.org/10.31857/S0024497X23010032
- EDN: https://elibrary.ru/GWRUDO
- ID: 137915
Цитировать
Полный текст
Аннотация
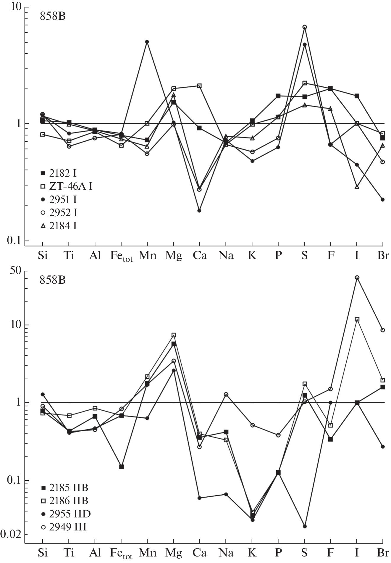
В статье приведены результаты изучения химического состава плейстоценовых осадков и его изменений в скважине 858В глубиной 38.6 м с температурным градиентом 10‒11°С/м, пробуренной в Срединной Долине океанического хребта Хуан де Фука (северо-восточная часть Тихого океана) на гидротермальном поле “Dead Dog”, в 20 м от “черного курильщика” с температурой 276°С. Содержание макроэлементов в этих осадках изучено методом РФА. Впервые для этого объекта получены методом ИСП МС данные по большому набору микроэлементов. Изменение химического состава осадков произошло в процессе взаимодействия раствор‒порода в условиях быстрого увеличения температуры вниз по разрезу. В Толще I, в верхней ее части (1.97–10.41 м), осадки в основном слабо изменены при температуре около 17°С. В нижней части Толщи I (12.70–25.31 м) в условиях средней температуры (112–197°С) изменения в содержании макроэлементов и микроэлементов хорошо выражены. Наиболее сильно изменен химический состав осадков Толщ IIB и IID (25.31–38.6 м) в температурном диапазоне от 112–197°С до 320–330°С. Изменения содержания большинства макроэлементов и микроэлементов в осадках Толщи IIB и Толщи IID сходные, с тем отличием, что в осадках Толщи IID уменьшение содержания химических элементов проявлено сильнее. В них концентрации Cu, Zn, Ga, Rb, Sr, Ag, Cd, Sb, Cs, Ba, Tl, Bi, кроме U, существенно более низкие, чем в фоновых осадках. В осадках Толщи IID так же, как в осадках Толщи IIB, содержание Ca, Na, K, P ниже фонового, а концентрация Mg, напротив, более высокая. Уменьшение содержания перечисленных химических элементов в этих осадках можно рассматривать как результат их выноса из осадков в процессе взаимодействия раствор‒осадок и обогащение ими раствора, а более высокое их содержание – как привнос этих элементов в осадки из раствора и, соответственно, обеднение ими раствора. Приведены результаты изучения химического состава металлоносных осадков (Толща III, 0–1.97 м) и сульфидной Толщи IV (10.41–12.70 м), а также химического состава неизмененных фоновых осадков из скважин 855A, C, D.
Об авторах
В. Б. Курносов
Геологический институт РАН
Автор, ответственный за переписку.
Email: vic-kurnosov@rambler.ru
Россия, 119017, Москва, Пыжевский пер., 7, стр. 1
Ю. И. Коновалов
Геологический институт РАН
Email: vic-kurnosov@rambler.ru
Россия, 119017, Москва, Пыжевский пер., 7, стр. 1
К. Р. Галин
Геологический институт РАН
Email: vic-kurnosov@rambler.ru
Россия, 119017, Москва, Пыжевский пер., 7, стр. 1
Список литературы
- Богданов Ю.А., Лисицын А.П., Сагалевич А.М., Гурвич Е.Г. Гидротермальный рудогенез океанского дна. М.: Научный мир, 2006. 527 с.
- Богданов Ю.А., Сагалевич А.М. Геологические исследования с глубоководных обитаемых аппаратов. М.: Научный мир, 2002. 304 с.
- Сахаров Б.А., Курносов В.Б. Особенности образования глинистых минералов в осадках из центра гидротермальной системы, скважина 858В, хребет Хуан де Фука // Литология и полез. ископаемые. 2022. № 2. С. 1‒22.
- Buatier M.D., Karpoff A.M., Boni M. et al. Mineralogical and petrographic records of sediment–fluid interaction in the sedimentary sequence at Middle Valley, Juan de Fuca Ridge, Leg 139 / Eds M.J. Mottl, E.E. Davis, A.T. Fisher, J.F. Slack // Proc. ODP, Sci. Results, 139: College Station, TX (Ocean Drilling Program). 1994. P. 133‒154.
- Buatier M.D., Gretchen L. Früh-Green, Anne-Marie Karpoff. Mechanisms of Mg-phyllosilicate formation in a hydrothermal system at a sedimented ridge (Middle Valley, Juan de Fuca) // Contrib. Mineral. Petrol. 1995. V. 122. P. 134–151.
- Davis E.E., Mottl M.J., Fisher A.T., et al. Init. Repts., 139: College Station, TX (Ocean Drilling Program). 1992. 1026 p.
- Davis E.E., Villinger H. Tectonic and thermal structure of the Middle Valley sedimented rift, northern Juan de Fuca Ridge. Init. Repts, 139: College Station, TX (Ocean Drilling Program). 1992. P. 9‒41.
- Frü-Green G.L., McKenzie J.A., Boni M., Karpoff A.M., Buatier M. Stable isotope and geochemical record of convective hydrothermal circulation in the sedimentary sequence of Middle Valley, Juan de Fuca Ridge, Leg 139 / Eds M.J. Mottl, E.E. Davis, A.T. Fisher, J.F. Slack // Proc. ODP, Sci. Results, 139: College Station, TX (Ocean Drilling Program). 1994. P. 291‒306.
- Goodfellow W.D., Franklin J.M. Geology. Mineralogy and geochemistry of massive sulfides in shallow cores, Middle Valley, Northern Juan de Fuca Ridge // Econ. Geol. 1993. V. 88. P. 2037‒2068.
- Goodfellow W.D., Peter J.M. Geochemistry of hydrothermally altered sediment, Middle Valley, northern Juan De Fuca Ridge / Eds M.J. Mottl, E.E. Davis, A.T. Fisher, J.F. Slack // Proc. ODP, Sci. Results, 139: College Station, TX (Ocean Drilling Program).1994. P. 207‒289.
- Kurnosov V., Murdmaa I., Rosanova T. et al. Mineralogy of hydrothermally altered sediments and igneous rocks at Site 856‒858, Middle Valley, Juan de Fuca Ridge, Leg 139 / Eds M.J. Mottl, E.E. Davis, A.T. Fisher, J.F. Slack // Proc. ODP, Sci. Results, 139: College Station, TX (Ocean Drilling Program). 1994. P. 113‒131.
- Leybourne M.I., Goodfellow W.D. Mineralogy and mineral chemistry of hydrothermally altered sediment, Middle Valley, Juan de Fuca Ridge / Eds M.J. Mottl, E.E. Davis, A.T. Fisher, J.F. Slack // Proc. ODP, Sci. Results, 139: College Station, TX (Ocean Drilling Program). 1994. P. 155‒ 206.
- Zierenberg R.A., Koski R.A., Morton J.I. et al. Genesis of massive sulfide deposits on a sediment-covered spreading center? Escanaba Trough, 41° N, Gorda Ridge // Econ. Geol. 1993. V. 88. P. 2069‒2098.
Дополнительные файлы









