Sources of Material for Surface Bottom Sediments in Some Regions of the Nordic Seas (According to Geochemical Data)
- Authors: Maslov A.V.1, Politova N.V.2, Klyuvitkin A.A.2, Kozina N.V.2, Kravchishina M.D.2, Novigatsky .N.2, Novichkova E.A.2, Alekseeva T.N.2, Shevchenko V.P.2
-
Affiliations:
- Geological Institute RAS
- Shirshov Institute of Oceanology RAS
- Issue: No 5 (2023)
- Pages: 445-472
- Section: Articles
- URL: https://medbiosci.ru/0024-497X/article/view/140500
- DOI: https://doi.org/10.31857/S0024497X23700222
- EDN: https://elibrary.ru/WUFFTM
- ID: 140500
Cite item
Full Text
Abstract
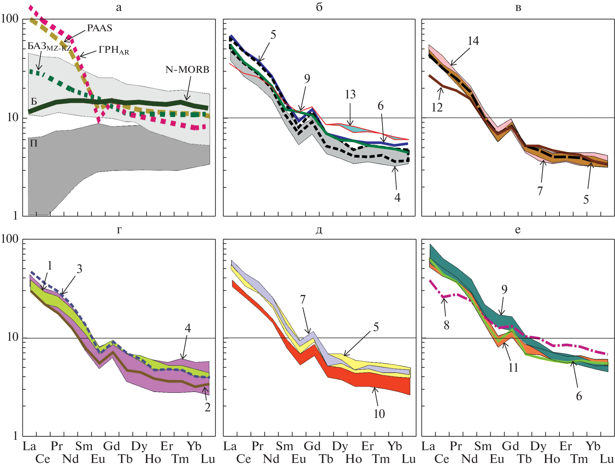
The mineral, bulk chemical (main rock-forming oxides) composition and systematics of rare-earth elements, Sc, Cr, Zr and Th of surface bottom sediments taken in a number of cruises of the R/V Akademik Mstislav Keldysh in the Nordic Seas (Mona, Knipovich, Kolbeinsey and Aegir ridges, the basins of the Norwegian and Greenland seas, the continental slope of Svalbard, the western continental margin of the Barents Sea, etc.) are considered to determine the sources of fine-grained material of bottom sediments. If for coastal sediments the primary influence of terrigenous drift is obvious, then seaward sediments are affected by “relatively war-mer” Atlantic waters, leading to their dilution with calcium carbonate, the main producers of which are planktonic foraminifers. It is concluded that the source of fine-grained aluminosiliciclastics for most of the studied samples were both acidic and basic igneous rocks (volcanic rocks of Iceland) in different proportions.
About the authors
A. V. Maslov
Geological Institute RAS
Author for correspondence.
Email: amas2004@mail.ru
Russia, 119017, Moscow, Pyzhevsky lane, 7, bld. 1
N. V. Politova
Shirshov Institute of Oceanology RAS
Author for correspondence.
Email: politova@ocean.ru
Russia, 117997, Moscow, Nakhimovsky prosp., 36
A. A. Klyuvitkin
Shirshov Institute of Oceanology RAS
Email: politova@ocean.ru
Russia, 117997, Moscow, Nakhimovsky prosp., 36
N. V. Kozina
Shirshov Institute of Oceanology RAS
Email: politova@ocean.ru
Russia, 117997, Moscow, Nakhimovsky prosp., 36
M. D. Kravchishina
Shirshov Institute of Oceanology RAS
Email: politova@ocean.ru
Russia, 117997, Moscow, Nakhimovsky prosp., 36
A. N. Novigatsky
Shirshov Institute of Oceanology RAS
Email: politova@ocean.ru
Russia, 117997, Moscow, Nakhimovsky prosp., 36
E. A. Novichkova
Shirshov Institute of Oceanology RAS
Email: politova@ocean.ru
Russia, 117997, Moscow, Nakhimovsky prosp., 36
T. N. Alekseeva
Shirshov Institute of Oceanology RAS
Email: politova@ocean.ru
Russia, 117997, Moscow, Nakhimovsky prosp., 36
V. P. Shevchenko
Shirshov Institute of Oceanology RAS
Email: politova@ocean.ru
Russia, 117997, Moscow, Nakhimovsky prosp., 36
References
- Батурин Д.Г. Западная континентальная окраина архипелага Шпицберген тектоника и седиментация // Геология осадочного чехла Шпицбергена / Отв. ред. А.А. Красильщиков, М.Н. Мирзаев. Л.: ПГО “Севморгеология”, 1986. С. 125–135.
- Безруков П.Л., Лисицын А.П. Классификация осадков современных морских водоемов // Геологические исследования в дальневосточных морях. М.: АН СССР, 1960. С. 3–14.
- Биогеоценозы гляциальных шельфов Западной Арктики. Апатиты: КНЦ РАН, 1996. 286 с.
- Богданов Ю.А., Сагалевич А.М., Галкин С.В. и др. Геологические и биологические исследования в северной части хребта Мона (Норвежское море) // Океанология. 1997. Т. 37. № 4. С. 609–616.
- Горшкова Т.И. Карбонаты в донных отложениях Норвежско-Гренландского бассейна как показатели распределения водных масс // Труды ВНИРО. 1965. Т. LVII. С. 297–312.
- Горшкова Т.И. Осадки Норвежского моря // Морская геология. М.: Изд-во АН СССР, 1960. С. 132–139.
- Дриц А.В., Клювиткин А.А., Кравчишина М.Д. и др. Потоки осадочного вещества в Лофотенской котловине Норвежского моря: сезонная динамика и роль зоопланктона // Океанология. 2020. Т. 60. № 4. С. 576–594.
- Дубинин Е.П., Кохан А.В., Сущевская Н.М. Тектоника и магматизм ультрамедленных спрединговых хребтов // Геотектоника. 2013. № 3. С. 3–30.
- Емельянов Е.М., Лисицын А.П., Ильин А.В. Типы донных осадков Атлантического океана. Калининград: Калининградская правда, 1975. 590 с.
- Захаренко В.С. Особенности осадконакопления и палеогеография Шпицбергенского шельфа в плейстоцене / Автореф. дисс. … кандидата геол.-мин. наук. Мурманск: ММБИ КНЦ РАН, 2008. 24 с.
- Клювиткин А.А., Кравчишина М.Д., Немировская И.А. и др. Исследование седиментосистем Европейской Арктики в 75-м рейсе научно-исследовательского судна “Академик Мстислав Келдыш” // Океанология. 2020. Т. 60. № 3. С. 485–487.
- Клювиткин А.А., Политова Н.В., Новигатский А.Н., Кравчишина М.Д. Исследования Европейской Арктики в 80-м рейсе научно-исследовательского судна “Академик Мстислав Келдыш” // Океанология. 2021. Т. 61. № 1. С. 156–158.
- Кошелева В.А., Яшин Д.С. Донные осадки Арктических морей России. СПб.: ВНИИОкеангеология, 1999. 286 с.
- Кравчишина М.Д., Кузнецов А.Б., Баранов Б.В. и др. Гидротермальный генезис железомарганцевой корки южного сегмента хребта Мона, Норвежское море: геохимия РЗЭ, изотопный состав стронция и неодима // Докл. АН. Науки о Земле. 2022. Т. 506. № 2. С. 163–169.
- Кравчишина М.Д., Леин А.Ю., Боев А.Г. и др. Гидротермальные минеральные ассоциации на 71° с.ш. Срединно-Атлантического хребта (первые результаты) // Океанология. 2019. Т. 59. № 6. С. 1039–1057.
- Левитан M.A., Васнер М., Нюрнберг Д. и др. Средний состав ассоциаций глинистых минералов в поверхностном слое донных осадков Северного Ледовитого океана // Докл. АН. 1995. Т. 334. № 3. С. 364–366.
- Левитан М.А., Лаврушин Ю.А., Штайн Р. Очерки истории седиментации в Северном Ледовитом океане и морях Субарктики в течение последних 130 тыс. лет. М.: ГЕОС, 2007. 404 с.
- Левитан М.А., Мурдмаа И.О., Иванова Е.В. и др. История осадконакопления на плато Воринг (Норвежское море) за последние 25 тыс. лет // Литология и полез. ископаемые. 2005. № 6. С. 463–580.
- Лисицын А.П. Современные представления об осадкообразовании в океанах и морях. Океан как природный самописец взаимодействия геосфер Земли // Мировой океан. Т. II. Физика, химия и биология океана. Осадкообразование в океане и взаимодействие геосфер Земли / Под ред. Л.И. Лобковского, Р.И. Нигматулина. М.: Научный мир, 2014. С. 331–571.
- Лукашин В.Н. О геохимии взвеси и осаждающегося материала в восточной части Норвежского моря // Геохимия. 2008а. № 7. С. 766–779.
- Лукашин В.Н. Седиментация на континентальных склонах под влиянием контурных течений. М.: ГЕОС, 2008б. 250 с.
- Маслов А.В., Клювиткин А.А., Козина Н.В. и др. Минеральный и химический состав поверхностных донных осадков ряда районов Норвежско-Гренландского бассейна // Океанология. 2022а. Т. 62. № 5. С. 795–810.
- Маслов А.В., Козина Н.В., Клювиткин А.А. и др. Распределение редкоземельных элементов и систематика 87Sr/86Sr в современных донных осадках Каспийского моря // Докл. АН. 2014. Т. 459. № 2. С. 203–207.
- Маслов А.В., Мельничук О.Ю., Мизенс Г.А. и др. Реконструкция состава пород питающих провинций. Статья 2. Лито- и изотопно-геохимические подходы и методы // Литосфера. 2020. Т. 20. № 1. С. 40–62.
- Маслов А.В., Политова Н.В., Клювиткин А.А. и др. Систематика редкоземельных элементов, Sc, Cr, Zr и Th в поверхностных донных осадках Норвежско-Гренландского бассейна // Докл. АН. Науки о Земле. 2022б. Т. 507. № 2. С. 165–173.
- Маслов А.В., Политова Н.В., Шевченко В.П. и др. Систематика Co, Hf, Ce, Cr, Th и редкоземельных элементов в современных донных осадках Баренцева моря // Докл. АН. 2019. Т. 485. № 2. С. 81–86.
- Маслов А.В., Шевченко В.П., Ронкин Ю.Л. и др. Систематика Th, Cr, Hf, Co и редкоземельных элементов в современных донных осадках Белого моря и бассейна нижнего течения р. Северная Двина // Докл. АН. 2012. Т. 443. № 2. С. 214–220.
- Маслов А.В., Школьник С.И., Летникова Е.Ф. и др. Ограничения и возможности литогеохимических и изотопных методов при изучении осадочных толщ. Новосибирск: ИГМ СО РАН, 2018. 383 с.
- Матишов Г.Г. Геоморфология материкового склона Норвежско-Гренландского бассейна и Северо-Западной Атлантики / Автореф. дисс. … кандидата географ. наук. Ростов-на-Дону, 1973. 27 с.
- Матишов Г.Г. Геоморфология дна и некоторые особенности гляциального морфогенеза подводной окраины Западного Шпицбергена // Океанология. 1978. Т. 18. № 2. С. 255–262.
- Матишов Г.Г., Павлова Л.Г. Общая экология и палеогеография полярных океанов. Л.: Наука, 1990. 224 с.
- Никитин О.П., Касьянов С.Ю. Поверхностные течения Норвежского и Гренландского морей // Исследования морей и океанов. Вып. 216. М.: ГОИН, 2015. С. 79–85.
- Новигатский А.Н., Гладышев С.В., Клювиткин А.А. и др. Мультидисциплинарные исследования в Северной Атлантике и прилегающей Арктике в 71-м рейсе научно-исследовательского судна “Академик Мстислав Келдыш” // Океанология. 2019. Т. 59. № 3. С. 510–512.
- Петелин В.П. Новый метод водно-механического анализа морских осадков // Океанология. 1961. Т. 1. Вып. 1. С. 144–148.
- Рянская А.Д., Гуляева Т.Я., Стрелецкая М.В. Отработка методики получения ориентированных образцов глин для рентгеноструктурного анализа // Ежегодник-2014. Екатеринбург: ИГГ УрО РАН, 2015а. С. 254–266.
- Рянская А.Д., Щапова Ю.В., Гуляева Т.Я. и др. Полнопрофильный рентгенодифракционный анализ фазово-минерального состава пород-коллекторов нефти и газа с использованием программы SiroQuant (на примере искусственных смесей) // Ежегодник-2014. Екатеринбург: ИГГ УрО РАН, 2015б. С. 267–275.
- Тримонис Э.С. Терригенная седиментация в Атлантическом океане. М.: Наука, 1995. 255 с.
- Харин Г.С., Ерошенко Д.В. Каменный материал на дне полярных морей: распределение, состав, генезис // Океанология. 2020. Т. 60. № 6. С. 954–969.
- Харин Г.С., Удинцев Г.Б., Чернышева Е.А. Современный щелочной магматизм и гидротермальная деятельность на подводных горах Гренландского моря // Докл. АН. 2003. Т. 392. № 3. С. 375–378.
- Чамов Н.П., Добролюбова К.О., Пейве А.А., Соколов С.Ю. Признаки присутствия газогидратов в верхней части осадочного чехла на бортах разломной зоны Моллой (пролив Фрама, Норвежско-Гренландский бассейн) // Бюл. МОИП. Отд. геол. 2008. Т. 83. Вып. 2. С. 51–60.
- Чамов Н.П., Соколов С.Ю., Костылева В.В. и др. Строение и состав осадочного чехла района рифта Книповича и впадины Моллой (Норвежско-Гренландский бассейн) // Литология и полез. ископаемые. 2010. № 6. С. 594–619.
- Чернышева Е.А., Харин Г.С. Щелочной вулканизм в истории формирования Норвежско-Гренландского бассейна // Петрология. 2007. Т. 15. № 3. С. 317–232.
- Andrews J.T., Eberl D.D. Quantitative mineralogy of surface sediments on the Iceland shelf, and application to down-core studies of Holocene ice-rafted sediments // J. Sed. Res. 2007. V. 77. P. 469–479.
- Andrews J.T., Vogt C. Source to sink: Statistical identification of regional variations in the mineralogy of surface sediments in the western Nordic Seas (58° N–75° N; 10° W–40° W) // Marine Geol. 2014. V. 357. P. 151–162.
- Andrews J.T., Bigg G.R., Wilton D.J. Holocene ice-rafting and sediment transport from the glaciated margin of East Greenland (67°–70° N) to the N Iceland shelves: detecting and modelling changing sediment sources // Quat. Sci. Rev. 2014. V. 91. P. 204–217.
- Andrews J.T., Darby D., Eberle D. et al. A robust, multisite Holocene history of drift ice off northern Iceland: implications for North Atlantic climate // The Holocene. 2009. V. 19. P. 71–77.
- Andrews J.T., Jennings A.E., Coleman G.C., Eberl D.D. Holocene variations in mineral and grain-size composition along the East Greenland glaciated margin (ca 67°–70° N): Local versus long-distance sediment transport // Quat. Sci. Rev. 2010. V. 29. P. 2619–2632.
- Berner H. Mechanismen der Sedimentbildung in der Framstrasse, im Arktischen Ozean und in der Norwegischen See. Berichte, Fachbereich Geowissenschaften, Universitat Bremen, Nr. 20. 1991. 167 s.
- Berner H., Wefer G. Physiographic and biological factors controlling surface sediment distribution in the Fram Strait // Geological history of the Polar oceans: Arctic versus An-tarctic / Eds U. Bleil, J. Thiede. Dordrecht: Kluwer, 1990. P. 317–335.
- Bernstein S., Leslie A.G., Higgins A.K., Brooks C.K. Tertiary alkaline volcanics in the Nunatak Region, Northeast Greenland: new observations and comparison with Siberian maymechites // Lithos. 2000. V. 53. P. 1–20.
- Bischof J. Ice drift, ocean and climate change. Berlin: Springer, 2000. 214 p.
- Blindheim J., Rey F. Water-mass formation and distribution in the Nordic Seas during the 1990s // ICES J. Marine Sci. 2004. V. 61. P. 846–863.
- Bogaerts M., Scaillet B., Liégeois J.-P., Vander Auwera J. Petrology and geochemistry of the Lyngdal granodiorite (Southern Norway) and the role of fractional crystallisation in the genesis of Proterozoic ferro-potassic A-type granites // Precambrian Res. 2003. V. 124. P. 149–184.
- Boyle E.A. Vertical oceanic nutrient fractionation and glacial/interglacial CO2 cycles // Nature. 1988. V. 331. P. 55–56.
- Braccialli L., Marroni M., Pandolfi L., Rocchi S. Geoche-mistry and petrography of Western Tethys Cretaceous sedimentary covers (Corsica and Northern Apennines): from source areas to configuration of margins // Sedimentary Provenance and Petrogenesis: Perspectives from Petrography and Geochemistry / Eds J. Arribas, S. Critelli, M.J. Johnsson // Geol. Soc. Am. Spec. Pap. 2007. № 420. P. 73–93.
- Broecker W.S., Denton G.H. The role of ocean-atmosphere reorganizations in glacial cycles // Geochim. Cosmochim. Acta. 1989. V. 53. P. 2465–250l.
- Carlsson P., Johansson Å., Gee D.G. Geochemistry of the Palaeoproterozoic Bangenhuk granitoids, Ny Friesland, Svalbard // GFF. 1995. V. 117. P. 107–119.
- Condie K.C. Chemical composition and evolution of the upper continental crust: contrasting results from surface samples and shales // Chem. Geol. 1993. V. 104. P. 1–37.
- Cotkin S.J. Igneous and metamorphic petrology of the eclogitic Seljeneset Meta-anorthosite and related jotunites, Western Gneiss Region, Norway // Lithos. 1997. V. 40. P. l–30.
- Cruz M.I.F.S. Mineralogy and geochemistry of contrasting hydrothermal systems on the Arctic Mid Ocean Ridge (AMOR): The Jan Mayen and Loki’s Castle vent fields. Doutoramento em Ciencias do Mar. Univeridadae de Lisboa. Faculdade de Ciencias. 2015. 257 p.
- Cullers R.L. Implications of elemental concentrations for provenance, redox conditions, and metamorphic studies of shales and limestones near Pueblo, CO, USA // Chem. Geol. 2002. V. 191. P. 305–327.
- Cullers R.L. The geochemistry of shales, siltstones, and sandstones of Pennsylvanian-Permian age, Colorado, USA: implications for provenance and metamorphic stu-dies // Lithos. 2000. V. 51. P. 181–203.
- Dugstad J., Fer I., LaCasce J. et al. Lateral heat transport in the Lofoten Basin: near-surface pathways and subsurface exchange // J. Geophys. Res.: Oceans. 2019. V. 124. P. 2992–3006.
- Evans J., Dowdeswell J.A., Grobe H. et al. Late Quaternary sedimentation in Kejser Franz Joseph Fjord and the continental margin of East Greenland // Glacier-lnftuenced Sedimentation on High-Latitude Continental Margins / Eds J.A. Dowdeswell, C. O’Cofaigh // Geol. Soc. (London). Spec. Publ. 2002. No 203. P. 149–179.
- Farmer G.L., Barber D., Andrews J. Provenance of Late Quaternary ice-proximal sediments in the North Atlantic: Nd, Sr and Pb isotopic evidence // Earth Planet. Sci. Lett. 2003. V. 209. P. 227–243.
- Feng R., Kerrich R. Geochemistry of fine-grained clastic sediments in the Archean Abitibi greenstone belt, Canada: implications for provenance and tectonic setting // Geochim. Cosmochim. Acta. 1990. V. 54. P. 1061–1081.
- Fedo C.M., Eriksson K.A., Krogstad E.J. Geochemistry of shales from the Archean (~3.0 Ga) Buhwa Greenstone Belt, Zimbabwe: implications for provenance and source-area weathering // Geochim. Cosmochim. Acta. 1996. V. 60. P. 1751–1763.
- Fedo C.M., Young G.M., Nesbitt H.W. Paleoclimatic control on the composition of the Paleoproterozoic Serpent Formation, Huronian Supergroup, Canada: a greenhouse to icehouse transition // Precambrian Res. 1997. V. 86. P. 201– 223.
- Fohrmann H., Backhaus J.O., Blaumel F. et al. Modern Ocean Current-Controlled Sediment Transport in the Greenland-Iceland-Norwegian (GIN) Seas // The Northern North Atlantic: A Changing Environment / Eds P. Schafer, W. Ritzrau, M. Schluter, J. Thiede. Berlin: Springer, 2001. P. 135–154.
- Gale A., Dalton C.A., Langmuir C.H. et al. The mean composition of ocean ridge basalts // Geochem. Geophys. Geosyst. 2013. V. 14. P. 489–518. https://doi.org/10.1029/2012GC004334
- Geochemistry of Sediments and Sedimentary Rocks: Evolutionary Considerations to Mineral Deposit-Forming Environments / Ed. D.R. Lentz // Geol. Ass. Canada. GeoText 4. 2003. 184 p.
- Girty G.H., Hanson A.D., Knaack C., Johnson D. Provenance determined by REE, Th, Sc analyses of metasedimentary rocks, Boyden Cave Roof Pendant, central Sierra Nevada, California // J. Sed. Res. 1994. V. B64. P. 68–73.
- Gromet L.P., Dymek R.F., Haskin L.A., Korotev R.L. The “North American shale composite”: Its compilation, major and trace element characteristics // Geochim. Cosmochim. Acta. 1984. V. 48. P. 2469–2482.
- Grousset F.E., Chesselet R. The Holocene sedimentary regime in the northern Mid-Atlantic Ridge region // Earth Planet. Sci. Lett. 1986. V. 78. P. 271–287.
- Hald M. Climate change and paleoceanography // The Northern North Atlantic: A Changing Environment / Eds P. Schaufer, W. Ritzrau, M. Schluter, J. Thiede. Berlin: Springer, 2001. P. 281–290.
- Hald N., Tegner C. Composition and age of tertiary sills and dykes, Jameson Land Basin, East Greenland: relation to regional flood volcanism // Lithos. 2000. V. 54. P. 207–233.
- Hards V.L., Kempton P.D., Thompson R.N. The heterogeneous Iceland plume: new insights from the alkaline basalts of the Snaefell volcanic centre // J. Geol. Soc. (London). 1995. V. 152. P. 1003–1009.
- Haskin M.A., Haskin L.A. Rare earths in European shales: a redetermination // Science. 1966. V. 154. P. 507–509.
- Hebbeln D., Berner H. Surface sediment distribution in the Fram Strait // Deep-Sea Res. I. 1993. V. 40. P. 1731–1745.
- Hebbeln D., Wefer G. Effects of ice coverage and ice-rafted material on sedimentation in the Fram Strait // Nature. 1991. V. 350. P. 409–411.
- Holm P.M., Hald N., Waagstein R. Geochemical and Pb–Sr–Nd isotopic evidence for separate hot depleted and Iceland plume mantle sources for the Paleogene basalts of the Faroe Islands // Chem. Geol. 2001. V. 178. P. 95–125.
- Imbrie J., Boyle E.A., Clemens S. et al. On the structure and origin of major glaciation cycles: 1. Linear responses to Milankovitch Forcing // Paleoceanography. 1992. V. 7. P. 701–738.
- Johannessen T., Jansen E., Flatoy A., Ravelo A.C. The relationship between surface water masses, oceanographic fronts and paleoclimatic proxies in surface sediments of the Greenland, Iceland, Norwegian seas // Carhon Cycling in the Glacial Ocean: Constraints on the Ocean’s Role in Global Change / Eds R. Zahn, T.F. Pedersen, M.A. Kaminski, L. Labeyrie // NATO ASI I. V. 17. Berlin, Heidelberg: Springer-Verlag, 1994. P. 61–85.
- Kalsbeek F. Geochemistry, tectonic setting, and poly-orogenic history of Palaeoproterozoic basement rocks from the Caledonian fold belt of North-East Greenland // Precambrian Res. 1995. V. 72. P. 301–315.
- Kalsbeek F., Jepsen H.F., Jones K.A. Geochemistry and petrogenesis of S-type granites in the East Greenland Caledonides // Lithos. 2001. V. 57. P. 91–109.
- Kokfelt T.F., Hoernle K., Hauff F. et al. Combined Trace Element and Pb–Nd–Sr–O Isotope Evidence for Recycled Oceanic Crust (Upper and Lower) in the Iceland Mantle Plume // J. Petrol. 2006. V. 47. P. 1705–1749.
- Laberg J.S., Vorren T.O. Late Weichsetian submarine debris flow deposits on the Bear Island Trough Mouth Fan // Marine Geol. 1995. V. 127. P. 45–72.
- Lackschewitz K.S., Wallrabe-Adams H.-J., Garbe-Schonberg D. Geochemistry of surface sediments from the mid-oceanic Kolbeinsey Ridge, north of Iceland // Marine Geol. 1994. V. 121. P. 105–119.
- Lee Y.I. Provenance derived from the geochemistry of late Paleozoic-early Mesozoic mudrocks of the Pyeongan Supergroup, Korea // Sed. Geol. 2002. V. 149. P. 219–235.
- Maccali J., Hillaire-Marcel C., Carignan J., Reisberg L.C. Pb isotopes and geochemical monitoring of Arctic sedimentary supplies and water mass export through Fram Strait since the Last Glacial Maximum // Paleoceanography. 2012. V. 27. PA1201. https://doi.org/10.1029/2011PA002152
- Markl G. REE constraints on fractionation processes of massive-type anorthosites on the Lofoten Islands, Norway // Mineral. Petrol. 2001. V. 72. P. 325–351.
- Mason A.J., Brewer T.S. Mafic dyke remnants in the Le-wisian Complex of the Outer Hebrides, NW Scotland: a geochemical record of continental break-up and re-assembly // Precambrian Res. 2004. V. 133. P. 121–141.
- McClelland J.W., Holmes R.M., Dunton K.H. et al. The Arctic Ocean Estuary // Estuaries and Coasts. 2012. V. 35. P. 353–368.
- McLennan S.M. Rare earth elements in sedimentary rocks: influence of provenance and sedimentary processes // Geochemistry and mineralogy of rare earth elements / Eds B.R. Lipin, G.A. McKay // Reviews in Mineralogy. 1989. V. 21. P. 169–200.
- McLennan S.M., Hemming S.R., McDaniel D.K., Hanson G.N. Geochemical approaches to sedimentation, provenance and tectonics // Processes controlling the composition of clastic sediments / Eds M.J. Johnsson, A. Basu // Geol. Soc. Am. Spec. Pap. 1993. № 284. P. 21–40.
- Munsell Soil-Color-Charts with genuine Munsell color ships. 2009 year revised. Michigan: Munsell Color, Grand Rapids, 2012.
- Negrel P., Sadeghi M., Ladenberger A. et al. Geochemical fingerprinting and source discrimination of agricultural soils at continental scale // Chem. Geol. 2015. V. 396. P. 1–15.
- Peate D.W., Baker J.A., Jakobsson S.P. et al. Historic magmatism on the Reykjanes Peninsula, Iceland: a snap-shot of melt generation at a ridge segment // Contrib. Mineral. Petrol. 2009. V. 157. P. 359–382.
- Peterman E.M., Hacker B.R., Baxter E.F. Phase transformations of continental crust during subduction and exhumation: Western Gneiss Region, Norway // Eur. J. Mineral. 2009. V. 21. P. 1097–1118.
- Pfirman S. Sediment distribution of the Greenland Sea and the Fram Strait // Polar Res. 1987. V. 5. P. 319–320. https://doi.org/10.3402/polar.v5i3.6901
- Pirrung M., Illner P., Matthiessen J. Biogenic barium in surface sediments of the European Nordic Seas // Marine Geol. 2008. V. 250. P. 89–103.
- Randelhoff A., Reigstad M., Chierici M. et al. Seasonality of the physical and biogeochemical hydrography in the inflow to the Arctic Ocean through Fram Strait // Front. Mar. Sci. 2018. V. 5. 224. https://doi.org/10.3389/fmars.2018.00224
- Rossby T., Ozhigin V., Ivshin V., Bacon S. An isopycnal view of the Nordic Seas hydrography with focus on properties of the Lofoten Basin // Deep-Sea Res. I. 2009. V. 56. P. 1955–1971.
- Rudnick R.L., Gao S. Composition of the continental crust // Treatise on Geochemistry. Amsterdam: Elsevier, 2003. V. 3. P. 1–64.
- Sarafanov A., Falina A., Mercier H. et al. Mean fulldepth summer circulation and transports at the northern periphery of the Atlantic Ocean in the 2000s // J. Geoph. Res. 2012. V. 117. C01014.
- Slagstad T. Geochemistry of trondhjemites and mafic rocks in the Bymarka ophiolite fragment, Trondheim, Norway: Petrogenesis and tectonic implications // Norwegian J. Geol. 2003. V. 83. P. 167–185.
- Slater L., McKenzie D., Gronvold K., Shimizu N. Melt gene-ration and movement beneath Theistareykir, NE Iceland // J. Petrol. 2001. V. 42. P. 321–354.
- Slubowska-Woldengen M., Koč N., Rasmussen T.L. et al. Time-slice reconstructions of ocean circulation changes on the continental shelf in the Nordic and Barents Seas during the last 16,000 cal yr B.P. // Quat. Sci. Rev. 2008. V. 27. P. 1476–1492.
- Stein R., Nam S.-I., Grobe H., Hubberten H. Late Quaternary glacial history and short-term ice-rafted debris fluctuations along the East Greenland continental margin // Late Quaternary Palaeoceanography of the North Atlantic Margins / Eds J.T. Andrews, W.E.N. Austin, H. Bergsten, A.E. Jennings // Geol. Soc. Spec. Publ. 1996. № 111. P. 135–151.
- Taylor J., Tranter M., Munhoven G. Caгbon cycling and burial in the glacially influenced Polar North Atlantic // Paleoceanography. 2002. V. 17. № 1. https://doi.org/10.1029/2001PA000644
- Taylor S.R., McLennan S.M. The Continintal Crust: Its composition and evolution. Oxford: Blackwell, 1985. 312 p.
- Teschner C. Reconstructing the Plio–Pleistocene evolution of the water mass exchange and climate variability in the Nordic Seas and North Atlantic Ocean / Dissertation zur Erlangung des Doktorgrades Dr. rer. nat. der Mathematisch-Naturwissenschaftlichen Fakultät der Christian-Albrechts Universität zu Kiel. Kiel, 2013. 171 p.
- The Northern North Atlantic / Eds P. Schaufer, W. Ritzrau, M. Schluter, J. Thiede. Berlin, Heidelberg: Springer, 2001. 520 p.
- Thorpe M.T., Hurowitz J.A., Dehouck E. Sediment geochemistry and mineralogy from a glacial terrain river system in southwest Iceland // Geochim. Cosmochim. Acta. 2019. V. 263. P. 140–166.
- Verplanck E.P., Farmer G.L., Andrews J. et al. Provenance of Quaternary glacial and glacimarine sediments along the southeast Greenland margin // Earth Planet. Sci. Lett. 2009. V. 286. P. 52–62.
- Vogt C., Knies J., Spielhagen R.F., Stein R. Detailed mine-ralogical evidence for two nearly identical glacial/deglacial cycles and Atlantic water advection to the Arctic Ocean during the last 90 000 years // Global and Planet. Change. 2001. V. 31. P. 23–44.
- Vogt P.R. Seafloor topography, sediments, and paleoenvironments // The Nordic Seas / Ed. B.O. Hurdle. N. Y.: Springer, 1986. P. 237–412.
- Volkov D.L., Belonenko T.V., Foux V.R. Puzzling over the dynamics of the Lofoten Basin – a sub-Arctic hot spot of ocean variability // Geophysical Res. Lett. 2013. V. 40. P. 738–743.
- Vorren T.O., Laberg J.S., Blaume F. et al. The Norwegian– Greenland Sea continental margins: morphology and Late Quaternary sedimentary processes and environment // Quat. Sci. Rev. 1998. V. 17. P. 273–302.
- Wood D.A., Joron J.-L., Treuil M. et al. Elemental and Sr isotope variations in basic lavas from Iceland and the surrounding ocean floor (the nature of mantle source inhomogeneities) // Contrib. Mineral. Petrol. 1979. V. 70. P. 319–339.
Supplementary files










