Model of Formation of Gold-Bearing Placers in Platform Areas (East of the Siberian Platform)
- Authors: Nikiforova Z.S.1, Kalinin Y.A.1,2, Naumov V.A.3,4, Lalomov A.V.5
-
Affiliations:
- Diamond and Precious Metal Geology Institute SB RAS
- Sobolev Institute of Geology and Mineralogy SB RAS
- Zavaritsky Institute of Geology and Geochemistry UB RAS
- Institute of Natural Science of Perm State National Research University
- Institute of Geology of Ore Deposits, Petrography, Mineralogy and Geochemistry RAS
- Issue: No 6 (2023)
- Pages: 570-587
- Section: Articles
- URL: https://medbiosci.ru/0024-497X/article/view/231879
- DOI: https://doi.org/10.31857/S0024497X23700209
- EDN: https://elibrary.ru/WQXLRN
- ID: 231879
Cite item
Full Text
Abstract
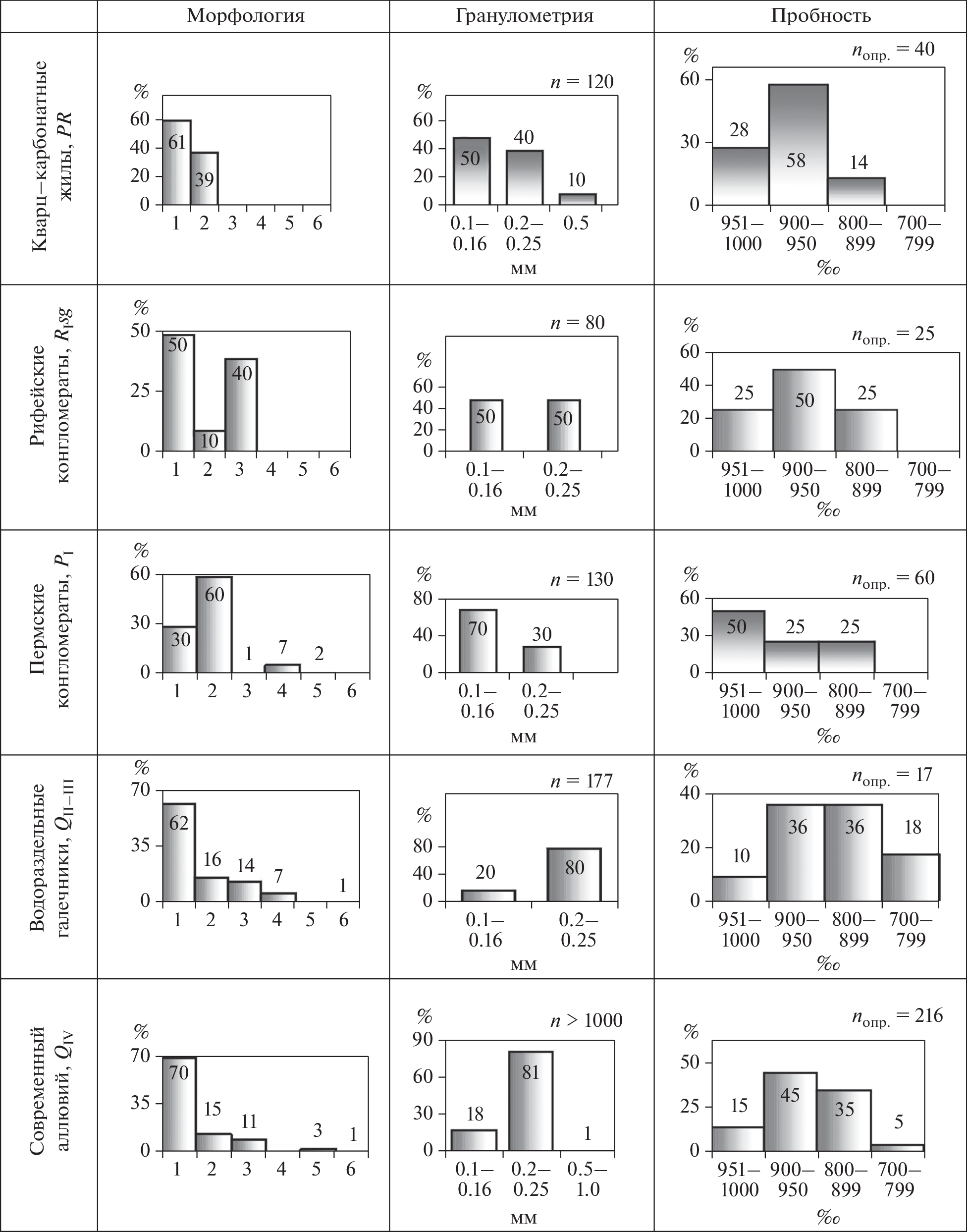
A model of the formation of gold-bearing placers for platform areas is proposed for the first time. Placers on the platforms are formed mainly due to the Precambrian ore sources spatially confined to the basement outcrops, and, locally, Mesozoic, formed when tectonic-magmatic activation occurs in the zones of paleorifts and deep faults. Placers formed due to the Precambrian sources are characterized by the presence of fine and thin gold with a size of 0.1‒0.25 mm and, as a rule, are not of commercial interest. They bar alluvial and coastal-marine allochtonous placers and are considered as complex, with associated mining of titanium, zirconium and other useful components. Placers formed due to the sources of the Mesozoic stage of ore formation belong to the class of small and medium reserves, the size of gold in them ranges from dust-like to 0.2‒0.25 mm or more and they are usually mined by prospectors' team. Placers on the platforms do not form sheet deposits, since they are formed mainly due to sources of non-placer-generating formations. The presence of such placers indicates the proximity of the ore occurrence, which the type and location can be determined based on the study of the mineralogical and geochemical features of the placer gold itself.
About the authors
Z. S. Nikiforova
Diamond and Precious Metal Geology Institute SB RAS
Author for correspondence.
Email: znikiforova@yandex.ru
Russia, 677000, Yakutsk, Lenin str., 39
Y. A. Kalinin
Diamond and Precious Metal Geology Institute SB RAS; Sobolev Institute of Geology and Mineralogy SB RAS
Author for correspondence.
Email: kalinin@igm.nsc.ru
Russia, 677000, Yakutsk, Lenin str., 39; Russia, 630090, Novosibirsk, acad. Koptyug ave., 3
V. A. Naumov
Zavaritsky Institute of Geology and Geochemistry UB RAS; Institute of Natural Science of Perm State National Research University
Author for correspondence.
Email: naumov@psu.ru
Russia, 620110, Ekaterinburg, acad. Vonsovsky str., 15; Russia, 614990, Perm, Genkel str., 4
A. V. Lalomov
Institute of Geology of Ore Deposits, Petrography, Mineralogy and Geochemistry RAS
Author for correspondence.
Email: lalomov@mail.ru
Russia, 119017, Moscow, Staromonetny lane, 35
References
- Бондаренко С.В., Золотарева Г.С. Распределение попутного золота в титан-циркониевых песках россыпи “Центральная” (Тамбовская область) // Вестник ВГУ. Серия: Геология. 2018. № 3. С. 66–73.
- Веремеева Л.И., Соленикова Е.О., Акименко М.И., Копьева Т.В. Попутное золото в титан-циркониевых россыпях Ставропольского россыпного района — фактор повышения их инвестиционной привлекательности // Разведка и охрана недр. 2014. № 9. С. 35–41.
- Гаврильев Н.Н., Михайлов В.А., Алексеев Н.Н. О распределении терригенных аксессориев мезозойских отложений Вилюйской синеклизы. Новосибирск // Геология и геофизика. 1985. № 3301–85. 16 с.
- Герасимов Б.Б., Никифорова З.С. Крупное ртутьсодержащее россыпное золото бассейна среднего течения р. Анабар // Отечественная геология. 2009. № 5. С. 11–17.
- Герасимов Б.Б., Никифорова З.С. Особенности россыпного золота бассейна р. Уджа (Билиро-Уджинское поднятие) // Отечественная геология. 2012. № 5. С. 27–31.
- Генералов М.Е., Казаков А.В. Золотоносные россыпи Подмосковья: страницы истории и новые данные по минералогии золота // Россыпи и месторождения кор выветривания: изучение, освоение, экология // Материалы XV Международного совещания по геологии россыпей и месторождений кор выветривания. Пермь: Пермский гос. нац. исслед. университет, 2015. С. 40–42.
- Глухов Ю.В., Филиппов В.Н., Исаенко С.И., Макеев Б.А. Мелкое золото северо-востока Восточно-Европейской платформы (Сысольская и Мезенская впадины) // Минералы и минералообразование, структура, разнообразие и эволюция минерального мира, роль минералов в происхождении и развитии жизни, биоминеральные взаимодействия. Сыктывкар: Институт геологии Коми НЦ УрО РАН, 2008. С. 350–385.
- Глухов Ю.В. Связь состава мелкого золота Восточно-Европейской платформы с ледниковыми событиями плейстоцена // Самородное золото: типоморфизм минеральных ассоциаций, условия образования месторождений, задачи прикладных исследований // Материалы Всероссийской конференции. М.: ИГЕМ РАН, 2010. С. 138‒140.
- Глушкова Е.Г., Никифорова З.С. Сравнительная характеристика типоморфных особенностей самородного золота бассейна средней Лены (юго-восток Сибирской платформы) // Тихоокеанская геология. 2010. № 3. С. 34–44.
- Глушкова Е.Г., Никифорова З.С. О коренных источниках россыпного золота Уринского антиклинория (юго-восток Сибирской платформы) // Тихоокеанская геология. 2013. Т. 32. № 3. С. 118–123.
- Евзеров В.Я. Минерагения четвертичных отложений северо-восточной части Балтийского щита / Автореф. дисс. … доктора геол.-мин. наук. Воронеж: ВГУ, 2004. 56 с.
- Жмодик С.М., Калинин Ю.А., Росляков Н.А., Миронов А.Г. и др. Наночастицы благородных металлов в зоне гипергенеза // Геология рудных месторождений. 2012. Т. 54. № 2. С. 168‒183.
- Избеков Э.Д. Образование и эволюция россыпей. Новосибирск: Наука, 1985. 190 с.
- Калинин Ю.А., Росляков Н.А., Прудников С.Г. Золотоносные коры выветривания юга Сибири. Новосибирск: Академическое издательство “Гео”, 2006. 339 с.
- Калинин Ю.А., Росляков Н.А. Прогнозно-поисковые критерии золотоносных кор выветривания (районы юга Сибири, Россия) // Геология рудных месторождений. 2012. Т. 54. № 2. С. 157‒167.
- Кальниченко С.С., Иванов Н.М., Каримова Н.А. и др. Основные типы золотосодержащих месторождений осадочного чехла центральной части Восточно-Европейской платформы // Руды и металлы. 1995. № 6. С. 5–15.
- Константиновский А.А. Перспективы обнаружения комплексных (золото, платиноиды) палеороссыпей на востоке Балтийского щита // Литология и полез. ископаемые. 2005. № 1. С. 12–24.
- Лукъяненок Н.П., Колпаков В.В. Открытие россыпного золота в Белоруссии // Золото России. 1995. № 1‒4. С. 35–40.
- Лоскутов В.В. Золото и интерметаллиды в осадочном чехле Воронежской антеклизы / Дисс. … канд. геол.-мин. наук. Воронеж: ВГУ, 2002. 195 с.
- Левченко Е.Н., Григорьева А.В. Типоморфные и технологические особенности попутного золота в комплексных россыпных месторождениях // Обогащение руд. 2021. № 3. С. 24–32. https://doi.org/10.17580/or.2021.03.05
- Милашев В.А. Структуры кимберлитовых полей. Л.: Недра, 1979. 183 с.
- Матвеева Е.В., Риндзюнская Н.М. Эрозионно-структурные депрессии, коры выветривания восточного склона Приполярного Урала и перспективы их золотоносности // Тезисы докладов XII Международного совещания по геологии россыпей и месторождений кор выветривания. М.: Изд-во ИГЕМ РАН, 2000. С. 228–229.
- Матвеева E. В., Филиппов В. П., Иванов Н.П. и др. Комплексные титано-циркониевые россыпи центральной части Русской платформы – резерв минерально-сырьевой базы золота // Отечественная геология. 2005. № 2. С. 33–38.
- Мигачев И.Ф., Кальниченко С.С., Романчук А.И. Перспективы золотоносности Восточно-Европейской платформы // Отечественная геология. 1995. № 3. С. 53–57.
- Михайлов В.А. Источники питания металлоносных отложений Вилюйской синеклизы / Автореф. дисс. … канд. геол.-мин. наук. Томск: ТГУ, 1990. 20 с.
- Михайлов В.А., Протопопов Ю.Х. Основные предпосылки рудоносности и комплексные россыпи Вилюйской активизированной области древней платформы // Россыпи и месторождения кор выветривания – объект инвестиций на современном этапе. Международное совещание. М.: Наука, 1994. С. 216–217.
- Наумов В.А. Минерагения, техногенез и перспективы комплексного освоения золотоносного аллювия / Автореф. дисс. … доктора геол.-мин. наук. Пермь: Пермский гос. нац. исслед. университет, 2010. 42 с.
- Наумов В.А. Минерагения и перспективы комплексного освоения золотоносного аллювия Урала и Приуралья. Пермь: Пермский гос. нац. исслед. университет, 2011. 162 с.
- Наумов В.А., Илалтдинов И.Я., Осовецкий Б.М. и др. Золото Верхнекамской впадины. Кудымкар, Пермь: Пермский гос. нац. исслед. университет, 2003. 218 с.
- Неганов В.М. Новые данные по геологии и нефтегазоносности Пермского края по результатам региональных и детальных геолого-геофизических работ // Геология, геофизика и разработка нефтяных и газовых месторождений. 2009. № 2. С. 11–19.
- Нестеренко Г.В., Колпаков В.В., Бобошко Л.П. Самородное золото в комплексных Ti–Zr россыпях юга Западно-Сибирской равнины // Геология и геофизика. 2013. Т. 54. № 12. С. 1905–1922.
- Никифорова З.С. О возможности формирования крупных золоторудных месторождений мезозойского этапа рудообразования (восток Сибирской платформы) // Журнал СФУ. Техника и технологии. 2017. № 10(7). С. 908–921.
- Никифорова З.С., Базилевская Р.В., Герасимов Б.Б. О находках рудного золота в бассейне р. Эбелях, северо-востока Сибирской платформы // Отечественная геология. 2006. № 5. С. 48–52.
- Никифорова З.С., Герасимов Б.Б., Тулаева Е.Г. Генезис золотоносных россыпей и их возможные источники (восток Сибирской платформы) // Литология и полез. ископаемые. 2011. №1. С. 21–35.
- Никифорова З.С., Герасимов Б.Б., Глушкова Е.Г. и др. Золотоносность востока Сибирской платформы (россыпи – коренные источники) // Геология рудных месторождений. 2013. Т. 55. № 4. С. 305–319.
- Никифорова З.С., Калинин Ю.А. Макаров В.А. Эволюция самородного золота в экзогенных условиях // Геология и геофизика. 2020. № 11. С. 1514‒1534. https://doi.org/10.15372/GIG2020109
- Никифорова З.С., Ивенсен Г.В. К вопросу формирования эпитермальных месторождений золота на территории Лено-Вилюйского междуречья // Рудогенез. Материалы международной конференции. Миасс: ИМин УрО РАН, 2008. С. 203–206.
- Никифорова З.С., Каженкина А.Г. Минералого-геохимические особенности россыпного золота юго-западной части Вилюйской синеклизы (Кемпендяйские дислокации) и их возможная связь с источниками золотосеребряной формации // Отечественная геология. 2012. № 5. С. 32–36.
- Паленова Е.Е., Новоселов К.А., Белогуб Е.В. Золото в корах выветривания Гвианского щита (Южная Америка) // Минералогия. 2019. Т. 5(2). С. 83–100.
- Патык-Кара Н.Г. Минерагения россыпей: типы россыпных провинций. М.: ИГЕМ РАН, 2008. 528 с.
- Петров А.Ф. Объяснительная записка к государственной геологической карте СССР масштаба 1 : 200 000 (лист O-50-XVIII – Серия Бодайбинская). М.: Госгеолтехиздат, 1978. 116 с.
- Проворов В.М., Неганов В.М., Вилесова Л.А. Строение и перспективы нефтегазоносности северных и западных земель Коми-Пермяцкого округа в свете новых данных // Геология и полезные ископаемые Западного Урала. Материалы научно-практической конференции. Пермь: Пермский гос. университет, 2007. С. 58–64.
- Проворов В.М. Приоритетные направления дальнейшего освоения природных ресурсов нефти и газа в северных и западных районах Урало-Поволжья на ближайшую и дальнюю перспективу // Геология, геофизика и разработка нефтяных и газовых месторождений. 2005. № 3‒4. С. 15–21.
- Прокопчук Б.И., Сочнева Э.Г., Кривонос В.Ф. Минеральный состав тяжелой фракции и источники сноса пермских отложений Лено-Анабарского междуречья (северо-восток Сибирской платформы) // Известия АН СССР. 1973. № 5. С. 82–92.
- Россыпные месторождения России и других стран СНГ (Минерагения. Промышленные типы, стратегия развития минерально-сырьевой базы) / Под ред. Н.П. Лаверова, Н.Г. Патык-Кара. М.: Научный мир, 1997. 497 с.
- Рубенчик И.Б., Борщева Н.А., Зарецкий Л.М. Объяснительная записка к геологической карте масштаба 1 : 200 000 (лист R-50-VII, VIII). М.: Госгеолтехиздат, 1980. 107 с.
- Рудные формации эндогенных месторождений (Формации эндогенных месторождений золота, свинца, колчеданов, свинца, цинка и ртути) / Под ред. Г.А. Соколова. Т. 2. М.: Наука, 1976. 395 с.
- Савко А.Д., Шевырев Л.Т., Лоскутов В.В. Эксгаляционно-осадочная металлоносность Воронежской антеклизы — новые горизонты поисков рудных месторождений в осадочном чехле. Статья 1. Интерметаллиды: локализация, типы, состав // Вестник ВГУ. Сер. Геол. 1999. № 7. С. 139–155.
- Савко А.Д., Шевырев Л.Т. Ультратонкое золото // Труды НИИ Воронежского университета. Вып. 6. Воронеж, 2001. 151 с.
- Синяков В.И. Геолого-промышленные типы рудных месторождений. СПб.: Недра, 1994. 248 с.
- Тимофеев В.И. О россыпной золотоносности р. Вилюй // Разведка и охрана недр. 1965. № 6. С. 1–5.
- Трушков Ю.Н., Избеков Э.Д., Томская А.И., Тимофеев В.И. Золотоносность Вилюйской синеклизы и ее обрамления. Новосибирск: Наука, 1975. 149 с.
- Шило Н.А. Учение о россыпях. М.: Изд-во Академии горных наук, 2000. 632 с.
- Bradley S. Van Gosen, Baohong Hou, Tianrui Song. Heavy Mineral Sands Resources in China // Society of Economic Geologists, Inc. SEG Special Publications, 2019. V. 22. P. 581–595.
- Nikiforova Z.S., Ivensen G.V., Filippov V.Ye. Manifestations of volcanic activity in the Lena-Vilyui interfluve and its association with gold mineralization // International Symposium Large igneous provinces of Asia, mantle plumes and metallogeny. Novosibirsk: Publishing Hous of SB RAS, 2007. P. 182–184.
- Pownceby M.I., Sparrow G.J., Fisher-White M.J. Mineralogical characterisation of Eucla Basin ilmenite concentrates – First results from a new global resource // Minerals Engineering. 2008. V. 21. P. 587–597.
- Roy P.S. Changing Pliocene Sea Levels and the Formation of Heavy Minerals Beach Placers in the Murray Basin, Southeastern Australia // Economic Geology. 2003. V. 98(5). P. 975–983. https://doi.org/10.2113/98.5.975
Supplementary files











