Модуляция активности азитромицина в отношении моновидовых и бинарных биопленок Staphylococcus aureus и Kytococcus schroeteri гормоном норадреналином
- Авторы: Дювенжи Е.В.1, Соловьев И.Д.1, Сухачева М.В.1, Неволина Е.Д.1, Овчарова М.А.1, Логинова Н.А.1, Мосолова А.М.1, Мартьянов С.В.1, Плакунов В.К.1, Ганнесен А.В.1
-
Учреждения:
- ФИЦ “Фундаментальные основы биотехнологии” Российской академии наук
- Выпуск: Том 93, № 6 (2024)
- Страницы: 732-744
- Раздел: ЭКСПЕРИМЕНТАЛЬНЫЕ СТАТЬИ
- URL: https://medbiosci.ru/0026-3656/article/view/276140
- DOI: https://doi.org/10.31857/S0026365624060058
- ID: 276140
Цитировать
Полный текст
Аннотация
Исследовано действие норадреналина как вещества-модулятора активности антибиотика азитромицина в отношении моновидовых и бинарных биопленок представителей микробиоты человека Staphylococcus aureus и Kytococcus schroeteri в различных модельных системах. Показано, что гормон в концентрации 3.55 мкМ, в зависимости от системы культивирования и времени инкубации, способен как усиливать, так и ослаблять эффекты от действия азитромицина в субингибиторных концентрациях (0.001 и 4 мкг/мл). В случае быстро сформированных биопленок норадреналин ослабляет ингибирующее действие антибиотика, тогда как при наличии полной стадии адгезии, напротив, гормон усиливает ингибиторный эффект антибиотика. Не менее важным является фактор взаимодействия двух микроорганизмов в сообществе, поскольку присутствие K. schroeteri в сообществе изменяет эффект от действия 4 мкг/мл азитромицина в комбинации с норадреналином на S. aureus . Показано, что азитромицин и норадреналин, а также их комбинации способны менять экспрессию генов устойчивости не только к макролидам (повышение экспрессии гена mrx сочетанием 4 мкг/мл азитромицина и 3.55 мкМ норадреналина), но и к фторхинолонам (понижение экспрессии гена arlR и повышение – mdtK).
Полный текст
Модуляция активности азитромицина в отношении моновидовых и бинарных биопленок Staphylococcus aureus и Kytococcus schroeteri гормоном норадреналином 1
Грамположительные кокки Staphylococcus aureus (филум Firmicutes) и Kytococcus schroeteri (филум Actinobacteria) входят в состав микробиоты кожи человека. S. aureus – условно-патогенная бактерия, в определенных случаях вызывающая целый ряд заболеваний, начиная с относительно “легких” кожных инфекций (акне вулгарис, импетиго, фурункулеза, флегмоны), до смертельно опасных (пневмонии, менингита, остеомиелита, эндокардита, инфекционно-токсического шока и сепсиса) (Tong et al., 2015). Многие штаммы S. aureus устойчивы к антибиотикам. Наибольшую опасность представляют собой метициллинрезистентные штаммы S. aureus (meticillin-resistant S. aureus, MRSA), устойчивые к бета-лактамам (благодаря наличию лактамаз) и к ряду других антибиотиков (Green et al., 2012). Ситуация значительно усугубляется, если S. aureus формирует биопленки в очагах инфекций. В составе биопленок микроорганизмы становятся еще более устойчивыми к антимикробным веществам, и борьба с биопленочными инфекциями является одной из наиболее острых в клинической практике (Sauer et al., 2022).
K. shroeteri является частью нормальной микробиоты кожи человека, и в целом не представляет такой опасности для здоровья человека, как золотистый стафилококк. Тем не менее зарегистрировано достаточное количество клинических случаев эндокардита после имплантации искусственного клапана или шунта в сердце (Aepinus et al., 2008; Yousri et al., 2010; Schaumburg et al., 2013). Также сообщалось, что K. shroeteri обладает устойчивостью к пенициллину G, оксациллину, эритромицину (Becker et al., 2002). Способность данных микроорганизмов образовывать биопленки, а также полученные ранее результаты о межвидовых взаимодействиях в составе биопленки (Дювенжи и соавт., 2022) делают их интересным объектом для изучения устойчивости бактериальных биопленочных сообществ к антибиотикам.
Около 80% всех хронических заболеваний вызываются биопленками патогенных микроорганизмов (Sharma et al., 2019). Микробные клетки в биопленках обладают в 10‒1000 раз большей устойчивостью к антимикробным веществам, чем в составе жидких суспензионных (планктонных) культур (Mah, 2012). В биопленочных сообществах устойчивость к антибиотикам возникает благодаря различным факторам, таким как измененный фенотип и метаболизм клеток, медленное или неполное проникновение антибиотиков в биопленку из-за барьерной функции внеклеточного полимерного матрикса (физической или химической), наличию клеток-персистеров и др. (Плакунов и соавт., 2010; Lewis, 2010). Также устойчивость биопленок к биоцидам может быть следствием совокупных защитных свойств микроорганизмов в составе многовидовых биопленок, когда более устойчивые виды защищают от биоцида менее устойчивые (Плакунов и соавт., 2019). Все вышеперечисленное затрудняет лечение инфекций при помощи классической химиотерапии антибиотиками. Кроме того, серьезными проблемами являются неправильное употребление антибиотиков и недостаточный контроль за их оборотом, вследствие чего лекарственные вещества попадают в организм зачастую в недостаточной концентрации. Кроме того, антибиотики часто попадают в окружающую среду (Chow et al., 2021). Известно, что антибиотики в субингибиторных концентрациях способствуют не только развитию устойчивости у микроорганизмов (Chow et al., 2021), но могут стимулировать рост биопленок и повышать их вирулентность (Ranieri et al., 2018). Следовательно, помимо контроля за употреблением антибиотиков, а также для преодоления лекарственной устойчивости микроорганизмов и для купирования возможных негативных эффектов неправильного применения антибиотиков необходимы новые подходы и стратегии лечения. Одним из перспективных подходов к решению данной проблемы является комбинированная терапия – применение антибиотиков в сочетании с другими активными соединениями, усиливающими (или дополняющими) их действие. Такими соединениями могут быть гормоны человека.
Микробная эндокринология (Lyte, 2013) ‒ относительно новое междисциплинарное направление исследований, изучающее взаимосвязи организма человека и его микробиоты на уровне сигнальных молекул – факторов гуморальной регуляции. Разрозненные, но достаточно многочисленные данные, накопленные к настоящему времени, позволяют утверждать универсальность явления регуляции моновидовых биопленок и микробных сообществ гормонами человека. Такиe данные получены для стероидов (Hosoda et al., 2011; Clabaut et al., 2021), натрийуретических пептидов (Veron et al., 2007; Louis et al., 2022), нейропептидов (N’diaye et al., 2016) и катехоламинов (Cambronel et al., 2019). Последние являются наиболее изученным классом гормонов с точки зрения микробной эндокринологии. Говоря об объектах настоящего исследования, стоит отметить, что ранее было показано дозозависимое ингибирующее действие на биопленки K. shroeteri ‒ наибольшее подавление роста наблюдалось при более высоких концентрациях гормона относительно нормального уровня в плазме крови (Данилова и соавт., 2021).
На основе этих данных, а также с учетом актуальности темы комбинированной терапии, целью данной работы было исследование модулирующего действия норадреналина на активность широко используемого полусинтетического макролидного антибиотика – азитромицина – в отношении моновидовых и мультивидовых биопленок K. shroeteri и S. aureus. Учитывая вышеизложенные факты, действие азитромицина на микроорганизмы исследовали в субингибиторных концентрациях.
МАТЕРИАЛЫ И МЕТОДЫ ИССЛЕДОВАНИЯ
Микроорганизмы и их культивирование. В работе использовали штаммы бактерий S. aureus 209Р и K. schroeteri H01, полученные из коллекции лаборатории выживаемости микроорганизмов ФИЦ Биотехнологии РАН. Культивирование производили аэробно на обогащенной клостридиальной среде (reinforced clostridial medium, RCM) (Данилова и соавт., 2021). Для получения моновидовых культур и биопленок ОП540 суспензий доводили до 0.5 ед. физиологическим раствором (0.9% NaCl) (“Диа-М”, Москва, Россия) в дистиллированной воде. Для получения бинарных культур и биопленок ОП540 обеих бактериальных суспензий доводили до 1.0 ед., затем суспензии смешивали в соотношении 1 : 1.
Активные соединения. В работе использовали азитромицин в форме препарата Сумамед (“Teva”, Хорватия). Исходный раствор азитромицина готовили в 96% этаноле и хранили при температуре ‒20°С. Для получения требуемых тестовых концентраций исходный раствор азитромицина (50 мг/мл) разбавляли стерильной средой RCM до необходимой концентрации – 0.001 и 4 мк г/мл. Норадреналин (“Merck”, Германия) разводили в стерильной воде MilliQ до концентрации 3.55 ммоль (MQ) и хранили при температуре ‒20°С. Перед экспериментом проводили серию разведений в стерильной MQ-воде в зависимости от необходимой концентрации. В работе использовали концентрацию 3.55 мкмоль согласно результатам предыдущего исследования (Данилова и соавт., 2021).
Выращивание моновидовых культур и биопленок на тефлоновых кубиках. Биопленки и планктонные культуры получали, как описано ранее (Дювенжи и соавт., 2022). Микроорганизмы выращивали на среде RCM. Комбинации норадреналина и азитромицина в подобранных ранее концентрациях (Дювенжи и соавт., 2022) исследовали в сравнении с контрольными образцами и с образцами с добавлением действующих веществ. Культивирование производили в течение 24, 48 и 72 ч аэробно.
Выращивание биопленок на стекловолоконных фильтрах. Стекловолоконные фильтры марки Whatman GF/F (“Merck”, Германия) диаметром 21 мм использовали в двух разных модельных системах, как описано ранее (Дювенжи и соавт., 2022). В первой модельной системе биопленки выращивали на фильтрах в жидкой среде RCM с добавлением активных веществ (стадия обратимой адгезии не редуцирована во времени). Во второй модельной системе фильтры помещали на поверхность агаризованной среды RCM (редуцирована во времени стадия обратимой адгезии). Культивирование производили в течение 24, 48 и 72 ч в аэробных условиях.
По истечении срока инкубации один фильтр с биопленкой использовали для определения метаболической активности клеток, второй – для определения количества колониеобразующих единиц и анализа агрегации клеток.
Определение метаболической активности клеток. Метаболическую активность клеток в составе биопленок определяли косвенно методом окрашивания 3-(4,5-диметилтиазол-2-ил)-2,5-дифенилтетразолия бромидом (МТТ), как описано ранее (Плакунов и соавт., 2016). МТТ, восстанавливаясь за счет переносчиков электронов ЭТЦ в клетках, превращается в нерастворимое окрашенное в синий цвет вещество – формазан. Формазан экстрагировали диметилсульфоксидом и измеряли оптическую плотность экстрактов при λ = 540 нм.
Определение числа КОЕ. Диспергирование биопленок проводили методом, описанным ранее (Ovcharova et al., 2021). Чашки с агаризованной средой RCM, на которых рассевали суспензии, инкубировали 48 ч при 37°С для более быстрого роста колоний, после чего производили подсчет КОЕ и расчет количества клеток в биопленке на фильтре.
Оценка агрегации клеток. Оценку агрегации клеток в составе биопленок проводили с помощью световой микроскопии фиксированных образцов суспендированных биопленок на фильтрах, как описано ранее (Ovcharova et al., 2021). Рассчитывали размер агрегатов и процентное соотношение числа агрегатов и одиночных клеток.
Конфокальная лазерная сканирующая микроскопия (КЛСМ) биопленок, выращенных в жидкой среде в планшетах со стеклянным дном. Биопленки исследуемых микроорганизмов выращивали в 24-луночных планшетах (“Eppendorf”, Германия) с плоским стеклянным дном, как описано ранее (Coenye et al., 2007; Diuvenji et al., 2023) в течение 24 и 48 ч. Для S. aureus использовали зонд 5'-GAA-GCA-AGC-TTC-TCG-TCC-G-3' (“Синтол”, Москва, Россия), меченый родамином R6G для флуоресцентной гибридизации in situ (FISH). Все образцы дополнительно окрашивали SYTO9 Green (“Thermo”, США) в течение 15 мин. Затем аккуратно отмывали от красителя с помощью физраствора и покрывали фиксирующей жидкостью ProLongTM Gold Antifade mountant (“ThermoFisher”, США). Анализ образцов и получение 3D-изображений проводили с использованием микроскопа Nikon TE2000-U (“Nikon”, Токио, Япония) с иммерсионным масляным объективом Nikon 100× 1.3NA S Fluo и сканирующей конфокальной системой Becker&Hickl DCS-120 для получения изображений. Полученные файлы OME-TIFF анализировали с использованием плагина Comstat2 (“TDU”, Копенгаген, Дания) (Heydorn et al., 2000) в программном пакете ImageJ (NIH, Bethesda, Мэриленд, США). Определяли среднюю плотность биомассы на единицу площади (мкм3 /мкм2). Трехмерные изображения получали из z-стеков OME-TIFF с использованием плагина Volume Viewer 2.0 в ImageJ.
Количественная ПЦР. Анализ генов устойчивости к антибиотикам у K. schroeteri и S. aureus проводили с помощью алгоритма CARD (The comprehensive antibiotic resistance database). Праймеры для ПЦР подбирались с помощью инструмента primer-BLAST NCBI (NIH, США) (таблица; дополнительные материалы). Все праймеры проверяли на возможность формирования вторичных структур в виде шпилек в программе Oligo (“Molecular Biology Insights”, США). Выделение РНК, проверку праймеров и количественную ПЦР проводили по стандартным протоколам, описанным ранее (Diuvenji et al., 2023).
Статистическая обработка. Эксперименты проводили минимум в трех независимых повторах. Данные обрабатывали с помощью программного пакета GraphPad Prism 8.3.0. На графиках отмечали медианные значения с разбросом от максимального к минимальному либо среднее с разбросом, равным стандартной ошибке среднего в зависимости от необходимости. Для определения значимости различий использовали множественный t-критерий в программе GraphPad.
РЕЗУЛЬТАТЫ И ОБСУЖДЕНИЕ
Влияние комбинаций азитромицина и норадреналина на моновидовые планктонные культуры и биопленки на тефлоновых кубиках
В работе использовали субингибиторные концентрации азитромицина 0.001 и 4 мкг/мл, подобранн ые ранее (Diuvenji et al., 2023). Было обнаружено, что влияние комбинаций норадреналина и азитромицина на рост планктонных культур и биопленок зависел от времени культивирования и концентрации антибиотика. Было показано, что добавление норадреналина в среду с 4 мкг/мл азитромицина усиливало ингибирующее действие азитромицина на планктонные культуры K. schroeteri. Условная оптическая плотность (ОП) суспензии планктонных клеток снижалась, ее относительный показатель составлял 22.8% от контроля, в то время как при действии одного антибиотика он составлял 77.9% (рис. 1а). Добавление норадреналина к антибиотику также усиливало его ингибирующее действие в отношении биопленок после 48 ч инкубации (рис. 1б), однако статистически значимым этот эффект не был.
Рис. 1. Влияние комбинации азитромицина и норадреналина на рост планктонных культур (а) и биопленок (б) K. Schroeteri : 1 – контроль; 2 – азитромицин 0.001 мкг/мл; 3 – азитромицин 4 мкг/мл; 4 – сочетание норадреналина 3.55 мкМ и азитромицина 0.001 мкг/мл; 5 – сочетание норадреналина 3.55 мкМ и азитромицина 4 мкг/мл. ** – различие достоверно при р < 0.01.
На моновидовые планктонные культуры S. аureus азитромицин в концентрации 4 мкг/мл в среде также оказывал ингибиторный эффект (рис. 2а), показатель плотности биомассы суспензии не превышал 11% (после 48 ч инкубации). В концентрации 0.001 мкг/мл азитромицин не оказывал значимого эффекта, однако при добавлении норадреналина к антибиотику после 48 ч инкубации появлялся ингибирующий эффект – показатель ОП планктонных культур понижался на 11% – до 89% от ОП контроля.
Рис. 2. Влияние комбинации азитромицина и норадреналина на рост планктонных культур (а) и биопленок (б) S. aureus : 1 – контроль; 2 – азитромицин 0.001 мкг/мл; 3 – азитромицин 4 мкг/мл; 4 – сочетание норадреналина 3.55 мкМ и азитромицина 0.001 мкг/мл; 5 – сочетание норадреналина 3.55 мкМ и азитромицина 4 мкг/мл. * – различие достоверно при p < 0.05; ** – различие достоверно при р < 0.01; *** – различие достоверно при p < 0.005.
Интересно, что норадреналин значимо ослаблял подавляющее действие 4 мкг/мл азитромицина в среде после 48 ч инкубации: при сочетании активных веществ показатель ОП суспензии планктонных клеток составлял 79% относительно ОП контроля (в присутствии одного антибиотика – всего 11% от ОП контроля). Подобного эффекта не наблюдали после 24 и 72 ч инкубации. Если говорить о биопленках S. aureus, стоит отметить, что гормон значимо усиливал действие азитромицина в концентрации 0.001 мкг/мл (рис. 2б): показатель ОП экстрактов КФ из образцов с сочетанием активных веществ составлял 60.5% от ОП экстрактов из контроля, тогда как в присутствии одного антибиотика – 93%. В отношении биопленок также наблюдали тенденцию к ослаблению ингибирующего действия 4 мкг/мл азитромицина в присутствии норадреналина, однако данное различие не было статистически значимым.
Таким образом, добавление в среду норадреналина может модулировать действие азитромицина на планктонные культуры и моновидовые биопленки K. schroeteri и S. aureus. Показано, что этот эффект зависит от времени культивирования (наибольшие эффекты при 48 ч) и концентрации антибиотика (при концентрации азитромицина 0.001 мкг/мл норадреналин усиливал ингибирующее действие, в то время как при концентрации 4 мкг/мл – ослаблял).
Определение числа КОЕ в моновидовых и бинарных биопленках
В данных экспериментах подсчитывали количество КОЕ в биопленке на фильтре. Дополнительно исследовали количество КОЕ в присутствии норадреналина через 48 ч инкубации.
Биопленки на плотной среде (система с редуцированной во времени стадией первичной адгезии). Количество КОЕ в моновидовых биопленках K. schroeteri, выращенных на агаризованной среде RCM, через 24 ч составило 1.13 × 108 (дополнительные материалы, рис. S1А). В присутствии азитромицина в концентрации 4 мкг/мл число КОЕ снижалось до 5.7 × 10 6. Добавление норадреналина к антибиотику в концентрации 4 мкг/мл снижало число КОЕ еще сильнее ‒ до 2.75 × 105. Через 48 ч инкубации добавление гормона вместе с антибиотиком в среду вело к ослаблению ингибирующего действия азитромицина в концентрации 4 мкг/мл: число КОЕ составляло 6.5 × 107 против 2 × 106 в образцах с одним антибиотиком (рис. S1А). Через 72 ч инкубации значимый эффект наблюдали только в образцах с норадреналином в сочетании с 0.001 мкг/мл азитромицина. Сочетание веществ оказывало стимулирующее действие на моновидовые биопленки китококков. Число КОЕ увеличивалось в данном случае до 1.7 × 109 против 1 × 109 в контроле и 8 × 108 в образцах с антибиотиком (рис. S1А).
В случае S. aureus, выращенных на агаризованной среде, азитромицин в концентрации 4 мкг/мл оказывал сильное ингибирующее действие на биопленки, особенно выраженное после 72 ч инкубации. В свою очередь, добавление норадреналина не приводило к сколь-либо значимому изменению числа КОЕ.
В бинарном сообществе, ввиду особенностей роста K. schroeteri, определяли только КОЕ S. aureus. Как и в случае с моновидовыми биопленками, азитромицин в концентрации 4 мкг/мл понижал число КОЕ S. aureus в бинарных сообществах (рис. S1Д). Однако после 48 и 72 ч инкубации (рис. S1Д) сочетания гормона и антибиотика приводили к ослаблению ингибирующего эффекта азитромицина. Влияние норадреналина и азитромицина в концентрации 0.001 мкг/мл, напротив, оказывало стимулирующее действие на биопленки, и число КОЕ увеличивалось до 1.14 × 1010 против 5.25 × 109 в контроле и 4.07 × 109 в образцах с одним антибиотиком.
Через 72 ч инкубации норадреналин снимал ингибирующее действие азитромицина в концентрации 4 мкг/мл и даже оказывал стимулирующее действие: число КОЕ увеличивалось до 5.15 × 109 против 3.15 × 109 в контроле и 3.25 × 107 в образцах с 4 мкг/мл азитромицина в среде.
Таким образом, в зависимости от времени культивирования норадреналин в данной системе ослаблял подавляющее действие азитромицина, максимальное проявление данного эффекта наблюдалось в бинарных биопленках.
Биопленки в жидкой среде (система с полной стадией первичной адгезии). Количество КОЕ в моновидовых биопленках K. schroeteri, выращенной в жидкой среде RCM, через 24 ч инкубации составляло 9.3 × 105 (рис. S1Б). Азитромицин в концентрации 4 мкг/мл оказывал ингибирующее действие на рост биопленок, и число КОЕ снижалось до 3.4 × 105 (рис. S1Б). Добавление норадреналина приводило к усилению ингибирующего действия антибиотика и снижению числа КОЕ до 2.1 × 104.
Азитромицин в концентрации 0.001 мкг/мл также оказывал ингибирующее действие на биопленку K. schroeteri, и показатели КОЕ снижались до 3.8 × 104 против 2 × 106 в контроле через 48 ч инкубации. Однако добавление норадреналина, напротив, вызывало стимулирующее действие, и число КОЕ возрастало до 6.7 × 108 по сравнению с 4.4 × 108 в образце с одним антибиотиком.
В моновидовых биопленках S. aureus азитромицин в концентрации 0.001 мкг/мл (рис. S1Г) оказывал ингибирующее действие, и добавление гормона через 24 ч ослабляло этот эффект. Число КОЕ в присутствии норадреналина увеличивалось до 7.9 × 108 против 5.3 × 108 в образце с одним антибиотиком. На вторые сутки инкубации наблюдали такой же эффект. Число КОЕ увеличивалось до 1.4 × 108, в то время как в образце с одним антибиотиком число КОЕ составляло 4.4 × 107, а в контроле ‒ 1.6 × 108 КОЕ на биопленку.
В бинарном сообществе K. schroeteri и S. aureus через 24 ч инкубации норадреналин снимал стимулирующее действие азитромицина в концентрации 0.001 мкг/мл (дополнительные материалы, рис. S1Е). Число КОЕ при сочетании гормона и азитромицина снижалось до 6.3 × 108, когда в присутствии только антибиотика оно составляло 8.5 × 108. На третьи сутки инкубации гормон также снимал стимулирующий эффект азитромицина в концентрации 0.001 мкг/мл и даже понижал число КОЕ в бинарной биопленке. При добавлении норадреналина показатели снижались до 1.2 × 108 против 3.6 × 108 в контроле и 8.4 × 108 в контроле с антибиотиком.
Таким образом, норадреналин модулировал влияние азитромицина на число КОЕ в моновидовых и бинарных биопленках. Однако данный эффект зависел от системы культивирования и времени инкубации. Так, в биопленках K. schroeteri, культивируемых на плотной среде, норадреналин на ранних стадиях роста усиливал ингибирующее действие азитромицина, тогда как после 48 и 72 ч инкубации добавление гормона ослабляло ингибирующий эффект антибиотика. В моновидовых биопленках S. aureus, культивируемых на плотной среде, эффекта от добавления гормона не наблюдали, тогда как в бинарных биопленках число КОЕ на поздних стадиях роста увеличивалось. В жидкой среде, напротив, и в моновидовых, и в бинарных биопленках добавление гормона усиливало ингибирующее действие азитромицина. Вероятно, характер адгезии, а также сосуществование двух организмов в одной биопленке влияет на механизм модулирующего действия норадреналина в отношении азитромицина в субингибиторных концентрациях, что подтверждает данные предыдущих исследований (Дювенжи и соавт., 2022; Diuvenji et al., 2023).
Исследование метаболической активности моновидовых и бинарных биопленок
Статистически значимого влияния активных соединений на метаболическую активность моновидовых и бинарных биопленок не наблюдалось (рис. S2). Исключение составляли биопленки стафилококков, метаболическая активность которых подавлялась в присутствии 4 мкг/мл азитромицина (рис. S2В).
Исследование агрегации клеток в биопленках
Подсчет КОЕ при изучении биопленок может не всегда давать точные результаты. Даже после диспергирования в суспензии может оставаться некоторое количество агрегатов, которые будут искажать данные, т.к. количество клеток в агрегате методом подсчета КОЕ учесть невозможно. Поэтому результаты, полученные методом подсчета КОЕ, следует уточнять методами анализа агрегации, например, при помощи световой микроскопии.
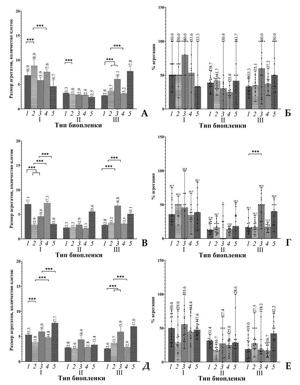
Исследование агрегации клеток в биопленках, выращенных на плотной среде. Агрегаты клеток в моновидовых биопленках K. schroeteri, выращенных на поверхности плотной среды, были самыми крупными среди трех типов биопленок (рис. S3). В процессе культивирования по мере созревания биопленок размеры агрегатов китококков увеличивались и составляли в контрольных образцах около 30 клеток на агрегат через 72 ч инкубации (после 24 и 48 ч – 14 и 18 клеток соответственно; рис. S3А, S3В, S3Д). Действие азитромицина приводило к снижению размера агрегатов клеток в биопленках китококков, причем сильнее всего – в 72-часовых биопленках (рис. S3Д). Добавление норадреналина ослабляло действие азитромицина, причем этот эффект был заметен уже после 24 и 72 ч инкубации. В зрелых бинарных биопленках (рис. S3Д) сочетание 0.001 мкг/мл азитромицина и норадреналина приводило не только к снятию ингибирования, но даже к увеличению размеров агрегатов с 19 до 47 клеток.
Следует отметить, что степень агрегации в моновидовых биопленках K. schroeteri была выше, чем в других исследованных биопленках. Максимальное количество агрегатов обнаружено через 24 ч инкубации и составляло 71% от совокупного количества агрегатов и одиночных клеток, наблюдавшихся в поле зрения (рис. S3Б), тогда как через 72 ч инкубации число агрегатов снижалось до 63% (рис. S3Е). В моновидовых биопленках S. aureus относительное количество агрегатов было максимальным через 48 ч и составляло 56% (рис. S3Г).
Азитромицин в концентрации 4 мкг/мл снижал агрегацию клеток в биопленках, однако добавление в среду норадреналина, как правило, снимало данный эффект антибиотика. Похожее действие норадреналин в сочетании с 0.001 мкг/мл азитромицина в биопленках K. schroeteri оказывал через 72 ч инкубации и в бинарных сообществах через 48 ч инкубации (рис. S3Б, S3Е). В бинарном сообществе антибиотик в концентрации 4 мкг/мл увеличивал долю агрегатов во всех временных точках, и добавление в среду гормона не оказывало значимого эффекта (рис. S3Е).
Исследование агрегации клеток в биопленках, выращенных в жидкой среде. В биопленках, выращенных в жидкой среде RCM, в целом повторялись закономерности, наблюдавшиеся в биопленках на плотной среде (рис. S4). При этом размер агрегатов был значительно меньше. Максимальный размер агрегатов в моновидовых биопленках K. schroeteri наблюдался через 48 ч инкубации и составлял в среднем около 7 клеток на агрегат (рис. S4А). В случае S. aureus максимальный размер агрегатов приходился на первые сутки и составлял 3.3 клетки, тогда как через 48 и 72 ч наблюдался их частичный или полный распад (рис. S4В). Доля агрегатов в моновидовых биопленках S. aureus в присутствии 0.001 мкг/мл азитромицина в сочетании с норадреналином уменьшалась через 24 ч инкубации, и их количество составляло 24% против 38% в образцах без норадреналина (рис. S4Б). Однако через 72 ч инкубации наблюдали обратный эффект, и относительное количество агрегатов увеличивалась до 25% против 16% (рис. S4Е).
В бинарных сообществах в жидкой среде азитромицин (в обеих концентрациях), как и в предыдущем опыте, увеличивал размер агрегатов, особенно в концентрации 4 мкг/мл (минимум в два раза). Влияния норадреналина после 24 и 48 ч инкубации обнаружено не было. Только через 72 ч наблюдали некоторый модулирующий эффект норадреналина: если 0.001 мкг/мл азитромицина в среде приводило к увеличению размера агрегатов с 2.6 до 3.7 клеток, то добавление гормона снимало этот эффект (рис. S4Е). Сочетание гормона с антибиотиком в концентрации 4 мкг/мл, напротив, увеличивало размер агрегатов клеток (типовые фото всех образцов представлены на рис. S5‒S10).
Таким образом, действие активных соединений на моновидовые и бинарные биопленки, выращенные в различных системах, различалось при сравнении числа КОЕ и степени агрегации клеток. Так, в системе с редуцированной во времени стадией обратимой адгезии (на плотной среде) добавление норадреналина к азитромицину, как правило, приводило к усилению роста клеточной биомассы и степени агрегации клеток. Напротив, в системе, где биопленка формировалась с обратимой стадией первичной адгезии (в жидкой среде) добавление гормона, как правило, снижало рост биомассы, что выражалось в меньшем числе КОЕ и в меньшем или не изменившемся размере агрегатов (таблица). Вероятно, характер адгезии при формировании биопленки влияет на действие как антибиотика, так и гормона.
Таблица. Эффект от добавления 3.55 мкМ норадреналина в среду, содержащую азитромицин в концентрациях 0.001 мкг/мл или 4 мкг/мл, на рост и агрегацию клеток в моновидовых и бинарных биопленках K. schroeteri и S. aureus
Биопленка | Время, ч | Концентрация азитромицина, мкг/мл | Эффект от добавления 3.55 мкМ норадреналина на действие азитромицина | |||||
На плотной среде | На жидкой среде | |||||||
КОЕ | Агрегация (размер и доля) | ОП планктонных культур/ экстрактов КФ | КОЕ | Агрегация (размер и доля) | КЛСМ (плотность биомассы биопленок, мкм3 /мкм2) | |||
K. schroeteri | 24 | 0.001 | Н/Э | О/И | С | Н/Э | О/С | Н/Э |
4 | У/И | Н/Э | Н/Э | Н/Э | Н/Э | Н/Э | ||
48 | 0.001 | Н/Э | Н/Э | Н/Э | Н/Э | О/И | Н/Э | |
4 | О/И | Н/Э | У/И | Н/Э | У/И | У/И | ||
72 | 0.001 | С | С | Н/Э | Н/Э | О/И | Н/Д | |
4 | Н/Э | О/И размера, И доли | Н/Э | У/И | У/И | Н/Д | ||
S. aureus | 24 | 0.001 | Н/Э | С | Н/Э | Н/Э | Н/Э | С |
4 | Н/Э | О/И размера, С доли | Н/Э | Н/Э | Н/Э | У/И | ||
48 | 0.001 | Н/Э | У/И размера, С доли | И | У/И | Н/Э | Н/Э | |
4 | Н/Э | Н/Э | О/И | Н/Э | Н/Э | У/И | ||
72 | 0.001 | Н/Э | У/И размера, С доли | Н/Э | Н/Э | Н/Э | Н/Д | |
4 | Н/Э | Н/Э | Н/Э | Н/Э | Н/Э | Н/Д | ||
Бинарное сообщество | 24 | 0.001 | Н/Э | С | Н/Д | Н/Э | Н/Э | Н/Э |
4 | Н/Э | С | Н/Д | Н/Э | Н/Э | Н/Э | ||
48 | 0.001 | У/С | О/С | Н/Д | У/И | Н/Э | Н/Э | |
4 | Н/Э | Н/Э | Н/Д | Н/Э | Н/Э | У/И | ||
72 | 0.001 | Н/Э | У/С | Н/Д | Н/Э | О/С | Н/Д | |
4 | У/С | У/С | Н/Д | Н/Э | Н/Э | Н/Д | ||
Условные обозначения: И – ингибирование, О/И – ослабление ингибирования, У/И – усиление ингибирования, С – стимуляция, О/С – ослабление стимуляции, У/С – усиление стимуляции, Н/Э – нет эффекта, Н/Д – нет данных
КЛСМ биопленок, выращенных в жидкой среде в планшетах со стеклянным дном
Для уточнения количественного соотношения клеточной биомассы K. schroeteri и S. aureus в бинарной биопленке использовали метод КЛСМ. Исследование проводили, рассчитывая параметр плотности биомассы биопленок каждого микроорганизма (отношение объем детектируемой биомассы в поле зрения к площади поля зрения).
Поскольку моновидовые биопленки S. aureus и бинарные сообщества окрашивались зеленым красителем SYTO9 и красным красителем R6G, вначале рассчитывали коэффициент, представляющий отношение сигнала от S. aureus, окрашенного SYTO9, к сигналу от S. aureus, окрашенного R6G в моновидовых биопленках. Данный коэффициент использовали для расчетов долей биомассы стафилококка и китококка в бинарных сообществах (Diuvenji et al., 2023, трехмерная визуализация биопленок представлена на рис. S12‒S17).
Структуру и показатель плотности биомассы (рассчитанного по детектируемому сигналу объема биомассы на единицу площади поля зрения) моновидовых и бинарных биопленок K. schroeteri и S. aureus в присутствии активных соединений исследовали с помощью анализа трехмерных изображений, полученных в ходе КЛСМ.
Через 24 ч инкубации плотность биомассы моновидовых биопленок K. schroeteri (рис. S11А, S12А, S12Б) и бинарных сообществ (рис. S11А, S14З) значимо не изменялась ни в присутствии азитромицина (4 мкг/мл, здесь и далее), ни в присутствии комбинации антибиотика и норадреналина. В то же время в моновидовых биопленках S. aureus, окрашенных SYTO9, плотность биомассы снижалась в присутстии азитромицина, но при добавлении норадреналина ‒ увеличивалась до 3.03 мкм3 /мкм2 против 0.07 мкм3 /мкм2 в образцах с одним антибиотиком (рис. S11А, S12В).
В 24-часовых моновидовых биопленках S. aureus (рис. S11В), окрашенных зондом с R6G, а также в бинарном сообществе (рис. S11Д) практически ни один из изученных эффектов от действия активных соединений не был статистически значимым.
Через 48 ч инкубации норадреналин усиливал ингибирующее действие азитромицина на моновидовые биопленки K. schroeteri, и плотность биомассы уменьшалась до 1.67 мкм3 /мкм2 против 2.37 мкм3 /мкм2 в образцах только с одним антибиотиком (рис. S11Б, S15). На моновидовые биопленки S. aureus норадреналин оказывал аналогичное действие. По результатам окраски SYTO9 (рис. S11Б, S16) и R6G (рис. S11Г, S16) плотность биомассы биопленок S. aureus в присутствии азитромицина снижалась с 3.6 мкм3 /мкм2 в контроле до 0.7 мкм3 /мкм2. Добавление норадреналина приводило к еще большему усилению ингибиторного действия антибиотика, и плотность биомассы снижалась еще сильнее ‒ до 0.27 мкм3 /мкм2. В бинарном сообществе в присутствии азитромицина и норадреналина доля стафилококка также уменьшалась (рис. S11Е, S17).
Таким образом, установлено, что в зависимости от времени инкубации норадреналин оказывал двойственный эффект на биопленки. Если после 24 ч инкубации гормон нивелировал ингибирующее действие антибиотика (что заметно, в первую очередь, в случае S. aureus), то после 48 ч инкубации добавление норадреналина ингибирующее действие антибиотика усиливало.
Более выраженные эффекты после 48 ч инкубации могут быть в том числе следствием процессов, происходящих в более зрелых биопленках, ведущих к ускорению распада биопленок. В итоге, подтверждено, что в системе, где стадия обратимой адгезии не редуцирована, норадреналин усиливает ингибирующее действие азитромицина биопленок изученных микроорганизмов. Результаты систематизированы в таблице.
Исследование экспрессии генов
Чтобы понять, какие молекулярные механизмы лежат в основе реакций, вызванных норадреналином и антибиотиком, была исследована дифференциальная экспрессия генов с помощью метода количественной ПЦР (табл. S1‒S2). Полученные результаты в моновидовых биопленках K. schroeteri показали, что азитромицин в концентрации 0.001 мкг/мл в комбинации с норадреналином снижал э кспрессию гена fomB, отвечающего за инактивацию антибиотика, в то же время экспрессия генов novA, mrx, mdtK увеличивалась. Наибольшие изменения наблюдались с геном arlR, отвечающим за синтез выкачивающих помп, обуславливающих отток антибиотика из клетки. В присутствии норадреналина увеличивалась также экспрессия гена tetA, ответственного за устойчивость к тетрациклинам.
Полученные данные показывают, что азитромицин способен влиять на экспрессию генов устойчивости и к другим антибиотикам. Снижение экспрессии генов также может быть следствием связывания азитромицина с бактериальной рибосомой и блокировкой синтеза белка, что в том числе приводит к замедленному росту. Азитромицин в комплексе с норадреналином снижал экспрессию генов, что было показано для генов устойчивости к фторхинолонам и антибиотикам группы фосфоновой кислоты.
Итак, полученные данные показали, что норадреналин способен модулировать действие азитромицина на биопленки K. schroeteri и S. aureus. При этом ключевым моментом, вероятно, являются процессы адгезии клеток и формирование биопленочного фенотипа у обоих изученных микроорганизмов, а также их бинарного сообщества. В случае быстро сформировавшихся биопленок добавление норадреналина к азитромицину чаще ослабляло его ингибиторное действие, а в некоторых случаях даже стимулировало рост. Тогда как в случае, когда клетки проходят полную стадию адгезии, норадреналин усиливает подавляющее действие азитромицина. При этом, на начальных этапах гормон ускоряет, по-видимому, деление клеток, что говорит о вовлеченности активных соединений в процессы распада зрелых биопленок.
Показано, что присутствие в бинарном сообществе одного микроорганизма (а именно K. schroeteri), способно модулировать активность азитромицина в отношении другого (S. aureus), как было показано при подсчете КОЕ стафилококков. Было также показано, что сочетание азитромицина и норадреналина может оказывать влияние на экспрессию генов устойчивости к антибиотикам.
Полученные результаты в ряде случаев могут отчасти объяснить, с одной стороны, низкую эффективность терапии антибиотиками, а с другой стороны, ‒ негативные эффекты от их неправильного применения. В связи с тем, что антибиотикорезистентность является одной из главных проблем в медицине, проведенное исследование поможет лучше понять механизмы взаимодействия микроорганизмов внутри биопленки, а также потенциальное влияние системы гуморальной регуляции организма человека на микробное сообщество и, возможно, в будущем позволит создать новые стратегии лечения бактериальных инфекций.
БЛАГОДАРНОСТИ
Авторы благодарят А.Л. Мулюкина и В.В. Сорокина (ЦКП “Коллекция UNIQEM”) за предоставление жидкого азота. Авторы благодарят А.П. Савицкого (лаборатория физической биохимии ФИЦ Биотехнологии РАН) за предоставление доступа к конфокальной микроскопии. Исследование экспрессии генов методом ПЦР проводилось на базе ЦКП “Биоинженерия” ФИЦ Биотехнологии РАН.
ФИНАНСИРОВАНИЕ РАБОТЫ
Работа выполнена при финансовой поддержке РНФ (проект № 19-74-10071). Работа В.К. Плакунова выполнена частично за счет средств Министерства науки и высшего образования Российской Федерации.
СОБЛЮДЕНИЕ ЭТИЧЕСКИХ СТАНДАРТОВ
Настоящая статья не содержит результатов исследований с использованием животных в качестве объектов.
КОНФЛИКТ ИНТЕРЕСОВ
Авторы заявляют, что у них нет конфликта интересов.
1 Дополнительные материалы размещены в электронном виде по DOI статьи: https://doi.org/10.31857/S0026365624060058
Об авторах
Е. В. Дювенжи
ФИЦ “Фундаментальные основы биотехнологии” Российской академии наук
Email: andrei.gannesen@gmail.com
Россия, Москва, 119071
И. Д. Соловьев
ФИЦ “Фундаментальные основы биотехнологии” Российской академии наук
Email: andrei.gannesen@gmail.com
Россия, Москва, 119071
М. В. Сухачева
ФИЦ “Фундаментальные основы биотехнологии” Российской академии наук
Email: andrei.gannesen@gmail.com
Россия, Москва, 119071
Е. Д. Неволина
ФИЦ “Фундаментальные основы биотехнологии” Российской академии наук
Email: andrei.gannesen@gmail.com
Россия, Москва, 119071
М. А. Овчарова
ФИЦ “Фундаментальные основы биотехнологии” Российской академии наук
Email: andrei.gannesen@gmail.com
Россия, Москва, 119071
Н. А. Логинова
ФИЦ “Фундаментальные основы биотехнологии” Российской академии наук
Email: andrei.gannesen@gmail.com
Россия, Москва, 119071
А. М. Мосолова
ФИЦ “Фундаментальные основы биотехнологии” Российской академии наук
Email: andrei.gannesen@gmail.com
Россия, Москва, 119071
С. В. Мартьянов
ФИЦ “Фундаментальные основы биотехнологии” Российской академии наук
Email: andrei.gannesen@gmail.com
Россия, Москва, 119071
В. К. Плакунов
ФИЦ “Фундаментальные основы биотехнологии” Российской академии наук
Email: andrei.gannesen@gmail.com
Россия, Москва, 119071
А. В. Ганнесен
ФИЦ “Фундаментальные основы биотехнологии” Российской академии наук
Автор, ответственный за переписку.
Email: andrei.gannesen@gmail.com
Россия, Москва, 119071
Список литературы
- Данилова Н. Д., Гераськина О. В., Дювенжи Е. В., Феофанов А. В., Плакунов В. К., Ганнесен А. В. Ингибирующее действие норадреналина на рост биопленок комменсала кожи человека Kytococcus schroeteri H01 // Микробиология. 2021. Т. 90. С. 618‒622.
- Danilova N. D., Geraskina O. V., Diuvenji E. V., Feofanov A. V., Plakunov V. K., Gannesen A. V. Inhibitory effect of norepinephrine on biofilm growth of the human skin commensal Kytococcus schroeteri H01 // Microbiology (Moscow). 2021. V. 90. P. 666‒669.
- Дювенжи Е. В., Неволина Е. Д., Мартьянов С. В., Журина М. В., Калмантаева О. В., Макарова М. А., Бочкова Е. А., Фирстова В. В., Плакунов В. К., Ган несен А. В. Бинарные биопленки Staphylococcus aureus 209Р и Kytococcus schroeteri H01: дуалистическая роль китококков и изменения клеточной адгезии в присутствии натрийуретического пептида А-типа // Микробиология. 2022. Т. 91. С. 597‒612.
- Diuvenji E. V., Nevol ina E. D., Mart’Yanov S.V., Zhurina M. A., Kalmantaeva O. V., Makarova M. A., Botchkova E. A., Firstova V. V., Plakunov V. K., Gannesen A. V. Binary biofilms of Staphylococcus aureus 209P and Kytococcus schroeteri H01: Dualistic role of kytococci and cell adhesion alterations in the presence of the A-type natriuretic peptide // Microbiology (Moscow). 2022. V. 91. P. 563‒576.
- Плакунов В. К., Мартьянов С. В., Тетенева Н. А., Журина М. В. Универсальный метод количественной характеристики роста и метаболической активности микробных биопленок в статических моделях // Микробиология. 2016. Т. 85. №. 4. С. 484‒489.
- Plakunov V. K., Mart’yanov S.V., Teteneva N. A., Zhurina M. V. A universal method for quantitative characterization of growth and metabolic activity of microbial biofilms in static models // Microbiology (Moscow). 2016. V. 85. P. 509‒513.
- Плакунов В. К., Николаев Ю. А., Ганнесен А. В., Чемаева Д. С., Журина М. В. Новый подход к выявлению защитной роли Esherichia coli в отношении грамположительных бактерий при действии антибиотиков на бинарные биопленки // Микробиология. 2019. Т. 88. С. 288‒296.
- Plakunov V. K., Nikolaev Y. A., Gannesen A. V., Chemaeva D. S., Zhurina M. V. A new approach to detection of the protective effect of Escherichia coli on Gram-positive bacteria in binary biofilms in the presence of antibiotics // Microbiology (Moscow). 2019. V. 88. P. 275‒281.
- Плакунов В. К., Стрелкова Е. А., Журина М. В. Персистенция и адаптивный мутагенез в биопленках // Микробиология. 2010. Т. 79. С. 447–458.
- P lakunov V. K., Strelkova E. A., Zhurina M. V. Persistence and adaptive mutagenesis in biofilms // Microbiology (Moscow). 2010. V. 79. P. 424‒434.
- Aepinus C., Adolph E., von Eiff C., Podbielski A., Petzsch M. Kytococcus schroeteri : a probably underdiagnosed pathogen involved in prosthetic valve endocarditis // Wien Klin. Wochenschr. 2008. V. 120. P. 46‒49.
- Becker K., Schumann P., Wullenweber J., Schulte M., Weil H. P., Stackebrandt E., Peters G., von Eiff C. Kytococcus schroeteri sp. nov., a novel Gram-positive actinobacterium isolated from a human clinical source // Int. J. Syst. Evol. Microbiol. 2002. V. 52. P. 1609‒1614.
- Cambronel M., Tortuel D., Biaggini K., Maillot O., Taupin L., Réhel K., Rince I., Muller C., Hardouin J., Feuilloley M., Rodrigues S., Connil N. Epinephrine affects motility, and increases adhesion, biofilm and virulence of Pseudomonas aeruginosa H103 // Sci. Rep. 2019. V. 9. Art. 20203.
- Chow L. K.M., Ghaly T. M., Gillings M. R. A survey of sub-inhibitory concentrations of antibiotics in the environment // J. Environ. Sci. 2021. V. 99. P. 21‒27.
- Clabaut M., Suet A., Racine P. J., Tahrioui A., Verdon J., Barreau M., Maillot O., le Tirant A., Karsybayeva M., Kremser C., Redziniak G., Duclairoir-Poc C., Pichon C., Chevalier S., Feuilloley M. G.J. Effect of 17β-estradiol on a human vaginal Lactobacillus crispatus strain // Sci. Rep. 2021. V. 11. Art. 7133.
- Coenye T., Peeters E., Nelis H. Biofilm formation by Propionibacterium acnes is associated with increased resistance to antimicrobial agents and increased production of putative virulence factors // Res. Microbiol. 2007. V. 158. P. 386–392.
- Diuvenji E. V., Nevolina E. D., Solovyev I. D., Sukhacheva M. V., Mart’yanov S.V., Novikova A. S., Zhurina M. V., Plakunov V. K., Gannesen A. V. A-Type natriuretic peptide alters the impact of azithromycin on planktonic culture and on (monospecies and binary) biofilms of skin bacteria Kytococcus schroeteri and Staphylococcus aureus // Microorganisms. 2023. V. 11. Art. 2965.
- Green B. N., Johnson C. D., Egan J. T., Rosenthal M., Griffith E. A., Evans M. W. Methicillin-resistant Staphylococcus aureus : an overview for manual therapists // J. Chiropr. Med. 2012. V. 11. P. 64–76.
- Heydorn A., Nielsen A. T., Hentzer M., Sternberg C., Givskov M., Ersbøll B. K., Molin S. Quantification of biofilm structures by the novel computer program COMSTAT // Microbiology (Reading). 2000. V. 146. P. 2395‒2407.
- Hosoda K., Shimomura H., Hayashi S., Yokota K., Hirai Y. Steroid hormones as bactericidal agents to Helicobacter pylori // FEMS Microbiol. Lett. 2011. V. 318. P. 68‒75.
- Lewis K. Persister cells // Annu. Rev. Microbiol. 2010. V. 64. P. 357‒372.
- Louis M., Clamens T., Tahrioui A., Desriac F., Rodrigues S., Rosay T., Harmer N., Diaz S., Barreau M., Racine P. J., Kipnis E., Grandjean T., Vieillard J., Bouffatrigues E., Cornelis P., Chevalier S., Feuilloley M. G.J., Lesouhaitier O . Pseudomonas aeruginosa biofilm dispersion by the human atrial natriuretic peptide // Adv. Sci. 2022. V. 9. Art. 2103262.
- Lyte M. Microbial endocrinology in the microbiome-gut-brain axis: how bacterial production and utilization of neurochemicals influence behavior // PLoS Pathog. 2013. V. 9. Art. e1003726.
- Mah T. F. Biofilm-specific antibiotic resistance // Future Microbiol. 2012. V. 7. Р. 1061‒1072.
- Mart’yanov S.V., Botchkova E. A., Plakunov V. K., Gannesen A. V. The impact of norepinephrine on mono-species and dual-species staphylococcal biofilms // Microorganisms. 2021. V. 9. Art. 820.
- N’Diaye A., Mijouin L., Hillion M., Diaz S., Konto-Ghiorghi Y., Percoco G., Chevalier S., Lefeuvre L., Harmer N. J., Lesouhaitier O., Feuilloley M. G. Effect of substance P in Staphylococcus aureus and Staphylococcus epidermidis virulence: implication for skin homeostasis // Front. Microbiol. 2016. V. 7. Art. 188414.
- Ovcharova M. A., Geraskina O. V., Danilova N. D., Botchkova E. A., Martyanov S. V., Feofanov A. V., Plakunov V. K., Gannesen A. V. Atrial natriuretic peptide affects skin commensal Staphylococcus epidermidis and Cutibacterium acnes dual-species biofilms // Microorganisms. 2021. V. 9. Art. 552.
- Ranieri M. R.M., Whitchurch C. B., Burrows L. L. Mechanisms of biofilm stimulation by subinhibitory concentrations of antimicrobials // Curr. Opin. Microbiol. 2018. V. 45. P. 164‒169.
- Sauer K., Stoodley P., Goeres D. M., Hall-Stoodley L., Burmølle M., Stewart P. S., Bjarnsholt T. The biofilm life cycle: expanding the conceptual model of biofilm formation // Nat. Rev. Microbiol. 2022. V. 20. P. 608‒620.
- Sharma D., Misba L., Khan A. U. Antibiotics versus biofilm: an emerging battleground in microbial communities // Antimicrob. Resist. Infect. Control. 2019. V. 8. Art. 76.
- Schaumburg F., Schmalstieg C., Fiedler B., Brentrup A., Omran H., Becker K. A bumpy road to the diagnosis of a Kytococcus schroeteri shunt infection // J. Med. Microbiol. 2013. V. 62. P. 165–168.
- Tong S. Y., Davis J. S., Eichenberger E., Holland T. L., Fowler V. G. Jr. Staphylococcus aureus infections: epidemiology, pathophysiology, clinical manifestations, and management // Clin. Microbiol. Rev. 2015. V. 28. P. 603‒661.
- Veron W., Lesouhaitier O., Pennanec X., Rehel K., Leroux P., Orange N., Feuilloley M. G. Natriuretic peptides affect Pseudomonas aeruginosa and specifically modify lipopolysaccharide biosynthesis // FEBS J. 2007. V. 274. P. 5852‒5864.
- Yousri T., Hawari M., Saad R., Langley S. Kytococcus schroeteri prosthetic valve endocarditis // BMJ Case Rep. 2010. V. 2010. Art. bcr0620103064.
Дополнительные файлы





















