Synthesis of a bisbenzoxazole analogue of Hoechst 33258 as a Potential GC-Selective Dna Ligand
- Authors: Arutuynyan A.F.1, Aksenova M.S.1, Kostyukov A.A.2, Stomakhin A.A.1, Kaluzhny D.N.1, Zhuze A.L.1
-
Affiliations:
- Engelhardt Institute of Molecular Biology, Russian Academy of Sciences
- Emanuel Institute of Biochemical Physics, Russian Academy of Science
- Issue: Vol 58, No 3 (2024)
- Pages: 482-492
- Section: СТРУКТУРНО-ФУНКЦИОНАЛЬНЫЙ АНАЛИЗ БИОПОЛИМЕРОВИ ИХ КОМПЛЕКСОВ
- URL: https://medbiosci.ru/0026-8984/article/view/274597
- DOI: https://doi.org/10.31857/S0026898424030123
- EDN: https://elibrary.ru/JCCURC
- ID: 274597
Cite item
Full Text
Abstract
Using a computer modelling approach we proposed the structure of a potential GC-specific DNA ligand, which could form a complex with DNA in the minor groove similar to that formed by Hoechst 33258 at DNA AT-enriched sites. According to this model MBoz2A, a bisbenzoxazole ligand, was synthesized. The results of spectrophotometric methods supported the complex formation of the compound under study with DNA differed in the nucleotide composition.
Full Text
Сокращения:
дцДНК – двухцепочечная ДНК; HBTU – 2-(1Н-бензотриазол-1-ил)-1,1,3,3-тетраметилурониумгексафторфосфат; DIPEA – диизопропилэтиламин; DMAPA – N, N-диметиламинопропиламин; DMA – диметилацетамид; DMF – диметилформамид.
ВВЕДЕНИЕ
Изучение низкомолекулярных лигандов ДНК остается крайне важным направлением молекулярной биологии, не теряющим свою актуальность на протяжении уже нескольких десятилетий.
Узкобороздочные лиганды, учитывая их способность обратимо и нековалентно связываться с В-формой дцДНК по узкой бороздке, не вызывая значительных пространственных изменений структуры ДНК, представляют значительный интерес [1]. Первыми представителями данного класса лигандов стали природные антибиотики нетропсин и дистамицин А, которые являются АТ-специфичными лигандами. Пирролкарбоксамидный фрагмент, содержащийся в структуре этих антибиотиков, образует водородные связи с аденином или тимином в ДНК, обуславливая образование комплекса [2]. Подобным образом формируют комплекс и синтетические, широко применяемые в настоящее время в цитологических исследованиях узкобороздочные лиганды серии Hoechst и DAPI, содержащие в своей структуре бензимидазол или индол, соответственно, выступающие в качестве пространственного аналога пирролкарбоксамидного фрагмента [3]. Такие лиганды, обладающие сопряженной ароматической структурой, являются флуоресцентными красителями, используемыми в качестве флуоресцентных маркеров ДНК.
На данный момент изучено большое количество узкобороздочных лигандов различной химической природы, однако почти все они относятся к АТ-специфичным соединениям. Создание универсальных GC-специфичных мотивов позволит сконструировать лиганды, направленные на определенные последовательности ДНК, что сделает такие молекулы крайне ценным инструментом в цитологических исследованиях, а также перспективным объектом для использования в качестве биологически активных соединений.
До сих пор основным достижением в области получения GC-специфичных лигандов остаются работы P. Dervan и соавт. [4–7], посвященные синтезу полиамидных димерных соединений на основе модификации АТ-специфичных узкобороздочных антибиотиков нетропсина и дистамицина А, пирролкарбоксамидный фрагмент в которых заменен на метилимидазолкарбоксамидный. Эта структура способна образовывать водородную связь с атомом водорода аминогруппы гуанина.
Другой подход разработан W. Wilson и соавт. [8–10], которые синтезировали полисопряженные структуры, содержащие N-метилбензимидазолтиофен (N-MeBT), где атом азота 1N бензимидазольного блока является акцептором водорода в образовании водородной связи с NH2-группой при втором атоме углерода гуанина в гуанин-цитозиновой паре, фланкированной АТ-парами. В случае дубликации N-MeBT или его комбинации с азабенимидазолом или N-алкилбензимидазолом полученные структуры могли связываться с двумя не соседними GC-парами.
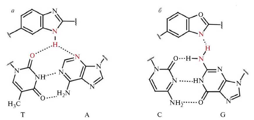
Для поиска новых GC-специфичных лигадов было решено использовать бисбензимидазольную структуру АТ-специфичного узкобороздочного флуоресцентного красителя Hoechst 33258, превратив в его структуре атомы N1 бензимидазолов из доноров в акцепторы водородных связей.
Рис. 1. Образование водородной связи между бензимидазолом и АТ-парой (а) и бензоксазолом и GC-парой ДНК (б).
В представленной работе описан синтез нового бисбензоксазольного лиганда MBoz₂A (рис. 1), являющегося, согласно компьютерной модели, потенциальным GC-специфичным агентом, содержащим в своей структуре два бензоксазольных блока в качестве GC-связывающих фрагментов (рис. 1), а также приведены спектрофлуориметрические данные, описывающие способность исследуемого соединения образовывать комплекс с GC-богатыми последовательностями ДНК.
ЭКСПРИМЕНТАЛЬНАЯ ЧАСТЬ
Материалы и методы. В работе использовали: HBTU (2-(1Н-бензотриазол-1-ил)-1,1,3,3-тетраметилурониумгексафторфосфат), DMAPA (N,N-диметиламинопропиламин), 3-амино-4-гидроксибензойную кислоту, 4-гидроксибензальдегид, диацетоксийодбензол (“Alfa Aesar”, США); DIPEA (диизопропилэтиламин) (“Fluka”, Германия); дцДНК тимуса теленка, poly(dG-dC), poly(dG-dC), poly(dA-dT)•(poly(dA-dT) (“Sigma”, США); DMA (диметилацетамид), MeOH, гексан, DMF (N,N-диметилформамид), EtOAc (“Реахим”, Россия). Растворы веществ в органических растворителях сушили над Na₂SO₄. Растворители упаривали на роторном испарителе в вакууме водоструйного насоса, как правило, при 40–50°C. Вещества сушили в вакууме над P₂O₅ и NaOH. Температуры плавления определяли на термоплавильном столике “Boethius” (Германия). Гидрирование проводили над 10% Рd/C (“Merck”, Германия) при атмосферном давлении и комнатной температуре до прекращения поглощения водорода. Чистоту полученных соединений контролировали с помощью тонкослойной хроматографии (TCX) на пластинках Kieselgel 60 F254 (“Merck”) в системах А, гексан-EtOAc (2: 1); Б, гексан-EtOAc-MeOH (2 : 1 : 0.25); В, гексан-EtOAc-NH3*MeOH(10%)-AcOH (1 : 1 : 0.5 : 0.5). Вещества на хроматограммах обнаруживали в УФ-свете по поглощению при 254 нм и/или по флуоресценции при 365 нм.
Спектры 1Н-ЯМР регистрировали на спектрометре Avance 3300 МГц (“Bruker”, Германия) в DMSO-d6 (δ, м. д.; J, Гц) при 30°C; в качестве внутреннего стандарта использовали сигнал остаточных протонов растворителя. Атомы водорода бензоксазольных циклов и фенола обозначены как Ar.
Масс-спектры регистрировали методом MALDI-TOF на приборе 4800 Plus (“AB Sciex”, США) в режиме регистрации положительных ионов; матрица – 2,5-дигидроксибензойная кислота; лазер Nd: YAG, 355 нм.
Докинг. Координаты атомов двухцепочечных вторичных структур ДНК d(A-T)₁₀ и d(G-C)₁₀ получены с использованием инструмента “DNA Sequence to Structure” http://www.scfbio-iitd.res.in/software/drugdesign/bdna.jsp. Частичные заряды молекулы присваиваются в соответствии с зарядом Гастайгера с помощью программного обеспечения Open Babel 3.1.1 [12]. Файл координат атомов лигандов создан строкой SMILE и каждому атому присвоены частичные заряды Amber99. Молекулярный докинг осуществляли с помощью системы Protein-Ligand ANT (PLANTS1.2) [13]. В качестве центра связывания был выбран центр ДНК-дуплекса. Нахождение оптимальной позы осуществлялось с параметрами Speed:1, aco_ants:20 и aco_sigma:3 в пределах радиуса сферы 20 Å. Определены 10 позиций и показаны лучшие.
УФ-флуоресценция. Спектры флуоресценции записывали на спектрофлуориметре Cary Eclipse (“Varian/Agilent”, США) в диапазоне длин волн 300–600 нм при длине волны возбуждения 280 нм. Время жизни возбужденного состояния флуоресценции рассчитывали по кривым затухания флуоресценции, которые регистрировали на флуориметре EasyLifeV (OBB Corp., США) при возбуждении образцов импульсным светодиодом в длине волны 280 нм. Флуоресценция детектировалась с использованием оптического фильтра с пропусканием света длины волны более 310 нм.
Спектры кругового дихроизма (КД). Спектры КД регистрировали на CD-спектрометре Jasco-715 (“Jasco Inc.”, Япония) с использованием кварцевой кюветы с длиной оптического пути 10 мм. Спектры получали при ширине полосы 1 нм [ДНК], 50 мкМ (п. н.).
Синтез метил-4-гидрокси-3-нитробензол-1-карбоксимидата (I). Через раствор 4-гидрокси-3-нитробензонитрила (5.70 г, 35 ммоль) в абс. метаноле (50 мл) при 0°C пропускали интенсивный ток сухого хлористого водорода. После полного насыщения реакционную смесь выдерживали в течение 4 суток при 4°C. Растворитель упаривали в вакууме, полученный белый осадок суспендировали в абс. метаноле (20 мл), фильтровали и высушивали над NaOH. Имидат (I), выход которого составил 6.50 г (91.3%), использовали в дальнейшем синтезе без дополнительной очистки.
Синтез 2-(4-гидрокси-3-нитрофенил)-1,3-бензоксазол-5-карбоновой кислоты (II). Раствор имидата (I) (5.07 г, 22 ммоль) и 3-амино-4-гидроксибензойной кислоты (3.52 г, 23 ммоль) в абс. метаноле (75 мл) кипятили при перемешивании в течение 1 ч. Полученную смесь охлаждали до комнатной температуры, выпавший осадок отфильтровывали, промывали метанолом (3 × 20 мл) и сушили на воздухе. По данным ТСХ, в системе А продукт гомогенен. Выход соединения (II) составил 5.75 г (76.7%), Тпл: 333°C. 1Н-ЯМР (DMSO-d6): δ 7.31 (1H, д, J = 8.50, H3), 7.82 (1H, д, J = 8.92, H6), 8.00 (1H, дд, J1 = 8.50, J2 =1.81, H2), 8.21(1H, д, J = 1.81, H1), 8.26 (1H, дд, J1 = 8.92, J2 = 2.23, H5), 8.56 (1H, д, J = 2.23, H4).
Синтез 2-(3-амино-4-гидроксифенил)-1,3-бензоксазол-5-карбоновой кислоты (III). Суспензию 0.39 г 10% Pd/C в 20 мл DMF перемешивали в течение 30 мин в атмосфере водорода, затем вносили соединение (II) (3.90 г, 13 ммоль). По данным ТСХ спустя 1.5 ч исходное соединение в суспензии отсутствовало. Катализатор отфильтровывали, раствор упаривали, остаток растирали со 100 мл воды. Выпавший осадок отфильтровывали, промывали водой (3 × 20 мл) и высушивали на воздухе. По данным ТСХ, в системе A продукт гомогенен. Выход соединения (III) составил 3.36 г (95.8%). т. пл.: 260°C. 1Н-ЯМР (DMSO-d6): δ 6.85 (1H, д, J = 7.88, H6), 7.35 (1H, дд, J1 = 7.88, J2 = 2.25, H5), 7.50 (1H, д, J = 25, H4), 7.79 (1H, д, H3), 7.97 (1H, дд, J1 = 8.73, J2 = 1.67, H2), 8.56 (1H, д, J = 1.67, H1).
Синтез 2-[2-(4-гидроксифенил)-1,3-бензоксазол-5-ил]-1,3-бензоксазол-5-карбоновой кислоты (V). Соединение (III) (2.00 г, 7.4 ммоль) и 4-гидроксибензальдегид (0.93 г, 7.6 ммоль) растирали в керамической ступке до гомогенности. Для синтеза основания Шиффа (IV) полученную смесь спекали на масляной бане в порошок, затем растворяли его в 20 мл DMF и при добавляли перемешивании диацетоксийодбензол (2.70 г, 8.4 ммоль), растворенный в 20 мл DMF. Спустя 3 ч выпавший осадок отфильтровывали, промывали DMF (2 × 20 мл), метанолом (4 × 20 мл) и высушивали над P₂O₅. По данным ТСХ, в системе Б продукт гомогенен. Выход соединения (V) составил 1.61г (58.5%), т. пл. > 350°C. Масс-спектр: 372.68 [M]+, 373.71 [M+H]+, расcчитано: 372.07 (C21H12N2O5). 1Н-ЯМР (DMSO-d6): δ 6.97 (2H, д, J = 8.73, Н8), 7.85 (1Н, д, J = 8.52, Н4), 7.89 (1Н, д, J = 8.52, Н1), 7.98–8.01 (3Н, м, Н4.7), 8.19 (1Н, дд, J1 = 1.62, J2 = 52, Н2), 8.27 (1H, д, J = 1.38, Н6), 8.40 (1H, д, J = 1.47, Н3).
Синтез N-[3-(диметиламино)пропил]-2-[2-(4-гидроксифенил)-1,3-бензоксазол-5-ил]-1,3-бензоксазол-5-карбоновой кислоты (MBoz₂A). К раствору соединения (V) (58 мг, 0.16 ммоль) в 20 мл DMA при перемешивании добавили DIPEA (0.026 мл, 0.15 ммоль), HBTU. (56 мг, 0.15 ммоль) и N, N-диметиламинопропиламин (0.0157 мл, 0.13 ммоль). Спустя 3 ч раствор упаривали в вакууме, остаток растирали в метаноле и суспендировали на ультразвуковой бане. Осадок отфильтровывали, промывали метанолом (3 × 20 мл) и высушивали на воздухе. По данным ТСХ в системе B продукт гомогенен. Выход MBoz₂A составил 32 мг (54.9%), т. пл. > 350°C. Масс-спектр: 456.48 [M]+, расcчитано: 456.49 (C26H24N4O4).1Н-ЯМР (DMSO-d6): δ 1.93 (2H, м, Hb), 2.81 (6H, с, Нd), 3.13 (4H, м, Ha, Нc), 7.01 (2H, д, J = 8.7, H8), 7.9–8.0 (3H, м, Н5, H4, H1), 8.10 (2H, д, J = 8.7, H7), 8.26 (1H, дд, J1 = 8.46, J2 = 1.47, Н2), 8.33 (1H, с, H6), 8.52 (1H, д, J = 1.08, H3), 8.73 (1H, м, NH), 10.44 (1H, уш.с, OH).
РЕЗУЛЬТАТЫ И ОБСУЖДЕНИЕ
Компьютерное моделирование комплексов Hoechst 33258 и MBoz₂A c последовательностью d(A-T)₁₀ и d(G-C)₁₀ дцДНК
На рис. 2 представлена компьютерная модель комплексов MBoz₂A и Hoechst 33258 с d(A-T)₁₀ и d(G-C)₁₀.
Рис. 2. Компьютерная модель комплексов MBoz₂A и Hoechst 33258 с d(A-T)₁₀ и d(G-C)₁₀. Атомы С (лиганда) – серый, С (ДНК) – золотистый, N – синий, O – красный, H – белый. Предсказанные водородные связи отмечены жирной зеленой линией.
Результаты докинга подтвердили правильность предположения, выдвинутого при дизайне соединения MBoz₂A, о возможности образования двух водородных связей между sp-гибридными атомами 1N оксазольного фрагмента и двумя аминогруппами гуанина при формировании комплекса в малой бороздке ДНК, содержащей альтернирующие GC-пары. Дополнительная водородная связь может образовываться между эндоциклическим атомом кислорода в сахарофосфатном остове ДНК и протонированным атомом азота N, N-диметиламинопропильного фрагмента. Согласно докингу MBoz₂A на ДНК с альтернирующими AT-парами, наилучший комплекс располагался аналогично комплексу с d(G-C)₁₀, по всей видимости, за счет вклада гидрофобных взаимодействий. При локализации соединения в узкой бороздке AT-дуплекса возможно образование двух водородных связей – между карбоксамидным атомом водорода и кетогруппой тимина. Аналогичное взаимодействие возможно также между эндоциклическим атомом кислорода в сахарофосфатном остове ДНК и протонированным азотом N, N-диметиламинопропильного фрагмента. Как и предполагалось, не обнаружено возможности образования водородных связей бензоксазольных фрагментов соединения с AT-нуклеотидами ДНК.
Рис. 3. Расчетные значения энергии комплексов MBoz₂A и Hoechst 33258 с d(A-T)₁₀ и d(G-C)₁₀.
При докинге соединения Hoechst 33258 наилучший комплекс также находился в узкой бороздке ДНК. В случае АТ-дуплекса возможно образование трех водородных связей, две из которых – между бензомидазольными фрагментами и кетогруппой O6 тимина и имино-N3 аденина, а третья – между протонированным азотом пиперазина и кислородом дезоксирибозы. GC-дуплекс может формировать только одну водородную связь с дезоксирибозой. Предсказанный комплекс Hoechst 33258 хорошо соответствует структурным данным, полученным на AT-богатых участках двойной спирали ДНК [14].
Согласно расчетным значениям (рис. 3), новый лиганд MBoz₂A предпочтительно образует комплексы с GC-последовательностями ДНК. Относительное расчетное значение энергии комплекса равно –129.3, что сопоставимо со значениями для комплекса Hoechst 33258 на d(A-T)₁₀ (–130.0). Таким образом, данные компьютерного моделирования подтверждают наше предположение о способности MBoz₂A образовывать комплекс с GC-богатыми последовательностями по узкой бороздке.
Синтез MBoz₂A
Рис. 4. Синтез MBoz₂A бисбензоксазольного аналога Hoechst 33258.
Мономерный бисбензоксазол MBoz₂A был синтезирован из 4-гидрокси-3-нитробензонитрила, превращенного в реакции Пиннера в хлоргидрат иминоэфира (I), сконденсированного затем с 3-амино-4-гидроксибензойной кислотой. Полученное нитросоединение (II) было восстановлено каталитическим гидрированием в амин (III). Конденсация амина (III) с 4-гидроксибензальдегидом привела к образованию основания Шиффа (IV), которое окислили диацетоксийодбензолом с образованием производного бисбензоксазола (V). Синтез целевого соединения MBoz₂A был завершен в результате взаимодействия (V) c N,N-диметилпропиламином в присутствии конденсирующего агента HBTU. Структура синтезированных соединений подтверждена методами 1Н-ЯМР-спектроскопии и спектрометрии MALDI-TOF. Схема синтеза MBoz₂A представлена на рис. 4.
Физико-химические исследования
Физико-химические исследования MBoz₂A. Определяли спектральные характеристики нового соединения MBoz₂A и изучали его склонность к агрегации в водных растворах. В концентрации до 10 мM соединение показало приемлемую растворимость в ДМСО, но в воде в столь высоких концентрациях не растворялось. Поэтому с целью изучения состояния соединения в водных растворах были определены его спектральные свойства в относительно низкой концентрации – 10 мкМ в ДМСО и в растворах ДМСО–вода с разным соотношением компонентов.
Спектры флуоресценции соединения в ДМСО имеют максимум около 370 нм. При этом максимум возбуждения соответствует максимуму поглощения при 330 нм (рис. 5б,в, спектры, отмеченные темными кружками). Добавление воды к ДМСО приводило к падению полосы коротковолновой флуоресценции и появлению длинноволновой полосы с максимумом 530 нм (рис. 5а). Такое изменение спектров флуоресценции может свидетельствовать об образовании агрегатных комплексов при димеризации соединений или образовании ассоциатов более высокого порядка в водных растворах. Однако ДМСО поглощает УФ-излучение, поэтому в диапазоне возбуждения получены лишь искаженные спектры, показывающие смещение максимума возбуждения длинноволновой флуоресценции в более коротковолновую область по сравнению с возбуждением коротковолновой флуоресценции (рис. 5в). В водном растворе с минимальной концентрацией ДМСО наблюдалось практически полное тушение коротковолновой флуоресценции и максимальная интенсивность длинноволновой. При этом максимум возбуждения длинноволновой флуоресценции при 530 нм сместился в 240 нм (рис. 5в, пустые символы).
В дополнение к спектральным характеристикам мы изучили затухание флуоресценции и время жизни возбужденного состояния. При возбуждении импульсным светодиодом при 280 нм общая флуоресценция регистрировалась при длинах волн выше 305 нм (рис. 5г).
Рис. 5. Изменение флуоресценции MBoz₂A в системе вода–ДМСО. а – Спектры флуоресценции при возбуждении на длине волны 280 нм; б – спектры возбуждения флуоресценции на длине волны 370 нм; в – спектры возбуждения флуоресценции на длине волны 530 нм; г – кривые затухания флуоресценции, регистрируемой через фильтр, пропускающий свет более 305 нм при возбуждении импульсным светодиодом с длиной волны 280 нм. Пустые кружки – вода, последующие спектры с шагом увеличения объемной доли ДМСО на 10%, полные кружки – 100% ДМСО. Стрелки указывают изменение интенсивности флуоресценции при увеличении доли ДМСО в растворе. [MBoz₂A] 10 мкМ, ширина щели возбуждения флуоресценции 5 нм, кювета 2 × 10 мм, комнатная температура (~25°C).
Наибольшее время затухания флуоресценции соединение имело в воде. При увеличении содержания ДМСО время затухания сокращалось. Кривые затухания аппроксимировали биэкспоненциальным законом и определили времена жизни возбужденного состояния двух компонент. В чистом ДМСО кривая затухания хорошо описывалась одной экспонентой с характерным временем около 0.5 нс. В присутствии воды в растворе появляется долгоживущая компонента, время жизни которой зависит от доли ДМСО в растворе (от 2 нс в 90% ДМСО до 6 нс в воде), причем доля короткоживущей компоненты уменьшается при наличии воды в растворе. С использованием более длинноволнового фильтра (> 475 нм) нами показано, что долгоживущая компонента соответствует длинноволновой полосе. Зависимость времени жизни длинноволновой компоненты от количества ДМСО в растворе можно объяснить тем, что ДМСО является динамическим тушителем с переносом электрона в возбужденном состоянии.
Изучение изменений спектров флуоресценции и времен жизни возбужденного состояния позволяют нам предположить, что длинноволновая компонента флуоресценции соответствует ассоциатам соединения в водном окружении [15].
Изучение спектральных свойств MBoz₂A в комплексе с ДНК различного нуклеотидного состава. В водном растворе мы наблюдали небольшую концентрацию соединений в мономерном состоянии, способных взаимодействовать с ДНК по предложенному нами механизму. Для подтверждения нашей теории мы изучили изменение дихроизма соединений в присутствии ДНК разного нуклеотидного состава (рис. 6).
Рис. 6. Флуоресценция сольватных форм MBoz₂A в системе вода–ДМСО в зависимости от объемной доли ДМСО. а – Время жизни флуоресценции сольватных форм; б – доля вклада сольватных форм в общую флуоресценцию. Пустые кружки – сольватная форма с большим временем жизни флуоресценции (агрегат), полные кружки – сольватная форма с коротким временем жизни флуоресценции (мономер).
Показано, что добавление MBoz₂A к 10 мкМ раствору синтетического альтернирующего дуплекса poly(dA-dT)•poly(dA-dT) (рис. 7б) и ДНК тимуса теленка (рис. 7a) приводит к появлению положительной полосы индуцированного дихроизма, что свидетельствует о взаимодействии исследуемого вещества с ДНК и об образовании неинтеркаляционного комплекса в одной из бороздок. Однако гиперинтенсивный рост индуцированного сигнала и изменение спектра дихроизма дцДНК говорит об образовании комплексов, характеризующихся одновременной локализацией на одном участке бороздки двух или трех молекул лиганда [16]; по-видимому, такое связывание обусловлено гидрофобными взаимодействиями.
Рис. 7. Спектры кругового дихроизма MBoz₂A при образовании комплекса с ДНК разного нуклеотидного состава: ДНК тимуса теленка (а), poly(dA-dT)•poly(dA-dT) (б), poly(dG-dC)•poly(dG-dC) (в). Пустые кружки – ДНК в отсутствие лиганда, полные кружки – максимальная концентрация лиганда в растворе ДНК. Зависимость амплитуды сигнала кругового дихроизма при длине волны 330 нм от концентрации MBoz₂A (г). Пустые ромбы – ДНК тимуса теленка; закрашенные квадраты – poly(dA-dT)•poly(dA-dT); закрашенные треугольники – poly(dG-dC)•poly(dG-dC); [ДНК] 50 мкМ (п. н.) в 10 мМ Na-фосфатном буфере pH 7.0, 25°C.
При добавлении poly(dG-dC) · poly(dG-dC) к 10 мкМ раствору MBoz₂A (рис. 7в) в КД-спектрах также наблюдается образование положительной полосы, однако в данном случае практически отсутствует искажение спектра ДНК и гиперинтенсивный рост максимума, что косвенно говорит о формировании комплекса мономерной молекулы по узкой бороздке. Однако заметное комплексообразование отмечено только при большом избытке соединения, что свидетельствует о низкой константе связывания.
Дополнительно были изучены спектры эмиссии MBoz₂A в присутствии poly(dA-dT) · poly(dA-dT), poly(dG-dC)•poly(dG-dC) и дцДНК тимуса теленка (рис. 8).
Рис. 8. Спектры флуоресценции MBoz₂A при образовании комплекса с ДНК различного нуклеотидного состава. ДНК тимуса теленка (а); poly(dA-dT)•poly(dA-dT) (б); poly(dG-dC)•poly(dG-dC) (в). Пустые кружки – MBoz₂A в отсутствие ДНК, полные кружки – максимальная концентрация ДНК в растворе лиганда. Зависимость интенсивности флуоресценции MBoz₂A от концентрации ДНК (г). Пустые символы – флуоресценция на длине волны 370 нм; заполненные символы – флуоресценция при 530 нм; кружки – ДНК тимуса теленка; квадраты – poly (dA-dT)•poly (dA-dT); треугольники – poly(dG-dC)•poly(dG-dC); [MBoz₂A] 10 мкМ в 10 мМ Na-фосфатном буфере pH 7.0, 25°C.
При добавлении ДНК любого нуклеотидного состава изначально наблюдается рост интенсивности длинноволновой полосы, что соответствует агрегации большого количества соединения на ДНК; при дальнейшем увеличении концентрации ДНК и уменьшении соотношения лиганд/ДНК соединение перераспределяется в специфичный комплекс и происходит разрушение агрегата, которое характеризуется уменьшением флуоресценции с максимумом при 530 нм. В случае poly(dA-dT) • poly(dA-dT) наблюдается разгорание флуоресценции, соответствующей росту количества молекул MBoz₂A в мономерном состоянии. По всей видимости, из-за большого избытка ДНК под действием гидрофобных сил образуется комплекс мономерной молекулы и ДНК, подобный смоделированному комплексу (рис. 2). В случае poly(dG-dC) • poly(dG-dC) наблюдается также дальнейшее тушение агрегированной компоненты, однако не происходит разгорание полосы, соответствующей мономерному состоянию лиганда. Полученные данные не противоречат модели связывания мономеров с ДНК различного нуклеотидного состава, предположенной в докинге, однако комплекс с GC-дуплексом не проявляет мономерной флуоресценции, так как известно, что гуаниновые основания являются тушителями флуоресцентных соединений различного типа [17]. При увеличении концентрации тимусной ДНК одновременно с падением длинноволнового сигнала наблюдается небольшое разгорание мономерной компоненты, что, как мы полагаем, свидетельствует об образовании двух типов связывания мономерной молекулы, аналогичных предсказанным путем компьютерного моделирования. Однако наблюдаемое разгорание полосы 370 нм значительно ниже, чем в случае poly(dA-dT)•poly(dA-dT), что говорит о повышенном сродстве полученного лиганда к GC-богатым участкам ДНК.
Изучение спектральных и кинетических характеристик взаимодействия узкобороздочного лиганда MBoz₂A c молекулами тимусной ДНК, poly(dA-dT) • poly(dA-dT) и poly(dG-dC)•poly(dG-dC) позволило по изменению интенсивности флуоресценции оценить константы комплексообразования. Для ДНК и poly(dA-dT) • poly(dA-dT) эти значения составили 2 × 104 и 3 × 104 М-1 соответственно. Оценить значение константы связывания с poly(dG-dC)•poly(dG-dC) не представляется возможным, ввиду падения интенсивности флуоресценции лиганда в присутствии poly(dG-dC)•poly(dG-dC).
ЗАКЛЮЧЕНИЕ
Нами разработан способ и осуществлен многостадийный синтез перспективного по результатам эксперимента in silico GC-специфичного узкобороздочного лиганда MBoz₂A – бисбензоксазольного аналога широко известного флуоресцентного ДНК-лиганда Hoechst 33258.
Анализ полученных спектрофотометрических данных позволяет сделать вывод, что лиганд MBoz₂A, обладающий достаточно высокой гидрофобностью, в воде существует преимущественно в виде агрегированной формы. Согласно спектрам флуоресценции и кругового дихроизма комплексов MBoz₂A с дцДНК различного нуклеотидного состава, MBoz₂A является ДНК-лигандом, обладает GC-специфичностью, но имеет очень низкую константу связывания.
Таким образом, бензоксазольный мотив можно рассматривать как потенциальный каркас для создания GC-специфичных лигандов. Однако для создания бензоксазольных лигандов, обладающих большей аффинностью, необходимо решить проблему, связанную с высокой склонностью бензоксазольных соединений к агрегации в водных растворах.
Работа выполнена при финансовой поддержке Российского научного фонда (№ 23-24-00082).
Настоящая статья не содержит описания выполненных авторами исследований с участием людей или использованием животных в качестве объектов.
Авторы заявляют об отсутствии конфликта интересов.
About the authors
A. F. Arutuynyan
Engelhardt Institute of Molecular Biology, Russian Academy of Sciences
Email: zhuze@eimb.ru
Russian Federation, Moscow, 119991
M. S. Aksenova
Engelhardt Institute of Molecular Biology, Russian Academy of Sciences
Email: zhuze@eimb.ru
Russian Federation, Moscow, 119991
A. A. Kostyukov
Emanuel Institute of Biochemical Physics, Russian Academy of Science
Email: zhuze@eimb.ru
Russian Federation, Moscow, 119334
A. A. Stomakhin
Engelhardt Institute of Molecular Biology, Russian Academy of Sciences
Email: zhuze@eimb.ru
Russian Federation, Moscow, 119991
D. N. Kaluzhny
Engelhardt Institute of Molecular Biology, Russian Academy of Sciences
Email: zhuze@eimb.ru
Russian Federation, Moscow, 119991
A. L. Zhuze
Engelhardt Institute of Molecular Biology, Russian Academy of Sciences
Author for correspondence.
Email: zhuze@eimb.ru
Russian Federation, Moscow, 119991
References
- Geierstanger B.H., Wemmer D.E. (1995) Complexes of the minor groove of DNA. Annu. Rev. Biophys. Biomol. Structure. 24, 463–493.
- Krey A.K., Hahn F.E. (1970) Studies on the complex of distamycin A with calf thymus DNA. FEBS Lett. 10, 175–178.
- Harshman K.D., Dervan P.B. (1985) Molecular recognition of B-DNA by Hoechst 33258. Nucl. Acids Res. 13, 4825–48354.
- Dervan P.B. (2001) Molecular recognition of DNA by small molecules. Bioorg. Med. Chem. 9, 2215–2235.
- Dervan P.B., Buerli R.W. (1999) Sequence-specific DNA recognition by polyamides. Curr. Opin. Chem. Biol. 3, 688–693.
- Wemmer D.E., Dervan P.B. (1997) Targeting the minor groove of DNA. Curr. Opin. Struct. Biol. 7, 355–361.
- Dervan P.B., Doss R.M., Marques M.A. (2005) Programmable DNA binding oligomers for control of transcription. Curr. Med. Chem. Anti-Cancer Agents. 5, 373–387.
- Guo P., Paul A., Kumar A., Farahat A.A., Kumar D., Wang S., Boykin D.W., Wilson D.W. (2016) The thiophene “sigma-hole” as a concept for preorganized, specific recognition of G.C base pairs in the DNA minor groove. Chem. Eur. J. 22, 15404–15412.
- Guo P., Farahat A.A., Paul A., Hanka N.K., Boykin D.V., Wilson W.D. (2018) Compound shape effects in minor groove binding affinity and specificity for mixed sequence DNA. J. Am. Chem. Soc. 140, 14761–14769.
- Wilson W.D., Paul A. (2023) Compound shape and substituent effects in DNA minor groove interactions. In: Handbook of Chemical Biology of Nucleic Acids. Еd. Sugimoto N. Singapore: Springer, pp. 1‒39.
- Paul A., Nanjunda R., Wilson W.D. (2023) Binding to the DNA minor groove by heterocyclic dications from AT specific to GC recognition compounds. Curr. Protocols. 3(4), e729.
- O’Boyle N.M., Banck M., Craig A.J., Morley C., Vandermeersch T., Hutchison G.R. (2011) Open Babel: an open chemical toolbox. J. Cheminformatics. 3, 1–14.
- Korb O., Stützle T., Exner T.E. (2007) An ant colony optimization approach to flexible protein–ligand docking. Swarm Intelligence. 1, 115134.
- Teng M.K., Usman N., Frederick C.A., Wang A.H. (1988) The molecular structure of the complex of Hoechst 33258 and the DNA dodecamer d (CGCGAATTCGCG). Nucl. Acids Res. 16, 2671–2690.
- Finlay A.C., Hochstein F.A., Sobin B.A., Murphy F.X. (1951) Netropsin, a new antibiotic produced by a Streptomyces. J. Am. Chem. Soc. 73, 341–344.
- Zasedatelev A.S., Borodulin V.B., Grokhovsky S.L., Nikitin A.M., Salmanova D.V., Zhuze A.L., Gursky G.V., Shafer R.H. (1995) Mono-, di- and trimeric binding of a bis-netropsin to DNA. FEBS Lett. 375, 304–306.
- Makarska-Bialokoz M. (2014) Fluorescence quenching effect of guanine interacting with water-soluble cationic porphyrin. J. Luminescence. 47, 27–33.
Supplementary files









