Expression Profiles of TRIM Family Genes in Neuronal and Glial Cell Cultures of Healthy Donors and Patients with Parkinson’s Disease under Normal Conditions and Upon Neuroinflammation
- Authors: Nenasheva V.V.1, Novosadova Е.V.1, Gerasimova T.P.2, Novosadova L.V.1, Kotok A.Y.1, Arsenyeva E.L.1, Stepanenko Е.А.1, Grivennikov I.А.1, Tarantul V.Z.1
-
Affiliations:
- Kurchatov Institute
- Lopukhin Federal Research and Clinical Center of Physical Chemical Medicine of the Federal Medical and Biological Agency of the Russian Federation
- Issue: Vol 58, No 6 (2024)
- Pages: 1075-1086
- Section: МОЛЕКУЛЯРНАЯ БИОЛОГИЯ КЛЕТКИ
- URL: https://medbiosci.ru/0026-8984/article/view/280842
- DOI: https://doi.org/10.31857/S0026898424060172
- EDN: https://elibrary.ru/HZSRSN
- ID: 280842
Cite item
Full Text
Abstract
Proteins of the TRIM family are involved in both innate immunity and the nervous system processes and may play an important role in the development of neurodegenerative diseases. In this work, we analyzed the expression of 35 genes of the TRIM family in neural progenitors (NPs), terminally differentiated neurons (TDNs) and glial derivatives (NGs) obtained from induced pluripotent stem cells (iPSCs) of healthy donors (HD) and patients with Parkinson’s disease (PD), in the absence of inflammatory stimuli and upon the induction of a nonspecific inflammatory response under the influence of TNFα. In NPs and TDNs of PD patients, compared with HD cells, differences in expression were observed for only a small number of TRIM genes. Under the influence of TNFα in TDNs, the expression of individual TRIM genes was activated, which was more significant in the cells of patients with PD compared to cells of HDs. In NGs of PD patients, the expression of many TRIM genes was initially reduced compared to HD cells and remained low or further decreased after exposure to TNFα. The data obtained demonstrate differences in the network of the TRIM family members in PD neurons and glia compared to control, and also show the multidirectional influence of the inflammatory stimulus on the expression of a number of TRIM genes in these types of cells. Considering the important role of many TRIM genes in the functioning of the innate immune system, it can be assumed that, in PD, more significant disturbances in the functioning of genes of this family occur in glia compared to neurons.
Full Text
Сокращения: TRIM – TRIpartite Motif; БП – болезнь Паркинсона; ИПСК – индуцированные плюрипотентные стволовые клетки; НП – нейральные предшественники; ТДН – терминально дифференцированные нейроны; НГ – нейроглиальные культуры.
ВВЕДЕНИЕ
Нейроиммунология исследует взаимосвязь между иммунной и нервной системами. Эти системы совместно поддерживают гомеостаз в организме человека, нарушение которого может приводить к различным патологиям. Многочисленные данные свидетельствуют о том, что изменения в работе системах врожденного иммунитета, в частности в системе воспалительного ответа, могут приводить к возникновению нейродегенеративных и психических заболеваний [1, 2]. Накоплены данные, свидетельствующие о важной роли нейровоспаления в патогенезе болезни Паркинсона (БП) и других нейродегенеративных патологий [3–5]. При нейродегенеративных заболеваниях наблюдается гибель определенных групп нейронов в головном мозге, и воспаление может в значительной степени способствовать этому процессу.
Семейство белков TRIM (TRIpartite Motif) принимает активное участие в работе как врожденного иммунитета [6, 7], так и нервной системы [8]. По этой причине белки TRIM могут играть существенную роль во взаимодействии этих двух систем. В семейство TRIM входят порядка 80 белков, объединенных по принципу общей структуры, включающей RING-домен, отвечающий за свойства E3-убиквитинлигазы, один или два цинк-содержащих В-box-домена, CC-домен и набор различных С-концевых доменов, вовлеченных в белок-белковые взаимодействия [9].
Белки TRIM участвуют в передаче сигнала от рецепторов врожденного иммунитета к транскрипционным факторам при иммунном ответе на вирусные и бактериальные инфекции [7, 10, 11], а также в регуляции воспалительного ответа [12]. Белки TRIM участвуют и в других процессах, в частности, в апоптозе, аутофагии, дифференцировке и росте клеток, а также в онкогенезе [13, 14].
Показано, что некоторые белки TRIM вовлечены в развитие патологических процессов, приводящих к дегенерации и гибели нейронов в определенных отделах ЦНС и связанных с иммунной и нервной системами, например, при болезни Альцгеймера [15–17], БП [18–22] и болезни Хантингтона [23, 24]. Молекулярно-генетические механизмы работы белков TRIM в иммунной и нервной системах очень разнообразны и остаются не до конца изученными.
Клеточные линии на основе производных индуцированных плюрипотентных стволовых клеток (ИПСК) человека, которые могут быть получены путем репрограммирования соматических клеток, признаны перспективной платформой для исследования функционирования клеток головного мозга человека in vitro и моделирования нейродегенеративных заболеваний ЦНС. С использованием ИПСК можно получать клетки разной специализации с сохранением индивидуального генотипа донора, а также обходить трудности, связанные с малой доступностью биопсийного материала мозга человека и сложностью культивирования взрослых нейронов in vitro [25, 26].
В настоящей работе нами проанализированы уровни экспрессии ряда генов семейства TRIM, отобранных на основании опубликованных данных, в нейрональных и глиальных производных ИПСК здоровых доноров и пациентов с семейными формами БП. Также сравнили уровни экспрессии этих генов при активации воспалительного ответа в линиях клеток с использованием TNFα. Полученные данные позволили выявить гены семейства TRIM, наиболее перспективные для дальнейшего изучения в контексте их влияния на нейровоспаление при БП в нейронах и глии.
ЭКСПЕРИМЕНТАЛЬНАЯ ЧАСТЬ
Получение дифференцированных производных ИПСК. Полученные ранее ИПСК здоровых доноров и ИПСК БП (табл. S1, см. Дополнительные материалы в электронном виде по DOI статьи и на сайте http://www.molecbio.ru/downloads/2024/6/supp_Nenasheva_rus.pdf) были дифференцированы в нейральные предшественники (НП), как описано ранее Новосадовой и соавт. [27]. Морфологическую и молекулярно-генетическую оценку популяции клеток проводили на 1–2 пассаже (рис. S1a, S2а, см. электронное приложение). Для получения культур терминально дифференцированных нейронов (ТДН), преимущественно дофаминергических, НП дифференцировали по ранее описанной методике [27]. На 15-е сутки культивирования нейронов в дифференцировочной среде часть клеток фиксировали параформальдегидом для иммуноцитохимического окрашивания (рис. S1б, S2б) и часть использовали для выделения РНК и белка. Нейроглиальные культуры (НГ) получены по методике, описанной ранее Новосадовой и соавт. [28]. Часть клеток фиксировали параформальдегидом для иммуноцитохимического окрашивания (рис. S1в, S2в), а часть отбирали для дальнейшего анализа в них РНК и белков.
Индукция воспаления с помощью TNFα. Индукцию воспалительных процессов в НГ и ТДН осуществляли согласно Герасимовой и соавт. [29] и Subramanian и соавт. [30], соответственно.
Выделение РНК и получение кДНК. Суммарную клеточную РНК экстрагировали из клеток с помощью набора реактивов для очистки РНК (ExtractRNA, “Евроген”, Россия), как рекомендовано производителем, с последующей обработкой ДНКазой (“ThermoFisherScientific”, США). кДНК синтезировали на 2 мкг суммарной РНК с использованием обратной транскриптазы M-MLV (“Евроген”) со случайными праймерами.
Количественная ПЦР в режиме реального времени. Полученную кДНК амплифицировали с использованием системы LightCycler 96 (“Roche”, Швейцария/Германия) и реакционной смеси qPCRmix-HS SYBR (“Евроген”). Условия реакции: денатурация при 95°C (3 мин), затем 40 циклов (95°C, 15 с; 60–65°C, 20 с; и 72°C, 45 с). Уровень мРНК целевых генов оценивали с использованием сравнительного метода 2-∆Ct [31] не менее чем в трех повторностях для каждой точки. Для нормализации использовали ген 18S рРНК. Последовательности использованных праймеров приведены в работе Степаненко и соавт. [11].
Вестерн-блот-гибридизация. Для лизиса клеток и тканей использовали буфер RIPA, содержащий смесь ингибиторов протеаз (“Sigma-Aldrich”, США). Концентрацию общего белка в образцах определяли колориметрическим методом с использованием бицинхониновой кислоты. Равное количество белка (20 мкг на образец) разделяли электрофоретически в 12–15%-ном денатурирующем (SDS) полиакриламидном геле и переносили на PVDF-мембрану для блотинга белков (“Bio-Rad”, США). Мембраны блокировали в 5%-ном обезжиренном молоке и инкубировали в 1%-ном молоке с первичными антителами к TRIM9 (1 : 250; SC515007, “SantaCruz”, США) и антителами к GAPDH (1 : 3000; AF7021, “Affinity”, США) при 4– в течение ночи, промывали 5 раз по 5 мин раствором TBST и инкубировали в 1%-ном молоке со вторичными антителами, конъюгированными с пероксидазой хрена (HRP) (1 : 10000; 31466, “Invitrogen”, США или 1 : 7500; 140777, “Jackson ImmunoResearch”, Великобритания) при комнатной температуре в течение 2 ч. Сигнал регистрировали с помощью ClarityMaxWestern ECL Substrate (“Bio-Rad”) с использованием системы ChemiDoc MP ImagingSystem (“Bio-Rad”).
Статистический анализ. Статистический анализ проводили с использованием программного обеспечения GraphPadPrism 8.0. Для выявления различий в экспрессии генов (по результатам ПЦР) и белков (по результатам вестерн-блот-гибридизации) между линиями использовали однофакторный дисперсионный анализ (ANOVA). Нормальность распределения данных проверяли при помощи теста Шапиро–Уилкоксона. Данные, распределение которых отличалось он нормального, приводили к нормальному распределению с использованием преобразования Бокса–Кокса. Попарные множественные сравнения экспрессии генов в линиях клеток от здоровых доноров и пациентов с БП проводили с использованием апостериорных критериев, в частности критерия Тьюки. Различия с p <0.05 считали статистически значимыми.
РЕЗУЛЬТАТЫ ИССЛЕДОВАНИЯ
Анализ дифференциальной транскрипции и трансляции генов TRIM при болезни Паркинсона
С помощью ПЦР в режиме реального времени в клетках трех здоровых доноров и четырех пациентов с БП на разных этапах нейрональной дифференцировки ИПСК оценили относительный уровень экспрессии 35 генов TRIM, относящихся к разным подгруппам этого семейства [32]. Были отобраны гены TRIM, которые, согласно результатам анализа транскриптомов, дифференциально экспрессировались в НП и ТДН пациентов с БП и в клетках здоровых доноров [27], а также гены, нарушения в работе которых наблюдались при нейровоспалении и нейродегенеративных заболеваниях.
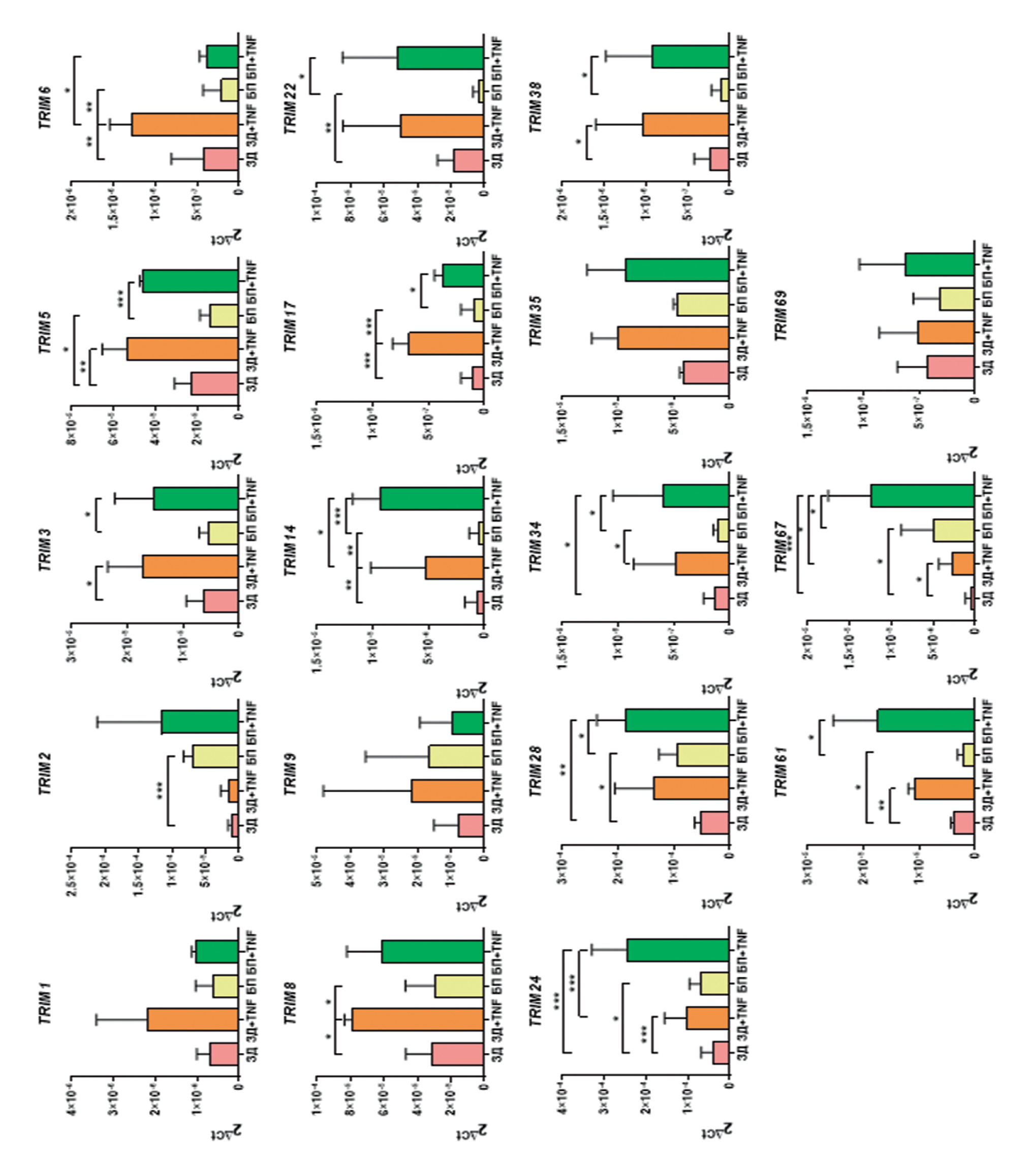
Следует отметить, что паттерны экспрессии генов TRIM в целом схожи как в НП, так и в ТДН, а также в НГ здоровых доноров и пациентов с БП: высокий уровень экспрессии характерен для генов TRIM18, 24, 27 и 28 (рис. S3, см. электронное приложение). При этом в НП, полученных из ИПСК от пациентов с БП, наблюдалось статистически значимое по сравнению с контролем снижение уровня экспрессии генов TRIM1, 17 и 69 и увеличение экспрессии генов TRIM14 и 34 (рис. 1а).
Рис. 1. ПЦР-анализ экспрессии генов семейства TRIM в НП (а), ТДН (б) и НГ (в) здоровых доноров (ЗД) и пациентов с БП (БП). *р < 0.05, **р < 0.01, ***р < 0.001. В качестве референсного гена использовали ген 18S рРНК.
В ТДН от пациентов с БП по сравнению с контролем был повышен уровень экспрессии генов TRIM2, 24, 28 и 67 и снижен TRIM5, 22 и 61 (рис. 1б). Таким образом, в нейрональных клетках, полученных от пациентов с БП, в ходе дифференцировки изменяется спектр дифференциально экспрессирующихся генов.
Более значительные изменения в экспрессии генов TRIM при БП происходили в НГ. Экспрессия генов TRIM6 и 36 при БП была выше, чем в контроле, тогда как экспрессия генов TRIM2, 4, 5, 9, 16, 22, 24, 32, 34, 38, 47, 66 и 69 была статистически значимо снижена (рис. 1в).
На следующем этапе проведен анализ экспрессии гена TRIM9 на уровне белка в НП, ТДН и НГ, полученных от здоровых доноров и от пациентов с БП. Ген TRIM9, специфично экспрессирующийся в мозге [18], способен регулировать нейровоспаление, блокируя опосредованную NF-κB активацию воспалительного ответа [33, 34]. Показано, что уровень белка TRIM9 снижается в пораженных участках мозга при БП и деменции с тельцами Леви [18].
По нашим данным, во всех исследованных нами типах клеток белок TRIM9 представлен двумя изоформами – 79 и 90 кДа (что соответствует базе данных Uniprot) (рис. 2а). При этом наблюдалось увеличение количества обеих изоформ этого белка в ТДН пациентов с БП по сравнению с НП и НГ, что в целом согласуется с результатами анализа транскрипции гена TRIM9 (рис. 2б). В ТДН пациентов с БП наблюдается тенденция к увеличению экспрессии гена и белка TRIM9 по сравнению с контролем, в то время как в НГ пациентов с БП, напротив, уровень мРНК и белка TRIM9 снижался.
Рис. 2. Анализ уровня белка (а) и мРНК (б) гена TRIM9 в НП, ТДН и НГ здоровых доноров и пациентов с болезнью Паркинсона (БП). Референсный белок — GAPDH.
Анализ влияния воспаления на дифференциальную экспрессию генов TRIM в клетках здоровых доноров и пациентов с болезнью Паркинсона
В патогенезе БП и других заболеваний, связанных с нейродегенеративными процессами в тканях мозга, важную роль играет нейровоспаление, которое характеризуется хронической активацией микроглии, усиленной продукцией провоспалительных цитокинов (TNFα, IL-1β, IL-6 и др.), активацией астроцитов и гибелью нейронов [3, 5, 35].
Воздействие TNFα в концентрации 10 нг/мл на НГ приводило к существенному усилению экспрессии генов провоспалительных цитокинов – TNFА, IL6 и IL1В [29], что свидетельствует о том, что данная концентрация TNFα достаточна для индукции воспалительного ответа. В недавнем исследовании Subramanian и соавт. для стимуляции клеток нейробластомы использовали TNFα в более высокой концентрации – 20 нг/мл [30]. Учитывая эти данные, в качестве условий для индукции неспецифичной воспалительной реакции в НГ мы выбрали концентрацию 10 нг/мл, для стимуляции ТДН – 20 нг/мл, время экспозиции обоих типов клеток – 24 ч.
Далее был проведен анализ экспрессии генов TRIM в НГ здоровых доноров и пациентов с БП после стимуляции воспаления с помощью TNFα (рис. 3). Под влиянием TNFα экспрессия большинства исследованных генов семейства TRIM оставалась значительно ниже в НГ пациентов с БП, в то время как в клетках здоровых доноров наблюдалось повышение экспрессии части генов. Обнаружено, что экспрессия генов TRIM5, 6, 32 и 59 увеличивалась или не изменялась после обработки TNFα культур клеток здоровых доноров, однако в клетках от пациентов с БП происходило резкое дополнительное подавление экспрессии этих генов (рис. 3). Это может указывать как на снижение иммунного ответа в глии у пациентов с БП, так и на ее меньшую способность к активации TNFα.
Рис. 3. ПЦР-анализ экспрессии генов TRIM в НГ, полученных от пациентов с БП и здоровых доноров, в норме и через 24 ч после стимуляции воспаления TNFα (10 нг/мл). В качестве референсного гена использовали ген 18S рРНК. *p < 0.05, **p < 0.01, ***p < 0.001.
В отличие от глиальных клеток, в ТДН как здоровых доноров, так и пациентов с БП после воздействия TNFα наблюдался рост экспрессии многих генов TRIM. Спектр большинства исследованных генов TRIM, экспрессия которых повышалась под воздействием TNFα, был одинаковым в клетках здоровых доноров и пациентов с БП – это гены TRIM3, 5, 8, 14, 17, 22, 24, 28, 34, 38, 61 и 67 (рис. 4). Кроме того, в клетках здоровых доноров под воздействием TNFα статистически значимо повышалась экспрессия только генов TRIM1 и 6. При этом индукция иммунного ответа не приводила к подавлению экспрессии ни одного из проанализированных генов TRIM. Все это указывает на небольшие изменения иммунного ответа на воспалительный стимул с участием генов TRIM в ТДН пациентов с БП в сравнении с контрольными клетками.
Рис. 4. ПЦР-анализ экспрессии генов TRIM в ТДН пациентов с БП и здоровых доноров, в норме и через 24 ч после стимуляции воспаления TNFα (20 нг/мл). Референсный ген 18S рРНК. *p < 0.05, **p < 0.01, ***p < 0.001.
Таким образом, нами выявлен спектр генов семейства TRIM, экспрессия которых изменена в клетках нейронального и глиального ряда пациентов с БП по сравнению с соответствующими клетками здоровых доноров, а также обнаружены особенности функционирования генов TRIM в условиях воспалительного ответа, индуцированного TNFα.
ОБСУЖДЕНИЕ РЕЗУЛЬТАТОВ
За последнее время накопилось много данных, свидетельствующих о тесной взаимосвязи между иммунной и нервной системами организма, нарушение которой в ряде случаев может приводить к развитию нейродегенеративных заболеваний [1, 2, 36]. Известно, что БП обусловлена преимущественной дегенерацией дофаминергических нейронов черной субстанции, однако патология не ограничивается нарушениями лишь в нейрональных клетках. Глиальные клетки, преимущественно астроциты, также играют существенную роль в развитии этой патологии, особенно в контексте семейных форм заболевания. В норме астроциты осуществляют межклеточные взаимодействия с другими типами клеток, выполняют трофическую и опорную функции в отношении нейронов, а также проявляют иммунологическую активность [35, 37]. Астроцитарные клетки способны синтезировать нейротрофические факторы, эпидермальный фактор роста, некоторые цитокины, в том числе участвующие в работе врожденной иммунной системы (TNFα, IL-1β, IL-6 и др.). В физиологических условиях эти цитокины секретируются на низком уровне, однако их количество возрастает при воздействии цитокинов активированной микроглии [3, 35]. В настоящее время известно, что патологические изменения в глие встречаются, если не при всех, то при большинстве нейродегенеративных заболеваний. Все это говорит о том, что клетки глии активно вовлечены во взаимодействие между иммунной и нервной системами.
Существует множество предположений о молекулярных процессах, лежащих в основе развития БП [2, 38]. В частности, показана роль механизмов, запускаемых врожденным иммунитетом [4]. Многие факторы и сигнальные пути, индуцируемые воспалением, одновременно участвуют и в регуляции апоптоза. Активность апоптоза, в свою очередь, оказывает влияние на выраженность нейровоспаления и может быть его причиной. Например, известно, что процесс фагоцитоза апоптотических клеток индуцирует синтез противовоспалительных медиаторов, однако при неэффективности процесса элиминации погибших клеток в тканях устанавливается длительное хроническое воспаление [39].
Гены семейства TRIM выполняют разнообразные функции в тканях мозга [8]. С одной стороны, они оказывают разнонаправленное влияние на процессы апоптоза, с другой, принимают активное участие в процессах врожденного иммунитета на разных этапах передачи сигнала и могут служить как положительными, так и отрицательными регуляторами воспаления. Ранее показано, что некоторые гены TRIM вовлечены в патогенез БП и ряда других нейродегенеративных заболеваний [18, 20–23]. Таким образом, совокупность известных данных позволяет предположить, что гены семейства TRIM могут служить связующим звеном между иммунной и нервной системой в процессах нейродегенерации.
В нашем исследовании идентифицированы гены семейства TRIM, экспрессия которых изменена в глиальных и нейрональных клетках пациентов с БП по сравнению с клетками здоровых доноров. Нами показано, что эти изменения могут быть разнонаправленными в зависимости от типа клеток. Например, экспрессия TRIM2 и TRIM24 снижена в глии, но повышена в ТДН, полученных от пациентов с БП. Повышение экспрессии TRIM2 в нейронах индуцирует убиквитинзависимую деградацию проапоптотического белка Bim, способствуя нейропротекции при ишемии [40], т. е. может играть защитную роль при БП. Можно предположить, что TRIM24 выполняет похожую функцию в ТДН пациентов с БП, так как в других типах клеток он также способен противодействовать апоптозу [41, 42]. Роль пониженной экспрессии TRIM2 и TRIM24 в глии при БП ясна не до конца и требует дополнительных исследований, однако можно предположить, что это снижение негативно влияет на защитную роль этих генов в НГ.
Экспрессия генов TRIM5 и TRIM22 снижена как в глии, так и в ТДН пациентов с БП. Это, возможно, защищает клетки от гибели, так как есть данные, что TRIM22 способствует апоптозу в нейронах, действуя через путь NF-κB/NLRP3 [43]. Повышение экспрессии TRIM67 в ТДН пациентов с БП может снижать нейровоспаление [44] и, по-видимому, также оказывает защитный эффект. Однако существуют данные, согласно которым повышение уровня TRIM28, наблюдаемое нами в клетках пациента с БП, способствует накоплению и токсичности α-синуклеина и может, видимо, способствовать развитию этого заболевания [45].
Данные о работе генов TRIM в астроцитах и других глиальных клетках практически отсутствуют, однако наиболее выраженные изменения мы наблюдали именно в глиальных культурах. Интересно, что экспрессия множества генов TRIM в глии пациентов с БП была ниже, чем в аналогичных клетках, полученных от здоровых доноров. Анализ опубликованных данных [43, 46–52] выявил указания на то, что угнетение активности ряда генов TRIM, дифференциально экспрессирующихся в нашей работе, оказывает противовоспалительный и противоапоптотический эффект при БП. Так, подавление экспрессии гена TRIM47 может приводить к уменьшению воспаления и процессов апоптоза в мозге животных при анестезии [46] и церебральной ишемии [47]. Снижение экспрессии гена TRIM 34 уменьшает митохондриальную дисфункцию и апоптоз в ряде клеточных линий различного происхождения [48, 49]. Подавление экспрессии TRIM 32 также противодействовало нейрональному апоптозу при стрессе [50] и при ишемии [51], как и подавление экспрессии TRIM22 [43]. Пониженная экспрессия TRIM16 [52] и TRIM22 [43] может приводить к угнетению воспаления.
В то же время, опубликованы данные о том, что подавление экспрессии некоторых генов TRIM в различных тканях, напротив, сопровождается усилением воспалительного ответа (TRIM5 [53], TRIM9 [33], TRIM34 [48, 54], TRIM16 [55], TRIM24 [56], TRIM32 [57], TRIM38 [58], TRIM69 [59]) и апоптоза (TRIM2 [40], TRIM16 [60] и TRIM66 [61]). Значительное повышение экспрессии TRIM6 и TRIM36 в глии пациентов с БП также может быть связано с более активным воспалением или апоптозом. Так, TRIM6 участвует в ROS-опосредованном воспалении в эпителиальных клетках почечных канальцев [62], а TRIM36 способствует каспазозависимому апоптозу при гепатоцеллюлярной карциноме [63].
Таким образом, наблюдаемые нами изменения экспрессии генов TRIM как в ТДН, так и в НГ пациентов с БП, по-видимому, оказывают разнонаправленное влияние на активность процессов, связанных с нейровоспалением и апоптозом.
При индукции воспаления с помощью TNFα в НГ экспрессия многих генов TRIM остается пониженной в клетках пациентов с БП по сравнению с клетками здоровых доноров или еще более снижается. В контексте упомянутых выше данных можно говорить о роли отдельных TRIM в изменении воспалительного ответа в глиальных клеточных линиях, полученных от пациентов с БП, который может оказывать патологическое действие на нейроны, соседствующие с глиальными клетками в мозге.
При индукции воспаления в ТДН наблюдается активация экспрессии большинства рассматриваемых генов как в клетках здоровых людей, так и при БП. Так, активация генов TRIM2, 3 и 67 может быть связана с запуском программ нейропротекции [21, 40, 44]. Однако данные об экспрессии генов TRIM8, 14, 17 и 22 говорят о возможной патологической роли их активации [43, 64–66]. Экспрессия генов TRIM1 и 6 под воздействием TNFα увеличивались в ТДН здоровых доноров, в то время как в аналогичных клетках пациентов с БП этого не происходило, что привлекает дополнительный интерес к этим генам. Согласно опубликованным данным, TRIM1 подавляет токсическое накопление LRRK2, одного из основных белков, участвующих в патогенезе семейной формы БП [67]. Снижение его экспрессии в условиях воспалительной стимуляции может быть решающим у пациентов с этой формой БП. Механизм действия TRIM6 пока не установлен, хотя возможная ассоциация TRIM6 с БП показана ранее [22, 68].
Таким образом, в результате проведенной нами работы идентифицированы гены мультигенного семейства TRIM, дифференциально экспрессирующиеся при БП как в нейрональных клетках, так и в глии. Установлено, что в НГ изменена экспрессия бóльшего числа генов TRIM, чем в ТДН и НП. При этом активность таких генов в глии пациентов с БП преимущественно снижена (TRIM2, 4, 5, 9, 16, 22, 24, 32, 34, 38, 47, 66 и 69) и еще больше снижалась при стимуляции воспаления с помощью TNFα. В ТДН пациентов с БП наблюдается как повышенная (TRIM2, 24, 28 и 67), так и пониженная (TRIM5, 22 и 61) экспрессия представителей семейства TRIM. При индукции воспаления в ТДН активируется экспрессия большинства рассматриваемых генов как у здоровых доноров, так и у пациентов с БП. Выявлены представители семейства TRIM, уровень активности которых по-разному изменяется в соответствующих типах клеток пациентов с БП и здоровых доноров (TRIM1 и 6). В целом, анализ функций генов TRIM, экспрессия которых различалась в клетках здоровых доноров и пациентов с БП, не выявил определенной направленности (активирующей или ингибирующей воспаление и апоптоз). Можно предположить, что снижение экспрессии ряда генов TRIM в глии пациентов с БП изменяет присущий этим клеткам воспалительный ответ, который, в свою очередь, может способствовать нарушениям в работе нейронов и их последующей гибели. Дальнейшее изучение роли белков семейства TRIM в процессах нейродегенерации чрезвычайно актуально для понимания механизмов взаимосвязи между иммунной и нервной системами при развитии БП.
Исследование проведено с использованием оборудования Центра коллективного пользования “Центр клеточных и генных технологий” Национального исследовательского центра “Курчатовский институт”, Москва, Россия.
Выполнение работы поддержано Министерством науки и высшего образования Российской Федерации (№ Электронного бюджета – 075-15-2023-324) (в части получения нейрональных и глиальных производных). В части определения экспрессии генов TRIM работа проведена в рамках выполнения государственного задания НИЦ “Курчатовский институт”.
Настоящая статья не содержит описания каких-либо исследований с участием людей или животных в качестве объектов. Описание клеточных линий, полученных от людей с их информированного согласия, приведено в статьях, где они впервые упоминаются.
Авторы заявляют об отсутствии конфликта интересов.
About the authors
V. V. Nenasheva
Kurchatov Institute
Email: katishsha@mail.ru
Russian Federation, Moscow, 123182
Е. V. Novosadova
Kurchatov Institute
Email: katishsha@mail.ru
Russian Federation, Moscow, 123182
T. P. Gerasimova
Lopukhin Federal Research and Clinical Center of Physical Chemical Medicine of the Federal Medical and Biological Agency of the Russian Federation
Email: katishsha@mail.ru
Russian Federation, Moscow, 119435
L. V. Novosadova
Kurchatov Institute
Email: katishsha@mail.ru
Russian Federation, Moscow, 123182
A. Yu. Kotok
Kurchatov Institute
Email: katishsha@mail.ru
Russian Federation, Moscow, 123182
E. L. Arsenyeva
Kurchatov Institute
Email: katishsha@mail.ru
Russian Federation, Moscow, 123182
Е. А. Stepanenko
Kurchatov Institute
Author for correspondence.
Email: katishsha@mail.ru
Russian Federation, Moscow, 123182
I. А. Grivennikov
Kurchatov Institute
Email: katishsha@mail.ru
Russian Federation, Moscow, 123182
V. Z. Tarantul
Kurchatov Institute
Email: katishsha@mail.ru
Russian Federation, Moscow, 123182
References
- Ejlerskov P., Hultberg J.G., Wang J., Carlsson R., Ambjørn M., Kuss M., Liu Y., Porcu G., Kolkova K., Friis Rundsten C., Ruscher K., Pakkenberg B., Goldmann T., Loreth D., Prinz M., Rubinsztein D.C., Issazadeh-Navikas S. (2015) Lack of Neuronal IFN-β-IFNAR сauses Lewy body- and Parkinson’s disease-like dementia. Cell. 163, 324–339.
- Zeng X.S., Geng W.S., Jia J.J., Chen L., Zhang P.P. (2018) Cellular and molecular basis of neurodegeneration in Parkinson disease. Front. Aging Neurosci. 10, 109.
- Милюхина И.В., Карпенко М.Н., Тимофеева А.А., Клименко В.М., Скоромец А.А. (2013) Роль воспаления в патогенезе болезни Паркинсона. Неврологический журнал. 18, 51–55.
- Richards R.I., Robertson S.A., O’Keefe L.V., Fornarino D., Scott A., Lardelli M., Baune B.T. (2016) The enemy within: innate surveillance-mediated cell death, the common mechanism of neurodegenerative disease. Front. Neurosci.10, 193.
- Dias-Carvalho A., Sá S.I., Carvalho F., Fernandes E., Costa V.M. (2024) Inflammation as common link to progressive neurological diseases. Arch. Toxicol. 98, 95–119.
- vanTol S., Hage A., Giraldo M.I., Bharaj P., Rajsbaum R. (2017) The TRIMendous role of TRIMs in virus-host interactions. Vaccines (Basel). 5, pii: E23.
- Khan R., Khan A., Ali A., Idrees M. (2019) The interplay between viruses and TRIM family proteins. Rev. Med. Virol. 2019, e2028.
- Nenasheva V.V., Tarantul V.Z. (2020) Many faces of TRIM proteins on the road from pluripotency to neurogenesis. Stem Cells Dev. 29, 1–14.
- Reymond A., Meroni G., Fantozzi A., Merla G., Cairo S., Luzi L., Riganelli D., Zanaria E., Messali S., Cainarca S., Guffanti A., Minucci S., Pelicci P.G., Ballabio A. (2001) The tripartite motif family identifies cell compartments. EMBO J. 20, 2140–2151.
- Watanabe M., Hatakeyama S. (2017) TRIM proteins and diseases. J. Biochem. 161, 135–144.
- Stepanenko E., Bondareva N., Sheremet A., Fedina E., Tikhomirov A., Gerasimova T., Poberezhniy D., Makarova I., Tarantul V., Zigangirova N., Nenasheva V. (2023) Identification of key TRIM genes involved in response to Pseudomonas aeruginosa or Chlamydia spp. Infections in human cell lines and in mouse organs. Int. J. Mol. Sci. 24, 13290.
- Deng N.H., Zhou Z.X., Liu H.T., Tian Z., Wu Z.F., Liu X.Y., Xiong W.H., Wang Z., Jiang Z.S. (2022) TRIMs: generalists regulating the NLRP3 inflammasome signaling pathway. DNA Cell Biol. 41, 262–275.
- Hatakeyama S. (2017) TRIM family proteins: roles in autophagy, immunity, and carcinogenesis. Trends Biochem. Sci. 42, 297–311.
- Tarantul V.Z. (2018) Many faces of TRIM family proteins on the field of oncoimmunology. Universal J. Oncol. 1, 1–37.
- Park Y.H., Pyun J.M., Hodges A., Jang J.W., Bice P.J., Kim S., Saykin A.J., Nho K; AddNeuroMed consortium and the Alzheimer’s Disease Neuroimaging Initiative. (2021) Dysregulated expression levels of APH1B in peripheral blood are associated with brain atrophy and amyloid-β deposition in Alzheimer’s disease. Alzheimers Res. Ther. 13, 183.
- Heo H., Park H., Lee M.S., Kim J., Kim J., Jung S.Y., Kim S.K., Lee S., Chang J. (2023) TRIM22 facilitates autophagosome-lysosome fusion by mediating the association of GABARAPs and PLEKHM1. Autophagy. 27, 1–16.
- Logue M.W., Lancour D., Farrell J., Simkina I., Fallin M.D., Lunetta K.L., Farrer L.A. (2018) Targeted sequencing of Alzheimer disease genes in African Americans implicates novel risk variants. Front. Neurosci. 12, 592.
- Tanji K., Kamitani T., Mori F., Kakita A., Takahashi H., Wakabayashi K. (2010) TRIM9, a novel brain-specific E3 ubiquitin ligase, is repressed in the brain of Parkinson’s disease and dementia with Lewy bodies. Neurobiol. Dis. 38, 210–218.
- Liu Y., Zhu M., Lin L., Fan X., Piao Z., Jiang X. (2014) Deficiency of TRIM27 protects dopaminergic neurons from apoptosis in the neurotoxin model of Parkinson’s disease. Brain Res. 1588, 17–24.
- Dong W., Qiu C., Gong D., Jiang X., Liu W., Liu W., Zhang L., Zhang W. (2019) Proteomics and bioinformatics approaches for the identification of plasma biomarkers to detect Parkinson’s disease. Exp. Ther. Med. 18, 2833–2842.
- Dong W., Luo B., Qiu C., Jiang X., Shen B., Zhang L., Liu W., Zhang W. (2020) TRIM3 attenuates apoptosis in Parkinson’s disease via activating PI3K/AKT signal pathway. Aging (Albany NY). 13, 735–749.
- Nenasheva V.V., Novosadova E.V., Makarova I.V., Lebedeva O.S., Grefenshtein M.A., Arsenyeva E.L., Antonov S.A., Grivennikov I.A., Tarantul V. Z. (2017) The transcriptional changes of TRIM genes associated with Parkinson’s disease on a model of human induced pluripotent stem cells. Mol. Neurobiol. 54, 7204–7211.
- Feyeux M., Bourgois-Rocha F., Redfern A., Giles P., Lefort N., Aubert S., Bonnefond C., Bugi A., Ruiz M., Deglon N., Jones L., Peschanski M., Allen N. D., Perrier A. L. (2012) Early transcriptional changes linked to naturally occurring Huntington’s disease mutations in neural derivatives of human embryonic stem cells. Hum. Mol. Genet. 21, 3883–3895.
- Heinz A., Schilling J., van Roon-Mom W., Krauß S. (2021) The MID1 protein: a promising therapeutic target in Huntington’s disease. Front Genet. 12, 761714.
- Лебедева О.С., Лагарькова М.А. (2018) Плюрипотентные стволовые клетки для моделирования и клеточной терапии болезни Паркинсона. Биохимия. 83, 1318–1330.
- Beevers J.E., Caffrey T.M., Wade-Martins R. (2013) Induced pluripotent stem cell (iPSC)-derived dopaminergic models of Parkinson’s disease. Biochem. Soc. Trans. 41, 1503–1508.
- Novosadova E., Anufrieva K., Kazantseva E., Arsenyeva E., Fedoseyeva V., Stepanenko E., Poberezhniy D., Illarioshkin S., Novosadova L., Gerasimova T., Nenasheva V., Grivennikov I., Lagarkova M., Tarantul V. (2022) Transcriptome datasets of neural progenitors and neurons differentiated from induced pluripotent stem cells of healthy donors and Parkinson’s disease patients with mutations in the PARK2 gene. Data Brief. 41, 107958.
- Novosadova E.V., Arsenyva E.L., Antonov S.A., Kazantseva E.A., Novosadova L.V., Kurko O.D., Illarioshkin S.N., Tarantul V.Z., Grivennikov I.A. (2020) Generation and characteristics of glial cells from induced human pluripotent stem cells. Neurochem. 37, 358–367.
- Gerasimova T., Stepanenko E., Novosadova L., Arsenyeva E., Shimchenko D., Tarantul V., Grivennikov I., Nenasheva V., Novosadova E. (2023) Glial сultures differentiated from iPSCs of patients with PARK2-associated Parkinson’s disease demonstrate a pro-inflammatory shift and reduced response to TNFα stimulation. Int. J. Mol. Sci. 24, 2000.
- Subramanian V.S., Teafatiller T., Agrawal A., Kitazawa M., Marchant J.S. (2021) Effect of lipopolysaccharide and TNFα on neuronal ascorbic acid uptake. Mediators Inflamm. 2021, 4157132.
- Livak K., Schmittgen T. (2001) Analysis of relative gene expression data using real-time quantitative PCR and the 2(–Delta Delta C(T)) method. Methods (San-Diego (Calif)). 25, 402–408.
- Dudley-Fraser J., Rittinger K. (2023) It’s a TRIM-endous view from the top: the varied roles of TRIpartite Motif proteins in brain development and disease. Front. Mol. Neurosci. 16, 1287257.
- Zeng J., Wang Y., Luo Z., Chang L.C., Yoo J.S., Yan H., Choi Y., Xie X., Deverman B.E., Gradinaru V., Gupton S.L., Zlokovic B.V., Zhao Z., Jung J.U. (2019) TRIM9-mediated resolution of neuroinflammation confers neuroprotection upon ischemic stroke in mice. Cell. Rep. 27, 549–560.e6.
- Shi M., Cho H., Inn K.S., Yang A., Zhao Z., Liang Q., Versteeg G.A., Amini-Bavil-Olyaee S., Wong L.Y., Zlokovic B.V., Park H.S., García-Sastre A., Jung J.U. (2014) Negative regulation of NF-κB activity by brain-specific TRIpartite Motif protein 9. Nat. Commun. 5, 4820.
- Giovannoni F., Quintana F. J. (2020) The role of astrocytes in CNS inflammation. Trends Immunol. 41, 805–819.
- Marogianni C., Sokratous M., Dardiotis E., Hadjigeorgiou G.M., Bogdanos D., Xiromerisiou G. (2020) Neurodegeneration and Inflammation-an interesting interplay in Parkinson’s disease. Int. J. Mol. Sci. 21, 8421.
- Neal M., Richardson J.R. (2018) Epigenetic regulation of astrocyte function in neuroinflammation and neurodegeneration. Biochim. Biophys. Acta Mol. Basis Dis. 1864, 432–443.
- Brooker S.M., Naylor G.E., Krainc D. (2024) Cell biology of Parkinson’s disease: mechanisms of synaptic, lysosomal, and mitochondrial dysfunction. Curr. Opin. Neurobiol. 85, 102841. https://doi.org/10.1016/j.conb.2024.102841
- Yang Y., Jiang G., Zhang P., Fan J. (2015) Programmed cell death and its role in inflammation. Mil. Med. Res. 2, 12.
- Thompson S., Pearson A.N., Ashley M.D., Jessick V., Murphy B.M., Gafken P., Henshall D.C., Morris K.T., Simon R.P., Meller R. (2011) Identification of a novel Bcl-2-interacting mediator of cell death (Bim) E3 ligase, tripartite motif-containing protein 2 (TRIM2), and its role in rapid ischemic tolerance-induced neuroprotection. J. Biol. Chem. 286, 19331–19339.
- Wang P., Shen N., Liu D., Ning X., Wu D., Huang X. (2018) TRIM24 siRNA induced cell apoptosis and reduced cell viability in human nasopharyngeal carcinoma cells. Mol. Med. Rep. 18, 369–376.
- Li C., Xin H., Shi Y., Mu J. (2020) Knockdown of TRIM24 suppresses growth and induces apoptosis in acute myeloid leukemia through downregulation of Wnt/GSK-3β/β-catenin signaling. Hum. Exp. Toxicol. 39, 1725–1736.
- Kang C., Lu Z., Zhu G., Chen Y., Wu Y. (2021) Knockdown of TRIM22 relieves oxygen-glucose deprivation/reoxygenation-induced apoptosis and inflammation through inhibition of NF-κB/NLRP3 axis. Cell. Mol. Neurobiol. 41, 341–351.
- Yu Y., Xia Q., Zhan G., Gao S., Han T., Mao M., Li X., Wang Y. (2023) TRIM67 alleviates cerebral ischemia‒reperfusion injury by protecting neurons and inhibiting neuroinflammation via targeting IκBα for K63-linked polyubiquitination. Cell Biosci. 13, 99.
- Rousseaux M.W., de Haro M., Lasagna-Reeves C.A., De Maio A., Park J., Jafar-Nejad P., Al-Ramahi I., Sharma A., See L., Lu N., Vilanova-Velez L., Klisch T.J., Westbrook T.F., Troncoso J.C., Botas J., Zoghbi H.Y. (2016) TRIM28 regulates the nuclear accumulation and toxicity of both alpha-synuclein and tau. Elife. 5, e19809.
- Zhu Y., Zhang M., Wang J., Wang Q. (2023) Knocking down TRIM47 ameliorated sevoflurane-induced neuronal cell injury and cognitive impairment in rats. Exp. Brain Res. 241, 1437–1446.
- Hao M.Q., Xie L.J., Leng W., Xue R.W. (2019) TRIM47 is a critical regulator of cerebral ischemia-reperfusion injury through regulating apoptosis and inflammation. Biochem. Biophys. Res. Commun. 515, 651–657.
- Zhang P., Chen Z., Li J., Mao H., Hu Y. (2024) TRIM34 suppresses non-small-cell lung carcinoma via inducing mTORC1-dependent glucose utilization and promoting cellular death. Arch. Biochem. Biophys. 754, 109925.
- An X., Ji B., Sun D. (2020) TRIM34 localizes to the mitochondria and mediates apoptosis through the mitochondrial pathway in HEK293T cells. Heliyon. 6, e03115.
- Goyani S., Shinde A., Shukla S., Saranga M.V., Currim F., Mane M., Singh J., Roy M., Gohel D., Chandak N., Vasiyani H., Singh R. (2024) Enhanced translocation of TRIM32 to mitochondria sensitizes dopaminergic neuronal cells to apoptosis during stress conditions in Parkinson’s disease. FEBS J. 291(12), 2636–2655. https://doi.org/10.1111/febs.17065
- Wei L., Zhang J.S., Ji S.F., Xu H., Zhao Z.H., Zhang L., Pang L., Zhang J.F., Yang P.B., Ma H. (2019) Knockdown of TRIM32 protects hippocampal neurons from oxygen-glucose deprivation-induced injury. Neurochem. Res. 44, 2182–2189.
- Munding C., Keller M., Niklaus G., Papin S., Tschopp J., Werner S., Beer H.D. (2006) The estrogen-responsive B box protein: a novel enhancer of interleukin-1beta secretion. Cell Death Differ. 13, 1938–1949.
- Saha B., Mandell M.A. (2023) The retroviral restriction factor TRIM5/TRIM5α regulates mitochondrial quality control. Autophagy. 19, 372–373.
- Lian Q., Yan S., Yin Q., Yan C., Zheng W., Gu W., Zhao X., Fan W., Li X., Ma L., Ling Z., Zhang Y., Liu J., Li J., Sun B. (2021) TRIM34 attenuates colon inflammation and tumorigenesis by sustaining barrier integrity. Cell. Mol. Immunol. 18, 350–362.
- Shi M., Su F., Dong Z., Shi Y., Tian X., Cui Z., Li J. (2022) TRIM16 exerts protective function on myocardial ischemia/reperfusion injury through reducing pyroptosis and inflammation via NLRP3 signaling. Biochem. Biophys. Res. Commun. 632, 122–128.
- Hang Y., Tan L., Chen Q., Liu Q., Jin Y. (2021) E3 ubiquitin ligase TRIM24 deficiency promotes NLRP3/caspase-1/IL-1β-mediated pyroptosis in endometriosis. Cell. Biol. Int. 45, 1561–1570.
- Fu Q., Zou M.M., Zhu J.W., Zhang Y., Chen W.J., Cheng M., Liu C.F., Ma Q.H., Xu R.X. (2017) TRIM32 affects the recovery of motor function following spinal cord injury through regulating proliferation of glia. Oncotarget. 8, 45380–45390.
- Lu Z., Deng M., Ma G., Chen L. (2022) TRIM38 protects H9c2 cells from hypoxia/reoxygenation injury via the TRAF6/TAK1/NF-κB signalling pathway. Peer J. 10, e13815.
- Li L.J., Zheng J.C., Kang R., Yan J.Q. (2019) Targeting TRIM69 alleviates high fat diet (HFD)-induced hippocampal injury in mice by inhibiting apoptosis and inflammation through ASK1 inactivation. Biochem. Biophys. Res. Commun. 515, 658–664.
- Xing H., Xu P., Ma Y., Li T., Zhang Y., Ding X., Liu L., Keerman M., Niu Q. (2024) TFEB ameliorates DEHP-induced neurotoxicity by activating GAL3/TRIM16 axis dependent lysophagy and alleviating lysosomal dysfunction. Environ. Toxicol. 39(7), 3779–3789. https://doi.org/10.1002/tox.24221
- Zhang H., Zheng Y., Zhang Y. (2021) Knockdown of TRIM66 in MDA-MB-468 triple negative breast cancer cell line suppresses proliferation and promotes apoptosis through EGFR signaling. Pol. J. Pathol. 72, 160–166.
- Liao L., Tao P., Xu Q., Chen W., Chen J., Liu W., Liu W., Hu J., Lu J. (2024) TRIM6 promotes ROS-mediated inflammasome activation and pyroptosis in renal tubular epithelial cells via ubiquitination and degradation of GPX3 protein. Front. Biosci. (Landmark Ed). 29, 58.
- Tong Q., Yi M., Kong P., Xu L., Huang W., Niu Y., Gan X., Zhan H., Tian R., Yan D. (2022) TRIM36 inhibits tumorigenesis through the Wnt/β-catenin pathway and promotes caspase-dependent apoptosis in hepatocellular carcinoma. Cancer Cell Int. 22, 278.
- Zhao W., Zhang X., Chen Y., Shao Y., Feng Y. (2020) Downregulation of TRIM8 protects neurons from oxygen-glucose deprivation/re-oxygenation-induced injury through reinforcement of the AMPK/Nrf2/ARE antioxidant signaling pathway. Brain Res. 1728, 146590.
- Xie X., Wang F., Li X. (2022) Inhibition of TRIM14 protects cerebral ischemia/reperfusion injury through regulating NF-κB/NLRP3 pathway-mediated inflammation and apoptosis. J. Recept. Signal. Transduct. Res. 42, 197–205.
- Mojsa B., Mora S., Bossowski J.P., Lassot I., Desagher S. (2015) Control of neuronal apoptosis by reciprocal regulation of NFATc3 and TRIM17. Cell Death Differ. 22, 274–286.
- Stormo A.E.D., Shavarebi F., FitzGibbon M., Earley E.M., Ahrendt H., Lum L.S., Verschueren E., Swaney D.L., Skibinski G., Ravisankar A., van Haren J., Davis E.J., Johnson J.R., Von Dollen J., Balen C., Porath J., Crosio C., Mirescu C., Iaccarino C., Dauer W.T., Nichols R.J., Wittmann T., Cox T.C., Finkbeiner S., Krogan N.J., Oakes S.A., Hiniker A. (2022) The E3 ligase TRIM1 ubiquitinates LRRK2 and controls its localization, degradation, and toxicity. J. Cell Biol. 221, e202010065.
- Kaut O., Schmitt I., Tost J., Busato F., Liu Y., Hofmann P., Witt S.H., Rietschel M., Fröhlich H., Wüllner U. (2017) Epigenome-wide DNA methylation analysis in siblings and monozygotic twins discordant for sporadic Parkinson’s disease revealed different epigenetic patterns in peripheral blood mononuclear cells. Neurogenetics. 18, 7–22.
Supplementary files





