Marine fungi: in search of new antibacterial drugs
- Authors: Yurchenko E.A.1, Chingizova E.A.1, Aminin D.L.1, Yurchenko A.N.1
-
Affiliations:
- G.B. Elyakov Pacific Institute of Bioorganic Chemistry, Far East Branch, Russian Academy of Sciences
- Issue: Vol 59, No 1 (2025)
- Pages: 43-59
- Section: ОБЗОРЫ
- URL: https://medbiosci.ru/0026-8984/article/view/294643
- DOI: https://doi.org/10.31857/S0026898425010041
- EDN: https://elibrary.ru/HDESIP
- ID: 294643
Cite item
Abstract
The review deals with studies of antibacterial secondary metabolites of marine micromycete fungi as an element of a modern strategy for the search for new antibiotics. More than half of the drugs currently used in practice have been isolated from bacteria (Bacteria) and actinomycetes (Actinomycetes), however, the first antimicrobial compounds were isolated from mycelial fungi (Ascomycetes), and it is obvious that their potential has not been exhausted. Marine fungi occupy a separate niche due to the peculiarities of their habitats, which also affect their production of low molecular weight compounds. This paper provides information on the secondary metabolites of marine fungi acting against those bacterial targets aimed by the modern search for new antibiotics and discusses a strategy for investigating the antibacterial activity of marine fungal metabolites.
Keywords
Full Text
Введение
На 68-й сессии Всемирной ассамблеи здравоохранения в мае 2015 года был принят “Глобальный план действий по борьбе с устойчивостью к противомикробным препаратам” (https://www.who.int/publications/i/item/9789241509763), для поддержки которого была утверждена “Стратегия предупреждения распространения антимикробной резистентности в Российской Федерации на период до 2030 года” (http://publication.pravo.gov.ru/Document/View/0001201710030067). Эта стратегия предполагает изучение механизмов возникновения устойчивости патогенных микроорганизмов к антибиотикам и системный мониторинг ее распространения; совершенствование мер по предупреждению и ограничению распространения и циркуляции возбудителей, резистентных к противомикробным средствам; а также разработку противомикробных препаратов и альтернативных методов, технологий и средств профилактики, диагностики и лечения инфекционных заболеваний человека, животных и растений.
Исторически первыми веществами, обладающими антибактериальной активностью, были именно природные соединения, роль которых в разработке противомикробных препаратов и альтернативных технологий остается значимой и в настоящее время, несмотря на успехи медицинской химии и направленного органического синтеза. Так, по данным на декабрь 2018 года, в клинических испытаниях в США участвовали 45 соединений, 27 из которых имели природное происхождение (https://www. pewtrusts. org/en/research-and-analysis/data-visualizations/2014/antibiotics-currently-in-clinical-development). Согласно обзору, опубликованному в 2023 году, к декабрю 2022 года в первой фазе клинических испытаний участвовали 26 соединений, шесть из них природного происхождения, во второй фазе — 25, из которых также шесть природных, в третьей фазе — 11, из них четыре природных [1]. Первые природные антибиотики были выделены из грибов еще в конце 19 века — в 1893 году Bartolomeo Gosio обнаружил и выделил микофеноловую кислоту (1) (рис. 1) из гриба Penicillium brevicompactum, который подавлял рост Bacillus anthracis [2]. В настоящее время микофеноловая кислота используется в производстве микофенолата мофетила, продаваемого под различными торговыми названиями, применяемого для предотвращения отторжения трансплантата, однако первым выделенным в чистом виде природным антибиотиком был именно этот вторичный метаболит грибов-микромицетов [3].
Рис. 1. Структура микофеноловой кислоты.
В дальнейшем β-лактамные антибиотики пенициллин и цефалоспорин С получили из микромицелиальных грибов Penicillium rubens и Acremonium chrysogenum, а из наземного гриба базидиомицета Clitopilus passeckerianus выделили плевромутилины (первым из которых стал лефамулин). Однако более половины применяемых в настоящее время антибактериальных препаратов получены из соединений, выделенных из мицелиальных актиномицетов и других бактерий [4]. Тем не менее, в силу особенностей взаимоотношений между грибами и бактериями в микробных сообществах [5], где почти всегда преобладают бактерии, мицелиальные грибы (как наземных, так и морских местообитаний) продолжают рассматриваться как источник индивидуальных соединений с антибактериальной активностью. В связи с этим цель данного обзора — оценить достижения и перспективы поиска новых антибактериальных средств среди морских мицелиальных грибов. Авторы не включают в обзор противоопухолевые антибиотики и соединения с антимикотическим действием, поскольку это бы значительно увеличило объем.
Морские грибы как продуценты антибактериальных соединений
Вторичные низкомолекулярные метаболиты играют важную роль в адаптации грибов-продуцентов к условиям обитания, поскольку являются конечным звеном в цепи реакции на воздействие биотических и абиотических факторов [6]. Интерес к изучению вторичных метаболитов грибов появился еще в конце 1980-х годов. Согласно базе данных Natural Products Atlas (https://www.npatlas.org), первая волна интенсификации исследований метаболитов грибов всех местообитаний наблюдалась в 2012–2015 гг., а следующая — в 2017–2020 гг. [7], при этом произошло удвоение количества ежегодно публикуемых соединений — от 655 в 2011 г. до 1236 в 2020 г. Количество новых соединений, отвечающих критерию максимального показателя схожести <0.5 (Dice similarity, Morgan fingerprinting with radius 2), колебалось от 22 в 2020 г. до 53 в 2018 г. Анализ сведений о 55817 соединениях, выделенных из морских и наземных микроорганизмов [8], показал, что 14.3% соединений из морских микроорганизмов являются уникальными, и этот показатель увеличивается, когда речь заходит о грибах Ascomycota, из морских изолятов которых выделена почти четверть новых соединений (23%). Также авторы этой работы сделали вывод, что на вероятность обнаружения уникальных соединений в меньшей степени влияют глубина и географическое расположение места сбора микроорганизмов, а в большей — выбор морских специфических и малоизученных видов [8].
Периодически возникают дискуссии о том, какие именно грибы правильно считать морскими. Одно из предложенных широких определений предполагает, что морской гриб — это любой гриб, который неоднократно извлекается из морской среды, потому что: 1) способен расти и/или образовывать споры (на субстратах) в морской среде; 2) формирует симбиотические отношения с другими морскими организмами; или 3) доказано, что он адаптируется и эволюционирует на генетическом уровне или метаболически активен в морской среде [9]. Существует мнение, что в соответствии с этими критериями грибы, ассоциированные с мангровыми растениями (произрастающими на морском побережье и испытывающими действие приливов и отливов), не относятся к истинно морским, однако этот вопрос долгое время остается предметом для дискуссий, и в большинстве обзоров, посвященных метаболитам морских грибов, описываются и метаболиты грибов, ассоциированных с манграми. В середине 20 века исследование вторичных метаболитов морских грибов было ограничено методами выделения штаммов и их лабораторного культивирования, однако с 1980-х годов началось активное изучение этих соединений. В 2019 году метаболиты морских грибов составили почти половину от всех описанных новых морских природных соединений, тогда как в 2015 году их было выделено в 2 раза меньше (хотя все равно больше, чем из любых других морских объектов) [10].
Значительная часть вторичных метаболитов морских грибов обладает противовоспалительной [11] или противоопухолевой [12] активностью, однако наибольший интерес вызывает их антимикробное действие. За период с 1998 по 2019 гг. из морских грибов различного происхождения было выделено 207 новых соединений, оказывающих антибактериальное действие [13]. Интенсификацию исследований в этой области можно проследить на примере грибов, выделенных из морских донных осадков: за десятилетний период с 2005 по 2015 гг. описано всего 346 соединений, из которых 24 обладали антимикробной активностью [14–17], за последовавший пятилетний период (2016–2020 годы) описано 246 соединений, и у 57 из них выявили антибактериальную активность [18]. Среди новых вторичных метаболитов морских грибов с антимикробным действием, выделенных с 1998 по 2019 гг., преобладали поликетиды (81.2%), терпеноиды и стероиды составили 11.4%, а азотсодержащие и галогенсодержащие соединения — 33.4 и 4.8% соответственно [19]. С 1991 по 2023 гг. из морских грибов выделено 336 как циклических, так и линейных пептидов, и около 70 из них показали антибактериальную активность [20]. Известно о более 100 макролидах морских грибов [21], некоторые из них обладают антибактериальной активностью [22]. Также c 2015 по 2020 годы описано 35 новых антимикробных алкалоидов [23]. Однако более строгий анализ [24] позволяет сделать вывод, что только 108 соединений, выделенных из морских грибов, можно считать перспективными — и ни одно из них не изучено достаточно, чтобы перейти к клиническим испытаниям.
Вторичные метаболиты морских грибов с антимикробным действием
К началу 2024 года на российском рынке было зарегистрировано 138 международных непатентованных наименований и 540 торговых наименований антибиотиков, в том числе комбинированных [25], которые с точки зрения их химической структуры являются β-лактамами, макролидами, тетрациклинами, аминогликозидами, сульфонамидами, хинолонами, пептидами и другими. По механизму действия их можно разделить на ингибиторы синтеза клеточной стенки, функций мембранных структур, синтеза белков на рибосомах, функций нуклеиновых кислот, а также на ингибиторы микробного метаболизма [26]. Ниже приведены примеры лекарственных препаратов, относящихся к той или иной группе, и некоторых вторичных метаболитов морских грибов, проявляющих активность в отношении тех же мишеней, что и указанные лекарственные препараты.
Влияние на синтез клеточной стенки бактерий
Синтез клеточной стенки бактерий ингибируют пенициллины (пенициллин, ампициллин, оксациллин), цефалоспорины (цефазолин, цефотаксим, цефтриаксон, цефепим), карбапенемы (имипенем), гликопептиды (ванкомицин, тейкопланин) [27], низин, моеномицин.
Пенициллин F (2) (рис. 2) был выделен из культуры гриба Penicillium notatum Александром Флемингом в 1928 году, и совсем скоро человечество будет отмечать столетие этого величайшего открытия. β-Лактамное кольцо определяет антибактериальную биологическую активность не только пенициллинов, но и других клинически важных соединений, составляющих семейство β-лактамных антибиотиков [28]. К структурным подклассам этого семейства относятся цефалоспорины, цефамицины, клавулановая кислота, нокардицины, монобактамы и карбапенемы. Важным событием в истории β-лактамов стало выделение Giuseppe Brotzu в 1945 году синтезирующего цефалоспорин C (3) (см. рис. 2) гриба Cephalosporium acremonium в Кальяри (Сардиния, Средиземное море) [28], однако последующие подсемейства β-лактамов представляют собой вторичные метаболиты наземных бактерий. Анализ геномной ДНК морского гриба Kallichroma tethys, проведенный в 2003 г., выявил два гена — pcbAB и pcbC, кодирующих белки, гомологичные ферментам биосинтеза пенициллина, однако выделить из культуры гриба соединения пенициллинового ряда не удалось [29].
Рис. 2. Структуры β-лактамных метаболитов грибов.
Энниатины — низкомолекулярные циклогексапептиды, способные разрушать клеточную стенку бактерий за счет ионофорного действия, впервые были выделены из грибов рода Fusarium, ассоциированных с различными источниками, в том числе с морскими водорослями, а позже из грибов родов Verticillium и Halosarpheia [30]. К настоящему времени известно около 30 соединений этой группы, которые состоят из трех N-метилированных аминокислотных остатков, обычно валина, лейцина и изолейцина, и трех остатков гидроксикислоты, преимущественно гидроксиизовалериановой [31]. Препарат фузафунгин, состоящий из комплекса энниатинов, активно применяли для лечения инфекций верхних дыхательных путей (в России фузафунгин известен как спрей “Биопарокс”), но в 2016 г. он был запрещен Европейским медицинским агентством, поскольку в ряде случаев вызывал такие сильные аллергические реакции, как бронхоспазм [4]. Однако недавно было показано, что энниатин В (4) (рис. 3) способен ингибировать образование биопленок Candida albicans [32], что открывает новые возможности для его терапевтического использования.
Рис. 3. Структуры пептидных метаболитов морских грибов.
Влияние на функции мембранных структур
На функционирование мембранных структур оказывают влияние липопептидные антибиотики (даптомицин и полимиксины) [26]. Липопептиды, продуцируемые грибами, могут быть разделены на такие структурные группы, как циклические депсипептиды, пептаибиотики (пептаиболы, липоаминопептиды и липопептаиболы), недепсипептидные циклические липопептиды и непептаибольные линейные липопептиды [33]. Циклогексадепсипептиды группы исаридинов, например дезметилисаридин С1 (5) (см. рис. 3), показавшие антибактериальную активность, были выделены из морского штамма Beauveria felina EN-135 [34]. Циклический пентадепсипептид выделен из морского гриба Alternaria sp. SF-5016 [35], а ряд пептаиболов, например трихорзианин 1938 (6) (см. рис. 3), — из морского гриба Trichoderma atroviride (NF16) [36]. Всего к настоящему времени описано более 200 соединений этого класса, однако известно только, что они могут влиять на рост тестовых штаммов бактерий, тогда как их влияние на функционирование мембран не изучалось.
Ингибирование синтеза белка на рибосомах
Подавление рибосомного синтеза белка является основным механизмом действия аминогликозидных антибиотиков (среди которых гентамицин, тобрамицин, стрептомицин, канамицин), тетрациклинов (тетрациклина, доксициклина), макролидов (эритромицина, азитромицина), стрептограминов (среди которых пристинамицин, далфопристин, квинипристин), амфениколов (хлорамфеникола) [27], а также оксазолидинонов (тедизолида, линезолида), плевромутилинов (лефамулина, ретапамулина), линкозамидов (линкомицина, клиндамицина) и тиострептона [26].
Фузидовая (фузидиевая) кислота (7) — тритерпеноид фузиданового типа (рис. 4), выделенный из гриба Acremonium fusidioides. Это соединение было открыто в начале 1960-х годов сотрудниками компании “Leo Pharma” (Германия) в ходе тестирования штаммов из Centraalbureau voor Schimmelcultures, а сам штамм-продуцент японский миколог Keisuke Tubaki получил из экскрементов дикой обезьяны [37]. Установлено, что фузидовая кислота влияет на синтез белка, ингибируя диссоциацию фактора элонгации G от рибосомы. После череды жалоб ирландских шахтеров на побочные эффекты фузидовую кислоту “вывели из эксплуатации”, но в начале 2000-х годов ряд исследований, в первую очередь, работа Falagas M.E. и соавт. [38], вызвали новую волну внимания к ней. В настоящее время фузидовую кислоту в промышленности выделяют из культуральной жидкости гриба Fusidium coccineum и выпускают в различных лекарственных формах. Этот антибиотик продуцируют также некоторые другие штаммы грибов, в том числе морской гриб Stilbella aciculosa KMM 4500 [39].
Рис. 4. Структуры тритерпеновых метаболитов морских грибов.
Другими известными стероидными антибиотиками являются хельволовая кислота (8), цефалоспорин P1 и виридиан [37], однако только фузидовая кислота в настоящее время доступна в виде коммерческого препарата. Хельволовая кислота (8) (см. рис. 4) как антибиотик известна с 1943 г., когда ее выделили из культуры гриба Aspergillus fumigatus, mut. helvola Yuill [40]. Этот тритерпеноид фузиданового типа выделяют в основном из различных штаммов гриба A. fumigatus и считают одним из факторов его вирулентности [41]. Из морского гриба A. fumigatus HNMF0047 выделен ряд новых производных хельволовой кислоты, которые показали более выраженную активность в отношении Streptococcus agalactiae, чем антибиотик тобрамицин [42].
Первый представитель антибиотиков класса плевромутилинов — дитерпеновых соединений, содержащих в своей структуре уникальный 5/6/8-трициклический скелет, выделен из наземного базидиомицета Clitopilus passeckerianus [43]. Для микромицетов, включая морских, продукция подобных дитерпеноидов не характерна [44], однако эти организмы синтезируют другие разнообразные дитерпены.
Оксазолидиноны являются относительно новым классом антибиотиков, первый представитель которого, линезолид, разрешен к применению с 2000 года, а второй — тедозолид — с 2014 г. Эти 2-оксазолидиноны получены как синтетические [45], однако соединения, содержащие оксазалидиноновые фрагменты в структуре, продуцируются морскими губками [46, 47], некоторыми наземными растениями [48, 49], а также стрептомицетами [50] и цианобактериями [51]. Среди метаболитов морских грибов наиболее близкими по структуре являются 2,4-пирролидиндионовый алкалоид харзиановая кислота (9) [52] и ее производные. Показано, что харизановая кислота (рис. 5) действует на мембрану клеток Staphylococcus pseudintermedius [53], возможно, за счет способности связывать ионы кальция и таким образом влиять на кальциевый сигналинг [54], но ее влияние на синтез белка на рибосомах не изучалось.
Рис. 5. Структуры харзиановой кислоты и некоторых грибных 6/6/5-трициклических поликетидов.
Хлороциклопентандиенилбензопирон кониотирион (10) (см. рис. 5), способный ингибировать рибосомный белок S4 и тем самым останавливать трансляцию, выделен из наземного гриба Coniothyrium cerealis [55], а затем и из морского штамма Neosetophoma samarorum [56]. Из морского гриба Asteromyces cruciatus выделен близкий по структуре акруцихинон С (11) (см. рис. 5), а также кониотириноны В и D, обладающие антибактериальной активностью, но сведений о влиянии этих соединений на рибосомный синтез белка пока нет [57].
Ингибирование синтеза ДНК и РНК
Исследование механизма репликации у бактерий позволило выявить некоторые аспекты, которые имеют большой потенциал в качестве мишеней для лекарственных средств [58]. На подавление репликации ДНК нацелены хинолоны — одна из самых обширных используемых в практике групп синтетических антибиотиков. Известно четыре поколения хинолонов: 1) нефторированные хинолоны (налидиксовая, оксолиновая, пипемидовая кислоты), 2) грамотрицательные фторхинолоны (норфлоксацин, офлоксацин, пефлоксацин, ципрофлоксацин и другие), 3) респираторные фторхинолоны (левофлоксацин, спарфлоксацин и другие), 4) респираторно-антианаэробные фторхинолоны (моксифлоксацин) [59]. Механизм их действия основан на ингибировании бактериальных ферментов — ДНК-гиразы, топоизомераз II и IV. Природные макролидные антибиотики ансамицины (в том числе рифамицин) подавляют активность ДНК-зависимой РНК-полимеразы; туакумицины (включая фидаксомицин), связывающиеся с бактериальной ДНК-зависимой РНК-полимеразой, тормозят инициацию синтеза бактериальной РНК; азалиды (азитромицин, метронидазол) конкурентно ингибируют синтез нуклеиновых кислот [26].
Используемые в настоящее время в практике хинолоны являются синтетическими, однако известно о продукции соединений этого класса растениями и грибами [60], в том числе морскими. Например, хинолактацин Е (12) (рис. 6), выделенный из культуры гриба Penicillium sp. SCSIO41015, ассоциированного с морской губкой [61]. Однако способность выделенных соединений ингибировать синтез нуклеиновых кислот не изучали.
Рис. 6. Структуры вторичных метаболитов морских грибов — ингибиторов синтеза нуклеиновых кислот у бактерий.
Известно несколько классов природных ингибиторов бактериальных ДНК-гираз: аминокумарины, симоциклиноны, циклотиалидины, полифенолы группы катехина [62], однако подавляющее большинство ингибиторов различных бактериальных ДНК-гираз имеют синтетическое происхождение. Показано, что природный антрахинон эмодин (13) (см. рис. 6), продуцируемый растениями и грибами (в том числе морскими [63]), способен частично ингибировать ДНК-гиразы S. aureus и Escherichia coli, при этом его синтетическое галогенированное производное галоэмодин обладало большей эффективностью [64]. Такие известные природные ингибиторы ДНК-гираз, как новобиоцин (14) (см. рис. 6), хлоробиоцин и кумермицин A1, были выделены из стрептомицетов [65], однако грибы также способны продуцировать различные кумарины, включая аминокумарины [66], поэтому очевидно, что потенциал вторичных метаболитов грибов, в том числе морских, как ингибиторов бактериальных ДНК-гираз, еще не раскрыт.
Потенциальной мишенью для создаваемых лекарственных средств является еще один (помимо ДНК-гиразы и репликативных полимераз) подкомплекс — праймосома, состоящая из геликазы DnaB/C и примазы DnaG. Бициклический макролид Sch 642305 (15) (рис. 7), выделенный из почвенного гриба P. verrucosum, ингибировал ДНК-праймазу E. coli [67]. Этой активностью обладал также октакетид цитоспорон D (16) (см. рис. 7), продуцируемый культурой грибов Cytospora sp. и Diaporthe sp. [68] и Phomopsis sp. [69]. Однако в настоящее время нет данных о клинических испытаниях ингибиторов ДНК-праймазы [70].
Рис. 7. Структуры вторичных метаболитов морских грибов — ингибиторов ДНК-праймаз бактерий.
Влияние на систему quorum sensing
Некоторое время назад при поиске новых антибиотиков пристальное внимание стали уделять веществам, влияющим на формирование или функционирование бактериальных биопленок, признав их большое значение для развития определенных инфекционных заболеваний [71, 72]. В зависимости от плотности популяции и окружения бактерии могут находиться в виде планктонной формы и биопленок. Поведение популяции бактерий контролируется глобальной регуляторной системой — системой чувства кворума (quorum sensing, QS), которая рассматривается как зависящий от плотности клеток и от окружающей среды регуляторный путь обеспечения межклеточной коммуникации [73].
Система QS у S. aureus и других грамположительных бактерий управляется Agr-подобной системой [74], включающей регуляторный белок AgrA и сенсорный белок гистидинкиназу AgrC, который под воздействием аутоиндукторов пептидной природы инициирует регуляторную экспрессию РНК III. При высокой плотности клеток РНК III запускает экспрессию большого количества внеклеточных токсинов, включая α-гемолизин. Кроме выработки токсинов, под QS-контролем в клетках S. aureus находится формирование биопленочного фенотипа, в которое вовлечены белки, ассоциированные с накоплением (Aap); поверхностно-связывающиеся белки Spa и SasG; белки FnbA и FnbB, связывающие фибронектин; и белки, закрепленные на клеточной стенке (CWA), облегчающие адгезию [75]. Ковалентное прикрепление этих белков к клеточной стенке бактерии обеспечивает мембраносвязанная транспептидаза сортаза, имеющая несколько изоформ, среди которых основное значение имеет сортаза А [EC 3.4.22.70] [76].
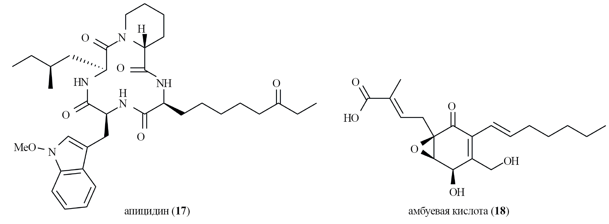
Как природные, так и синтетические ингибиторы Agr-системы активно изучаются с момента ее открытия в начале 90-х годов ХХ века. К 2019 г. было известно примерно о 20 соединениях, выделенных из растений и микроорганизмов, способных непосредственно влиять на Agr-систему [77, 78]. Показано антагонистическое действие на Agr-систему стафилококка апицидина (17) (рис. 8), циклического тетрапептида из наземного гриба Chaetosphaeriaceae sp. [79], амбуевой кислоты (ambuic acid) (18) (см. рис. 8), выделенной из различных грибов, в том числе представителей родов Monochaetia и Pestalotiopsis [80]. Циклический пептид авелланин С был выделен из гриба Hamigera ingelheimensis, и его влияние на Agr-систему S. aureus показано с помощью трансформанта с плазмидой, содержащей ген люциферазы под промотором гена agrP3 [81]. Показано влияние на Agr-систему S. aureus полигидроксиантрахинона ω-гидроксиэмодина из эндофитного гриба P. restrictum [82], а также ряда других полигидроксиантрахинонов, выделенных из P. restrictum [83].
Рис. 8. Структуры грибных метаболитов — антагонистов Agr-системы Staphylococcus aureus.
Антимикробная активность антрахинона эмодина (13) и его влияние на образование биопленок различными бактериальными штаммами изучается весьма активно [84]. Установлено, что эмодин не только подавляет рост S. aureus [85], но и влияет на образование биопленок и экспрессию генов icaA, icaD, srrA, srrB и RNAIII [86]. Другой антрахинон, алое-эмодин, также влиял на образование биопленок S. aureus [87]. В мышиной модели in vivo показана перспективность применения эмодина в терапии острого остеомиелита, вызванного метилицинустойчивым штаммом S. aureus [88]. Эмодин и его производные известны в первую очередь как метаболиты растений [89], однако полигидроксилированные антрахиноны являются также метаболитами грибов [90], и морские грибы часто становятся источником новых соединений этого класса [91]. Так, из облигатного морского гриба Asteromyces cruciatus KMM 4696 были выделены новые акруцихиноны A–C, причем акруцихинон C (11) (см. рис. 5) является первым обнаруженным антрахиноном с 6/6/5-скелетом [57]. Акруцихинон А (19) значительно ингибировал образование биопленок S. aureus, увеличивал жизнеспособность кератиноцитов и ускорял пролиферацию и миграцию кератиноцитов в экспериментах с инфицированием кератиноцитов линии HaCaT суспензией бактерий S. aureus.
В связи с особой ролью сортазы А в формировании биопленок и, соответственно, патогенности S. aureus, этот фермент рассматривается как перспективная мишень для поиска новых антистафилококковых препаратов [92]. Среди метаболитов морских грибов идентифицированы ингибиторы сортазы А: поликетид аспермитин А (20) (рис. 9) [93], пента— и гексапептиды [94], нафтохинон херквеидикеталь (21) (см. рис. 9) [95]. Совсем недавно показана ингибирующая активность в отношении сортазы А астеррипептидов А, В и С (22) — новых трипептидов c необычным фрагментом коричной кислоты в структуре (см. рис. 9), выделенных из морского гриба A. terreus LM5.2 [96]. Также показано ингибирование сортазы А рядом новых хлорсодержащих поликетидов, в том числе акруципентином Е (23) (см. рис. 9) из морского гриба Asteromyces cruciatus KMM 4696 [97] и новым циклопиановым дитерпеном 13-эпи-конидиогеноном F (24) (см. рис. 9) из морского гриба P. antarcticum KMM 4670 [98].
Рис. 9. Структуры вторичных метаболитов морских грибов — ингибиторов сортазы А.
Выделенный из морского гриба P. islandicum цереброзид флавузид В (25) (рис. 10) не только ингибировал активность сортазы А и образование биопленок S. aureus, но и в экспериментах с инфицированием кератиноцитов линии HaCaT бактериями S. aureus увеличивал жизнеспособность кератиноцитов, снижал уровень апоптоза, маркеров воспаления и восстанавливал прохождение инфицированными кератиноцитами стадий клеточного цикла [99].
Рис. 10. Структура флавузида В.
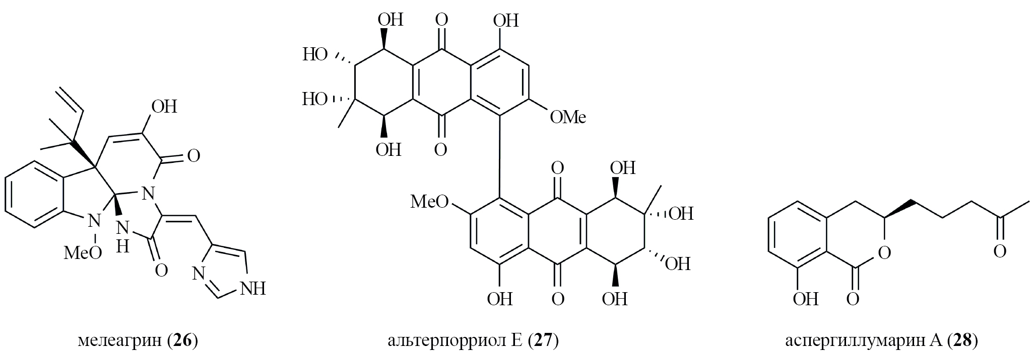
QS-система грамотрицательных бактерий организована на основе малых пептидов ацилгомосеринлактонов (AHL). Обычно эта система состоит из трех компонентов: 1) цитоплазматической белковой AHL-синтазы семейства LuxI; 2) AHL-чувствительного ДНК-связывающего регулятора транскрипции, принадлежащего семейству LuxR; и 3) ацилгомосеринлактона, который содержит консервативное гомосеринлактонное кольцо, соединенное амидной связью с варьируемой боковой цепью [100]. Для исследования влияния соединений на QS-систему грамотрицательных бактерий активно используется тест-система на основе Chromobacterium violaceum, основанная на изменении окраски C. violaceum в ответ на появление в среде ацилгомосеринлактонов [101]. С помощью подобного биосенсора установлено анти-QS-действие монометилового эфира альтернариола из морского гриба Alternaria sp., койевой кислоты из морского штамма Aspergillus sp., мелеагрина (26) (рис. 11) из P. chrysogenum, альтерпорриола Е (27) (см. рис. 11) из Alternaria porri, альтерлактона из Alternaria sp. и альтерсоланола из Alternaria solani [102]. QS-систему грамотрицательных бактерий подавляют также акулены C–E, пеницитор B и аспергиллумарины A (28) (см. рис. 11) и B из гриба Penicillium sp. SCS-KFD08, ассоциированного с морским червем Sipunculus nudus [103] .
Рис. 11. Структуры вторичных метаболитов морских грибов — ингибиторов QS-системы грамотрицательных бактерий.
Таким образом, несмотря на большое количество и структурное разнообразие вторичных метаболитов, выделяемых из морских грибов, только небольшое их количество изучается детально в отношении каких-либо бактериальных мишеней. В большинстве случаев оценивается только влияние на рост бактериальных культур. Вторичные метаболиты морских грибов с установленным специфическим антибактериальным действием, перечислены в табл. 1.
Таблица 1. Вторичные метаболиты морских грибов с известным механизмом действия
№ | Соединение | Морской гриб-продуцент | Ссылка |
Влияние на построение клеточной стенки бактерий | |||
1 | Цефалоспорин C | Cephalosporium acremonium | |
2 | Энниатины | грибы рода Fusarium | [30] |
Ингибирование синтеза белка на рибосомах | |||
3 | Фузидовая (фузидиевая) кислота | Stilbella aciculosa KMM 4500 | [39] |
4 | Хельволовая кислота и ее производные | Aspergillus fumigatus HNMF٠٠٤٧ | [42] |
5 | Кониотирион | Neosetophoma samarorum | [56] |
Ингибирование синтеза ДНК и РНК | |||
6 | Эмодин | штаммы различных видов грибов, в том числе морских | [64] |
7 | Цитоспорон D | Cytospora sp. и Diaporthe sp., Phomopsis sp. | |
Влияние на систему quorum sensing и образование биопленок | |||
6 | Эмодин | штаммы различных видов грибов, в том числе морских | [86] |
8 | Алое-эмодин | [87] | |
9 | Акруцихиноны A–C | Asteromyces cruciatus KMM 4696 | [57] |
10 | Аспермитин А | [93] | |
11 | Пента— и гексапептиды | [94] | |
12 | Херквеидикеталь | [95] | |
13 | Астеррипептиды А-С | Aspergillus terreus LM5.2 | [96] |
14 | Хлорсодержащие поликетиды | Asteromyces cruciatus KMM 4696 | [97] |
15 | 13-эпи-Конидиогенон F | Penicillium antarcticum KMM 4670 | [98] |
16 | Флавузид В | Penicillium islandicum | [99] |
17 | Монометиловый эфир альтернариола | Alternaria sp. | [102] |
18 | Койевая кислота | Aspergillus sp. | [102] |
19 | Мелеагрин | Penicillium chrysogenum | [102] |
20 | Альтерпорриол Е | Alternaria porri | [102] |
21 | Альтерлактон | Alternaria sp. | [102] |
22 | Альтерсоланол | Alternaria solani | [102] |
23 | Акулены C, D и E | Penicillium sp. SCS-KFD08 | [103] |
24 | Пеницитор B | Penicillium sp. SCS-KFD08 | [103] |
25 | Аспергилкумарины A и B | Penicillium sp. SCS-KFD08 | [103] |
Способы культивирования морских грибов для получения новых антимикробных вторичных метаболитов
Совместное культивирование двух или более штаммов грибов является довольно эффективным способом получения новых соединений с антимикробными свойствами. При контакте двух грибов в культуре происходит активация МАРК-зависимого каскада реакций так называемого стресса целостности клеточной стенки (cell wall integrity, CWI). Этот вид стресса [104] может приводить к изменению продукции грибами антиоксидантов группы меланина, микотоксинов и антибиотиков, например, глиотоксина, ACT-токсина, беаверицина, фузаровой кислоты, фумонизина B1, пенициллина, триацетилфузаринина С, ганодеровой кислоты и других метаболитов. Также продукция производного глиотоксина увеличивалась в совместной культуре двух морских грибов Aspergillus fumigatus KMM4631 и Asteromyces cruciatus KMM4696 [105].
За период с 2009 по 2019 в результате совместного культивирования морских грибов получено 59 новых соединений с различной биологической активностью [106]. Новый алкалоид с антимикробной активностью аспергицин (29) (рис. 12) выделен из совместной культуры двух морских эндофитных грибов рода Aspergillus [107]. Новые секо-пеницитринол А (30) (см. рис. 12) и пеницитринол L, показавшие значительную антимикробную активность, обнаружены в совместной культуре морских грибов A. sydowii EN-534 и P. citrinum EN-535 [108]. Из совместной культуры P. sajarovii KMM 4718 и A. protuberus KMM 4747 выделен новый поликетид сайярокетид А (31) (см. рис. 12), который не только проявлял антимикробную активность в отношении S. aureus и E. coli, но и оказался эффективным в in vitro модели инфекционного миокардита, когда кардиомиоциты линии H9c2 культивировали совместно с бактериями S. aureus [109].
Рис. 12. Структуры антибактериальных низкомолекулярных соединений, полученных при совместном культивировании морских грибов с другими микроорганизмами.
Продукцию низкомолекулярных соединений с антибактериальными свойствами также может стимулировать совместное культивирование грибов и бактерий. Так, культивирование морского штамма A. versicolor с бактериями Bacillus subtilis привело к выделению нового циклического пентапептида — коттеслозина С (32) (см. рис. 12), новых афлахинолонов и антрахинонов, а также к увеличению в несколько раз продукции верзиколорина В, аверуфина и стеригматоцистина [110].
Заключение
С 2010 года в мировую клиническую практику было введено два десятка новых антибактериальных препаратов: тетрациклины омадациклин и эравациклин; аминогликозид плазомицин; хинолоны немоноксацин, финафлоксацин и делафлоксацин; препараты, применяемые как в России, так в других странах: цефалоспорины пятого поколения цефтолозан и цефтаролина фосамил; полусинтетический липогликопептид далбаванцин; оксазолидинон II поколения тедизолид [111]. В апреле 2024 года в России зарегистрирован новый синтетический препарат “Фтортиазинон”, который по своей химической структуре является тиодиазиноном и способен специфически подавлять подвижность, секрецию токсинов, инвазию, колонизацию и образование биопленок патогенными бактериями [112, 113]. Таким образом, современные направления в исследованиях новых антибактериальных препаратов и способов их применения, такие как таргетная терапия, нацеленная на новые мишени, в том числе на факторы вирулентности, потенцирование уже известных препаратов за счет подавления защитных систем патогенов, вовлечение иммунной системы в противостояние с ними, приносят свои практические результаты [114].
Очевидно, что разнообразные вторичные метаболиты морских грибов, выделяемые каждый год, могут внести значительный вклад в открытие новых антибактериальных препаратов. Сдерживающими факторами здесь являются малые количества выделяемых соединений, нестабильность их продукции некоторыми штаммами и отсутствие стратегии исследования. Тем не менее, биотехнологические подходы к масштабному культивированию штаммов-продуцентов, подбор условий культивирования морских грибов, приводящих к наибольшему выходу целевых соединений, и целенаправленное исследование биологической активности выделенных соединений в отношении различных аспектов жизнедеятельности бактерий-патогенов способны преодолеть сдерживающие факторы и открыть новые соединения-кандидаты.
Исследование поддержано грантом Министерства науки и высшего образования Российской Федерации в рамках Федеральной научно-технической программы развития генетических технологий на 2019–2027 годы (соглашение № 075–15-2021-1052).
Настоящая статья не содержит каких-либо исследований с участием людей или животных в качестве объектов исследований.
Авторы заявляют об отсутствии конфликта интересов.
About the authors
E. A. Yurchenko
G.B. Elyakov Pacific Institute of Bioorganic Chemistry, Far East Branch, Russian Academy of Sciences
Author for correspondence.
Email: eyurch@piboc.dvo.ru
Russian Federation, Vladivostok
E. A. Chingizova
G.B. Elyakov Pacific Institute of Bioorganic Chemistry, Far East Branch, Russian Academy of Sciences
Email: eyurch@piboc.dvo.ru
Russian Federation, Vladivostok
D. L. Aminin
G.B. Elyakov Pacific Institute of Bioorganic Chemistry, Far East Branch, Russian Academy of Sciences
Email: eyurch@piboc.dvo.ru
Russian Federation, Vladivostok
A. N. Yurchenko
G.B. Elyakov Pacific Institute of Bioorganic Chemistry, Far East Branch, Russian Academy of Sciences
Email: eyurch@piboc.dvo.ru
Russian Federation, Vladivostok
References
- Butler M.S., Henderson I.R., Capon R.J., Blaskovich M.A.T. (2023) Antibiotics in the clinical pipeline as of December 2022. J. Antibiot. 76, 431‒473.
- Bentley R. (2000) Mycophenolic acid: a one hundred year odyssey from antibiotic to immunosuppressant. Chem. Rev. 100, 3801‒3826.
- Karwehl S., Stadler M. (2016) Exploitation of fungal biodiversity for discovery of novel antibiotics. Curr. Top. Microbiol. Immunol. 398, 303‒338.
- Hutchings M.I., Truman A.W., Wilkinson B. (2019) Antibiotics: past, present and future. Curr. Opin. Microbiol. 51, 72‒80.
- Gogineni V., Chen X., Hanna G., Mayasari D., Hamann M.T. (2020) Role of symbiosis in the discovery of novel antibiotics. J. Antibiot. 73, 490‒503.
- Nikolaou E., Agrafioti I., Stumpf M., Quinn J., Stansfield I., Brown A.J.P. (2009) Phylogenetic diversity of stress signalling pathways in fungi. BMC Evol. Biol. 9, 44.
- van Santen J.A., Poynton E.F., Iskakova D., McMann E., Alsup T.A., Clark T.N., Fergusson C.H., Fewer D.P., Hughes A.H., McCadden C.A. (2022) The Natural Products Atlas 2.0: a database of microbially-derived natural products. Nucl. Acids Res. 50, D1317‒D1323.
- Voser T.M., Campbell M.D., Carroll A.R. (2022) How different are marine microbial natural products compared to their terrestrial counterparts? Nat. Prod. Rep. 39, 7‒19.
- Pang K.-L., Overy D.P., Jones E.B.G., Calado M.d.L., Burgaud G., Walker A.K., Johnson J.A., Kerr R.G., Cha H.-J., Bills G.F. (2016) "Marine fungi" and "marine-derived fungi" in natural product chemistry research: toward a new consensual definition. Fungal Biol. Rev. 30, 163‒175.
- Carroll A.R., Copp B.R., Davis R.A., Keyzers R.A., Prinsep M.R. (2021) Marine natural products. Nat. Prod. Rep. 38, 362‒413.
- Riera-Romo M., Wilson-Savón L., Hernandez-Balmaseda I. (2020) Metabolites from marine microorganisms in cancer, immunity, and inflammation: a critical review. J. Pharm. Pharmacogn. Res. 8, 368‒391.
- Wali A.F., Majid S., Rasool S., Shehada S.B., Abdulkareem S.K., Firdous A., Beigh S., Shakeel S., Mushtaq S., Akbar I., Madhkali H., Rehman M.U. (2019) Natural products against cancer: Review on phytochemicals from marine sources in preventing cancer. Saudi Pharm. J. 27, 767‒777.
- Wang C., Tang S., Cao S. (2020) Antimicrobial compounds from marine fungi. Phytochem. Rev. 20, 85‒117.
- Rateb M.E., Ebel R. (2011) Secondary metabolites of fungi from marine habitats. Nat. Prod. Rep. 28, 290‒344.
- Chen G., Wang H.F., Pei Y.H. (2014) Secondary metabolites from marine-derived microorganisms. J. Asian Nat. Prod. Res. 16, 105‒122.
- Blunt J.W., Copp B.R., Keyzers R.A., Munro M.H.G., Prinsep M.R. (2015) Marine natural products. Nat. Prod. Rep. 32, 116‒211.
- Liming J., Chunshan Q., Xiyan H., Shengdi F. (2016) Potential pharmacological resources: Natural bioactive compounds from marine-derived fungi. Mar. Drugs. 14, 76.
- Yurchenko A.N., Girich E.V., Yurchenko E.A. (2021) Metabolites of marine sediment-derived fungi: actual trends of biological activity studies. Mar. Drugs. 19, 88.
- Wang C., Tang S., Cao S. (2021) Antimicrobial compounds from marine fungi. Phytochem. Rev. 20, 85‒117.
- Hafez Ghoran S., Taktaz F., Sousa E., Fernandes C., Kijjoa A. (2023) Peptides from marine-derived fungi: chemistry and biological activities. Mar. Drugs. 21, 510.
- Zhang H., Zou J., Yan X., Chen J., Cao X., Wu J., Liu Y., Wang T. (2021) Marine-derived macrolides 1990–2020: an overview of chemical and biological diversity. Mar. Drugs. 19, 180.
- Karpiński T.M. (2019) Marine macrolides with antibacterial and/or antifungal activity. Mar. Drugs. 17, 241.
- Willems T., De Mol M.L., De Bruycker A., De Maeseneire S.L., Soetaert W.K. (2020) Alkaloids from marine fungi: promising antimicrobials. Antibiotics. 9, 340.
- Gomes N.G.M., Madureira-Carvalho Á., Dias-da-Silva D., Valentão P., Andrade P.B. (2021) Biosynthetic versatility of marine-derived fungi on the delivery of novel antibacterial agents against priority pathogens. Biomed. Pharmacother. 140, 111756.
- Khalimova А.А. (2023) Review of the antibiotics market and evaluation of its development prospects. Med. Pharm. J. Pulse. 25, 77‒83.
- Щекотихин А.Е., Олсуфьева Е.Н., Янковская В.С. (2022) Антибиотики и родственные соединения (Antibiotics and related compounds). M.: Лаборатория знаний. 511 с.
- Kohanski M.A., Dwyer D.J., Collins J.J. (2010) How antibiotics kill bacteria: from targets to networks. Nat. Rev. Microbiol. 8, 423‒435.
- Fisher J.F., Mobashery S. (2023) beta-Lactams from the Ocean. Mar. Drugs. 21, 86.
- Kim C.-F., Lee S.K., Price J., Jack R.W., Turner G., Kong R.Y. (2003) Cloning and expression analysis of the pcbAB-pcbC β-lactam genes in the marine fungus Kallichroma tethys. Appl. Environ. Microbiol. 69, 1308‒1314.
- Firakova S., Proksa B., Šturdíková M. (2007) Biosynthesis and biological activity of enniatins. Pharmazie. 62, 563‒568.
- Sy-Cordero A.A., Pearce C.J., Oberlies N.H. (2012) Revisiting the enniatins: a review of their isolation, biosynthesis, structure determination and biological activities. J. Antibiot. 65, 541‒549.
- Sasaki H., Kurakado S., Matsumoto Y., Yoshino Y., Sugita T., Koyama K., Kinoshita K. (2023) Enniatins from a marine-derived fungus Fusarium sp. inhibit biofilm formation by the pathogenic fungus Candida albicans. J. Nat. Med. 77, 455‒463.
- Zhao P., Xue Y., Li X., Li J., Zhao Z., Quan C., Gao W., Zu X., Bai X., Feng S. (2019) Fungi-derived lipopeptide antibiotics developed since 2000. Peptides. 113, 52‒65.
- Du F.-Y., Zhang P., Li X.-M., Li C.-S., Cui C.-M., Wang B.-G. (2014) Cyclohexadepsipeptides of the isaridin class from the marine-derived fungus Beauveria felina EN-135. J. Nat. Prod. 77, 1164‒1169.
- Kim M.-Y., Sohn J.H., Ahn J.S., Oh H. (2009) Alternaramide, a cyclic depsipeptide from the marine-derived fungus Alternaria sp. SF-5016. J. Nat. Prod. 72, 2065‒2068.
- Panizel I., Yarden O., Ilan M., Carmeli S. (2013) Eight new peptaibols from sponge-associated Trichoderma atroviride. Mar. Drugs. 11, 4937‒4960.
- Fernandes P. (2016) Fusidic acid: a bacterial elongation factor inhibitor for the oral treatment of acute and chronic staphylococcal infections. Cold Spring Harb. Perspect. Med. 6, a025437.
- Falagas M.E., Grammatikos A.P., Michalopoulos A. (2008) Potential of old-generation antibiotics to address current need for new antibiotics. Expert Rev. Anti Infect. Ther. 6, 593‒600.
- Kuznetsova T.A., Smetanina O.F., Afiyatullov S.S., Pivkin M.V., Denisenko V.A., Elyakov G.B. (2001) The identification of fusidic acid, a steroidal antibiotic from marine isolate of the fungus Stilbella aciculosa. Biochem. Syst. Ecol. 29, 873‒874.
- Chain E., Florey H.W., Jennings M.A., Williams T.I. (1943) Helvolic acid, an antibiotic produced by Aspergillus fumigatus, mut. helvola Yuill. Br. J. Exp. Pathol. 24, 108‒119.
- Raffa N., Keller N.P. (2019) A call to arms: mustering secondary metabolites for success and survival of an opportunistic pathogen. PLoS Pathogens. 15, e1007606.
- Kong F.-D., Huang X.-L., Ma Q.-Y., Xie Q.-Y., Wang P., Chen P.-W., Zhou L.-M., Yuan J.-Z., Dai H.-F., Luo D.-Q., Zhao Y.-X. (2018) Helvolic acid derivatives with antibacterial activities against Streptococcus agalactiae from the marine-derived fungus Aspergillus fumigatus HNMF0047. J. Nat. Prod. 81, 1869‒1876.
- Kilaru S., Collins C.M., Hartley A.J., Bailey A.M., Foster G.D. (2009) Establishing molecular tools for genetic manipulation of the pleuromutilin-producing fungus Clitopilus passeckerianus. Appl. Environ. Microbiol. 75, 7196‒7204.
- Gupta P., Phulara S. (2021) Chapter 3 — Terpenoids: Types and their application. In: Biotechnology of Terpenoid Production from Microbial Cell Factories. pp. 47‒78. https://doi.org/10.1016/B978-0-12-819917-6.00006-5
- Foti C., Piperno A., Scala A., Giuffrè O. (2021) Oxazolidinone antibiotics: chemical, biological and analytical aspects. Molecules. 26, 4280.
- Borders D.B., Morton G.O., Wetzel E.R. (1974) Structure of a novel bromine compound isolated from a sponge. Tetrahedron Lett. 15(31), 2709‒2712.
- Moriou C., Lacroix D., Petek S., El-Demerdash A., Trepos R., Leu T.M., Florean C., Diederich M., Hellio C., Debitus C., Al-Mourabit A. (2021) Bioactive bromotyrosine derivatives from the pacific marine sponge Suberea clavata (Pulitzer-Finali, 1982). Mar. Drugs. 19, 143.
- Huo C., An D., Wang B., Zhao Y., Lin W. (2005) Structure elucidation and complete NMR spectral assignments of a new benzoxazolinone glucoside from Acanthus ilicifolius. Magn. Reson. Chem. 43, 343‒345.
- Hitotsuyanagi Y., Hikita M., Uemura G., Fukaya H., Takeya K. (2011) Structures of stemoxazolidinones A-F, alkaloids from Stemona sessilifolia. Tetrahedron. 67, 455‒461.
- Liu C., Yang C., Zeng Y., Shi J., Li L., Li W., Jiao R., Tan R., Ge H. (2019) Chartrenoline, a novel alkaloid isolated from a marine Streptomyces chartreusis NA02069. Chin. Chem. Lett. 30, 44‒46.
- Pluotno A., Carmeli S. (2005) Banyasin A and banyasides A and B, three novel modified peptides from a water bloom of the cyanobacterium Nostoc sp. Tetrahedron. 61, 575‒583.
- Huang L., Chen C., Cai J., Chen Y., Zhu Y., Yang B., Zhou X., Liu Y., Tao H. (2024) Discovery of enzyme inhibitors from mangrove sediment derived fungus Trichoderma harzianum SCSIO 41051. Chem. Biodiversity. 21, e202400070.
- De Filippis A., Nocera F.P., Tafuri S., Ciani F., Staropoli A., Comite E., Bottiglieri A., Gioia L., Lorito M., Woo S.L., Vinale F., De Martino L. (2021) Antimicrobial activity of harzianic acid against Staphylococcus pseudintermedius. Nat. Prod. Res. 35, 5440‒5445.
- Staropoli A., Cuomo P., Salvatore M.M., De Tommaso G., Iuliano M., Andolfi A., Tenore G.C., Capparelli R., Vinale F. (2023) Harzianic acid activity against Staphylococcus aureus and its role in calcium regulation. Toxins. 15, 237.
- Ondeyka J.G., Zink D., Basilio A., Vicente F., Bills G., Diez M.T., Motyl M., Dezeny G., Byrne K., Singh S.B. (2007) Coniothyrione, a chlorocyclopentandienylbenzopyrone as a bacterial protein synthesis inhibitor discovered by antisense technology. J. Nat. Prod. 70, 668‒670.
- Overy D.P., Berrue F., Correa H., Hanif N., Hay K., Lanteigne M., Mquilian K., Duffy S., Boland P., Jagannathan R., Carr G.S., Vansteeland M., Kerr R.G. (2014) Sea foam as a source of fungal inoculum for the isolation of biologically active natural products. Mycology. 5, 130‒144.
- Zhuravleva O.I., Chingizova E.A., Oleinikova G.K., Starnovskaya S.S., Antonov A.S., Kirichuk N.N., Menshov A.S., Popov R.S., Kim N.Y., Berdyshev D.V., Chingizov A.R., Kuzmich A.S., Guzhova I.V., Yurchenko A.N., Yurchenko E.A. (2023) Anthraquinone derivatives and other aromatic compounds from marine fungus Asteromyces cruciatus KMM 4696 and their effects against Staphylococcus aureus. Mar. Drugs. 21, 431.
- Robinson A., J Causer R., E Dixon N. (2012) Architecture and conservation of the bacterial DNA replication machinery, an underexploited drug target. Curr. Drug Targets. 13, 352‒372.
- Millanao A.R., Mora A.Y., Villagra N.A., Bucarey S.A., Hidalgo A.A. (2021) Biological effects of quinolones: a family of broad-spectrum antimicrobial agents. Molecules. 26, 7153.
- Ebada S.S., Ebrahim W. (2020) A new antibacterial quinolone derivative from the endophytic fungus Aspergillus versicolor strain Eich.5.2.2. S. Afr. J. Bot. 134, 151‒155.
- Pang X., Cai G., Lin X., Salendra L., Zhou X., Yang B., Wang J., Wang J., Xu S., Liu Y. (2019) New alkaloids and polyketides from the marine sponge-derived fungus Penicillium sp. SCSIO41015. Mar. Drugs. 17, 398.
- Khan T., Sankhe K., Suvarna V., Sherje A., Patel K., Dravyakar B. (2018) DNA gyrase inhibitors: progress and synthesis of potent compounds as antibacterial agents. Biomed. Pharmacother. 103, 923‒938.
- Nesterenko L.E., Popov R.S., Zhuravleva O.I., Kirichuk N.N., Chausova V.E., Krasnov K.S., Pivkin M.V., Yurchenko E.A., Isaeva M.P., Yurchenko A.N. (2023) A Study of the metabolic profiles of Penicillium dimorphosporum KMM 4689 which led to its re-identification as Penicillium hispanicum. Fermentation. 9, 337.
- Duan F., Li X., Cai S., Xin G., Wang Y., Du D., He S., Huang B., Guo X., Zhao H., Zhang R., Ma L., Liu Y., Du Q., Wei Z., Xing Z., Liang Y., Wu X., Fan C., Ji C., Zeng D., Chen Q., He Y., Liu X., Huang W. (2014) Haloemodin as novel antibacterial agent inhibiting DNA gyrase and bacterial topoisomerase I. J. Med. Chem. 57, 3707‒3714.
- Heide L. (2009) Genetic engineering of antibiotic biosynthesis for the generation of new aminocoumarins. Biotechnol. Adv. 27, 1006‒1014.
- Costa T.M., Tavares L.B.B., de Oliveira D. (2016) Fungi as a source of natural coumarins production. Appl. Microbiol. Biotechnol. 100, 6571‒6584.
- Chu M., Mierzwa R., Xu L., He L., Terracciano J., Patel M., Gullo V., Black T., Zhao W., Chan T.-M., McPhail A.T. (2003) Isolation and structure elucidation of Sch 642305, a novel bacterial DNA primase inhibitor produced by Penicillium verrucosum. J. Nat. Prod. 66, 1527‒1530.
- Brady S.F., Wagenaar M.M., Singh M.P., Janso J.E., Clardy J. (2000) The Cytosporones, new octaketide antibiotics isolated from an endophytic fungus. Org. Lett. 2, 4043‒4046.
- Adelin E., Martin M.-T., Cortial S., Retailleau P., Lumyong S., Ouazzani J. (2013) Bioactive polyketides isolated from agar-supported fermentation of Phomopsis sp. CMU-LMA, taking advantage of the scale-up device, Platotex. Phytochemistry. 93, 170‒175.
- van Eijk E., Wittekoek B., Kuijper E.J., Smits W.K. (2017) DNA replication proteins as potential targets for antimicrobials in drug-resistant bacterial pathogens. J. Antimicrob. Chemother. 72, 1275‒1284.
- Kirker K.R., Secor P.R., James G.A., Fleckman P., Olerud J.E., Stewart P.S. (2009) Loss of viability and induction of apoptosis in human keratinocytes exposed to Staphylococcus aureus biofilms in vitro. Wound Repair Regen. 17, 690‒699.
- Linz M.S., Mattappallil A., Finkel D., Parker D. (2023) Clinical impact of Staphylococcus aureus skin and soft tissue infections. Antibiotics. 12, 557.
- Guo H., Tong Y., Cheng J., Abbas Z., Li Z., Wang J., Zhou Y., Si D., Zhang R. (2022) Biofilm and small colony variants — an update on Staphylococcus aureus strategies toward drug resistance. Int. J. Mol. Sci. 23, 1241.
- Tan L., Li S.R., Jiang B., Hu X.M., Li S. (2018) Therapeutic targeting of the Staphylococcus aureus accessory gene regulator (agr) system. Front. Microbiol. 9, 55.
- Cheung G.Y.C., Bae J.S., Otto M. (2021) Pathogenicity and virulence of Staphylococcus aureus. Virulence. 12, 547‒569.
- Nitulescu G., Margina D., Zanfirescu A., Olaru O.T., Nitulescu G.M. (2021) Targeting bacterial sortases in search of anti-virulence therapies with low risk of resistance development. Pharmaceuticals. 14, 415.
- Wu S.-C., Liu F., Zhu K., Shen J.-Z. (2019) Natural products that target virulence factors in antibiotic-resistant Staphylococcus aureus. J. Agric. Food Chem. 67, 13195‒13211.
- Mahdally N.H., George R.F., Kashef M.T., Al-Ghobashy M., Murad F.E., Attia A.S. (2021) Staquorsin: a novel Staphylococcus aureus Agr-mediated quorum sensing inhibitor impairing virulence in vivo without notable resistance development. Front. Microbiol. 12, 700494‒700494.
- Parlet C.P., Kavanaugh J.S., Crosby H.A., Raja H.A., El-Elimat T., Todd D.A., Pearce C.J., Cech N.B., Oberlies N.H., Horswill A.R. (2019) Apicidin attenuates MRSA virulence through quorum-sensing inhibition and enhanced host defense. Cell Rep. 27, 187‒198.e186.
- Nakayama J., Uemura Y., Nishiguchi K., Yoshimura N., Igarashi Y., Sonomoto K. (2009) Ambuic acid inhibits the biosynthesis of cyclic peptide quormones in gram-positive bacteria. Antimicrob. Agents Chemother. 53, 580‒586.
- Igarashi Y., Gohda F., Kadoshima T., Fukuda T., Hanafusa T., Shojima A., Nakayama J., Bills G.F., Peterson S. (2015) Avellanin C, an inhibitor of quorum-sensing signaling in Staphylococcus aureus, from Hamigera ingelheimensis. J. Antibiot. 68, 707‒710.
- Daly S.M., Elmore B.O., Kavanaugh J.S., Triplett K.D., Figueroa M., Raja H.A., El-Elimat T., Crosby H.A., Femling J.K., Cech N.B. (2015) ω-Hydroxyemodin limits Staphylococcus aureus quorum sensing-mediated pathogenesis and inflammation. Antimicrob. Agents Chemother. 59, 2223‒2235.
- Figueroa M., Jarmusch A.K., Raja H.A., El-Elimat T., Kavanaugh J.S., Horswill A.R., Cooks R.G., Cech N.B., Oberlies N.H. (2014) Polyhydroxyanthraquinones as quorum sensing inhibitors from the guttates of Penicillium restrictum and their analysis by desorption electrospray ionization mass spectrometry. J. Nat. Prod. 77, 1351‒1358.
- Semwal R.B., Semwal D.K., Combrinck S., Viljoen A. (2021) Emodin — a natural anthraquinone derivative with diverse pharmacological activities. Phytochemistry. 190, 112854.
- Chalothorn T., Rukachaisirikul V., Phongpaichit S., Pannara S., Tansakul C. (2019) Synthesis and antibacterial activity of emodin and its derivatives against methicillin-resistant Staphylococcus aureus. Tetrahedron Lett. 60, 151004.
- Đukanović S., Ganić T., Lončarević B., Cvetković S., Nikolić B., Tenji D., Randjelović D., Mitić‐Ćulafić D. (2022) Elucidating the antibiofilm activity of frangula emodin against Staphylococcus aureus biofilms. J. Appl. Microbiol. 132, 1840‒1855.
- Xiang H., Cao F., Ming D., Zheng Y., Dong X., Zhong X., Mu D., Li B., Zhong L., Cao J., Wang L., Ma H., Wang T., Wang D. (2017) Aloe-emodin inhibits Staphylococcus aureus biofilms and extracellular protein production at the initial adhesion stage of biofilm development. Appl. Microbiol. Biotechnol. 101, 6671‒6681.
- Lu F., Wu X., Hu H., He Z., Sun J., Zhang J., Song X., Jin X., Chen G. (2022) Emodin combined with multiple-low-frequency, low-intensity ultrasound to relieve osteomyelitis through sonoantimicrobial chemotherapy. Microbiol. Spectr. 10, e00544‒00522.
- Dong X., Fu J., Yin X., Cao S., Li X., Lin L., Huyiligeqi, Ni J. (2016) Emodin: a review of its pharmacology, toxicity and pharmacokinetics. Phytother. Res. 30, 1207‒1218.
- Masi M., Evidente A. (2020) Fungal bioactive anthraquinones and analogues. Toxins. 12, 714.
- Hafez Ghoran S., Taktaz F., Ayatollahi S.A., Kijjoa A. (2022) Anthraquinones and their analogues from marine-derived fungi: chemistry and biological activities. Mar. Drugs. 20, 474.
- Alharthi S., Alavi S.E., Moyle P.M., Ziora Z.M. (2021) Sortase A (SrtA) inhibitors as an alternative treatment for superbug infections. Drug Discov. Today. 26, 2164‒2172.
- Park S.C., Chung B., Lee J., Cho E., Hwang J.Y., Oh D.C., Shin J., Oh K.B. (2020) Sortase A-inhibitory metabolites from a marine-derived fungus Aspergillus sp. Mar. Drugs. 18, 359.
- Hwang J.Y., Lee J.H., Park S.C., Lee J., Oh D.C., Oh K.B., Shin J. (2019) New peptides from the marine-derived fungi Aspergillus allahabadii and Aspergillus ochraceopetaliformis. Mar. Drugs. 17, 488.
- Julianti E., Lee J.H., Liao L., Park W., Park S., Oh D.C., Oh K.B., Shin J. (2013) New polyaromatic metabolites from a marine-derived fungus Penicillium sp. Org. Lett. 15, 1286‒1289.
- Girich E.V., Rasin A.B., Popov R.S., Yurchenko E.A., Chingizova E.A., Trinh P.T.H., Ngoc N.T.D., Pivkin M.V., Zhuravleva O.I., Yurchenko A.N. (2022) New tripeptide derivatives asperripeptides A-C from vietnamese mangrove-derived fungus Aspergillus terreus LM.5.2. Mar. Drugs. 20, 77.
- Zhuravleva O.I., Oleinikova G.K., Antonov A.S., Kirichuk N.N., Pelageev D.N., Rasin A.B., Menshov A.S., Popov R.S., Kim N.Y., Chingizova E.A., Chingizov A.R., Volchkova O.O., von Amsberg G., Dyshlovoy S.A., Yurchenko E.A., Guzhova I.V., Yurchenko A.N. (2022) New antibacterial chloro-containing polyketides from the alga-derived fungus Asteromyces cruciatus KMM 4696. J. Fungi. 8, 454.
- Yurchenko A.N., Zhuravleva O.I., Khmel O.O., Oleynikova G.K., Antonov A.S., Kirichuk N.N., Chausova V.E., Kalinovsky A.I., Berdyshev D.V., Kim N.Y., Popov R.S., Chingizova E.A., Chingizov A.R., Isaeva M.P., Yurchenko E.A. (2023) New cyclopiane diterpenes and polyketide derivatives from marine sediment-derived fungus Penicillium antarcticum KMM 4670 and their biological activities. Mar. Drugs. 21, 584.
- Chingizova E.A., Menchinskaya E.S., Chingizov A.R., Pislyagin E.A., Girich E.V., Yurchenko A.N., Guzhova I.V., Mikhailov V.V., Aminin D.L., Yurchenko E.A. (2021) Marine fungal cerebroside flavuside B protects HaCaT keratinocytes against Staphylococcus aureus induced damage. Mar. Drugs. 19, 553.
- Passos da Silva D., Schofield M.C., Parsek M.R., Tseng B.S. (2017) An update on the sociomicrobiology of quorum sensing in Gram-negative biofilm development. Pathogens. 6, 51
- Vasilchenko A.S., Poshvina D.V., Sidorov R.Y., Iashnikov A.V., Rogozhin E.A., Vasilchenko A.V. (2022) Oak bark (Quercus sp. cortex) protects plants through the inhibition of quorum sensing mediated virulence of Pectobacterium carotovorum. World J. Microbiol. Biotechnol. 38, 184.
- Dobretsov S., Teplitski M., Bayer M., Gunasekera S., Proksch P., Paul V.J. (2011) Inhibition of marine biofouling by bacterial quorum sensing inhibitors. Biofouling. 27, 893‒905.
- Kong F.D., Zhou L.M., Ma Q.Y., Huang S.Z., Wang P., Dai H.F., Zhao Y.X. (2017) Metabolites with Gram-negative bacteria quorum sensing inhibitory activity from the marine animal endogenic fungus Penicillium sp. SCS-KFD08. Arch. Pharm. Res. 40, 25‒31.
- Valiante V. (2017) The cell wall integrity signaling pathway and its involvement in secondary metabolite production. J. Fungi. 3, 68.
- Yurchenko A.N., Nesterenko L.E., Popov R.S., Kirichuk N.N., Chausova V.E., Chingizova E.A., Isaeva M.P., Yurchenko E.A. (2023) The metabolite profiling of Aspergillus fumigatus KMM4631 and its co-cultures with other marine fungi. Metabolites. 13, 1138.
- Chen J., Zhang P., Ye X., Wei B., Emam M., Zhang H., Wang H. (2020) The structural diversity of marine microbial secondary metabolites based on co-culture strategy: 2009–2019. Mar. Drugs. 18, 449.
- Zhu F., Chen G., Chen X., Huang M., Wan X. (2011) Aspergicin, a new antibacterial alkaloid produced by mixed fermentation of two marine-derived mangrove epiphytic fungi. Chem. Nat. Compd. 47, 767‒769.
- Yang S.-Q., Li X.-M., Li X., Li H.-L., Meng L.-H., Wang B.-G. (2018) New citrinin analogues produced by coculture of the marine algal-derived endophytic fungal strains Aspergillus sydowii EN-534 and Penicillium citrinum EN-535. Phytochem. Lett. 25, 191‒195.
- Leshchenko E.V., Berdyshev D.V., Yurchenko E.A., Antonov A.S., Borkunov G.V., Kirichuk N.N., Chausova V.E., Kalinovskiy A.I., Popov R.S., Khudyakova Y.V., Chingizova E.A., Chingizov A.R., Isaeva M.P., Yurchenko A.N. (2023) Bioactive polyketides from the natural complex of the sea urchin-associated fungi Penicillium sajarovii KMM 4718 and Aspergillus protuberus KMM 4747. Int. J. Mol. Sci. 24, 16568.
- Abdel-Wahab N.M., Scharf S., Özkaya F.C., Kurtán T., Mándi A., Fouad M.A., Kamel M.S., Müller W.E.G., Kalscheuer R., Lin W., Daletos G., Ebrahim W., Liu Z., Proksch P. (2019) Induction of secondary metabolites from the marine-derived fungus Aspergillus versicolor through co-cultivation with Bacillus subtilis. Planta Med. 85, 503‒512.
- Outterson K., Orubu E.S.F., Rex J., Årdal C., Zaman M.H. (2022) Patient access in 14 high-income countries to new antibacterials approved by the US food and drug administration, European medicines agency, Japanese pharmaceuticals and medical devices agency, or health Canada, 2010–2020. Clin. Infect. Dis. 74, 1183‒1190.
- Bondareva N.E., Soloveva A.V., Sheremet A.B., Koroleva E.A., Kapotina L.N., Morgunova E.Y., Luyksaar S.I., Zayakin E.S., Zigangirova N.A. (2022) Preventative treatment with Fluorothiazinon suppressed Acinetobacter baumannii-associated septicemia in mice. J. Antibiot. 75, 155‒163.
- Savitskii M.V., Moskaleva N.E., Brito A., Zigangirova N.A., Soloveva A.V., Sheremet A.B., Bondareva N.E., Lubenec N.L., Kuznetsov R.M., Samoylov V.M. (2023) Pharmacokinetics, quorum-sensing signal molecules and tryptophan-related metabolomics of the novel anti-virulence drug Fluorothiazinon in a Pseudomonas aeruginosa-induced pneumonia murine model. J. Pharm. Biomed. Anal. 236, 115739.
- Theuretzbacher U., Outterson K., Engel A., Karlén A. (2020) The global preclinical antibacterial pipeline. Nat. Rev. Microbiol. 18, 275‒285.
Supplementary files













