Redistribution of Energy during Horizontal Stretching of Ocean Vortices by Barotropic Currents
- Authors: Zhmur V.V.1, Harutyunyan D.A.2
-
Affiliations:
- P.P. Shirshov Institute of Oceanology, Russian Academy of Sciences
- Moscow Institute of Physics and Technology (State University)
- Issue: Vol 63, No 1 (2023)
- Pages: 3-19
- Section: Физика моря
- URL: https://medbiosci.ru/0030-1574/article/view/136219
- DOI: https://doi.org/10.31857/S0030157423010185
- EDN: https://elibrary.ru/AFRQHI
- ID: 136219
Cite item
Full Text
Abstract
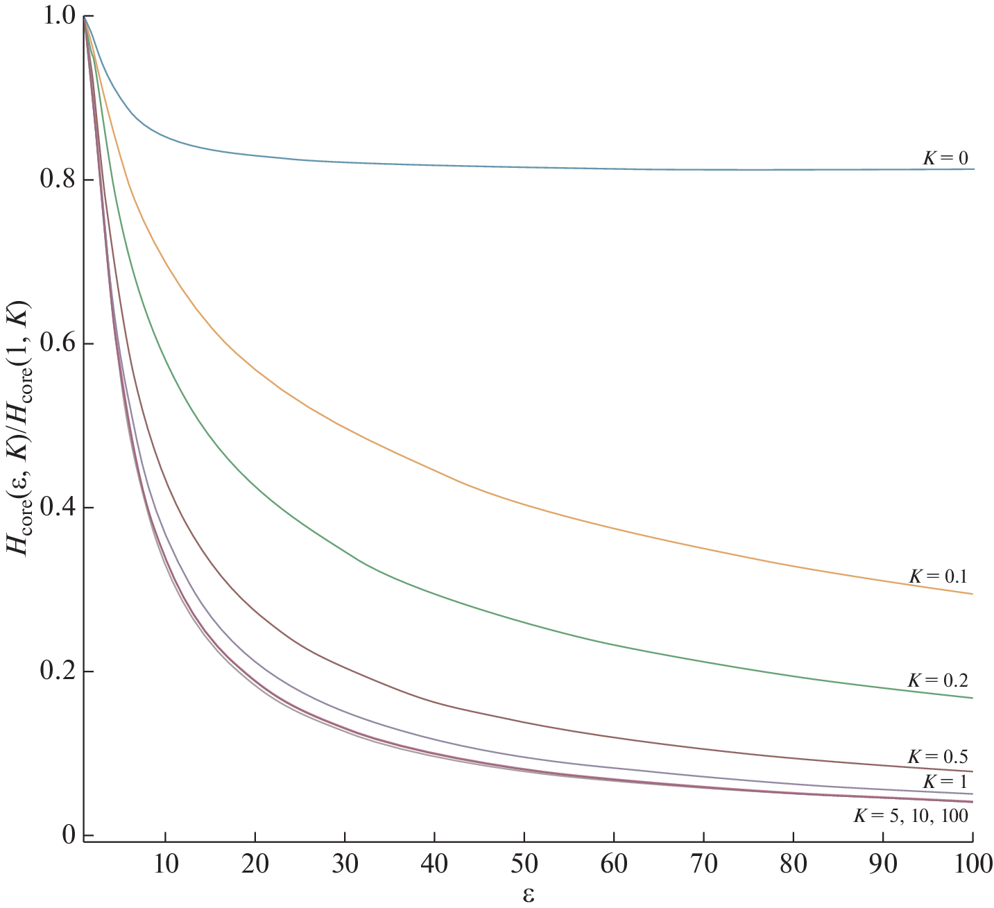
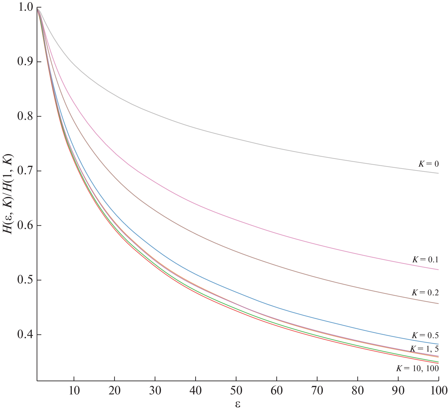
The paper proposes a study of the transformation of the physical properties of mesoscale vortices during their strong elongation by horizontal barotropic currents. It is shown that when the core is pulled out, the kinetic and available potential energies of the vortex individually, as well as their sum (the total mechanical energy of the vortex) decreases, and the vortex itself degrades in all physical parameters. The decrease in the energy of the ensemble of vortices when they are pulled out by the background flow is interpreted as a manifestation of the reverse energy cascade property or, in older terminology, the phenomenon of negative viscosity.
About the authors
V. V. Zhmur
P.P. Shirshov Institute of Oceanology, Russian Academy of Sciences
Author for correspondence.
Email: zhmur-vladimir@mail.ru
Russia, Moscow
D. A. Harutyunyan
Moscow Institute of Physics and Technology (State University)
Email: zhmur-vladimir@mail.ru
Russia, Moscow
References
- Голицын Г.С. Вероятностные структуры макромира: землетрясения, ураганы, наводнения. М.: Физматлит, 2021. 176 с.
- Жмур В.В. Мезомасштабные вихри океана. М.: ГЕОС, 2011. 384 с.
- Жмур В.В., Новоселова Е.В., Белоненко Т.В. Потенциальная завихренность в океане: подходы Эртеля и Россби с оценками для Лофотенского вихря // Известия РАН. Физика атмосферы и океана. 2021. Т. 57. № 6. С. 721–732.
- Жмур В.В., Панкратов К.К. Динамика эллипсоидального приповерхностного вихря в неоднородном потоке // Океанология. 1989. Т. 29. № 2. С. 205–211.
- Жмур В.В., Панкратов К.К. Дальнее взаимодействие ансамбля квазигеострофичнских эллипсоидальных вихрей. Гамильтонова формулировка // Изв. АН СССР. Физика атмосферы и океана. 1990. Т. 26. № 9. С. 972–981.
- Жмур В.В., Щепеткин А.Ф. Эволюция эллипсоидального вихря в стратифицированном океане в приближении f-плоскости // Изв. АН СССР. Физика атмосферы и океана. 1991. Т. 27. № 5. С. 492–503.
- Зацепин А.Г., Баранов В.И., Кондрашов А.А. и др. Субмезомасштабные вихри на кавказском шельфе Черного моря и порождающие их механизмы // Океанология. 2011. Т. 51. № 4. С. 592–605.
- Ларичев В.Д., Резник Г.М. Сильнонелинейный двумерный солитон волн Россби // Океанология. 1976. Т. 16. № 6. С. 961–967.
- Bower A.S., Hendry R.M., Amrhein D.E., Lilly J.M. Direct observations of formation and propagation of subpolar eddies into the Subtropical North Atlantic // Deep-Sea Research II. 2013. V. 85. P. 15–41. https://doi.org/10.1016/j.dsr2.2012.07.029
- Brannigan L. Intense submesoscale upwelling in anticyclonic eddies // Geophys. Res. Lett. 2016. V. 43. № 7. P. 3360–3369. https://doi.org/10.1002/2016GLO67926
- Brannigan L., Marshall D.P., Naveira-Garabato A. et al. Submesoscale instabilities in mesoscale eddies // Journal of Physical Oceanography. 2017. V. 47. № 12. P. 3061–3085. https://doi.org/10.1175/JPO-D-16-0178.1
- Capet X., McWilliams J.C., Molemaker M.J., Shchepetkin A.F. Mesoscale to submesoscale. Transition in the California current system. Part I: flow structure, eddy flux, and observational tests // Journal of Physical Oceanography. 2008. V. 38. № 1. P. 29–43. https://doi.org/10.1175/2007JPO3671.1
- Capet X., McWilliams J.C., Molemaker M.J., Shchepetkin A.F. Mesoscale to submesoscale transition in the California current system. Part II: frontal processes // Journal of Physical Oceanography. 2008. V. 38. № 1. P. 44–46. https://doi.org/10.1175/2007JPO3672.1
- Capet X., McWilliams J.C., Molemaker M.J., Shchepetkin A.F. Mesoscale to submesoscale transition in the California current system. Part III: energy and balance flux // Journal of Physical Oceanography. 2008. V. 38. № 10. P. 2256–2269. https://doi.org/10.1175/2008JPO3810.1
- de Marez C., Carton X., Corréard S. et al. Observations of a deep submesoscale cyclonic vortex in the Arabian Sea // Geophys. Res. Lett. 2020. V. 47. № 13, e2020GL087881 (10 p.). https://doi.org/10.1029/2020GL087881
- Ertel H. Ein neuer hydrodynamischer Erhaltungssatz. Die Naturwissenschaften. 1942. V. 36. P. 543–544.
- Ertel H. Über hydrodynamischer Wirbelsätze. Physikalische Zeitschrift Leipzig. 1942. V. 43. P. 526–529.
- Ertel H. Ein neuer hydrodynamischer Wirbelsatz. Meteorologische Zeitschrift. 1942. V. 59. P. 277–281.
- Gula J., Blacic T.M., Todd R.E. Submesoscale coherent vortices in the Gulf Stream // Geophys. Res. Lett. 2019. V. 46. № 5. P. 2704–2714. https://doi.org/10.1029/2019GL081919
- Klein P., Lapeyre G. The oceanic vertical pump induced by mesoscale and submesoscale turbulence // Annu. Rev. Mar. Sci. 2009. V. 1. № 1. P. 351–357. https://doi.org/10.1146/annurev.marine.010908.163704
- Koshel K.V., Ryzhov E.A., Zhmur V.V. Ellipsoidal vortex in a nonuniform flow: dynamics and chaotic advections // J. Mar. Res. 2011. V. 69. № 2–3. P. 435–461.
- Koshel K.V., Ryzhov E.A., Zhmur V.V. Diffusion – effected passive scalar transport in an ellipsoidal vortex in a shear flow // Nonlinear Processes in Geophysics. 2013. V. 20. P. 437–444. https://doi.org/10.5194/npg-20-437-2013
- Koshel K.V., Ryzhov E.A., Zhmur V.V. Effect of the vertical component of diffusion on passive scalar transport in an isolated vortex model // Phys. Rev. 2015. V. 92. № 5. 053021. https://doi.org/10.1103/PhysRevE.92.053021
- Mahadevan A.,Tandon A. An analysis of mechanisms for submesocale vertical motion at fronts // Ocean Modelling. 2006. V. 14. № 3. P. 241–256. https://doi.org/10.1016/j.ocemod.2006.05.006
- McKiver W.J. Balanced ellipsoidal vortex at finite Rossby number // Geophysical and Astrophysical Fluid Dynamics. 2020. V. 114. № 4-5. P. 1–26. https://doi.org/10.1080/03091929.2020.1755671
- Meacham S.P. Quasigeostrophic, ellipsoidal vortices in a stratified fluid // Dynamics of Atmospheres and Oceans. 1992. V. 16. № 3–4, P. 189–223.
- Meacham S.P., Pankratov K.K., Shchepetkin A.F., Zhmur V.V. The interaction of ellipsoidal vortices with background shear flows in a stratified fluid // Dynamics of Atmospheres and Oceans. 1994. V. 21. № 2–3. P. 167–212. https://doi.org/10.1016/0377-0265(94)90008-6
- Pankratov K.K., Zhmur V.V. A dynamics of desingularized quasigeostrophic vortices // Phys. Fluids A. 1991. V. 3. P. 1464.
- Roullet G., Klein P. Cyclone-anticyclone asymmetry in geophysical turbulence // Phys. Rev. 2010. V. 104. № 21. 218501. https://doi.org/10.1103/PhysRevLett.104.218501
- Zhmur V.V., Novoselova E.V., Belonenko T.V. Peculiarities of Formation the of Density Field in Mesoscale Eddies of the Lofoten Basin: Part 1 // Oceanology. 2021. V. 61. № 6. P. 830–838.
Supplementary files









