Heterotrophic Nano- and Microplankton in the Kara Sea in Autumn
- Authors: Sazhin A.F.1, Romanova N.D.1, Kopylov A.I.2, Romanenko A.V.2, Zabotkina E.A.2
-
Affiliations:
- Shirshov Institute of Oceanology, Russian Academy of Sciences
- Papanin Institute of Biology of Inland Waters, Russian Academy of Sciences
- Issue: Vol 63, No 2 (2023)
- Pages: 243-254
- Section: Морская биология
- URL: https://medbiosci.ru/0030-1574/article/view/136238
- DOI: https://doi.org/10.31857/S0030157423020119
- EDN: https://elibrary.ru/NQOHAH
- ID: 136238
Cite item
Full Text
Abstract
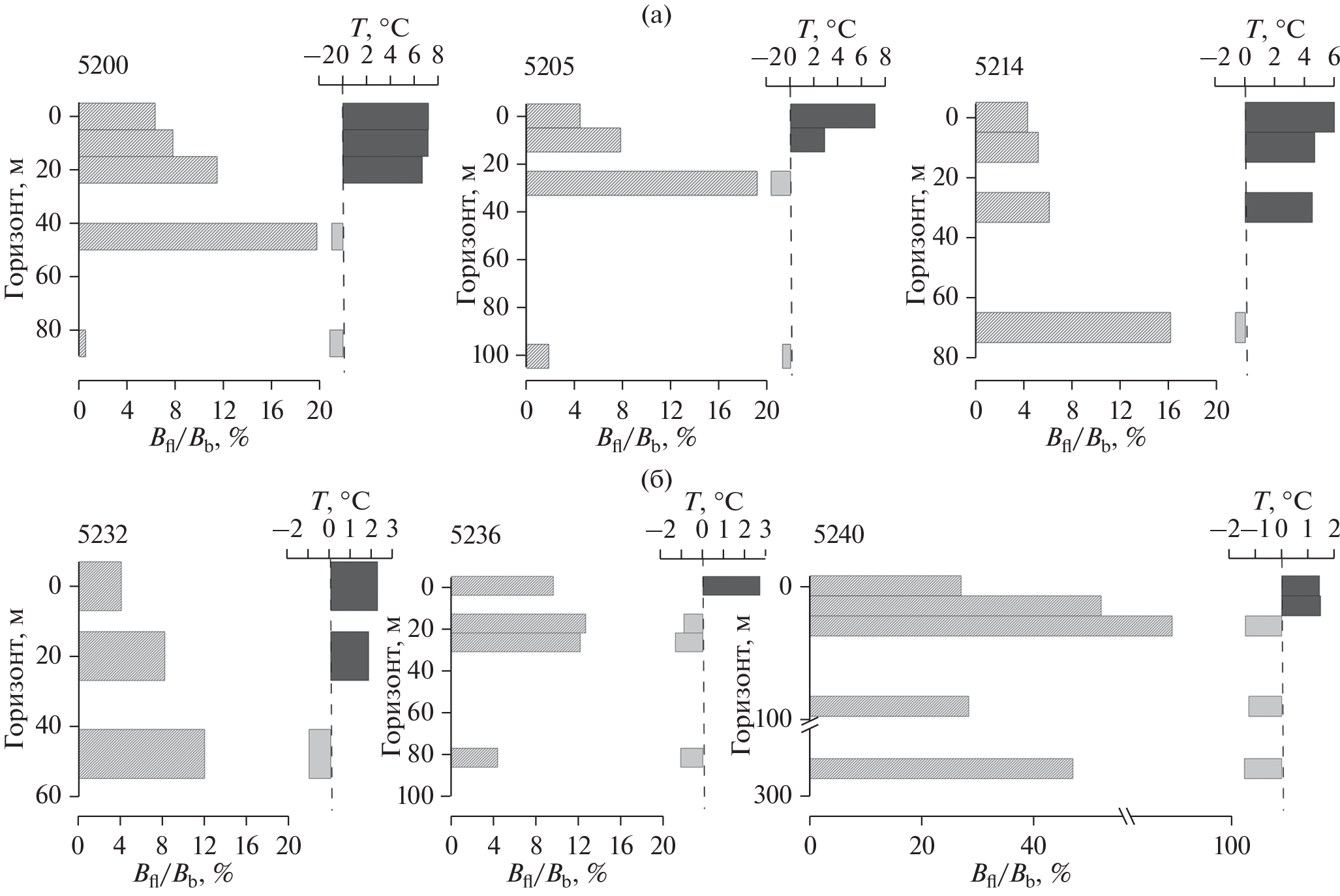
Based on the obtained and all available literature data, it has been shown that the abundance of heterotrophic flagellates in the Kara Sea at the end of the season is relatively stable in different years, while in other Arctic seas (East Siberian and Chukchi Seas) the described values of this indicator are 1.5–2 times higher. The indicators of the abundance of heterotrophic nanoflagellates in the bottom water vary to a much lesser extent than in the water column. The abundance of heterotrophic nanoflagellates in the bottom water of the bays of the Novaya Zemlya archipelago is significantly lower than in the same biotopes in the eastern and western parts of the Kara Sea. Most organisms are free-living forms. About a third of the protozoa are associated with detritus particles. The ratio of the biomass of heterotrophic flagellates to the biomass of bacteria more than doubles in the layer of bottom water and in the upper layer of sediments compared to the water column. For the water column of the Kara Sea, the calculated value of grazing of bacterioplankton by flagellates does not exceed 2% of their biomass. The ratio of the eaten biomass of bacterioplankton to the biomass of consumers in most cases decreases with depth.
About the authors
A. F. Sazhin
Shirshov Institute of Oceanology, Russian Academy of Sciences
Author for correspondence.
Email: andreysazhin@yandex.ru
Russia, 117997, Moscow
N. D. Romanova
Shirshov Institute of Oceanology, Russian Academy of Sciences
Email: andreysazhin@yandex.ru
Russia, 117997, Moscow
A. I. Kopylov
Papanin Institute of Biology of Inland Waters, Russian Academy of Sciences
Email: andreysazhin@yandex.ru
Russia, 152742, Yaroslavl region, pos. Borok
A. V. Romanenko
Papanin Institute of Biology of Inland Waters, Russian Academy of Sciences
Email: andreysazhin@yandex.ru
Russia, 152742, Yaroslavl region, pos. Borok
E. A. Zabotkina
Papanin Institute of Biology of Inland Waters, Russian Academy of Sciences
Email: andreysazhin@yandex.ru
Russia, 152742, Yaroslavl region, pos. Borok
References
- Белевич Т.А., Ильяш Л.В., Демидов А.Б., Флинт М.В. Распределение пикофитопланктона на Обском разрезе и в западной части Карского моря // Океанология. 2019. Т. 59. № 6. С. 964–973.
- Белевич Т.А., Милютина И.А., Троицкий А.В., Флинт М.В. Пикофитопланктон залива Благополучия (Архипелаг Новая Земля) и прилегающего района Карского моря // Океанология. 2020. Т. 60. № 4. С. 545–555.
- Дриц А.В., Кравчишина М.Д., Пастернак А.Ф. и др. Роль зоопланктона в вертикальном потоке вещества в Карском море и море Лаптевых в осенний сезон // Океанология. 2017. Т 57. № 6. С. 934–948.
- Копылов А.И. Роль гетеротрофных нанофлагеллят в функционировании морских и пресноводных эко систем. Автореф. дис. дра биол. наук. М.: Ин-т океанологии им. П.П. Ширшова РАН, 2003. 40 с.
- Копылов А.И., Косолапов Д.Б., Заботкина Е.А. и др. Планктонные вирусы, гетеротрофные бактерии и нанофлагелляты в пресных и морских водах бассейна Карского моря (Арктика) // Биология внутренних вод. 2012. № 3. С. 15–25.
- Копылов А.И., Косолапов Д.Б., Заботкина Е.А. и др. Распределение и взаимоотношения гетеротрофных микроорганизмов и вирусов на шельфе Восточно-Сибирского моря // Океанология. 2021. Т. 61. № 2. С. 250–263.
- Косолапова Н.Г., Косолапов Д.Б., Копылов А.И., Романенко А.В. Гетеротрофные нанофлагелляты в пелагиали и донных отложениях восточной части моря Лаптевых // Океанология. 2019. Т. 59. № 6. С. 974–986.
- Романова Н.Д., Сажин А.Ф. Гетеротрофный микропланктон южной оконечности желоба Святой Анны в осенний период (Карское море) // Океанологические исследования. 2018. Т. 46. № 3. С. 116–129.
- Романова Н.Д., Мазей Ю.А., Тихоненков Д.В. и др. Сообщества гетеротрофных микроорганизмов на границе “вода дно” в Карском море // Океанология. 2013. Т. 53. № 3. С. 375–375.
- Тихоненков Д.В., Бурковский И.В., Мазей Ю.А. Свободноживущие гетеротрофные жгутиконосцы сублиторали и батиали Карского моря // Биология моря. 2015. Т. 41. № 3. С. 196–204.
- Флинт М.В., Арашкевич Е.Г., Артемьев В.А. и др. Экосистемы морей Сибирской Арктики. Материалы экспедиционных исследований 2015 и 2017 гг. // М.: ИО РАН. 2018. 232 с.
- Azam F., Fenchel T., Field J.G. et al. The ecological role of water-column microbes in the sea // Marine Ecology Progress Series. 1982. V. 10. P. 257–263.
- Boenigk J., Arndt H. Bacterivory by heterotrophic flagellates: community structure and feeding strategies // Antonie van Leeuwenhoek. 2002. V. 81. P. 465–480.
- Borsheim K.Y., Bratbak G. Cell volume to carbon conversion factors for a bacterivorous Monas sp. enriched from seawater // Mar. Ecol. Prog. Ser. 1987. V. 36. P. 171–175.
- Caron D.A. Technique for enumeration of heterotrophic and phototrophic nanoplankton, using epifluorescence microscopy, and comparison with other procedures // Appl. Environ. Microbiol. 1983. V. 46. № 2. P. 491–498.
- Caron D.A. Protistan Herbivory and Bacterivory // Marine Microbiology. 2001. V. 30. P. 289–315.
- Danovaro R., Middelboe M. Separation of free virus particles from sediments in aquatic systems. In: Steven Wilhelm, Markus Weinbauer, Curtis Suttle (Eds.) // Manual of Aquatic Viral Ecology. 2010. P. 74–81.
- Fenchel T. Ecology of heterotrophic microflagellates. II. Bioenergetics and growth // Mar. Ecol. Prog. Ser. 1982. V. 8. P. 225–231.
- Fenchel T. The microbial loop – 25 years later // Journal of Experimental Marine Biology and Ecology. 2008. V. 366. P. 99–103.
- Hondeveld B.J.M., Nieuwland G., Van Duyl F.C., Bak R.P.M. Temporal and spatial variations in heterotrophic nanoflagellate abundance in North Sea sediments // Mar. Ecol. Prog. Ser. 1994. V. 109. P. 235–243.
- Kopylov A.I., Zabotkina E.A., Romanenko A.V. et al. Viruses in the water column and the sediment of the eastern part of the Laptev Sea. Estuarine, Coastal and Shelf Science. 2020. 242: Art. 106836. https://doi.org/10.1016/j.ecss.2020.106836
- Lee S., Fuhrman J.A. Relationships between biovolume and biomass of naturally derived marine bacterioplankton //Applied and environmental microbiology. 1987. V. 53. № 6. P. 1298–1303.
- Levinsen H., Nielsen T.G. The trophic role of marine pelagic ciliates and heterotrophic dinoflagellates in arctic and temperate coastal ecosystems: A cross-latitude comparison // Limnol.Oceanogr. 2002. V. 47. № 2. P. 427–439.
- Levinsen H., Turner J.T., Nielsen T.G., Hansen B.W. On the trophic coupling between protists and copepods in arctic marine ecosystems // Marine Ecology Progress Series. 2000. V. 204. P. 65–77.
- Menden-Deuer S., Lessard E.J. Carbon to volume relationship for dinoflagellates, diatoms, and other protist plankton // Limnol.Oceanogr. 2000. V. 45. P. 569–579.
- Nejstgaard J.C., Naustvoll L–J., Sazhin A. Correcting for underestimation of microzooplankton grazing in bottle incubation experiments with mesozooplankton // Mar. Ecol. Progr. Ser. 2001. V. 221. P. 59–75.
- Norland S. The relationship between biomass and volume of bacteria // Handbook of Methods in Aquatic Microbial Ecology. Boca Raton: Lewis Publ., 1993. P. 303–308.
- Porter K.G., Feig Y.S. The use of DAPI for identifying and counting aquatic microflora // Limnol. Oceanog. 1980. V. 25. № 5. P. 943–948.
- Rokkan K.I., Lena Seuthe L. Seasonal microbial processes in a high-latitude fjord (Kongsfjorden, Svalbard): I. Heterotrophic bacteria, picoplankton and nanoflagellates // Polar. Biol. 2011. V. 34. P. 731–749.
- Rysgaard S., Nielsen T.G., Hansen B.W. Seasonal variation in nutrients, pelagic primary production and grazing in a high-Arctic coastal marine ecosystem, Young Sound, Northeast Greenland // Marine Ecology Progress Series. 1999. V. 179. P. 13–25.
- Sherr E.B., Sherr B.F., Fessenden L. Heterotrophic Protists in the Central Arctic Ocean // Deep-Sea Res. II. 1997. V. 44. P. 1665–1682.
- Sherr E.B., Sherr B.F., Wheeler P.A., Thompson K. Temporal and spatial variation in stocks of autotrophic and heterotrophic microbes in the upper water column of the central Arctic Ocean // Deep Sea Research Part I: Oceanographic Research Papers. 2003. V. 50. № 5. P. 557–571.
- Vosjan J.H., van Noort G.J. Enumerating nucleoid-visible marine bacterioplankton: bacterial abundance determined after storage of formalin fixed samples agrees with isopropanol rinsing method // Aquatic microbial ecology. 1998. V. 14. №. 2. P. 149–154.
- Yang E.J., Ha H.K., Kang S.H. Microzooplankton community structure and grazing impact on major phytoplankton in the Chukchi sea and the western Canada basin, Arctic ocean // Deep Sea Research Part II: Topical Studies in Oceanography. 2015. V. 120. P. 91–102.
Supplementary files







