Thiosulfate in the Upper Part of the Black Sea Anoxic Water Column
- Authors: Dubinin A.V.1, Rimskaya-Korsakova M.N.1, Ocherednik O.A.2, Pakhomova S.V.1
-
Affiliations:
- Shirshov Institute of Oceanology, Russian Academy of Sciences
- Southern branch of the Shirshov Institute of Oceanology, Russian Academy of Sciences
- Issue: Vol 63, No 3 (2023)
- Pages: 382-391
- Section: Химия моря
- URL: https://medbiosci.ru/0030-1574/article/view/136251
- DOI: https://doi.org/10.31857/S0030157423030036
- EDN: https://elibrary.ru/SRLYNJ
- ID: 136251
Cite item
Full Text
Abstract
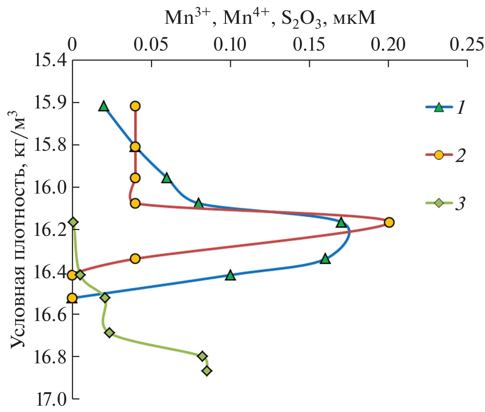
Thiosulfate is a sulfur compound in an intermediate oxidation state between sulfate and sulfide. It emerges during processes of sulfide oxidation in bacterial and chemical reactions. Thiosulfate plays a prominent role in oxidation of sulfide and its presence may clear the mechanism of redox reactions in the biogeochemical cycles of sulfur and carbon. This work presents the distribution of thiosulfate, determined by derivatization technique with reagent 2,2'-Dithiobis(5-nitropyridine), in the upper part of the Black Sea anoxic water column in 2018–2021. Observations were carried out annually at the station located seaward of Gelendzhik in the area of continental slope. Independently of observation time the concentration of thiosulfate rises depth wards simultaneously with increase of sulfide. The thiosulfate concentration above limit of detection 0.01 µM are found at water depth with density (σθ) of 16.3 kg/m3 and sulfide concentration of 8–11 µM. Thiosulfate reaches its maximum values of 0.30 µM at maximal studied depth of 600 m. We suggest that in the absence of oxidants in the anoxic waters the thiosulfate appearance is attributed to the process of sulfate reduction in reductive part of sulfur cycle. The thiosulfate disappears in the upper part of anoxic water column before the sulfide.
Keywords
About the authors
A. V. Dubinin
Shirshov Institute of Oceanology, Russian Academy of Sciences
Author for correspondence.
Email: dubinin@ocean.ru
Russia, Moscow
M. N. Rimskaya-Korsakova
Shirshov Institute of Oceanology, Russian Academy of Sciences
Email: dubinin@ocean.ru
Russia, Moscow
O. A. Ocherednik
Southern branch of the Shirshov Institute of Oceanology, Russian Academy of Sciences
Email: dubinin@ocean.ru
Russia, Gelendzhik
S. V. Pakhomova
Shirshov Institute of Oceanology, Russian Academy of Sciences
Email: dubinin@ocean.ru
Russia, Moscow
References
- Беляев Н.А., Пересыпкин В.И., Поняев М.С. Органический углерод воды, взвеси и верхнего слоя донных осадков западной части Карского моря // Океанология. 2010. Т. 50. № 5. С. 748–757.
- Дубинин А.В., Демидова Т.П., Кременецкий В.В. и др. Определение восстановленных форм серы в анаэробной зоне Черного моря: сравнение методов спектрофотометрии и иодометрии // Океанология. 2012. Т. 52. № 2. С. 200–209.
- Дубинин А.В., Демидова Т.П., Римская-Корсакова М.Н. и др. Определение восстановленных форм серы в воде анаэробных бассейнов // Морской гидрофизический журнал. 2019. Т. 35. № 1 37–51. https://doi.org/10.22449/0233-7584-2019-1-37-51
- Пахомова С.В., Розанов А.Г., Якушев Е.В. Растворенные и взвешенные формы железа и марганца в редокс-зоне Черного моря // Океанология. 2009. Т. 49. № 6. С. 835–850.
- Современные методы гидрохимических исследований океана. М.: ИОАН СССР, 1992. 200 с.
- Dellwig O., Leipe T., März et al. A new particulate Mn-Fe-P-shuttle at the redoxcline of anoxic basins // Geochim. Cosmochim. Acta. 2010. V. 74. P. 7100–7115.
- Findlay A.J., Kamyshny A. Turnover Rates of Intermediate Sulfur Species (, S0, , , ) in Anoxic Freshwater and Sediments // Front. Microbiol. 2017. V. 8. P: 2551. https://doi.org/10.3389/fmicb.2017.0255110.3389/fmicb.2017.02551
- Hayes M.K., Taylor G.T., Astor Y. et al. Vertical distributions of thiosulfate and sulfite in the Cariaco Basin // Limnol. Oceanogr. 2006. V. 51. № 1. P. 280–287.
- Jørgensen B.B. A thiosulfate shunt in the sulfur cycle of marine sediments // Science. 1990. V. 249. P. 152–153.
- Jørgensen B.B., Fossing H., Wirsen C.O. et al. Sulfide oxidation in the anoxic Black Sea chemocline // Deep-Sea Res. 1991. V. 38. № 2. S1083–S1103.
- Li X., Taylor G.T., Astor Y. et al. Relationship of sulfur speciation to hydrographic conditions and chemoautotrophic production in the Cariaco Basin // Marine Chem. 2008. V. 112. P. 53–64.
- Millero F.J. The oxidation of H2S in Framvaren Fjord // Limnol. Oceanogr. 1991. V. 36. № 5. P. 1007–1014.
- Percy D., Li X., Taylor G.T. et al. Controls on iron, manganese and intermediate oxidation cate sulfur compounds in the Cariaco Basin // Marine Chem. 2008. V. 111. P. 47–62.
- Pimenov N.V., Neretin L.N. Composition and activities of microbial communities involved in carbon, sulfur, nitrogen and manganese cycling in the oxic/anoxic interface of the Black Sea // In: Neretin L.N. (Ed.) Past and present water column anoxia. Elsevier, 2006. P. 501–521.
- Vainshtein M.B., Matrosov A.G., Baskunov V.P. et al. Thiosulfate as an intermediate product of bacterial sulfate reduction // Microbiology. 1980. P. 672–675.
- Vairavamurthy A., Mopper K. Determination of sulfite and thiosulfate in aqueous samples including anoxic seawater by liquid chromatography afterderivatization with 2,2'-dithiobis(5-nitropyridine) // Environment Sci. Technol. 1990. V. 24. P. 333–337.
- Volkov I.I., Neretin L.N. Hydrogen sulfide in the Black Sea // In: Kostianoy A.G., Kosarev A.N. (Eds.). The Black Sea environment. Berlin, Heidelberg, New York: Springer-Verlag, 2008. P. 309–331.
- Wakeham S.G., Amann R., Freeman K.H. et al. Microbial ecology of the stratified water column of the Black Sea as revealed by a comprehensive biomarker study // Organic Geochemistry. 2007. V. 38. P. 2070–2097.
- Yakushev E., Pakhomova S., Sørenson K. et al. Importance of the different manganese species in the formation of water column redox zones: Observations and modeling // Marine Chem. 2009. V. 117. P. 59–70.
- Zhang J-Z., Millero F.J. The chemistry of the anoxic waters in the Cariaco Trench // Deep-Sea Research. 1993a. V. 40. № 5. P. 1023–1041.
- Zhang J-Z., Millero F.J. The products from the oxidation of H2S in seawater Geochim. Cosmochim. Acta. 1993b. V. 57. P. 1705–1718.
- Zopfi J., Ferdelman T.G., Fossing H. Distribution and fate of sulfur intermediates – sulfite, tetrathionate, thiosulfate, and elemental sulfur – in marine sediments // In: Amend J.P. (Eds.). Sulfur biogeochemistry—Past and present. Boulder, Colorado, Geological Society of America, 2004. V. 379. P. 97–116.
Supplementary files










