Long-Term Dynamics of Phytoplankton Parameters and Water Temperature in the Area of Sevastopol (Black Sea)
- Authors: Krasheninnikova S.B.1, Chmyr V.D.1, Lee R.I.1, Minkina N.I.1
-
Affiliations:
- A. O. Kovalevsky Institute of Biology of the Southern Seas of RAS
- Issue: Vol 64, No 3 (2024)
- Pages: 450-461
- Section: Морская биология
- URL: https://medbiosci.ru/0030-1574/article/view/272932
- DOI: https://doi.org/10.31857/S0030157424030065
- EDN: https://elibrary.ru/QCJRWJ
- ID: 272932
Cite item
Full Text
Abstract
Based on contact data, the dynamics of the abundance (N) and biomass (B) of phytoplankton in 2013–2014 and the concentration of chlorophyll a (Cсhl) in 2000–2003 and 2008–2021 were analyzed using fast Fourier transform (FFT) under conditions of changing water temperature (T) in the vicinity of Sevastopol in the Black Sea. Estimates of the contribution made by the variability of the annual and semiannual harmonics of N, B, Cchl, T to the seasonal cycle amounted to more than 56% for all parameters. A significant relationship between B and Cchl (r < –0.83) at two stations indicates the aging of microalgae. The dominance of different groups of microalgae in the phytoplankton biomass has been detected. A typical period of 2–4 years is distinguished in the interannual variability of Cchl and T in different seasons.
Full Text
ВВЕДЕНИЕ
Для оценки состояния экосистемы Черного моря вблизи Севастополя необходимы знания о первичном звене продукции пелагиали – фитопланктоне [23]. Мониторинговые исследования фитопланктона часто сопровождались определением концентрации хлорофилла–а (Cхл) [10, 23, 33], которая является показателем развития фитопланктона и его продукционных характеристик [2]. Сезонная и межгодовая изменчивости биомассы, численности фитопланктона и концентрации хлорофилла–а на взморье Севастополя и в Севастопольской бухте исследовались в многочисленных работах [14, 19–25].
Сезонный цикл фитопланктонных показателей в этих районах характеризуется несколькими максимумами [4, 14, 20]. В Севастопольской бухте выделялись летний (август 2001 г.) и зимний (январь 2002 г.) максимумы численности фитопланктона, и осенний максимум биомассы фитопланктона (октябрь 2001 г.) [14]. В районе Севастополя в периоды весеннего и осеннего “цветения” фитопланктона доминировали диатомовые водоросли Chaetoceros socialis, зимой – два вида диатомовых водорослей Sceletonema costatum и C. socialis [20], в летний период (май–июль) – кокколитофориды [3, 18]. Сезонная изменчивость количественных показателей фитопланктона в Черном море может определяться изменениями содержания хлорофилла–а [4].
На межгодовых масштабах биомасса фитопланктона изменяется волнообразно, при отсутствии статистически значимых тенденций [10].
На обилие фитопланктона может оказывать влияние температура воды [3, 9, 27, 30]. После холодной зимы концентрация хлорофилла–а в прибрежных районах Черного моря в весенний период должна быть в 3–5 раз выше, чем в годы с теплой зимой [9, 27]. В летний период наблюдались мощные цветения кокколитофорид после холодных зим [3]. На скорость роста и количественные показатели фитопланктона может также влиять поступление биогенных элементов [20, 30].
Несмотря на имеющиеся множественные оценки количественных показателей фитопланктона прибрежных районов Черного моря вблизи Севастополя, все равно нет единого мнения: 1) о характере сезонного цикла биомассы, численности фитопланктона, концентрации хлорофилла–а; 2) о видах-доминантах в отдельные сезоны; 3) о типичных периодах межгодовой изменчивости характеристик фитопланктона; 4) о существующей связи между ними и температурой воды. Это обусловлено нерегулярностью отбора проб фитопланктона по пространству и времени, сложностью и разностью методик определения его показателей, значительной межгодовой изменчивостью сезонного цикла.
Цель работы – уточнить сезонный цикл показателей фитопланктона, выделить периоды межгодовой изменчивости концентрации хлорофилла–а и температуры воды в разные сезоны во взморье Севастополя и устьевой зоне Севастопольской бухты (Черном море).
МАТЕРИАЛЫ И МЕТОДЫ
Для того, чтобы уменьшить неопределенности, связанные с методикой отбора проб и определения, нами была проведена унификация данных по биомассе (B, мг · м–3) и численности (N, млн кл · м–3) фитопланктона за 2013–2014 гг., по концентрации хлорофилла–а (Cхл, мг · м–3) за 2000–2021 гг.
Пробы для определения хлорофилла–а (1 л) и фитопланктона (1.5 л) отбирались пластиковым ведром в ходе множественных экспедиций с борта маломерных судов ФИЦ ИнБЮМ, примерно в одних и тех же координатах двух близко расположенных (~2.5 км) станций: Веха (Севастопольское взморье) 2013–2021 гг. и Равелин (устьевая зона Севастопольской бухты) 2008–2021 гг., представленных на карте (рис. 1).
Рис. 1. Расположение станций отбора проб.
Отбор проб на этих станциях одновременно с измерением температуры воды (Т, °C) производился в среднем 2–4 раза в месяц. Однако не все месяцы объединяющего периода 2013–2021 гг. для двух станций были полностью охвачены наблюдениями.
Фильтрация проб для определения хлорофилла–а осуществлялась с помощью установки прямой вакуумной фильтрации через нуклеопоровые фильтры 0.3 мкм, в лаборатории ФИЦ ИнБЮМ в течение 3 часов после отбора проб. Затем фильтры клались в морозильную камеру при температуре –18°C. После их помещали в 90% раствор ацетона. Затем в центрифуге осаждалась взвесь. Полученные сгущенные экстракты анализировались с помощью спектрофотометра Spekol-11. С мая 2012 г. для определения Cхл использовали нитроцеллюлозные фильтры (Sartorius) с диаметром 47 мм и размером пор 0.45 мкм. Расчет концентрации хлорофилла–а проводился классическим методом Джефри–Хамфри [28]. Значения концентраций хлорофилла–а за 2000–2003 гг., также определенных с помощью ацетонового метода, были взяты из работы [20]. Среднемесячные оценки температуры воды были дополнены данными за 2000–2003 гг. [27]. В период 2004–2007 гг. мониторинг концентрации хлорофилла–а не проводился.
Отобранные пробы для определения фитопланктона (1.5 л) сгущали с помощью воронки обратной фильтрации в лаборатории ФИЦ ИнБЮМ, используя нуклеопоровые фильтры с диаметром пор 1 мкм, и фиксировали 40% формалином. Подсчет клеток различной плотности и размерного состава осуществляли в трехкратной повторности под световым микроскопом ЛОМО “Микмед-2” (с увеличением 100 и 200 крат). Для вычисления биомассы фитопланктона применялся метод истинного объема (формулы геометрического подобия клеток). Расчет биомассы и численности проводили по стандартным методикам [7]. Определялся также таксономический состав сообщества фитопланктона, выделялись виды-доминанты, на долю которых приходилось более 20% численности или биомассы.
Среднесезонные значения концентрации хлорофилла–а и температуры воды рассчитывались как средние за три месяца, начиная с января. По всем данным показателей фитопланктона и температуры воды рассчитывались среднемноголетние значения и среднеквадратические отклонения за определенные периоды наблюдений.
Для определения сходства или различия числа обнаруженных таксонов между двумя районами исследования в работе рассчитывался коэффициент флористического сходства Сёренсена–Чекановского [26].
В работе впервые применен спектральный анализ для обработки результатов наблюдений за показателями фитопланктона, концентрацией хлорофилла–а и температурой воды на сезонном масштабе с использованием метода быстрого преобразования Фурье (БПФ). Этот метод позволяет представить исходный временной ряд в виде совокупности гармонических функций (спектральных составляющих) с различными периодами и амплитудами, в которых составляющие расположены по убыванию их периодов. Полученные спектральные составляющие образуют частотный спектр исходного временного ряда [5]. Данный метод помимо качественной оценки использует и количественные значения вклада гармоник, что накладывает дополнительные требования к точности результатов, полученных с использованием БПФ. Применение БПФ обосновано непрерывностью данных анализируемых параметров, охватывающих все месяцы за 1 год (06.2013–04.2014) на двух станциях. Каждый месяц в основном был обеспечен 2–4 значениями количественных показателей фитопланктона, концентрации хлорофилла–а и температуры воды, по которым далее рассчитывались среднеквадратические отклонения ( ± σ). Преобразование Фурье дает результаты с хорошей точностью, когда исходная последовательность содержит кратное количество периодов основной частоты. В противном случае может возникнуть “утечка БПФ” [13]. Поэтому исходные ряды 12 среднемесячных значений B, N, Схл, Т сначала преобразовывались в ряды кратные 2N, при N = 10, после чего проводилась линейная интерполяция данных с помощью стандартных функций Mathcad14 для получения непрерывных рядов. Эти ряды данных проверялись на нормальность распределения по критерию Колмогорова-Смирнова (p > 0.05) с использованием программы Statistica. После выполнялось быстрое преобразование Фурье с использованием стандартных функций Mathcad14. На основе спектрального анализа в сезонном цикле показателей фитопланктона выделялись годовая и полугодовая гармоники, а также гармоники более высокого порядка. Определялись величины амплитуд этих гармоник и оценивался их вклад, вносимый в сезонную изменчивость. Для построения графиков амплитудно-периодных характеристик использовалось обратное преобразование Фурье, где периодам 12 месяцев соответствовала 1-я гармоника (годовая), 6 месяцам – 2-я гармоника (полугодовая) и т. д.
Далее проводился корреляционный анализ Пирсона c использованием программы Microsoft Excel 2010 в целях поиска связей между гармониками различных показателей фитопланктона, вносившими наибольший вклад в сезонную изменчивость. Поиск корреляционных связей между среднегодовыми значениями Cхл и T на межгодовых масштабах проводился на ст. Веха и Равелин. Значимость корреляций определялась по t-критерию Стьюдента [31].
Для выделения типичного периода межгодовой динамики средневесенних значений концентрации хлорофилла–а и температуры поверхности воды на станции Равелин проводился стандартный спектральный анализ их непрерывных рядов [5], строились и анализировались периодограммы.
РЕЗУЛЬТАТЫ
Таксономический состав фитопланктона на станциях Веха и Равелин в 2013–2014 гг. На станции Веха зарегистрировано 95 видов и внутривидовых таксонов, относящихся к 9 отделам: диатомовых – 45 таксонов, динофитовых – 36 и 14 видов из других отделов. Выявлены массовые по численности мелкоклеточные виды фитопланктона Сhaetoceros affinis Lauder 1864, Ch. curvisetus Cleve 1889, Ch. muelleri Lemmermann 1898, Cyclotella caspia, Nitzschia tenuirostris Mer. Manguin, 1952, Skeletonema costatum (Grév.) Cleve, 1878, вклад которых составлял от 30 до 90%. В августе основную долю биомассы составляли крупные формы диатомовых водорослей Pseudosolenia calcar-avis (Schultze) Sundström, 1986 (90%) и в сентябре – Cerataulina pelagica (P.T. Cleve) Hendey, 1937 (80%). В осенне-зимний период в фитопланктоне отмечено обилие динофитовых водорослей. Их доля составляла от 50 (февраль) до 97% (декабрь).
На станции Равелин было идентифицировано 110 видов и внутривидовых таксонов, относящихся к 10 отделам, основную долю которых составляли диатомовые (54%) и динофитовые (33%) водоросли. Выявлены доминирующие виды в биомассе фитопланктона из различных отделов водорослей: диатомовые (Cerataulina pelagica, Сhaetoceros curvisetus, Ch. socialis, Ditylum brightwellii (T. West) Grunov 1885, Pseudosolenia calcar-avis); динофитовые (Dinophysis fortii Pavillard 1924, Tripos fusus, Peridinium sp.); гаптофитовые (Emiliania hyxleyi (Lohmann) W.W. Hay & H.P. Mohler). В сообществе фитопланктона на станции Равелин в апреле отмечено интенсивное развитие диатомовых водорослей Pseudo-nitzschia. В мае их сменили микроводоросли из родов Сhaetoceros, формировавшие весенний максимум фитопланктона. В июне отмечена вегетация кокколитофориды Emiliania hyxleyi. Летний пик фитопланктона формировал крупноклеточный вид Pseudosolenia calcar-avis, биомасса которого составила до 84% от суммарной B (июль). Осенью также преобладали диатомеи. В зимний период в фитопланктоне отмечено обилие примнезиофитовых микроводорослей.
Коэффициент флористического сходства Сёренсена–Чекановского (Кsc = 0.7) между станциями Веха и Равелин весной, осенью и зимой свидетельствует о большом видовом сходстве между районами исследований в эти сезоны. Меньшее значение этого коэффициента (Кsc = 0.55) летом свидетельствует о том, что таксономическое сходство в этом сезоне было менее выражено по сравнению с другими сезонами.
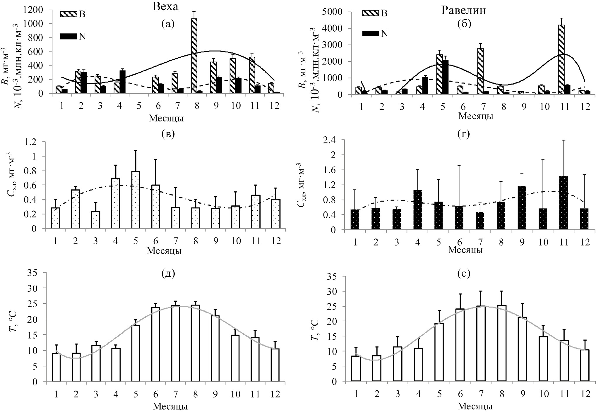
Сезонный цикл изменчивости показателей фитопланктона и температуры воды на станциях Веха и Равелин в 2013–2014 гг. На ст. Веха значения N варьировали в пределах от 20 до 309 · 10–3 млн кл. · м–3, B – от 242 до 1010 мг · м–3, Cхл – от 0.2 до 0.8 мг · м–3. На ст. Равелин N изменялась в течение всего сезонного цикла в пределах от 33 до 2105 · 10–3 млн кл. · м–3, B – от 200 до 4185 мг · м–3, Схл – от 0.5 до 1.4 мг · м–3. Анализ сезонной динамики показателей фитопланктона, аппроксимированных полиномами 4-го порядка на ст. Веха показал максимум численности в феврале–марте и октябре–ноябре, максимум биомассы – в сентябре (рис. 2а), концентрации хлорофилла–а – в апреле–мае (рис. 2в). На ст. Равелин максимумы средней численности фитопланктона зарегистрирован в апреле–мае и ноябре, биомассы – в ноябре (рис. 2б), концентрации хлорофилла–а – в апреле–мае и ноябре (рис. 2г). Годовой цикл температуры в 2013–2014 гг. четко выражен на обеих станциях: с максимумом летом (июль–август) (25.0 ± 0.5°C) и минимумом – зимой (январь–февраль) (9.0 ± 0.2°C) (рис. 2д, е).
Рис. 2. Сезонная динамика численности и биомассы фитопланктона (а, б), концентрации хлорофилла–а (в, г), температуры поверхности воды (д, е) на ст. Веха и Равелин в 2013–2014 гг. Жирные кривые – полиномиальные тренды 4-го порядка. Вертикальные тонкие линии – ± σ.
Таким образом, из анализа рис. 2 следует, что сезонная динамика показателей фитопланктона не четко выражена, то есть, невозможно однозначно определить местоположение максимума и минимума их характеристик. В работе был применен спектральный анализ преобразованных рядов B, N, Схл для выявления гармоник, изменчивость которых вносит максимальный вклад в сезонную динамику анализируемых параметров (табл. 1).
Таблица 1. Вклады годовой и полугодовой гармоник в сезонную сукцессию биомассы (B), численности (N) фитопланктона, концентрации хлорофилла–а (Cхл) и температуры поверхности воды (Т) в 2013–2014 гг.
Параметр | Станция | Вклад 1 гармоники, % | Вклад 2 гармоники, % | Влад суперпозиции 1 и 2 гармоники, % |
B, мг · м–3 | Веха | 45.08 | 12.71 | 57.79 |
N, млн. кл · м–3 | 8.30 | 15.28 | 23.58 | |
Cхл, мг · м–3 | 36.01 | 24.8 | 60.78 | |
Т, °C | 83.3 | 0.7 | 84.0 | |
B, мг · м–3 | Равелин | 1.75 | 24.14 | 25.89 |
N, млн. кл · м–3 | 30.03 | 25.34 | 55.37 | |
Cхл, мг · м–3 | 11.19 | 47.19 | 56.44 | |
Т, °C | 80.4 | 0.03 | 80.43 |
Примечание: наибольшие значения выделены жирным.
Суперпозицией годовой и полугодовой гармоник обусловлено 57% сезонного цикла биомассы на ст. Веха и 58% численности на ст. Равелин, более 56% концентрации хлорофилла–а на двух станциях (табл. 1), остальное вносят гармоники более высокого порядка. Сезонный цикл температуры воды на двух станциях описывается годовой гармоникой на 81% (табл. 1).
Сезонные циклы биомассы и численности фитопланктона, концентрации хлорофилла–а и температуры, хорошо описываются выделенными годовой и полугодовой гармониками, приведенными на рис. 3.
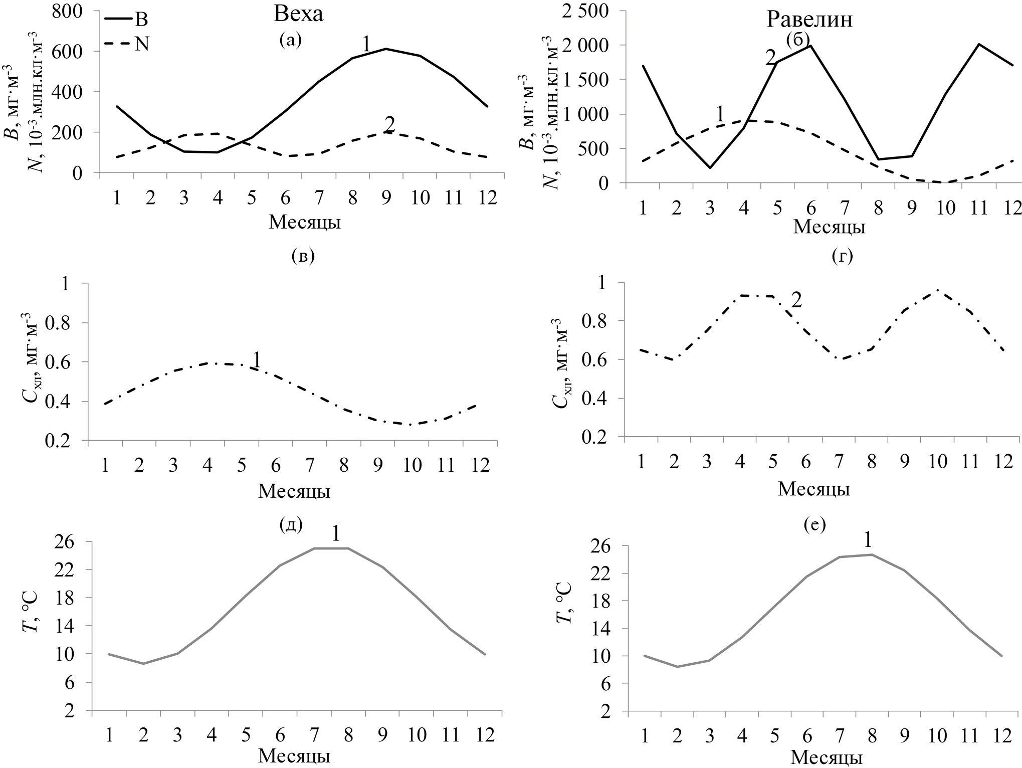
Рис. 3. Сезонный цикл годовой (1) и полугодовой (2) гармоник численности и биомассы (а, б) фитопланктона, концентрации хлорофилла–а (в, г), температуры воды (д, е) на ст. Веха и Равелин в 2013–2014 гг.
В работе были оценены величины амплитуд указанных гармоник (рис. 4).
Рис. 4. Амплитудно-периодные характеристики численности и биомассы фитопланктона (а, б), концентрации хлорофилла–а (в, г) и температуры воды (д, е) на ст. Веха и Равелин.
Таким образом, сезонный цикл численности фитопланктона характеризовался изменчивостью полугодовой гармоники: с максимумами – в апреле (194 · 10–3 млн кл. · м–3) и сентябре (200 · 10–3 млн кл. · м–3), минимумами – в декабре (79 · 10–3 млн кл. · м–3) и июне (83 · 10–3 млн кл. · м–3) на ст. Веха и годовой гармоникой с максимумом в мае (910 · 10–3 млн кл. · м–3) и минимумом в октябре (8 · 10–3 млн кл. · м–3) на ст. Равелин. Сезонный цикл биомассы характеризовался изменчивостью годовой гармоники с максимумом в сентябре (614 мг · м–3), минимумом (100 мг · м–3) – в марте–апреле на ст. Веха, полугодовой гармоники – с максимумами в июне (2000 мг · м–3) и ноябре (2010 мг · м–3), минимумами – в марте (218 мг · м–3) и августе (230 мг · м–3) на ст. Равелин. Сезонный цикл концентрации хлорофилла–а характеризовался изменчивостью годовой гармоники с максимумом в апреле, минимумом в октябре на станции Веха, двумя максимумами полугодовой гармоники в апреле (0.93 мг · м–3) и октябре (0.96 мг · м–3) и минимумами в июне (0.6 мг · м–3) и феврале (0.6 мг · м–3) на ст. Равелин.
Межгодовая динамика концентрации хлорофилла–а и температуры воды на станциях Веха и Равелин. Межгодовая динамика концентрации хлорофилла–а и температуры воды на ст. Веха в 2013–2021 гг. и на ст. Равелин в 2000–2003, 2008–2021 гг. представлены на рис. 5 и 6 соответственно.
Визуальный анализ, полученных на этих двух станциях рядов, позволяет выделить характерный период изменчивости указанных характеристик 2–4 года (рис. 5 и 6). Это подтвердилось спектральным анализом непрерывных рядов средневесенних значений Cхл и Т в 2008–2020 гг. (рис. 6г).
Рис. 5. Межгодовая динамика зимней (а, б), весенней (в, г), летней (д, е) и осенней (ж, з) концентрации хлорофилла–а и температуры воды на ст. Веха в 2013–2021 гг. по собственным данным. Вертикальные тонкие линии – ± σ.
Рис. 6. Межгодовая динамика зимней (а, б), весенней (в, г), летней (д, е) и осенней (ж, з) концентрации хлорофилла–а и температуры воды в 2000–2003 гг. по работе [20], в 2008–2021 гг. по собственным данным на ст. Равелин. Вертикальные тонкие линии – ± σ.
На ст. Веха наибольшие значения Cхл (0.56 ± 0.27 мг · м–3) отмечены весной при среднемноголетнем значении Cхл (0.45 ± 0.01 мг · м–3) за 2013–2021 гг. (табл. 2).
Таблица 2. Среднесезонные и среднемноголетние значения концентрации хлорофилла–а (Схл) и температуры поверхности воды (Т) на ст. Веха и Равелин для разных периодов наблюдений
Параметр | Станция | Зима | Весна | Лето | Осень | Среднегод. | Периоды, гг. |
Схл, мг · м–3 | Веха | 0.39 ± 0.09 | 0.56 ± 0.27 | 0.40 ± 0.19 | 0.42 ± 0.16 | 0.45 ± 0.01 | 2013–2021 |
Т, °C | 7.61 ± 2.37 | 17.02 ± 1.39 | 23.68 ± 1.46 | 13.14 ± 2.21 | 15.36 ± 1.86 | 2013–2021 | |
Схл, мг · м–3 | Равелин | 0.48 ± 0.17 | 0.93 ± 0.05 | 1.26 ± 0.30 | 2.24 ± 0.83 | 1.23 ± 0.33 | 2000–2003 |
1.13 ± 0.35 | 0.96 ± 0.30 | 1.20 ± 0.45 | 1.38 ± 0.68 | 1.17 ± 0.45 | 2008–2021 | ||
0.92 ± 0.21 | 0.83 ± 0.29 | 1.02 ± 0.39 | 1.19 ± 0.69 | 0.99 ± 0.25 | 2013–2021 | ||
Т, °C | 7.29 ± 1.15 | 14.89 ± 3.78 | 23.48 ± 1.90 | 13.57 ± 3.69 | 14.81 ± 6.45 | 2000–2003 | |
6.63 ± 2.73 | 16.68 ± 4.98 | 23.61 ± 2.41 | 12.54 ± 4.19 | 14.76 ± 7.23 | 2008–2021 | ||
7.54 ± 1.92 | 17.09 ± 0.94 | 23.66 ± 0.80 | 13.14 ± 2.04 | 15.4 ± 0.95 | 2013–2021 |
Примечание: наибольшие значения выделены жирным.
Полученные величины примерно в два раза меньше, чем на ст. Равелин за 2013–2021 гг.
В настоящей работе отдельно сравнивались концентрация хлорофилла–а и температура воды на ст. Равелин, полученные в 2000–2003 и 2008–2021 гг. На ст. Равелин средние величины Cхл в 2000–2003 гг. оказались больше, чем в 2008–2021 гг. (табл. 2). Наибольшие значения Cхл (2.24 ± 0.83 мг · м–3) наблюдались осенью, наименьшие (0.48 ± 0.17 мг · м–3) – зимой. В целом происходило уменьшение концентрации хлорофилла–а летом–осенью с 2000-х гг. по 2021 гг. в основном за счет ослабления осеннего максимума и увеличения зимне-весеннего минимума Cхл. Анализ среднемноголетних значений температуры показал большие значения летом и меньшие значения зимой в 2008–2021 гг., чем в 2000–2003 гг.
Коэффициенты корреляции показателей фитопланктона и температуры воды за разные периоды наблюдений на ст. Веха и Равелин. Установлены значимые на 5% доверительном уровне отрицательные связи выделенных гармоник B и Cхл (r = –0.89) на ст. Веха (табл. 3). Значимая отрицательная связь B и Cхл со сдвигом в 1 месяц (r = –0.83) получена на ст. Равелин. Установлены положительные связи изменчивости выделенных гармоник B и T на ст. Веха (r = 0.59) и Равелин (r = 0.74) соответственно (табл. 3).
Таблица 3. Коэффициенты корреляции между изменчивостью выделенных годовых и полугодовых гармоник (Bгарм, Nгарм, Схл.гарм) и температуры воды (Тгарм) представленных на рис. 3. Значимые коэффициенты корреляции –0.5 > r > 0.5
Параметры | Станция | Bгарм, мг · м–3 | Nгарм, млн. кл · м–3 | Схл.гарм,, мг · м–3 | Tгарм, °C |
Гармоники сезонного цикла | |||||
Bгарм, мг · м–3 | Веха | 1 | 0 | –0.89 | 0.59 |
Nгарм, млн. кл · м–3 | 0 | 1 | 0.10 | 0.12 | |
Схл.гарм, мг · м–3 | –0.89 | 0.10 | 1 | –0.16 | |
Tгарм, °C | 0.59 | 0.12 | –0.16 | 1 | |
Bгарм, мг · м–3 | Равелин | 1 | –0.10 | –0.83 | 0.74 |
Nгарм, млн. кл · м–3 | –0.10 | 1 | 0 | –0.18 | |
Схл.гарм, мг · м–3 | –0.83 | 0 | 1 | 0.1 | |
Tгарм, °C | 0.74 | –0.18 | 0.1 | 1 | |
ОБСУЖДЕНИЕ
Станция Веха находится вне Севастопольской бухты, а ст. Равелин расположена в бухте возле искусственно созданного орографического барьера, в роли которого выступает мол, где происходит аккумуляция не только фитопланктона, но биогенных элементов и загрязнения [8]. Зимой в прибрежных водах Крыма развивались примнезиофитовые, весной в разные годы преобладали динофитовые и диатомовые водоросли либо примнезиевые, динофитовые и диатомовые, летом – кокколитофориды и динофитовые, осенью – диатомовые [21]. С переходом с весеннего на летний период, как показано в настоящей работе, наблюдалась смена доминирующих видов Chaetoceros socialis на Cerataulina pelagica и мелкоклеточных (май) водорослей на крупноклеточные (июль). В июне происходила вегетация кокколитофорид. Осенью преобладали диатомовые.
Наиболее динамичным по продуктивности в 90-е гг. XX в. являлся зимне-весенний период в Черноморском регионе, что связано с интенсивным выносом биогенных элементов в эвфотическую зону, что определяло прирост биомассы фитопланктона [30]. Наибольшие среднемноголетние концентрации хлорофилла–а также наблюдались весной на ст. Веха, но летом–осенью – на ст. Равелин в 2013–2021 гг. (табл. 2), что согласуется с [20]. В целом отмечались в 2–3 раза выше среднемноголетние значения, а также зимой–летом показателей фитопланктона в 2013–2021 гг. на ст. Равелин, чем на ст. Веха, и существенно выше – весной (табл. 2). Это возможно связано с особенностями орографии Севастопольской бухты, которая является полузамкнутым водоемом [6], что, возможно, задерживает вынос из нее микроводорослей, и в свою очередь приводит к повышенной концентрации фитопланктона на ст. Равелин.
Особенности береговой линии, например, могут способствовать возникновению вихрей синоптического масштаба внутри Севастопольской бухты (ст. Равелин) [6], с чем может быть связана нестабильность во времени сезонных циклов исследуемых параметров [1, 3, 10]. На биопродуктивность вод действительно может воздействовать (суб)мезомасштабная вихревая динамика [17], а также локальные неоднородности поля загрязнения [8]. На видовой состав и количественные характеристики фитопланктона в прибрежных районах Черного моря также могут оказывать влияние метеоусловия и антропогенная нагрузка, характерная только для определенного района [12, 22, 29, 30]. Однако учет этих факторов не являлся предметом настоящего исследования.
В настоящей работе спектральный анализ с помощью метода быстрого преобразования Фурье впервые применялся для уточнения положения максимумов сезонного цикла биомассы и численности фитопланктона, концентрации хлорофилла–а и температуры воды, а также последующего установления связи между указанными параметрами. Спектральный анализ с методом БПФ применялся также для определения закономерностей функционирования пелагического сообщества в [15, 16]. С помощью этого анализа установлено, что на высоких частотах (период колебаний 10–30 сут), изменение численности диатомовых водорослей в море обусловливает освещенность, о чем свидетельствуют установленные значимые корреляционные связи между ними [11]. Выявленные сезонные отрицательные связи B и Cхл на ст. Веха и Равелин, возможно свидетельствуют о старении популяций в составе фитопланктонного сообщества о чем ранее упоминалось в работе [24].
Возможный период (2–4 года) в изменчивости концентрации хлорофилла–а и температуры воды также обнаруживался в изменчивости микрозоопланктона (2 года) в районе Севастополя [32]. Приблизительно двухлетний период развития кокколитофорид во время цветения выделен в работе [3]. Выявление причин возникновения таких периодов в изменчивости показателей планктонного сообщества требует дополнительных исследований.
ЗАКЛЮЧЕНИЕ
Впервые на основе спектрального анализа многолетних рядов с применением быстрого преобразования Фурье выявлены статистически достоверные особенности долговременной динамики показателей фитопланктона и температуры воды на ст. Веха (во Севастопольском взморье) и ст. Равелин (в устьевой зоне Севастопольской бухты).
Сезонный цикл показателей фитопланктона и температуры воды в основном описывался на двух станциях изменчивостью годовой и полугодовой гармоник в 2013–2014 гг.
Анализ таксономического состава фитопланктонного сообщества позволил выделить виды-доминанты в двух районах в разные сезоны 2013–2014 гг. А также показал, что преобладание видов с мелкими клетками приводит к появлению максимумов численности, а крупноклеточных видов к максимуму биомассы фитопланктона в сезонном цикле.
Разный характер сезонной динамики на двух станциях по-видимому связан с локальными орографическими особенностями акватории и гидрометеорологическими факторами среды, локальной неоднородностью поля загрязнения и распределения биогенных элементов. Это приводит в разные сезоны к доминированию определенных видов водорослей с различными термофизиологическими предпочтениями и к изменчивости концентрации хлорофилла–а.
На основе собственных и ретроспективных данных определен типичный период межгодовой изменчивости (2–4 года) среднесезонных значений концентрации хлорофилла–а и температуры воды на двух анализируемых станциях.
Благодарности. Авторы статьи выражают благодарность ведущим инженерам отдела функционирования морских экосистем Щербатенко Л.С. и Холодову В.В. за сбор проб для определения концентрации хлорофилла–а и фитопланктона в районе Севастополя.
Источник финансирования. Работа выполнена по теме государственного задания ФИЦ “Институт биологии южных морей имени А.О. Ковалевского РАН № 124030100137-6 «Функциональные, метаболические и молекулярно-генетические механизмы адаптации морских организмов к условиям экстремальных экотопов Черного и Азовского морей и других акваторий Мирового океана».
About the authors
S. B. Krasheninnikova
A. O. Kovalevsky Institute of Biology of the Southern Seas of RAS
Author for correspondence.
Email: svetlanabk@mail.ru
Russian Federation, Sevastopol
V. D. Chmyr
A. O. Kovalevsky Institute of Biology of the Southern Seas of RAS
Email: svetlanabk@mail.ru
Russian Federation, Sevastopol
R. I. Lee
A. O. Kovalevsky Institute of Biology of the Southern Seas of RAS
Email: svetlanabk@mail.ru
Russian Federation, Sevastopol
N. I. Minkina
A. O. Kovalevsky Institute of Biology of the Southern Seas of RAS
Email: svetlanabk@mail.ru
Russian Federation, Sevastopol
References
- Берсенева Г.П., Чурилова Т.Я., Георгиева Л.В. Сезонная изменчивость хлорофилла и биомассы фитопланктона в западной части Черного моря // Океанология. 2004. Т. 44. № 3. С. 389–398.
- Ведерников В.И. Особенности распределения первичной продукции и хлорофилла в Черном море в весенний и летний периоды // Изменчивость экосистемы Черного моря. Естественные и антропогенные факторы. М.: Наука, 1991. С. 128–147.
- Востоков С.В., Лобковский Л.И., Востокова А.С., Соловьев Д.М. Сезонная и многолетняя изменчивость фитопланктона в Чёрном море по данным дистанционного зондирования и контактным измерениям хлорофилла–а // Доклады академии наук. 2019. Т. 485. № 1. С. 99–103.
- Демидов А.Б. Сезонная изменчивость и оценка годовых величин первичной продукции фитопланктона в Черном море // Океанология. 2008. Т. 48. № 5. С. 718–733.
- Дженкинс Г., Ваттс Д. Спектральный анализ и его приложения. М.: Мир, 1971. 448 с.
- Иванов В.А., Овсяный Е.И., Репетин Л.Н. и др. Гидролого-гидрохимический режим Севастопольской бухты и его изменения под воздействием климатических и антропогенных факторов. Севастополь: МГИ НАН Украины, 2006. 90 с.
- Киселев И.А. Методы исследования планктона // Жизнь пресных вод СССР. 1956. Т. 4. № 1. С. 183–265.
- Копытов Ю.П., Минкина Н.И., Самышев Э.З. Современный уровень загрязненности воды и донных отложений Севастопольской бухты (Черное море) // Системы контроля окружающей среды. Сб. науч. тр. Вып. 14. Севастополь: МГИ НАН Украины, 2010. С. 199–208.
- Крашенинникова С.Б., Бабич С.А. Пространственное распределение концентрации хлорофилла–а с учётом гидрологических, гидрохимических и гидрооптических условий Чёрного моря весной 2021 г. // Труды Карадагской научной станции им. Т.И. Вяземского – природного заповедника РАН. 2022. Т. 7. № 3 (23). С. 13–22. https://doi.org/10.21072/eco.2022.23.02
- Кривенко О.В., Пархоменко А.В. Пространственная и временная изменчивость биомассы фитопланктона в Чёрном море за период 1948–2001 гг. // Морской экологический журнал. 2010. Т. 9. № 4. С. 5–24.
- Крышев И.И., Горбенко Ю.А. Некоторые результаты спектрального анализа временных рядов наблюдений морских биосистем // Экология моря. 1981. Т. 7. С. 76–88.
- Куфтаркова Е.А., Губанов В.И., Ковригина Н.П. и др. Экологическая оценка современного состояния вод в районе взаимодействия Севастопольской бухты с прилегающей частью моря // Морской экологический журнал. 2006. Т. 5. № 1. С. 72–91.
- Лайонс Р. Цифровая обработка сигналов. М.: Бином-Пресс, 2006. 656 с.
- Лопухина О.А., Манжос Л.А. Фитопланктон Севастопольской бухты (Черное море) в теплый и холодный периоды 2001–2002 гг. // Экология моря. 2005. Т. 69. С. 25–31.
- Мельникова Е.Б., Лямина Н.В. Выявление методом разложения в ряд Фурье биологических ритмов гидробионтных сообществ // Ученые записки Таврического национального университета им. В.И. Вернадского. Сер. Биология, химия. 2013. Т. 26 (65). № 2. С. 133–140.
- Мельникова Е.Б., Мельников А.В. Определение ритмических закономерностей функционирования пелагического сообщества методом преобразования Фурье // Princ. ekol. 2022. № 1 (43). URL: https://cyberleninka.ru/article/n/opredelenie-ritmicheskih-zakonomernostey-funktsionirovaniya-pelagicheskogo-soobschestva-metodom-preobrazovaniya-furie (дата обращения: 20.04.2023).
- Микаэлян А.С., Зацепин А.Г., Кубряков А.А. Воздействие мезомасштабной вихревой динамики на биопродуктивность морских экосистем (обзор) // Морской гидрофизический журнал. 2020. Т. 36. № 6. С. 646–675.
- Микаэлян А.С., Силкин В.А., Паутова Л.А. Развитие кокколитофорид в Черном море: межгодовые и многолетние изменения // Океанология. 2011. Т. 51. № 1. С. 45–53.
- Сеничева М.И. Сезонная динамика численности, биомассы и продукции фитопланктона Севастопольской бухты // Экология моря. 1980. Т. 1. С. 3–11.
- Стельмах Л.В., Куфтаркова Е.А., Бабич И.И. Сезонная изменчивость скорости роста фитопланктона в прибрежных водах Чёрного моря (район Севастополя) // Морской экологический журнал. 2009. Т. 8. № 1. С. 68–80.
- Финенко З.З., Мансурова И.М., Ковалева И.В. и др. Развитие фитопланктона в зимне-весенний период в прибрежных водах Крыма // Морской биологический журнал. 2021. Т. 9. № 1. С. 102–114.
- Финенко З.З., Стельмах Л.В., Мансурова И.М. и др. Сезонная динамика структурных и функциональных показателей фитопланктонного сообщества в Севастопольской бухте // Системы контроля окружающей среды. 2017. Т. 9. № 29. С. 73–82.
- Чмыр В.Д., Ли Р.И., Сеничева М.И. Определение скорости роста и элиминации отдельных видов и популяций в сообществе фитопланктона бухты Севастопольская (Чёрное море) // Морской биологический журнал. 2019. Т. 4. № 3. С. 81–94.
- Чмыр В.Д., Сеничева М.И. Особенности структуры сообществ фитопланктона приустьевой зоны Севастопольской бухты // Системы контроля окружающей среды: средства, информационные технологии и мониторинг. 2009. С. 401–406.
- Чмыр В.Д., Сеничева М.И., Литвинюк Д.А. и др. Структурно-функциональные параметры планктона Черноморского побережья // Системы контроля окружающей среды: cредства, модели и мониторинг. 2007. С. 335–338.
- Czekanowski J. Zur Diferenzialdiagnose der Neandertalgruppe // Bl. Dtsch. Ges. Antrop. Ethn. Urgesch., Braunschweig. 1909. V. 40. P. 44–47.
- Finenko Z.Z., Suslin V.V., Kovaleva I.V. Seasonal and long-term dynamics of the chlorophyll concentration in the Black Sea according to satellite observations // Oceanology. 2014. V. 54. № 5. P. 596–605.
- Jeffrrey S., Humphrey G. New spectrophotometric equations for determining chlorophylls a, b, c1 and c2 in algae, phytoplankton and higher plants // Biochemie und Physiologie der Pflanzen. 1975. V. 167. P. 191–194.
- Krasheninnikova S., Lee R., Shokurova I., Yakovenko V. How hydrometeorological factors influence on phytoplankton biomass and chlorophyll–a concentration in the southern part of Kalamitsky Bay in spring: an analysis of relationship. Proceedings of SPIE: 28th International Symposium on Atmospheric and Ocean Optics: Atmospheric Physics. 2022. 12341, 123414P (6 p.). https://doi.org/10.1117/12.2644993
- Krasheninnikova S.B., Minkina N.I., Shokurova I.G., Samyshev E.Z. Comprehensive Analysis of the Distribution of Ecosystem Components in the Black Sea Taking into Account Hydrochemical and Hydrometeorological Factors // Water Resources. 2022. V. 49. Iss. 1. P. 134–141.
- https://doi.org/10.1134/S0097807822010092
- Russo R. Statistics for the behavioral sciences: an introduction. Psychology Press. 2004. 256 p.
- Seregin S., Popova E. Long-term dynamics of the copepod invader Oithona davisae in coastal waters of the Black Sea // Russian Journal of Biological Invasions. 2016. V. 7. № 4. P. 374–382.
- Solomonova E.S., Akimov A.I. Production and structural parameters of the phytoplankton and bacterioplankton communities at two stations in the open part of the Sevastopol Bay mouth: assessment of the effect of the mussel farm // Microbiology. 2021. V. 90. № 6. P. 785–792.
Supplementary files








