New aspects concerning Pediculus capitis (Anoplura: Pedicullidae) infestation in Iran
- Authors: Nasirian H.1, Ahmadi S.A.2
-
Affiliations:
- Tehran University of Medical Sciences
- Iran University of Medical Sciences
- Issue: Vol 58, No 5 (2024)
- Pages: 355-451
- Section: Articles
- URL: https://medbiosci.ru/0031-1847/article/view/271498
- DOI: https://doi.org/10.31857/S0031184724050016
- EDN: https://elibrary.ru/WBYBLG
- ID: 271498
Cite item
Full Text
Abstract
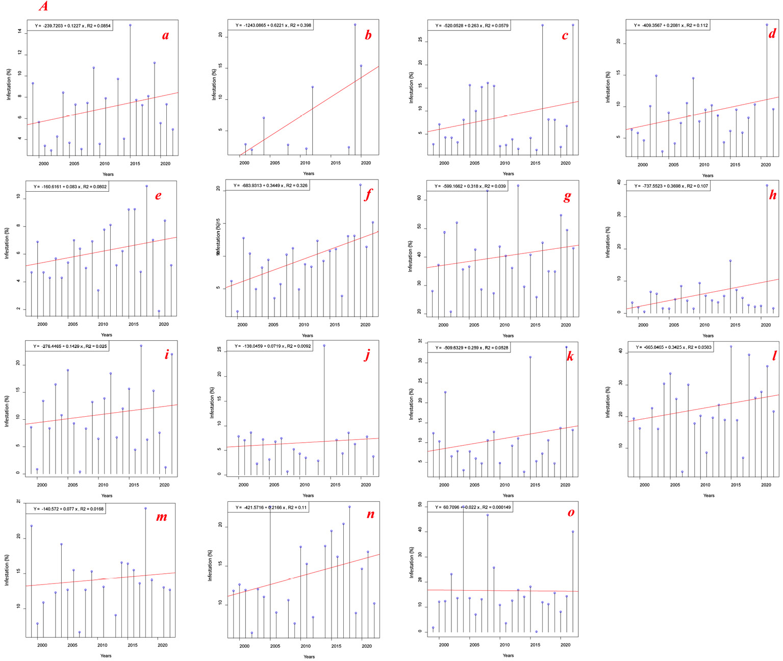
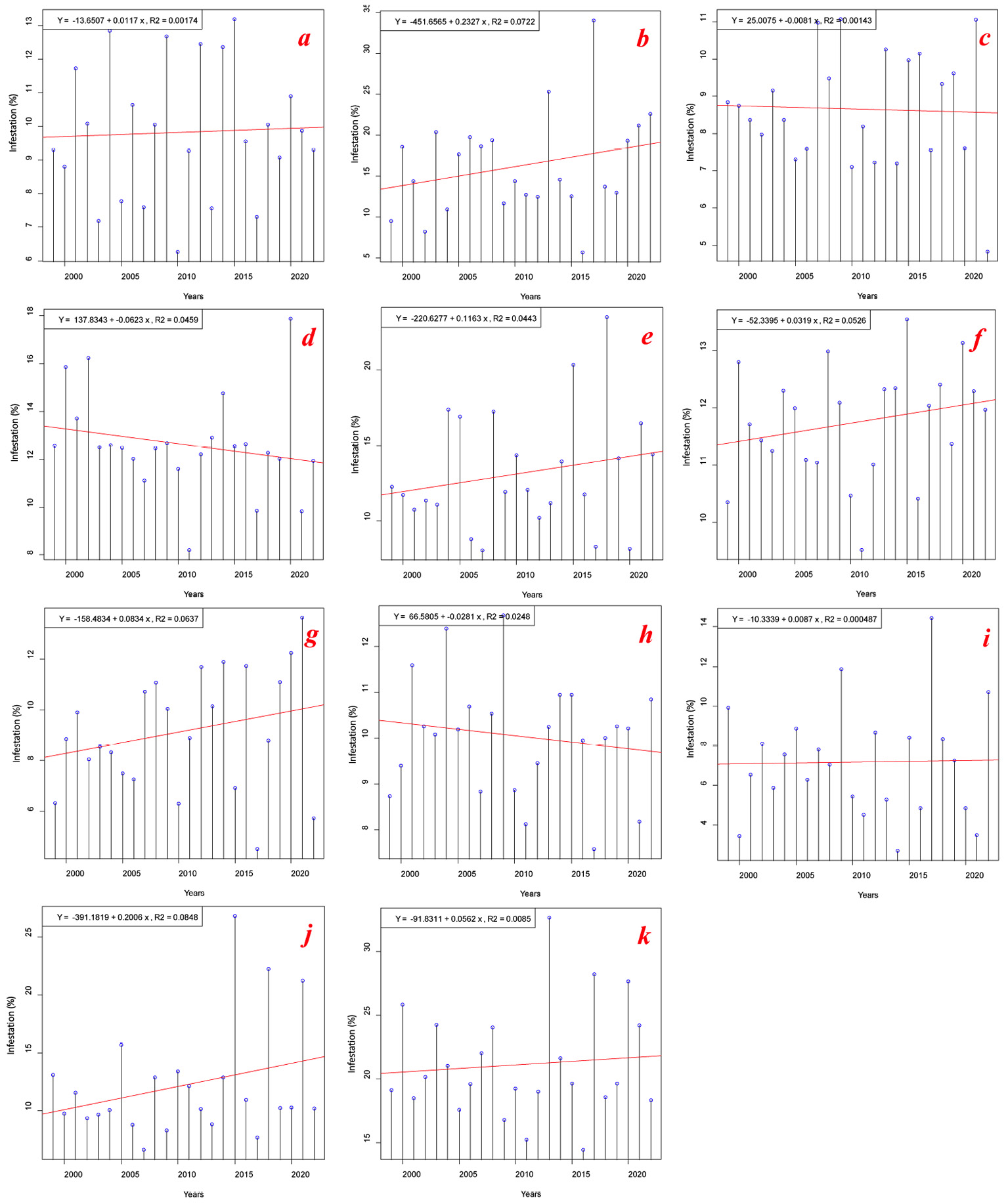
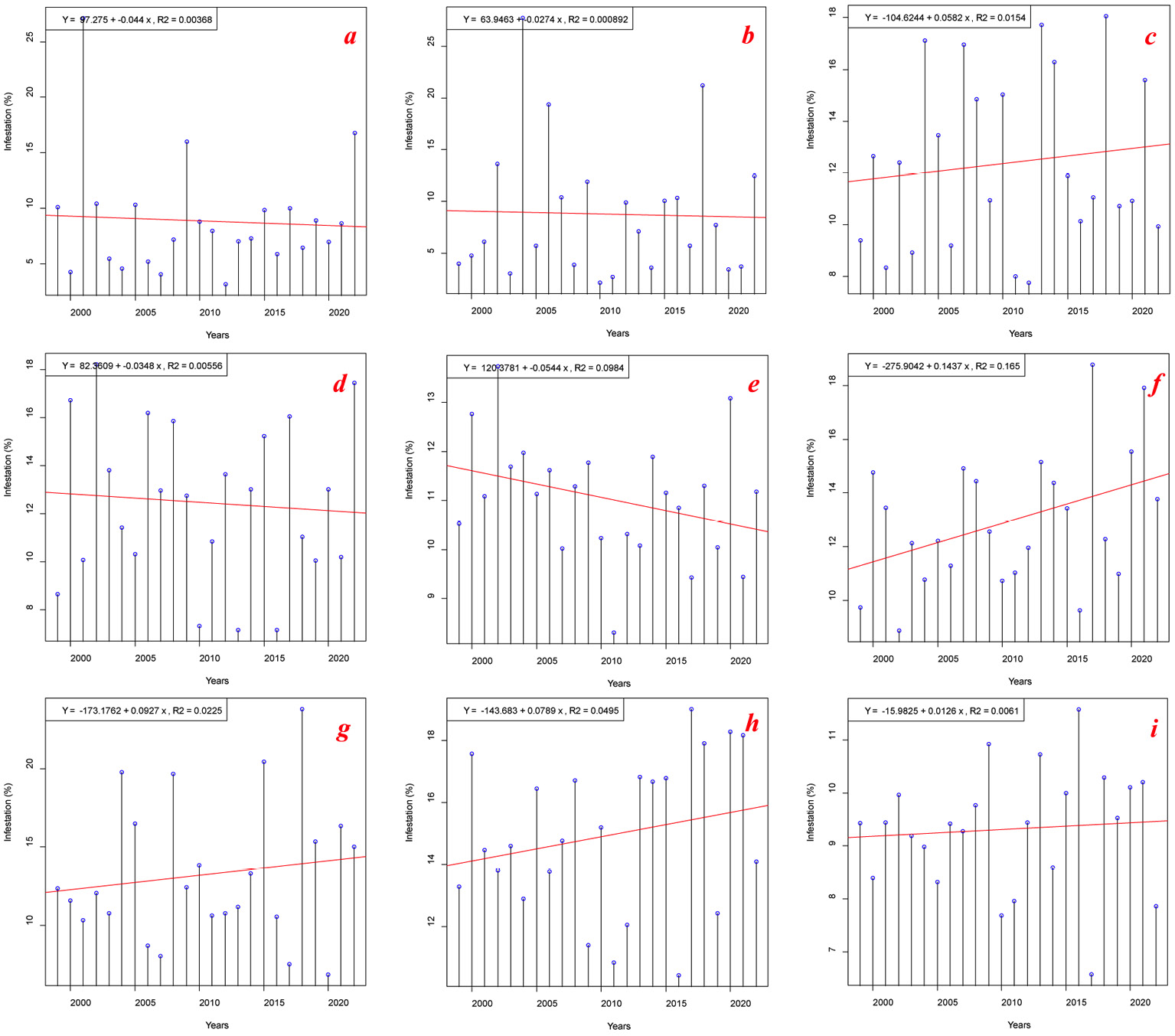
Pediculosis caused by the Pediculus capitis (De Geer, 1767), is a major public health concern worldwide, including in Iran. Policymakers must be well-informed on the relevant evidence through comprehensive studies. No study has been done concerning trends of Pediculus capitis infestation in provinces of Iran, geographic and climatic regions, seasons, location of meridians and tropics areas, together with the distribution and stratification. Therefore, a study of the mentioned objectives was conducted. The data on P. capitis infestation levels and factor impacts on P. capitis infestation levels in Iranian people were extracted and summarized from 126 articles. The trends of P. capitis infestation have increased in about half of the country’s provinces over the previous two decades. These provinces are located mostly in the southern Caspian Sea shores, the central plateau, and the south coast. Pediculus capitis infestations are in the range of -ꝏ–-0.40, -0.40–-0.20, and -0.20–0.00 in the regression coefficient regarding the distribution and stratification. For the first time in this study, the impact of the meridians and the tropics that pass through Iran was also evaluated on P. capitis infestation. Based on the intensity of P. capitis infestation, the order of the influence of the factors that affect infestation is estimated. Interaction modeling demonstrated that primary school has a synergistic impact on time trends. In addition, the Western mountains, the central plateau, and the southeast showed synergistic effects with time trends on the incidence of the outcome. The findings provide the national baseline data to initiate steps for national pediculosis intervention programs.
Full Text
Pediculosis is a major public health concern in many countries, especially among overcrowded and lower-income children. Pediculus capitis (De Geer, 1767), commonly known as the head lice, is an obligate human ectoparasite and can be found in various parts of the world, including Iran. Head lice infestations can occur in any place where there is close contact between individuals, such as schools, households, or communities. Head lice infest millions of children worldwide. Insects live in the immediate scalp vicinity of individual hair follicles, piercing the skin to feed on blood (Awaad et al., 2023; Feldmeier, 2023; Kassiri, Mehraghaei, 2021; Nasirian, 2023b; Nasirian, Ahmadi, 2024; Nawab et al., 2024; Valero et al., 2024). Epidemiological interpretations of head lice infestation rates and how factors including age, sex, family size, parent education level, and economic status influenced infestations were explored (Alarifi et al., 2022; Gholami et al., 2024; Nasirian, 2023b; Valero et al., 2024).
Several articles in the scientific literature have estimated infestation rates and the impact of factors affecting the head lice infestation in several regions of Iran, mostly focusing on a single study. Policymakers must be well-informed of the relevant evidence on time through comprehensive studies. This kind of study increases the ability, accuracy, and power of research outcomes for policymakers to provide documents that individual studies cannot provide to health system decision-makers (Nasirian, 2023b; Oliveira et al., 2021; Shanavaz et al., 2023). Pediculus capitis infestation and the impact of factors affecting infestation of school students and the community have recently been monitored on a global scale (Nasirian, 2023b; Nasirian and Ahmadi, 2024). However, so far, no study has been done that deals with the trends of P. capitis infestation in Iran’s provinces, geographic and climatic regions, seasons and in the meridians 50°E, 55°E and 60°E and the tropics at 30°N and 35°N, along with the distribution and stratification of the P. capitis infestation in Iran and statistical analysis including a comparison of factor impact on P. capitis infestation level and interaction modeling with Poisson regression at the same time. The findings may provide the national baseline data to initiate steps for national pediculosis intervention programs, which is important for this country and can establish a model for monitoring and controlling head lice in schools. Therefore, a study was designed and conducted with the mentioned objectives.
Materials and methods
Collection and selection of papers for review
In order to conduct and design this study, the methods and research patterns of the following resources were exploited, including Ahmadi et al., 2024; Kassiri, Nasirian, 2021; Nasirian, 2017a, b; Nasirian, 2019a; Nasirian, 2019b; Nasirian, 2020, 2022, 2023a, c, 2024a, b; Nasirian and Salehzadeh, 2019; Nasirian et al., 2023; Nasirian, Zahirnia, 2021; and Zahirnia et al., 2023. Among the articles cited in Nasirian (2023) and Nasirian, Ahmadi (2024), those that were dedicated to P. capitis infestation and factors affecting P. capitis infestation in students of preschools and primary schools, and the community in Iran were chosen. These articles were collected from well-known indexing services, including Elsevier, Entomological Society of America publications, Google Scholar, PubMed, ScienceDirect, Scopus, Springer, and Web of Science (Nasirian, 2023b; Nasirian, Ahmadi, 2024). By researching, the new research that was done was also added to the resources. In the next step, if new information details are needed, they add to them according to data sources and grouped under specific titles in Tables 1–8.
Table 1. Pediculus capitis infestation in students of preschools and primary schools, based on a literature search
Counties | Provinces | E | I | I (%) | Sampling | References | |||||||||||
Boys | Girls | Both | Boys | Girls | Both | Boys | Girls | Both | Schools | Students | Gender | Location | Date | Selection | |||
Preschools | |||||||||||||||||
Rasht | Gilan | 913 | 867 | 1780 | 38 | 54 | 92 | 41.0 | 59.0 | 5.1 | 29 | 1780 | Both | Local | 1998–1999 | Overall | Gholchaye, Ahmadi Ghajari, 2000* |
Across | Iran | ‒ | ‒ | ‒ | 351 | 4389 | 4740 | 2.5 | 2.2 | 2.2 | ‒ | 213450 | Both | Across | 2005 | Overall | Amirkhani et al., 2011* |
Kashan | Isfahan | 585 | 615 | 1200 | 1 | 7 | 8 | 0.17 | 1.1 | 0.7 | ‒ | 1200 | Both | Local | Feb 2009 | Overall | Dehghani et al., 2012* |
Urmia | West Azerbaijan | ‒ | ‒ | 38 | ‒ | ‒ | 3 | ‒ | ‒ | 7.9 | 35 | 2040 | Both | Local | Oct–Dec 2010 | Randomly | Hazrati Tappeh et al., 2012* |
Asadabad | Hamadan | ‒ | ‒ | 2355 | ‒ | ‒ | 52 | ‒ | ‒ | 2.2 | ‒ | 16438 | Both | Local | Oct 2015–Jun 2016 | Overall | Nazari et al., 2016b* |
Sari | Mazandaran | 123 | 293 | 416 | 8 | 19 | 27 | 6.5 | 6.5 | 6.5 | 10 | 416 | Both | Local | 2014 | Randomly | Jahandideh et al., 2017* |
Mashhad | Razavi Khorasan | ‒ | ‒ | ‒ | ‒ | ‒ | 575 | ‒ | ‒ | 15.5 | ‒ | ‒ | Both | Local | Oct–Dec 2017 | Overall | Jarahi et al., 2017* |
Primary schools | |||||||||||||||||
Kashan | Isfahan | 1986 | ‒ | ‒ | 17 | ‒ | ‒ | 0.86 | ‒ | ‒ | 8 | 1986 | Boys | Local | 1997 | Randomly | Dehghani et al., 1999* |
Sari | Mazandaran | 6097 | 4894 | 10991 | 32 | 183 | 215 | 0.52 | 3.7 | 1.9 | 58 | 10991 | Both | Local | 1997–1998 | Randomly | Motevalli Haghi et al., 1999* |
Bushehr | Bushehr | 3913 | 1962 | 1951 | ‒ | ‒ | 469 | 2.0 | 22.0 | 12.0 | ‒ | 1951 | Both | Local | 1999–2000 | Randomly | Arjomanzadeh et al., 2001* |
Ilam | Ilam | 320 | 338 | 658 | 14 | 22 | 36 | 4.5 | 6.5 | 5.5 | 6 | 658 | Both | Local | Mar 97–Apr 98 | Randomly | Gholamiparizad, Abedzadah, 2001* |
Yasuj | Kohgiluyeh and Boyer–Ahmad | 6438 | 5809 | 12247 | 85 | 1266 | 1351 | 1.3 | 21.8 | 11.0 | 64 | 2567 | Both | Local | Nov–Dec 1999 | Overall | Shahraki et al., 2001* |
Shahriar | Tehran | ‒ | ‒ | 1921 | ‒ | ‒ | ‒ | 8.2 | 24.3 | 15.8 | ‒ | 1921 | Both | Local | Oct–Mar 1993 | Overall | Bashiri et al., 2002* |
Bandar Abbas | Hormozgan | ‒ | ‒ | 3249 | ‒ | ‒ | ‒ | 1.8 | 20.3 | 12.3 | ‒ | 3249 | Both | Local | 1999–2000 | Randomly | Soleimani Zadeh, Sharifi Sarasiabi, 2002* |
Iranshahr | Sistan and Baluchestan | ‒ | 918 | ‒ | ‒ | 918 | ‒ | 27.0 | 12 | 918 | Girls | Local | Nov 2002–May 2003 | Randomly | Alempour Salemi et al., 2003* | ||
Qom | Qom | ‒ | 1650 | ‒ | ‒ | 74 | ‒ | ‒ | 4.5 | ‒ | ‒ | 1650 | Girls | Local | ‒ | Randomly | Farzinnia et al., 2004* |
Sanandaj | Kurdistan | ‒ | ‒ | 1195 | ‒ | ‒ | 235 | ‒ | ‒ | 19.7 | 18 | 1195 | Girls | Local | ‒ | Randomly | Davari, Yaghmaei, 2005* |
Ardabil | Ardabil | ‒ | 417 | ‒ | ‒ | 119 | ‒ | ‒ | 28.5 | ‒ | ‒ | 417 | Girls | Local | Oct 2001–May 2002 | Randomly | Edalatkhah et al., 2005* |
Kerman | Kerman | 564 | 636 | 1200 | 2 | 43 | 45 | 0.35 | 6.8 | 3.8 | 50 | 1200 | Both | Local | Apr–Jun 2003 | Randomly | Kamiabi, Nakhaei, 2005* |
Rasht | Gilan | 1493 | 1400 | 2893 | 49 | 80 | 129 | 3.3 | 5.7 | 4.5 | ‒ | 2893 | Both | Local | 2002–2003 | Randomly | Pourbaba et al., 2005* |
Babol | Mazandaran | ‒ | ‒ | 2300 | ‒ | ‒ | 51 | 0.96 | 3.5 | 2.2 | 9 | ‒ | ‒ | Local | 2003–2004 | Randomly | Zabihi et al., 2005* |
Hamadan | Hamadan | ‒ | 7219 | ‒ | ‒ | 975 | ‒ | ‒ | 13.5 | ‒ | 120 | 975 | Girls | Local | 2000–2001 | Randomly | Zahirnia et al., 2005* |
Gorgan | Golestan | ‒ | 200 | ‒ | ‒ | ‒ | ‒ | ‒ | 10.8 | ‒ | ‒ | ‒ | ‒ | Local | ‒ | Overall | Borghei, Gharaje, 2006* |
Hamadan | Hamadan | 440 | 407 | 847 | 3 | 55 | 58 | 0.7 | 13.5 | 6.9 | 12 | 847 | Both | Local | ‒ | Overall | Nazari et al., 2006* |
Amlash | Gilan | 2115 | 2129 | 4244 | 100 | 292 | 392 | 4.7 | 13.7 | 9.2 | 95 | 4244 | Both | Local | 2003–2004 | Overall | Rafinejad et al., 2006* |
Zabol | Sistan and Baluchestan | ‒ | 1066 | ‒ | ‒ | 313 | ‒ | ‒ | 29.4 | ‒ | 32 | ‒ | Girls | Local | 2003 | Randomly | Zareban et al., 2006* |
Qeshm | Hormozgan | 269 | 246 | 515 | 96 | 27 | 123 | 35.7 | 11.0 | 23.9 | ‒ | ‒ | Both | Local | ‒ | Randomly | Soleimani–Ahmadi, 2007* |
Sanandaj | Kurdistan | ‒ | 600 | ‒ | ‒ | 46 | ‒ | ‒ | 7.7 | ‒ | ‒ | 600 | Girls | Local | 2005 | Randomly | Yaghmaei et al., 2007* |
Tabriz | East Azerbaijan | 847 | 1948 | 2795 | 0 | 102 | 102 | 0 | 5.2 | 3.6 | 13 | 2795 | Both | Local | Jul–Nov 2006 | Overall | Hodjati et al., 2008* |
Kerman | Kerman | 19774 | 20812 | 40586 | 118 | 603 | 721 | 0.6 | 2.9 | 1.8 | 198 | 40586 | Both | Local | Mar–Jun 2006 | Overall | Motovali–Emami et al., 2008* |
Bahar | Hamadan | 450 | 450 | 900 | 2 | 10 | 12 | 0.44 | 2.2 | 1.3 | 18 | 900 | Both | Local | Feb–Jun 2008 | Randomly | Moradi et al., 2009* |
Ahvaz | Khuzestan | ‒ | 810 | ‒ | ‒ | 89 | ‒ | ‒ | 11.0 | ‒ | ‒ | 810 | Girls | Local | Apr–Jun 2006 | Randomly | Rafie et al., 2009* |
Birjand | South Khorasan | 1531 | 1515 | 3046 | 16 | 75 | 91 | 1.0 | 5.0 | 3.0 | ‒ | 500 | Both | Local | Jan–Mar 2001 | Randomly | Ghaderi et al., 2010* |
Khajeh | East Azerbaijan | 200 | 300 | 500 | 4 | 20 | 24 | 2.0 | 6.7 | 4.8 | 20 | 213450 | Both | Local | 2008–2009 | Randomly | Shayeghi et al., 2010* |
Across | Iran | ‒ | ‒ | ‒ | 9338 | 122715 | 132053 | 65.2 | 61.7 | 61.9 | ‒ | 213450 | Both | Across | 2005 | Overall | Amirkhani et al., 2011* |
Amlash | Gilan | 45 | 102 | 147 | 2 | 14 | 16 | 4.4 | 13.7 | 10.9 | ‒ | 147 | Both | Local | ‒ | Randomly | Rafinejad et al., 2011* |
Urmia | West Azerbaijan | 866 | 1174 | 2040 | 16 | 65 | 81 | 1.8 | 5.5 | 4.0 | 35 | 2040 | Both | Local | Oct–Dec 2010 | Randomly | Hazrati Tappeh et al., 2012* |
Bahar | Hamadan | ‒ | ‒ | 8568 | ‒ | ‒ | 701 | ‒ | ‒ | 8.2 | ‒ | 17722 | Both | Local | Oct–Dec 2011 | Overall | Moradi et al., 2012* |
Qom | Qom | ‒ | 1725 | ‒ | ‒ | 131 | ‒ | ‒ | 7.6 | ‒ | ‒ | ‒ | ‒ | Local | 2010 | Randomly | Saghafipour et al., 2012* |
Sanandaj | Kurdistan | ‒ | 810 | ‒ | 38 | ‒ | ‒ | 4.7 | ‒ | 27 | 810 | Girls | Local | ‒ | Randomly | Vahabi et al., 2012* | |
Sirjan | Kerman | 30 | 65 | 95 | 0 | 16 | 16 | 0 | 24.6 | 16.8 | ‒ | 22 | Both | Local | 2010–2011 | Overall | Yousefi et al., 2012* |
Robat Karim | Tehran | 10000 | ‒ | ‒ | 125 | ‒ | ‒ | 1.3 | ‒ | ‒ | 10000 | Girls | Local | 2008–2009 | Randomly | Afshari et al., 2013* | |
Javanrud | Kermanshah | ‒ | 865 | ‒ | ‒ | 72 | ‒ | ‒ | 8.3 | ‒ | ‒ | 865 | Girls | Local | 2011 | Randomly | Geravandi et al., 2013* |
Chabahar | Sistan and Baluchestan | ‒ | 153 | ‒ | ‒ | 116 | ‒ | ‒ | 75.8 | ‒ | 2 | 153 | Girls | Local | 2008–2009 | Randomly | Gholamnia Shirvani et al., 2013* |
Qom | Qom | ‒ | 900 | ‒ | ‒ | 120 | ‒ | ‒ | 13.3 | ‒ | 45 | 900 | Girls | Local | 2011 | Overall | Noroozi et al., 2013* |
Ravansar | Kermanshah | ‒ | 385 | ‒ | ‒ | 61 | ‒ | ‒ | 15.8 | ‒ | 6 | 385 | Girls | Local | ‒ | Overall | Sayyadi et al., 2013* |
Paveh | Kermanshah | ‒ | 750 | ‒ | ‒ | 60 | ‒ | ‒ | 8.0 | ‒ | 25 | 750 | Girls | Local | 2009–2010 | Randomly | Vahabi et al., 2013* |
Aran va Bidgol | Isfahan | 2096 | 1493 | 3589 | 2 | 15 | 17 | 0.05 | 0.42 | 0.47 | 19 | 3589 | Both | Local | Oct–Dec 2008 | Randomly | Doroodgar et al., 2014a* |
Kashan | Isfahan | 1077 | 1074 | 2151 | 6 | 8 | 14 | 0.6 | 0.75 | 0.7 | 23 | 624 | Both | Local | Nov 2012–May 2013 | Randomly | Doroodgar et al., 2014b* |
Maneh–Semelghan | North Khorasan | 120 | 130 | 250 | ‒ | ‒ | ‒ | 4.2 | 15.4 | 10.0 | ‒ | 250 | Both | Local | 2013 | Randomly | Hosseini et al., 2014* |
Damghan | Semnan | ‒ | 2700 | ‒ | ‒ | 97 | ‒ | ‒ | 3.6 | ‒ | ‒ | 2700 | Girls | Local | 2008 | Overall | Mohammadi Azni, 2014* |
Azadshahr | Golestan | ‒ | 1510 | ‒ | ‒ | 55 | ‒ | ‒ | 3.6 | ‒ | ‒ | 1510 | Girls | Local | 2012–2013 | Overall | Motevalli Haghi et al., 2014a* |
Sari | Mazandaran | 645 | 4067 | 4712 | 9 | 69 | 78 | 1.4 | 1.7 | 1.7 | ‒ | 4712 | Both | Local | 2012–2013 | Randomly | Motevalli Haghi et al., 2014b* |
Kalaleh | Golestan | ‒ | ‒ | 2500 | 10 | 147 | 157 | 1.8 | 10.1 | 6.3 | ‒ | 2500 | Both | Local | Oct 2013–Jun 2014 | Randomly | Noori et al., 2014* |
Abadan | Khuzestan | 302 | 322 | 624 | 0 | 27 | 27 | 0 | 8.4 | 4.3 | 26 | 104 | Both | Local | 2012 | Randomly | Salehi et al., 2014* |
Bayengan | Kermanshah | 164 | 220 | 384 | 14 | 40 | 54 | 8.5 | 18.2 | 14.1 | 4 | 384 | Both | Local | ‒ | Randomly | Sayyadi et al., 2014* |
Pakdasht | Tehran | 28242 | 25490 | 53732 | 122 | 556 | 678 | 0.43 | 2.2 | 1.3 | ‒ | 53732 | Both | Local | Oct–Dec 2013 | Overall | Davari et al., 2015* |
Sarab | East Azerbaijan | 138 | 490 | 628 | ‒ | ‒ | ‒ | 2.8 | 6.6 | 5.9 | 40 | 661 | Both | Local | Aug 2013–Mar 2014 | Randomly | Dehghanzadeh et al., 2015* |
Bonab | East Azerbaijan | ‒ | 3757 | ‒ | ‒ | 106 | ‒ | ‒ | 2.8 | ‒ | ‒ | 3757 | Girls | Local | 2013–2014 | Overall | Kabiri et al., 2015* |
Bojnurd | North Khorasan | 722 | 753 | 1475 | 21 | 93 | 114 | 2.9 | 12.4 | 7.7 | 75 | 1475 | Both | Local | Jan–Mar 2013 | Randomly | Rajabzade et al., 2015* |
Shahriar | Tehran | ‒ | 750 | ‒ | ‒ | 36 | ‒ | ‒ | 4.8 | ‒ | 3 | ‒ | ‒ | Local | 2012–2103 | Randomly | Alborzi et al., 2016* |
Savojbolagh | Alborz | 3847 | 8935 | 12782 | 11 | 227 | 238 | 0.29 | 2.5 | 1.9 | ‒ | 2744 | Both | Local | Sep–Dec 2013 | Overall | Bahrami et al., 2016* |
BandarAbbas | Hormozgan | 116 | 100 | 216 | ‒ | ‒ | 45 | 6.0 | 33.3 | 20.8 | ‒ | 216 | Both | Local | 2014 | Overall | Hosseinpour et al., 2016* |
Galugah | Mazandaran | 132 | 168 | 300 | 9 | 8 | 17 | 6.8 | 4.8 | 5.7 | 16 | 300 | Both | Local | 2009–2010 | Randomly | Kassiri, Esteghali, 2016* |
Khorramshahr | Khuzestan | 405 | 345 | 750 | ‒ | ‒ | 15 | 1.5 | 2.6 | 2.0 | 10 | 750 | Both | Local | 2008–2009 | Randomly | Kassiri, Gatifi, 2016* |
Hashtgerd | Alborz | 185 | 187 | 372 | 1 | 16 | 17 | 0.54 | 8.6 | 4.6 | 6 | 372 | Both | Local | Oct 2012– Jun 2013 | Randomly | Morowati Sharifabad et al., 2016* |
Kalaleh | Golestan | 265 | 276 | 541 | 5 | 30 | 35 | 1.9 | 10.9 | 6.5 | 4 | 3757 | Girls | Local | Oct–Dec 2015 | Randomly | Maleky et al., 2016* |
Lar | Fars | ‒ | 2084 | ‒ | ‒ | 82 | ‒ | ‒ | 3.9 | ‒ | 2 | ‒ | Girls | Local | Dec 2013–Jan 2014 | Overall | Moemenbellah–Fard et al., 2016* |
Asadabad | Hamadan | 188 | 412 | 600 | 1 | 13 | 14 | 0.53 | 3.2 | 2.3 | 16 | 600 | Both | Local | 2013–2014 | Randomly | Nazari et al., 2016a* |
Asadabad | Hamadan | ‒ | ‒ | 30168 | ‒ | ‒ | 564 | ‒ | ‒ | 1.9 | ‒ | 16438 | Both | Local | Oct 2015–Jun 2016 | Overall | Nazari et al., 2016b* |
Paveh | Kermanshah | ‒ | 485 | ‒ | ‒ | 85 | ‒ | ‒ | 17.5 | ‒ | 5 | 485 | Girls | Local | ‒ | Overall | Sayyad et al., 2016* |
Khorramshahr | Khuzestan | ‒ | 170 | ‒ | ‒ | 22 | ‒ | ‒ | 12.9 | ‒ | ‒ | ‒ | Girls | Local | Mar–Apr 2015 | Overall | Ghajari et al., 2017* |
Pakdasht, Pishva, Qrachak and Varamin | Tehran | ‒ | ‒ | 3483 | ‒ | ‒ | ‒ | ‒ | ‒ | 7.9 | 10 | 3483 | Both | Local | Oct 2014–Jun 2015 | Randomly | Ghandali et al., 2017* |
Zanjan | Zanjan | ‒ | 915 | ‒ | ‒ | 95 | ‒ | ‒ | 10.6 | ‒ | ‒ | ‒ | Girls | Local | ‒ | Overall | Ghavami, Ahmadi, 2017* |
Lowshan | Gilan | ‒ | 414 | ‒ | ‒ | 78 | ‒ | ‒ | 18.8 | ‒ | ‒ | ‒ | Both | Local | 2016 | Randomly | Goodarzvand Chegini et al., 2017* |
Mashhad | Razavi Khorasan | ‒ | ‒ | ‒ | ‒ | ‒ | 1810 | ‒ | ‒ | 48.7 | ‒ | ‒ | Both | Local | Oct–Dec 2017 | Overall | Jarahi et al., 2017* |
Jahrom | Fars | 330 | 387 | 717 | 14 | 35 | 49 | 4.2 | 9.0 | 6.8 | ‒ | 717 | Both | Local | 2016–2017 | Randomly | Majidi et al., 2017* |
Sirik | Hormozgan | ‒ | 358 | ‒ | ‒ | 201 | ‒ | ‒ | 56.1 | ‒ | ‒ | 358 | Girls | Local | Nov 2015– Feb 2016 | Randomly | Sanei–Dehkordi et al., 2017* |
Bashagard | Hormozgan | ‒ | 300 | ‒ | ‒ | 202 | ‒ | ‒ | 67.3 | ‒ | ‒ | 300 | Girls | Local | ‒ | Randomly | Soleimani–Ahmadi et al., 2017* |
Meshginshahr | Ardabil | 895 | 1055 | 1950 | 69 | 131 | 200 | 3.5 | 6.7 | 10.3 | 20 | 1950 | Both | Local | 2015–2016 | Randomly | Abbasgholizadeh et al., 2018* |
Yazd | Yazd | 338 | 312 | 650 | 3 | 14 | 17 | 0.9 | 4.5 | 2.6 | 30 | 650 | Both | Local | Oct–Mar 2013 | Randomly | Ebrahimzadeh Ardakani, Fayazi Bargin, 2018* |
Meshginshahr | Ardabil | 895 | 1055 | 1950 | 69 | 131 | 200 | 7.7 | 12.4 | 10.3 | 20 | 1950 | Both | Local | Oct 2015–Jun 2016 | Randomly | Moradiasl et al., 2018* |
Meybod | Yazd | ‒ | 402 | ‒ | ‒ | 59 | ‒ | ‒ | 14.7 | ‒ | 4 | 402 | Girls | Local | 2015–2016 | Randomly | Morovati Sharif Abadi et al., 2018* |
Andimeshk, Dezful and Shush | Khuzestan | 13141 | 15269 | 28410 | 797 | 2198 | 2995 | 6.1 | 14.4 | 10.5 | 280 | 28410 | Both | Local | Feb–Jun 2016 | Randomly | Nejati et al., 2018* |
Qom | Qom | ‒ | 1725 | ‒ | ‒ | 229 | ‒ | ‒ | 13.3 | ‒ | 75 | 1725 | Girls | Local | Mar 2015–Mar 2017 | Randomly | Saghafipour et al., 2018* |
Sabzevar | Razavi Khorasan | ‒ | ‒ | 1200 | ‒ | ‒ | 146 | 8.6 | 18.9 | 12.2 | ‒ | 1200 | Both | Local | 2015–2016 | Randomly | Tarkhasi et al., 2018* |
Mashhad | Razavi Khorasan | ‒ | ‒ | ‒ | 33 | 121 | 154 | 21.4 | 78.6 | ‒ | ‒ | ‒ | Both | Local | Sep 2015–Mar 2016 | Randomly | Tashakori et al., 2018* |
Mashhad | Razavi Khorasan | ‒ | ‒ | ‒ | ‒ | ‒ | ‒ | ‒ | ‒ | 42.6 | ‒ | ‒ | Both | Local | Nov 2016–Mar 2017 | Overall | Beygi et al., 2019* |
Badrud | Isfahan | 808 | 787 | 1595 | 10 | 115 | 125 | 0.62 | 7.2 | 7.8 | ‒ | 1595 | Both | Local | 2017–2018 | Overall | Dehghani et al., 2019* |
Tonekabon | Mazandaran | ‒ | 1466 | ‒ | ‒ | 292 | ‒ | ‒ | 19.9 | ‒ | ‒ | 1466 | Girls | Local | 2017–2018 | Randomly | Heidarpour et al., 2019* |
Kavar | Fars | ‒ | 3728 | ‒ | ‒ | 87 | ‒ | ‒ | 2.3 | ‒ | 21 | ‒ | Girls | Local | Dec 2016–Jul 2017 | Randomly | Kalari et al., 2019* |
Karun | Khuzestan | ‒ | 851 | ‒ | ‒ | 199 | ‒ | ‒ | 23.4 | ‒ | ‒ | 851 | Girls | Local | 2017–2018 | Randomly | Ghofleh Maramazi et al., 2019* |
Mashhad | Razavi Khorasan | ‒ | 3062 | ‒ | ‒ | 417 | 13.6 | ‒ | 3062 | Girls | Local | 2017–2018 | Randomly | Mohammadi et al., 2019* | |||
Jam | Bushehr | ‒ | 854 | ‒ | ‒ | 132 | ‒ | ‒ | 15.4 | ‒ | ‒ | Girls | Local | 2019 | Overall | Asadian et al., 2020* | |
Ardabil, Tabriz, Urmia and Zanjan | Ardabil, East Azerbaijan, West Azerbaijan and Zanjan | ‒ | 6410 | ‒ | ‒ | 562 | ‒ | ‒ | 8.8 | ‒ | 52 | ‒ | Both | Across | 2016–2018 | Overall | Ghavami et al., 2020* |
Ahvaz | Khuzestan | ‒ | ‒ | 41392 | ‒ | ‒ | 504 | ‒ | ‒ | 1.2 | ‒ | 41392 | Both | Local | 2008 | Overall | Kassiri et al., 2020a* |
Ahvaz | Khuzestan | ‒ | ‒ | 30762 | ‒ | ‒ | 621 | ‒ | ‒ | 2.0 | ‒ | 30762 | Both | Local | 2009 | Overall | Kassiri et al., 2020a* |
Ahvaz | Khuzestan | ‒ | ‒ | 35721 | ‒ | ‒ | 528 | ‒ | ‒ | 1.5 | ‒ | 35721 | Both | Local | 2010 | Overall | Kassiri et al., 2020a* |
Ahvaz | Khuzestan | ‒ | ‒ | 40726 | ‒ | ‒ | 172 | ‒ | ‒ | 0.4 | ‒ | 40726 | Both | Local | 2011 | Overall | Kassiri et al., 2020a* |
Ahvaz | Khuzestan | ‒ | ‒ | 63133 | ‒ | ‒ | 1368 | ‒ | ‒ | 2.1 | ‒ | 63133 | Both | Local | 2012 | Overall | Kassiri et al., 2020a* |
Ahvaz | Khuzestan | ‒ | ‒ | 41174 | ‒ | ‒ | 4561 | ‒ | ‒ | 3.3 | ‒ | 41174 | Both | Local | 2013 | Overall | Kassiri et al., 2020a* |
Ahvaz | Khuzestan | ‒ | ‒ | 252908 | ‒ | ‒ | 4561 | ‒ | ‒ | 1.8 | ‒ | 252908 | Both | Local | 2008–2013 | Overall | Kassiri et al., 2020a* |
Karun | Khuzestan | 379 | 372 | 751 | 77 | 140 | 217 | 20.3 | 37.6 | 28.9 | ‒ | 751 | Both | Local | 2017 | Randomly | Kassiri et al., 2020b* |
Birjand | South Khorasan | ‒ | 2417 | ‒ | ‒ | 329 | ‒ | ‒ | 13.6 | ‒ | 19 | 2417 | Girls | Local | 2017 | Randomly | Lashkari et al., 2020* |
Semnan | Semnan | 384 | 383 | 767 | 15 | 25 | 40 | 3.9 | 6.5 | 5.2 | 8 | 767 | Both | Local | Mar 2018–May 2018 | Randomly | Shirzadi et al., 2020* |
Khorramabad | Lorestan | 1774 | 2116 | 3890 | 27 | 121 | 148 | 1.5 | 5.7 | 3.8 | ‒ | 3890 | Both | Local | 2018–2019 | Randomly | Galehdar et al., 2021 |
Ahvaz | Khuzestan | 3027 | 2903 | 5930 | 461 | 1101 | 1562 | 15.2 | 37.9 | 26.3 | ‒ | 5930 | Both | Local | Jan 2016–Jun 2017 | Randomly | Kassiri, Mehraghaei, 2021* |
Rasht | Mazandaran | ‒ | 3033 | ‒ | ‒ | ‒ | ‒ | ‒ | 7.9 | ‒ | ‒ | 3032 | Both | Local | ‒ | Overall | Moosazadeh et al., 2021* |
Tabriz | East Azerbaijan | 1515 | 1517 | 3032 | 37 | 93 | 130 | 2.4 | 6.1 | 4.3 | 33 | 3032 | Both | Local | Jan–Mar 2018 | Randomly | Norouzi et al., 2021* |
Gilan–e Gharb | Kermanshah | 1335 | 1180 | 2515 | 12 | 52 | 64 | 0.9 | 4.4 | 2.5 | ‒ | 2515 | Both | Local | 2018 | Overall | Zahirnia et al., 2021* |
Dorud | Lorestan | ‒ | 896 | ‒ | ‒ | ‒ | ‒ | ‒ | 10.5 | ‒ | ‒ | 361 | Both | Local | 2020 | Randomly | Barik–Abi et al., 2022* |
Paveh | Kermanshah | ‒ | ‒ | 361 | ‒ | ‒ | 26 | ‒ | ‒ | 7.2 | 11 | 361 | Both | Local | Oct–Dec 2018 | Overall | Bekri, Shaghaghi, 2022 |
Gahavand | Hamadan | ‒ | 499 | ‒ | ‒ | 89 | ‒ | ‒ | 17.8 | ‒ | ‒ | 499 | Girls | Local | 2020 | Overall | Hajiloie et al., 2022 * |
Marivan | Kurdistan | 227 | 230 | 457 | 34 | 75 | 109 | 15.0 | 32.6 | 23.9 | ‒ | 457 | Both | Local | 2018–2019 | Randomly | Rad et al., 2022 |
Varzaqan | East Azerbaijan | 211 | 189 | 400 | 13 | 28 | 41 | 6.2 | 14.8 | 10.3 | 26 | 400 | Both | Local | Dec 2019–Jan 2020 | Randomly | Sepehri, Jafari, 2022 |
Kerman | Kerman | ‒ | 179 | ‒ | ‒ | 12 | ‒ | ‒ | 6.7 | ‒ | ‒ | ‒ | Girls | Local | Sep 2019–Mar 2019 | Randomly | Shirani–Bidabadi et al., 2022 |
Notes. E ‒ examined, I ‒ infested. * Cited in Nasirian, Ahmadi, 2024.
Table 2. Pediculus capitis infestation in the age groups of primary school students, based on a literature search
Counties | Provinces | E | I | I (%) | Sampling | References | |||||||||||
Age groups | Boys | Girls | Both | Boys | Girls | Both | Boys | Girls | Both | Schools | Students | Gender | Location | Date | Selection | ||
6 years | |||||||||||||||||
Iranshahr | Sistan and Baluchestan | ‒ | 35 | ‒ | ‒ | 3 | ‒ | ‒ | 8.6 | ‒ | 12 | 35 | Girls | Local | Nov 2002–May 2003 | Randomly | Alempour Salemi et al., 2003* |
Kerman | Kerman | ‒ | ‒ | 7412 | ‒ | ‒ | 298 | ‒ | ‒ | 4.0 | 198 | 40586 | Both | Local | Mar–Jun 2006 | Overall | Motovali-Emami et al., 2008* |
Urmia | West Azerbaijan | ‒ | ‒ | 47 | ‒ | ‒ | 4 | ‒ | ‒ | 8.5 | 35 | 2040 | Both | Local | Oct–Dec 2010 | Randomly | Hazrati Tappeh et al., 2012* |
Sirik | Hormozgan | ‒ | 5 | ‒ | ‒ | ‒ | ‒ | ‒ | 20.0 | ‒ | ‒ | 358 | Girls | Local | Nov 2015– Feb 2016 | Randomly | Sanei-Dehkordi et al., 2017* |
Karun | Khuzestan | ‒ | ‒ | 126 | ‒ | ‒ | 39 | ‒ | ‒ | 31.0 | ‒ | 751 | Both | Local | 2017 | Randomly | Kassiri et al., 2020b* |
Ahvaz | Khuzestan | ‒ | ‒ | 999 | ‒ | ‒ | 279 | ‒ | ‒ | 27.9 | ‒ | 5930 | Both | Local | Jan 2016–Jun 2017 | Randomly | Kassiri, Mehraghaei, 2021* |
Tabriz | East Azerbaijan | ‒ | ‒ | 628 | ‒ | ‒ | 38 | ‒ | ‒ | 6.1 | 33 | 3032 | Both | Local | Jan–Mar 2018 | Randomly | Norouzi et al., 2021* |
7 years | |||||||||||||||||
Yasuj | Kohgiluyeh and Boyer-Ahmad | 1233 | 1148 | 2381 | 5 | 176 | 181 | 0.41 | 15.3 | 7.6 | 64 | 2567 | Both | Local | Nov–Dec 1999 | Overall | Shahraki et al., 2001* |
Iranshahr | Sistan and Baluchestan | ‒ | 151 | ‒ | ‒ | 42 | ‒ | ‒ | 27.8 | 12 | 918 | Girls | Local | Nov 2002–May 2003 | Randomly | Alempour Salemi et al., 2003* | |
Qom | Qom | ‒ | 319 | ‒ | ‒ | ‒ | ‒ | ‒ | 1.9 | ‒ | ‒ | 1650 | Girls | Local | ‒ | Randomly | Farzinnia et al., 2004* |
Sanandaj | Kurdistan | ‒ | ‒ | 230 | ‒ | ‒ | 26 | ‒ | ‒ | 11.3 | 18 | 1195 | Girls | Local | ‒ | Randomly | Davari, Yaghmaei, 2005* |
Kerman | Kerman | ‒ | ‒ | 195 | ‒ | ‒ | 7 | ‒ | ‒ | 3.6 | 50 | 1200 | Both | Local | Apr–Jun 2003 | Randomly | Kamiabi, Nakhaei, 2005* |
Hamadan | Hamadan | ‒ | ‒ | 56 | ‒ | ‒ | 11 | ‒ | ‒ | 19.6 | 12 | 847 | Both | Local | ‒ | Overall | Nazari et al., 2006* |
Amlash | Gilan | ‒ | ‒ | 754 | ‒ | ‒ | 76 | ‒ | ‒ | 10.1 | 95 | 4244 | Both | Local | 2003– 2004 | Overall | Rafinejad et al., 2006* |
Zabol | Sistan and Baluchestan | ‒ | 228 | ‒ | ‒ | 46 | ‒ | ‒ | 20.2 | ‒ | 32 | ‒ | Girls | Local | 2003 | Randomly | Zareban et al., 2006* |
Qeshm | Hormozgan | ‒ | ‒ | ‒ | ‒ | ‒ | ‒ | ‒ | ‒ | 11.6 | ‒ | ‒ | Both | Local | ‒ | Randomly | Soleimani-Ahmadi, 2007* |
Sanandaj | Kurdistan | ‒ | 113 | ‒ | ‒ | 1 | ‒ | ‒ | 0.88 | ‒ | ‒ | 600 | Girls | Local | 2005 | Randomly | Yaghmaei et al., 2007* |
Kerman | Kerman | ‒ | ‒ | 6051 | ‒ | ‒ | 194 | ‒ | ‒ | 3.2 | 198 | 40586 | Both | Local | Mar–Jun 2006 | Overall | Motovali-Emami et al., 2008* |
Bahar | Hamadan | ‒ | ‒ | 180 | ‒ | ‒ | 3 | ‒ | ‒ | 1.7 | 18 | 900 | Both | Local | Feb–Jun 2008 | Randomly | Moradi et al., 2009* |
Khajeh | East Azerbaijan | ‒ | ‒ | 96 | ‒ | ‒ | 13 | ‒ | ‒ | 13.5 | 20 | 500 | Both | Local | 2008– 2009 | Randomly | Shayeghi et al., 2010* |
Urmia | West Azerbaijan | ‒ | ‒ | 423 | ‒ | ‒ | 20 | ‒ | ‒ | 4.7 | 35 | 2040 | Both | Local | Oct–Dec 2010 | Randomly | Hazrati Tappeh et al., 2012* |
Qom | Qom | ‒ | ‒ | ‒ | ‒ | ‒ | ‒ | ‒ | 23.6 | ‒ | ‒ | ‒ | ‒ | Local | 2010 | Randomly | Saghafipour et al., 2012* |
Sanandaj | Kurdistan | ‒ | 148 | ‒ | ‒ | 4 | ‒ | ‒ | 2.7 | ‒ | 27 | 810 | Girls | Local | ‒ | Randomly | Vahabi et al., 2012* |
Robat Karim | Tehran | ‒ | 10000 | ‒ | ‒ | 22 | ‒ | ‒ | 22.5 | ‒ | ‒ | 10000 | Girls | Local | 2008– 2009 | Randomly | Afshari et al., 2013* |
Qom | Qom | ‒ | ‒ | ‒ | ‒ | 28 | ‒ | ‒ | 15.5 | ‒ | 45 | 900 | Girls | Local | 2011 | Overall | Noroozi et al., 2013* |
Ravansar | Kermanshah | ‒ | 75 | ‒ | ‒ | 15 | ‒ | ‒ | 20.0 | ‒ | 6 | 385 | Girls | Local | ‒ | Overall | Sayyadi et al., 2013* |
Paveh | Kermanshah | ‒ | 125 | ‒ | ‒ | 14 | ‒ | ‒ | 11.2 | ‒ | 25 | 750 | Girls | Local | 2009– 2010 | Randomly | Vahabi et al., 2013* |
Aran va Bidgol | Isfahan | ‒ | ‒ | 717 | ‒ | ‒ | 1 | ‒ | ‒ | 0.14 | 19 | 3589 | Both | Local | Oct–Dec 2008 | Randomly | Doroodgar et al., 2014a* |
Kashan | Isfahan | ‒ | ‒ | 624 | ‒ | ‒ | 2 | ‒ | ‒ | 0.3 | 23 | 624 | Both | Local | Nov 2012–May 2013 | Randomly | Doroodgar et al., 2014b* |
Damghan | Semnan | ‒ | ‒ | ‒ | ‒ | 11 | ‒ | ‒ | 11.3 | ‒ | ‒ | 2700 | Girls | Local | 2008 | Overall | Mohammadi Azni, 2014* |
Azadshahr | Golestan | ‒ | 287 | ‒ | ‒ | 15 | ‒ | ‒ | 5.2 | ‒ | ‒ | 1510 | Girls | Local | 2012– 2013 | Overall | Motevalli Haghi et al., 2014a* |
Sari | Mazandaran | ‒ | ‒ | 678 | ‒ | ‒ | 9 | ‒ | ‒ | 1.3 | ‒ | 4712 | Both | Local | 2012– 2013 | Randomly | Motevalli Haghi et al., 2014b* |
Abadan | Khuzestan | ‒ | ‒ | 104 | ‒ | ‒ | 5 | ‒ | ‒ | 4.8 | 26 | 104 | Both | Local | 2012 | Randomly | Salehi et al., 2014* |
Bayengan | Kermanshah | ‒ | ‒ | 49 | ‒ | ‒ | 5 | ‒ | ‒ | 10.2 | 4 | 384 | Both | Local | ‒ | Randomly | Sayyadi et al., 2014* |
Bonab | East Azerbaijan | ‒ | 608 | ‒ | ‒ | 14 | ‒ | ‒ | 2.3 | ‒ | ‒ | 3757 | Girls | Local | 2013– 2014 | Overall | Kabiri et al., 2015* |
Savojbolagh | Alborz | ‒ | ‒ | 2762 | ‒ | ‒ | 47 | ‒ | ‒ | 1.7 | ‒ | 2744 | Both | Local | Sep–Dec 2013 | Overall | Bahrami et al., 2016* |
Galugah | Mazandaran | ‒ | ‒ | 53 | ‒ | ‒ | 4 | ‒ | ‒ | 7.5 | 16 | 300 | Both | Local | 2009– 2010 | Randomly | Kassiri, Esteghali, 2016* |
Khorramshahr | Khuzestan | ‒ | ‒ | ‒ | ‒ | ‒ | ‒ | ‒ | ‒ | 3.3 | 10 | 750 | Both | Local | 2008– 2009 | Randomly | Kassiri, Gatifi, 2016* |
Kalaleh | Golestan | ‒ | ‒ | 190 | ‒ | ‒ | 9 | ‒ | ‒ | 4.7 | 4 | 3757 | Girls | Local | Oct–Dec 2015 | Randomly | Maleky et al., 2016* |
Paveh | Kermanshah | ‒ | 101 | ‒ | ‒ | 11 | ‒ | ‒ | 10.9 | ‒ | 5 | 485 | Girls | Local | ‒ | Overall | Sayyad et al., 2016* |
Sirik | Hormozgan | ‒ | 49 | ‒ | ‒ | ‒ | ‒ | ‒ | 33.0 | ‒ | ‒ | 358 | Girls | Local | Nov 2015– Feb 2016 | Randomly | Sanei-Dehkordi et al., 2017* |
Bashagard | Hormozgan | ‒ | 50 | ‒ | ‒ | ‒ | ‒ | ‒ | 50.0 | ‒ | ‒ | 300 | Girls | Local | ‒ | Randomly | Soleimani-Ahmadi et al., 2017 * |
Meshginshahr | Ardabil | 663 | 68 | 3.5 | 20 | 1950 | Both | Local | 2015– 2016 | Randomly | Abbasgholizadeh et al., 2018* | ||||||
Meshginshahr | Ardabil | ‒ | ‒ | 351 | ‒ | ‒ | 68 | ‒ | ‒ | 19.4 | 20 | 1950 | Both | Local | Oct 2015–Jun 2016 | Randomly | Moradiasl et al., 2018* |
Meybod | Yazd | ‒ | 69 | ‒ | ‒ | 15 | ‒ | ‒ | 21.7 | ‒ | 4 | 402 | Girls | Local | 2015– 2016 | Randomly | Morovati Sharif Abadi et al., 2018* |
Andimeshk, Dezful and Shush | Khuzestan | ‒ | ‒ | 4697 | ‒ | ‒ | 773 | ‒ | ‒ | 16.5 | 280 | 28410 | Both | Local | Feb–Jun 2016 | Randomly | Nejati et al., 2018* |
Qom | Qom | ‒ | 345 | ‒ | ‒ | 52 | ‒ | ‒ | 15.1 | ‒ | 75 | 1725 | Girls | Local | Mar 2015–Mar 2017 | Randomly | Saghafipour et al., 2018* |
Sabzevar | Razavi Khorasan | ‒ | ‒ | 210 | ‒ | ‒ | 27 | ‒ | ‒ | 12.9 | ‒ | 1200 | Both | Local | 2015– 2016 | Randomly | Tarkhasi et al., 2018* |
Badrud | Isfahan | ‒ | ‒ | 245 | ‒ | ‒ | 30 | ‒ | ‒ | 1.9 | ‒ | 1595 | Both | Local | 2017– 2018 | Overall | Dehghani et al., 2019* |
Tonekabon | Mazandaran | ‒ | 243 | ‒ | ‒ | 55 | ‒ | ‒ | 22.6 | ‒ | ‒ | 1466 | Girls | Local | 2017– 2018 | Randomly | Heidarpour et al., 2019* |
Mashhad | Razavi Khorasan | ‒ | 475 | ‒ | ‒ | 95 | ‒ | ‒ | 20.0 | ‒ | ‒ | 3062 | Girls | Local | 2017– 2018 | Randomly | Mohammadi et al., 2019* |
Karun | Khuzestan | ‒ | ‒ | 125 | ‒ | ‒ | 38 | ‒ | ‒ | 30.4 | ‒ | 751 | Both | Local | 2017 | Randomly | Kassiri et al., 2020b* |
Semnan | Semnan | ‒ | ‒ | 243 | ‒ | ‒ | 8 | ‒ | ‒ | 3.3 | 8 | 767 | Both | Local | Mar 2018–May 2018 | Randomly | Shirzadi et al., 2020* |
Khorramabad | Lorestan | ‒ | ‒ | 115 | ‒ | ‒ | 18 | ‒ | ‒ | 15.7 | ‒ | 3890 | Both | Local | 2018– 2019 | Randomly | Galehdar et al., 2021 |
Ahvaz | Khuzestan | ‒ | ‒ | 991 | ‒ | ‒ | 251 | ‒ | ‒ | 25.3 | ‒ | 5930 | Both | Local | Jan 2016–Jun 2017 | Randomly | Kassiri, Mehraghaei, 2021* |
Tabriz | East Azerbaijan | ‒ | ‒ | 1521 | ‒ | ‒ | 64 | ‒ | ‒ | 4.2 | 33 | 3032 | Both | Local | Jan–Mar 2018 | Randomly | Norouzi et al., 2021* |
Gilan-e Gharb | Kermanshah | ‒ | ‒ | 500 | ‒ | ‒ | 25 | ‒ | ‒ | 5.0 | ‒ | 2515 | Both | Local | 2018 | Overall | Zahirnia et al., 2021* |
Paveh | Kermanshah | ‒ | ‒ | 61 | ‒ | ‒ | 1 | ‒ | ‒ | 1.6 | 11 | 361 | Both | Local | Oct–Dec 2018 | Overall | Bekri, Shaghaghi, 2022 |
Gahavand | Hamadan | ‒ | 77 | ‒ | ‒ | 16 | ‒ | ‒ | 20.8 | ‒ | ‒ | 499 | Girls | Local | 2020 | Overall | Hajiloie et al., 2022* |
Marivan | Kurdistan | ‒ | ‒ | 8 | ‒ | ‒ | 3 | ‒ | ‒ | 37.5 | ‒ | 457 | Both | Local | 2018– 2019 | Randomly | Rad et al., 2022 |
Varzaqan | East Azerbaijan | ‒ | ‒ | 44 | ‒ | ‒ | 7 | ‒ | ‒ | 15.9 | 26 | 400 | Both | Local | Dec 2019–Jan 2020 | Randomly | Sepehri, Jafari, 2022 |
8 years | |||||||||||||||||
Yasuj | Kohgiluyeh and Boyer-Ahmad | 1234 | 1111 | 2345 | 6 | 212 | 218 | 0.49 | 19.1 | 9.3 | 64 | 2567 | Both | Local | Nov–Dec 1999 | Overall | Shahraki et al., 2001* |
Iranshahr | Sistan and Baluchestan | 156 | 40 | 25.6 | 12 | 918 | Girls | Local | Nov 2002–May 2003 | Randomly | Alempour Salemi et al., 2003* | ||||||
Qom | Qom | ‒ | 391 | ‒ | ‒ | ‒ | ‒ | ‒ | 4.5 | ‒ | ‒ | 1650 | Girls | Local | ‒ | Randomly | Farzinnia et al., 2004* |
Sanandaj | Kurdistan | ‒ | ‒ | 242 | ‒ | ‒ | 72 | ‒ | ‒ | 29.7 | 18 | 1195 | Girls | Local | ‒ | Randomly | Davari, Yaghmaei, 2005* |
Kerman | Kerman | ‒ | ‒ | 223 | ‒ | ‒ | 4 | ‒ | ‒ | 1.8 | 50 | 1200 | Both | Local | Apr–Jun 2003 | Randomly | Kamiabi, Nakhaei, 2005* |
Hamadan | Hamadan | ‒ | ‒ | 75 | ‒ | ‒ | 8 | ‒ | ‒ | 10.7 | 12 | 847 | Both | Local | ‒ | Overall | Nazari et al., 2006* |
Amlash | Gilan | ‒ | ‒ | 701 | ‒ | ‒ | 67 | ‒ | ‒ | 9.6 | 95 | 4244 | Both | Local | 2003–2004 | Overall | Rafinejad et al., 2006* |
Zabol | Sistan and Baluchestan | ‒ | 216 | ‒ | ‒ | 49 | ‒ | ‒ | 22.7 | ‒ | 32 | ‒ | Girls | Local | 2003 | Randomly | Zareban et al., 2006* |
Qeshm | Hormozgan | ‒ | ‒ | ‒ | ‒ | ‒ | ‒ | ‒ | ‒ | 17.4 | ‒ | ‒ | Both | Local | ‒ | Randomly | Soleimani-Ahmadi, 2007* |
Sanandaj | Kurdistan | ‒ | 115 | ‒ | ‒ | 4 | ‒ | ‒ | 3.5 | ‒ | ‒ | 600 | Girls | Local | 2005 | Randomly | Yaghmaei et al., 2007* |
Kerman | Kerman | ‒ | ‒ | 7965 | ‒ | ‒ | 103 | ‒ | ‒ | 1.3 | 198 | 40586 | Both | Local | Mar–Jun 2006 | Overall | Motovali-Emami et al., 2008* |
Bahar | Hamadan | ‒ | ‒ | 180 | ‒ | ‒ | 2 | ‒ | ‒ | 1.1 | 18 | 900 | Both | Local | Feb–Jun 2008 | Randomly | Moradi et al., 2009* |
Khajeh | East Azerbaijan | ‒ | ‒ | 113 | ‒ | ‒ | 5 | ‒ | ‒ | 4.4 | 20 | 500 | Both | Local | 2008–2009 | Randomly | Shayeghi et al., 2010* |
Urmia | West Azerbaijan | ‒ | ‒ | 421 | ‒ | ‒ | 17 | ‒ | ‒ | 4.0 | 35 | 2040 | Both | Local | Oct–Dec 2010 | Randomly | Hazrati Tappeh et al., 2012* |
Qom | Qom | ‒ | ‒ | ‒ | ‒ | ‒ | ‒ | ‒ | 15.3 | ‒ | ‒ | ‒ | ‒ | Local | 2010 | Randomly | Saghafipour et al., 2012* |
Sanandaj | Kurdistan | ‒ | 140 | ‒ | ‒ | 9 | ‒ | ‒ | 6.4 | ‒ | 27 | 810 | Girls | Local | ‒ | Randomly | Vahabi et al., 2012* |
Robat Karim | Tehran | ‒ | 10000 | ‒ | ‒ | 19 | ‒ | ‒ | 19.4 | ‒ | ‒ | 10000 | Girls | Local | 2008–2009 | Randomly | Afshari et al., 2013* |
Qom | Qom | ‒ | ‒ | ‒ | ‒ | 18 | ‒ | ‒ | 10.0 | ‒ | 45 | 900 | Girls | Local | 2011 | Overall | Noroozi et al., 2013* |
Ravansar | Kermanshah | ‒ | 63 | ‒ | ‒ | 11 | ‒ | ‒ | 17.5 | ‒ | 6 | 385 | Girls | Local | ‒ | Overall | Sayyadi et al., 2013* |
Paveh | Kermanshah | ‒ | 117 | ‒ | ‒ | 13 | ‒ | ‒ | 11.1 | ‒ | 25 | 750 | Girls | Local | 2009–2010 | Randomly | Vahabi et al., 2013* |
Aran va Bidgol | Isfahan | ‒ | ‒ | 658 | ‒ | ‒ | 4 | ‒ | ‒ | 0.58 | 19 | 3589 | Both | Local | Oct–Dec 2008 | Randomly | Doroodgar et al., 2014a* |
Kashan | Isfahan | ‒ | ‒ | 206 | ‒ | ‒ | 3 | ‒ | ‒ | 1.5 | 23 | 624 | Both | Local | Nov 2012–May 2013 | Randomly | Doroodgar et al., 2014b* |
Damghan | Semnan | ‒ | ‒ | ‒ | ‒ | 15 | ‒ | ‒ | 15.5 | ‒ | ‒ | 2700 | Girls | Local | 2008 | Overall | Mohammadi Azni, 2014* |
Azadshahr | Golestan | ‒ | 264 | ‒ | ‒ | 9 | ‒ | ‒ | 3.4 | ‒ | ‒ | 1510 | Girls | Local | 2012–2013 | Overall | Motevalli Haghi et al., 2014a* |
Sari | Mazandaran | ‒ | ‒ | 705 | ‒ | ‒ | 12 | ‒ | ‒ | 1.7 | ‒ | 4712 | Both | Local | 2012–2013 | Randomly | Motevalli Haghi et al., 2014b* |
Abadan | Khuzestan | ‒ | ‒ | 104 | ‒ | ‒ | 3 | ‒ | ‒ | 2.9 | 26 | 104 | Both | Local | 2012 | Randomly | Salehi et al., 2014* |
Bayengan | Kermanshah | ‒ | ‒ | 75 | ‒ | ‒ | 7 | ‒ | ‒ | 9.3 | 4 | 384 | Both | Local | ‒ | Randomly | Sayyadi et al., 2014* |
Bonab | East Azerbaijan | ‒ | 612 | ‒ | ‒ | 17 | ‒ | ‒ | 2.8 | ‒ | ‒ | 3757 | Girls | Local | 2013–2014 | Overall | Kabiri et al., 2015* |
Savojbolagh | Alborz | ‒ | ‒ | 2744 | ‒ | ‒ | 50 | ‒ | ‒ | 1.8 | ‒ | 2744 | Both | Local | Sep–Dec 2013 | Overall | Bahrami et al., 2016* |
Galugah | Mazandaran | ‒ | ‒ | 49 | ‒ | ‒ | 1 | ‒ | ‒ | 2.0 | 16 | 300 | Both | Local | 2009–2010 | Randomly | Kassiri, Esteghali, 2016* |
Khorramshahr | Khuzestan | ‒ | ‒ | ‒ | ‒ | ‒ | ‒ | ‒ | ‒ | 0.7 | 10 | 750 | Both | Local | 2008–2009 | Randomly | Kassiri, Gatifi, 2016* |
Kalaleh | Golestan | ‒ | ‒ | 190 | ‒ | ‒ | 9 | ‒ | ‒ | 4.7 | 4 | 3757 | Girls | Local | Oct–Dec 2015 | Randomly | Maleky et al., 2016* |
Paveh | Kermanshah | ‒ | 87 | ‒ | ‒ | 14 | ‒ | ‒ | 16.1 | ‒ | 5 | 485 | Girls | Local | ‒ | Overall | Sayyad et al., 2016* |
Sirik | Hormozgan | ‒ | 63 | ‒ | ‒ | ‒ | ‒ | ‒ | 32.0 | ‒ | ‒ | 358 | Girls | Local | Nov 2015– Feb 2016 | Randomly | Sanei-Dehkordi et al., 2017* |
Bashagard | Hormozgan | ‒ | 52 | ‒ | ‒ | ‒ | ‒ | ‒ | 57.7 | ‒ | ‒ | 300 | Girls | Local | ‒ | Randomly | Soleimani-Ahmadi et al., 2017* |
Meshginshahr | Ardabil | 390 | 40 | 2.1 | 20 | 1950 | Both | Local | 2015–2016 | Randomly | Abbasgholizadeh et al., 2018* | ||||||
Meshginshahr | Ardabil | ‒ | ‒ | 320 | ‒ | ‒ | 40 | ‒ | ‒ | 12.5 | 20 | 1950 | Both | Local | Oct 2015–Jun 2016 | Randomly | Moradiasl et al., 2018* |
Meybod | Yazd | ‒ | 77 | ‒ | ‒ | 15 | ‒ | ‒ | 19.5 | ‒ | 4 | 402 | Girls | Local | 2015-2016 | Randomly | Morovati Sharif Abadi et al., 2018* |
Andimeshk, Dezful and Shush | Khuzestan | ‒ | ‒ | 6143 | ‒ | ‒ | 798 | ‒ | ‒ | 13.0 | 280 | 28410 | Both | Local | Feb-Jun 2016 | Randomly | Nejati et al., 2018* |
Qom | Qom | ‒ | 347 | ‒ | ‒ | 36 | ‒ | ‒ | 10.4 | ‒ | 75 | 1725 | Girls | Local | Mar 2015-Mar 2017 | Randomly | Saghafipour et al., 2018* |
Sabzevar | Razavi Khorasan | ‒ | ‒ | 222 | ‒ | ‒ | 33 | ‒ | ‒ | 14.9 | ‒ | 1200 | Both | Local | 2015-2016 | Randomly | Tarkhasi et al., 2018* |
Badrud | Isfahan | ‒ | ‒ | 240 | ‒ | ‒ | 24 | ‒ | ‒ | 1.5 | ‒ | 1595 | Both | Local | 2017–2018 | Overall | Dehghani et al., 2019* |
Tonekabon | Mazandaran | ‒ | 233 | ‒ | ‒ | 32 | ‒ | ‒ | 13.7 | ‒ | ‒ | 1466 | Girls | Local | 2017–2018 | Randomly | Heidarpour et al., 2019* |
Mashhad | Razavi Khorasan | ‒ | 512 | ‒ | ‒ | 53 | ‒ | ‒ | 10.4 | ‒ | ‒ | 3062 | Girls | Local | 2017–2018 | Randomly | Mohammadi et al., 2019* |
Karun | Khuzestan | ‒ | ‒ | 123 | ‒ | ‒ | 47 | ‒ | ‒ | 38.2 | ‒ | 751 | Both | Local | 2017 | Randomly | Kassiri et al., 2020b* |
Semnan | Semnan | ‒ | ‒ | 243 | ‒ | ‒ | 8 | ‒ | ‒ | 3.3 | 8 | 767 | Both | Local | Mar 2018–May 2018 | Randomly | Shirzadi et al., 2020* |
Khorramabad | Lorestan | ‒ | ‒ | 159 | ‒ | ‒ | 23 | ‒ | ‒ | 14.5 | ‒ | 3890 | Both | Local | 2018–2019 | Randomly | Galehdar et al., 2021 |
Ahvaz | Khuzestan | ‒ | ‒ | 992 | ‒ | ‒ | 290 | ‒ | ‒ | 29.2 | ‒ | 5930 | Both | Local | Jan 2016–Jun 2017 | Randomly | Kassiri, Mehraghaei, 2021* |
Tabriz | East Azerbaijan | ‒ | ‒ | 1521 | ‒ | ‒ | 64 | ‒ | ‒ | 4.2 | 33 | 3032 | Both | Local | Jan–Mar 2018 | Randomly | Norouzi et al., 2021* |
Gilan-e Gharb | Kermanshah | ‒ | ‒ | 409 | ‒ | ‒ | 13 | ‒ | ‒ | 3.2 | ‒ | 2515 | Both | Local | 2018 | Overall | Zahirnia et al., 2021* |
Paveh | Kermanshah | ‒ | ‒ | 65 | ‒ | ‒ | 3 | ‒ | ‒ | 4.6 | 11 | 361 | Both | Local | Oct–Dec 2018 | Overall | Bekri, Shaghaghi, 2022 |
Gahavand | Hamadan | ‒ | 78 | ‒ | ‒ | 13 | ‒ | ‒ | 16.7 | ‒ | ‒ | 499 | Girls | Local | 2020 | Overall | Hajiloie et al., 2022* |
Marivan | Kurdistan | ‒ | ‒ | 44 | ‒ | ‒ | 15 | ‒ | ‒ | 34.1 | ‒ | 457 | Both | Local | 2018–2019 | Randomly | Rad et al., 2022 |
Varzaqan | East Azerbaijan | ‒ | ‒ | 61 | ‒ | ‒ | 7 | ‒ | ‒ | 11.5 | 26 | 400 | Both | Local | Dec 2019–Jan 2020 | Randomly | Sepehri, Jafari, 2022 |
9 years | |||||||||||||||||
Yasuj | Kohgiluyeh and Boyer-Ahmad | 1207 | 1067 | 2274 | 17 | 259 | 276 | 1.4 | 24.3 | 12.1 | 64 | 2567 | Both | Local | Nov–Dec 1999 | Overall | Shahraki et al., 2001* |
Iranshahr | Sistan and Baluchestan | ‒ | 169 | ‒ | ‒ | 40 | ‒ | ‒ | 23.7 | ‒ | 12 | 918 | Girls | Local | Nov 2002–May 2003 | Randomly | Alempour Salemi et al., 2003* |
Qom | Qom | ‒ | 308 | ‒ | ‒ | ‒ | ‒ | ‒ | 3.3 | ‒ | ‒ | 1650 | Girls | Local | ‒ | Randomly | Farzinnia et al., 2004* |
Sanandaj | Kurdistan | ‒ | ‒ | 198 | ‒ | ‒ | 65 | ‒ | ‒ | 32.8 | 18 | 1195 | Girls | Local | ‒ | Randomly | Davari, Yaghmaei, 2005* |
Kerman | Kerman | ‒ | ‒ | 213 | ‒ | ‒ | 14 | ‒ | ‒ | 6.6 | 50 | 1200 | Both | Local | Apr–Jun 2003 | Randomly | Kamiabi, Nakhaei, 2005* |
Hamadan | Hamadan | ‒ | ‒ | 90 | ‒ | ‒ | 15 | ‒ | ‒ | 16.7 | 12 | 847 | Both | Local | ‒ | Overall | Nazari et al., 2006* |
Amlash | Gilan | ‒ | ‒ | 833 | ‒ | ‒ | 79 | ‒ | ‒ | 9.5 | 95 | 4244 | Both | Local | 2003–2004 | Overall | Rafinejad et al., 2006* |
Zabol | Sistan and Baluchestan | ‒ | 212 | ‒ | ‒ | 55 | ‒ | ‒ | 25.9 | ‒ | 32 | ‒ | Girls | Local | 2003 | Randomly | Zareban et al., 2006* |
Qeshm | Hormozgan | ‒ | ‒ | ‒ | ‒ | ‒ | ‒ | ‒ | ‒ | 19.0 | ‒ | ‒ | Both | Local | ‒ | Randomly | Soleimani-Ahmadi, 2007* |
Sanandaj | Kurdistan | ‒ | 99 | ‒ | ‒ | 7 | ‒ | ‒ | 7.1 | ‒ | ‒ | 600 | Girls | Local | 2005 | Randomly | Yaghmaei et al., 2007* |
Kerman | Kerman | ‒ | ‒ | 9904 | ‒ | ‒ | 80 | ‒ | ‒ | 0.81 | 198 | 40586 | Both | Local | Mar–Jun 2006 | Overall | Motovali-Emami et al., 2008* |
Bahar | Hamadan | ‒ | ‒ | 180 | ‒ | ‒ | 2 | ‒ | ‒ | 1.1 | 18 | 900 | Both | Local | Feb–Jun 2008 | Randomly | Moradi et al., 2009* |
Khajeh | East Azerbaijan | ‒ | ‒ | 105 | ‒ | ‒ | 3 | ‒ | ‒ | 2.9 | 20 | 500 | Both | Local | 2008–2009 | Randomly | Shayeghi et al., 2010* |
Urmia | West Azerbaijan | ‒ | ‒ | 368 | ‒ | ‒ | 8 | ‒ | ‒ | 2.2 | 35 | 2040 | Both | Local | Oct–Dec 2010 | Randomly | Hazrati Tappeh et al., 2012* |
Qom | Qom | ‒ | ‒ | ‒ | ‒ | ‒ | ‒ | ‒ | 18.3 | ‒ | ‒ | ‒ | ‒ | Local | 2010 | Randomly | Saghafipour et al., 2012* |
Sanandaj | Kurdistan | ‒ | 187 | ‒ | ‒ | 5 | ‒ | ‒ | 2.7 | ‒ | 27 | 810 | Girls | Local | ‒ | Randomly | Vahabi et al., 2012* |
Robat Karim | Tehran | ‒ | 10000 | ‒ | ‒ | 22 | ‒ | ‒ | 22.5 | ‒ | ‒ | 10000 | Girls | Local | 2008–2009 | Randomly | Afshari et al., 2013* |
Qom | Qom | ‒ | ‒ | ‒ | ‒ | 22 | ‒ | ‒ | 12.2 | ‒ | 45 | 900 | Girls | Local | 2011 | Overall | Noroozi et al., 2013* |
Aran va Bidgol | Isfahan | ‒ | ‒ | 710 | ‒ | ‒ | 6 | ‒ | ‒ | 0.85 | 19 | 3589 | Both | Local | Oct–Dec 2008 | Randomly | Doroodgar et al., 2014a* |
Kashan | Isfahan | ‒ | ‒ | 517 | ‒ | ‒ | 2 | ‒ | ‒ | 0.4 | 23 | 624 | Both | Local | Nov 2012–May 2013 | Randomly | Doroodgar et al., 2014b* |
Damghan | Semnan | ‒ | ‒ | ‒ | ‒ | 19 | ‒ | ‒ | 19.6 | ‒ | ‒ | 2700 | Girls | Local | 2008 | Overall | Mohammadi Azni, 2014* |
Azadshahr | Golestan | ‒ | 239 | ‒ | ‒ | 13 | ‒ | ‒ | 5.4 | ‒ | ‒ | 1510 | Girls | Local | 2012–2013 | Overall | Motevalli Haghi et al., 2014a* |
Sari | Mazandaran | ‒ | ‒ | 702 | ‒ | ‒ | 11 | ‒ | ‒ | 1.6 | ‒ | 4712 | Both | Local | 2012–2013 | Randomly | Motevalli Haghi et al., 2014b* |
Abadan | Khuzestan | ‒ | ‒ | 104 | ‒ | ‒ | 3 | ‒ | ‒ | 2.9 | 26 | 104 | Both | Local | 2012 | Randomly | Salehi et al., 2014* |
Bayengan | Kermanshah | ‒ | ‒ | 90 | ‒ | ‒ | 13 | ‒ | ‒ | 14.4 | 4 | 384 | Both | Local | ‒ | Randomly | Sayyadi et al., 2014* |
Bonab | East Azerbaijan | ‒ | 621 | ‒ | ‒ | 24 | ‒ | ‒ | 3.9 | ‒ | ‒ | 3757 | Girls | Local | 2013–2014 | Overall | Kabiri et al., 2015* |
Savojbolagh | Alborz | ‒ | ‒ | 2701 | ‒ | ‒ | 52 | ‒ | ‒ | 1.9 | ‒ | 2744 | Both | Local | Sep–Dec 2013 | Overall | Bahrami et al., 2016* |
Galugah | Mazandaran | ‒ | ‒ | 63 | ‒ | ‒ | 5 | ‒ | ‒ | 7.9 | 16 | 300 | Both | Local | 2009–2010 | Randomly | Kassiri, Esteghali, 2016* |
Khorramshahr | Khuzestan | ‒ | ‒ | ‒ | ‒ | ‒ | ‒ | ‒ | ‒ | 3.4 | 10 | 750 | Both | Local | 2008–2009 | Randomly | Kassiri, Gatifi, 2016* |
Kalaleh | Golestan | ‒ | ‒ | 184 | ‒ | ‒ | 11 | ‒ | ‒ | 6.0 | 4 | 3757 | Girls | Local | Oct–Dec 2015 | Randomly | Maleky et al., 2016* |
Paveh | Kermanshah | ‒ | 92 | ‒ | ‒ | 18 | ‒ | ‒ | 19.6 | ‒ | 5 | 485 | Girls | Local | ‒ | Overall | Sayyad et al., 2016* |
Sirik | Hormozgan | ‒ | 59 | ‒ | ‒ | ‒ | ‒ | ‒ | 31.0 | ‒ | ‒ | 358 | Girls | Local | Nov 2015– Feb 2016 | Randomly | Sanei-Dehkordi et al., 2017* |
Bashagard | Hormozgan | ‒ | 43 | ‒ | ‒ | ‒ | ‒ | ‒ | 81.4 | ‒ | ‒ | 300 | Girls | Local | ‒ | Randomly | Soleimani-Ahmadi et al., 2017* |
Meshginshahr | Ardabil | ‒ | ‒ | 390 | 40 | 2.1 | 20 | 1950 | Both | Local | 2015–2016 | Randomly | Abbasgholizadeh et al., 2018* | ||||
Meshginshahr | Ardabil | ‒ | ‒ | 320 | ‒ | ‒ | 40 | ‒ | ‒ | 12.5 | 20 | 1950 | Both | Local | Oct 2015–Jun 2016 | Randomly | Moradiasl et al., 2018* |
Meybod | Yazd | ‒ | 82 | ‒ | ‒ | 11 | ‒ | ‒ | 13.4 | ‒ | 4 | 402 | Girls | Local | 2015-2016 | Randomly | Morovati Sharif Abadi et al., 2018* |
Andimeshk, Dezful and Shush | Khuzestan | ‒ | ‒ | 7011 | ‒ | ‒ | 526 | ‒ | ‒ | 7.5 | 280 | 28410 | Both | Local | Feb-Jun 2016 | Randomly | Nejati et al., 2018* |
Qom | Qom | ‒ | 343 | ‒ | ‒ | 42 | ‒ | ‒ | 12.2 | ‒ | 75 | 1725 | Girls | Local | Mar 2015-Mar 2017 | Randomly | Saghafipour et al., 2018* |
Sabzevar | Razavi Khorasan | ‒ | ‒ | 189 | ‒ | ‒ | 28 | ‒ | ‒ | 14.8 | ‒ | 1200 | Both | Local | 2015-2016 | Randomly | Tarkhasi et al., 2018* |
Badrud | Isfahan | ‒ | ‒ | 246 | ‒ | ‒ | 19 | ‒ | ‒ | 1.2 | ‒ | 1595 | Both | Local | 2017–2018 | Overall | Dehghani et al., 2019* |
Tonekabon | Mazandaran | ‒ | 265 | ‒ | ‒ | 48 | ‒ | ‒ | 18.1 | ‒ | ‒ | 1466 | Girls | Local | 2017–2018 | Randomly | Heidarpour et al., 2019* |
Mashhad | Razavi Khorasan | ‒ | 526 | ‒ | ‒ | 84 | ‒ | ‒ | 16.0 | ‒ | ‒ | 3062 | Girls | Local | 2017–2018 | Randomly | Mohammadi et al., 2019* |
Karun | Khuzestan | ‒ | ‒ | 123 | ‒ | ‒ | 30 | ‒ | ‒ | 24.4 | ‒ | 751 | Both | Local | 2017 | Randomly | Kassiri et al., 2020b* |
Semnan | Semnan | ‒ | ‒ | 259 | ‒ | ‒ | 17 | ‒ | ‒ | 6.6 | 8 | 767 | Both | Local | Mar 2018–May 2018 | Randomly | Shirzadi et al., 2020* |
Khorramabad | Lorestan | ‒ | ‒ | 332 | ‒ | ‒ | 35 | ‒ | ‒ | 10.5 | ‒ | 3890 | Both | Local | 2018–2019 | Randomly | Galehdar et al., 2021 |
Ahvaz | Khuzestan | ‒ | ‒ | 992 | ‒ | ‒ | 244 | ‒ | ‒ | 24.6 | ‒ | 5930 | Both | Local | Jan 2016–Jun 2017 | Randomly | Kassiri, Mehraghaei, 2021* |
Tabriz | East Azerbaijan | ‒ | ‒ | 1521 | ‒ | ‒ | 64 | ‒ | ‒ | 4.2 | 33 | 3032 | Both | Local | Jan–Mar 2018 | Randomly | Norouzi et al., 2021* |
Gilan-e Gharb | Kermanshah | ‒ | ‒ | 459 | ‒ | ‒ | 10 | ‒ | ‒ | 2.2 | ‒ | 2515 | Both | Local | 2018 | Overall | Zahirnia et al., 2021* |
Paveh | Kermanshah | ‒ | ‒ | 66 | ‒ | ‒ | 7 | ‒ | ‒ | 10.6 | 11 | 361 | Both | Local | Oct–Dec 2018 | Overall | Bekri, Shaghaghi, 2022 |
Gahavand | Hamadan | ‒ | 91 | ‒ | ‒ | 17 | ‒ | ‒ | 18.7 | ‒ | ‒ | 499 | Girls | Local | 2020 | Overall | Hajiloie et al., 2022* |
Marivan | Kurdistan | ‒ | ‒ | 111 | ‒ | ‒ | 22 | ‒ | ‒ | 19.8 | ‒ | 457 | Both | Local | 2018–2019 | Randomly | Rad et al., 2022 |
Varzaqan | East Azerbaijan | ‒ | ‒ | 66 | ‒ | ‒ | 6 | ‒ | ‒ | 9.1 | 26 | 400 | Both | Local | Dec 2019–Jan 2020 | Randomly | Sepehri, Jafari, 2022 |
10 years | |||||||||||||||||
Yasuj | Kohgiluyeh and Boyer-Ahmad | 1384 | 1296 | 2680 | 20 | 306 | 326 | 1.4 | 23.6 | 12.2 | 64 | 2567 | Both | Local | Nov–Dec 1999 | Overall | Shahraki et al., 2001* |
Iranshahr | Sistan and Baluchestan | ‒ | 184 | ‒ | ‒ | 56 | ‒ | ‒ | 30.4 | ‒ | 12 | 918 | Girls | Local | Nov 2002–May 2003 | Randomly | Alempour Salemi et al., 2003* |
Qom | Qom | ‒ | 351 | ‒ | ‒ | ‒ | ‒ | ‒ | 7.4 | ‒ | ‒ | 1650 | Girls | Local | ‒ | Randomly | Farzinnia et al., 2004* |
Sanandaj | Kurdistan | ‒ | ‒ | 263 | ‒ | ‒ | 42 | ‒ | ‒ | 15.9 | 18 | 1195 | Girls | Local | ‒ | Randomly | Davari, Yaghmaei, 2005* |
Kerman | Kerman | ‒ | ‒ | 224 | ‒ | ‒ | 2 | ‒ | ‒ | 0.89 | 50 | 1200 | Both | Local | Apr–Jun 2003 | Randomly | Kamiabi, Nakhaei, 2005* |
Hamadan | Hamadan | ‒ | ‒ | 89 | ‒ | ‒ | 14 | ‒ | ‒ | 15.7 | 12 | Local | ‒ | Overall | Nazari et al., 2006* | ||
Amlash | Gilan | ‒ | ‒ | 932 | ‒ | ‒ | 83 | ‒ | ‒ | 8.9 | 95 | 4244 | Both | Local | 2003–2004 | Overall | Rafinejad et al., 2006* |
Zabol | Sistan and Baluchestan | ‒ | 209 | ‒ | ‒ | 75 | ‒ | ‒ | 35.9 | ‒ | 32 | ‒ | Girls | Local | 2003 | Randomly | Zareban et al., 2006* |
Qeshm | Hormozgan | ‒ | ‒ | ‒ | ‒ | ‒ | ‒ | ‒ | ‒ | 24.8 | ‒ | ‒ | Both | Local | ‒ | Randomly | Soleimani-Ahmadi, 2007* |
Sanandaj | Kurdistan | ‒ | 104 | ‒ | ‒ | 8 | ‒ | ‒ | 7.7 | ‒ | ‒ | 600 | Girls | Local | 2005 | Randomly | Yaghmaei et al., 2007* |
Kerman | Kerman | ‒ | ‒ | 8972 | ‒ | ‒ | 45 | ‒ | ‒ | 0.5 | 198 | 40586 | Both | Local | Mar–Jun 2006 | Overall | Motovali-Emami et al., 2008* |
Bahar | Hamadan | ‒ | ‒ | 180 | ‒ | ‒ | 4 | ‒ | ‒ | 2.2 | 18 | 900 | Both | Local | Feb–Jun 2008 | Randomly | Moradi et al., 2009* |
Khajeh | East Azerbaijan | ‒ | ‒ | 87 | ‒ | ‒ | 2 | ‒ | ‒ | 2.3 | 20 | 500 | Both | Local | 2008–2009 | Randomly | Shayeghi et al., 2010* |
Urmia | West Azerbaijan | ‒ | ‒ | 414 | ‒ | ‒ | 15 | ‒ | ‒ | 3.6 | 35 | 2040 | Both | Local | Oct–Dec 2010 | Randomly | Hazrati Tappeh et al., 2012* |
Qom | Qom | ‒ | ‒ | ‒ | ‒ | ‒ | ‒ | ‒ | 16.8 | ‒ | ‒ | ‒ | ‒ | Local | 2010 | Randomly | Saghafipour et al., 2012* |
Sanandaj | Kurdistan | ‒ | 144 | ‒ | ‒ | 11 | ‒ | ‒ | 7.6 | ‒ | 27 | 810 | Girls | Local | ‒ | Randomly | Vahabi et al., 2012* |
Robat Karim | Tehran | ‒ | 10000 | ‒ | ‒ | 21 | ‒ | ‒ | 21.4 | ‒ | ‒ | 10000 | Girls | Local | 2008–2009 | Randomly | Afshari et al., 2013* |
Qom | Qom | ‒ | ‒ | ‒ | ‒ | 20 | ‒ | ‒ | 11.1 | ‒ | 45 | 900 | Girls | Local | 2011 | Overall | Noroozi et al., 2013* |
Ravansar | Kermanshah | ‒ | 78 | ‒ | ‒ | 14 | ‒ | ‒ | 17.9 | ‒ | 6 | 385 | Girls | Local | ‒ | Overall | Sayyadi et al., 2013 |
Paveh | Kermanshah | ‒ | 188 | ‒ | ‒ | 11 | ‒ | ‒ | 5.9 | ‒ | 25 | 750 | Girls | Local | 2009–2010 | Randomly | Vahabi et al., 2013* |
Aran va Bidgol | Isfahan | ‒ | ‒ | 735 | ‒ | ‒ | 3 | ‒ | ‒ | 0.41 | 19 | 3589 | Both | Local | Oct–Dec 2008 | Randomly | Doroodgar et al., 2014a* |
Kashan | Isfahan | ‒ | ‒ | 318 | ‒ | ‒ | 1 | ‒ | ‒ | 0.6 | 23 | 624 | Both | Local | Nov 2012–May 2013 | Randomly | Doroodgar et al., 2014b* |
Damghan | Semnan | ‒ | ‒ | ‒ | ‒ | 22 | ‒ | ‒ | 22.7 | ‒ | ‒ | 2700 | Girls | Local | 2008 | Overall | Mohammadi Azni, 2014* |
Azadshahr | Golestan | ‒ | 245 | ‒ | ‒ | 10 | ‒ | ‒ | 4.1 | ‒ | ‒ | 1510 | Girls | Local | 2012–2013 | Overall | Motevalli Haghi et al., 2014a* |
Sari | Mazandaran | ‒ | ‒ | 835 | ‒ | ‒ | 12 | ‒ | ‒ | 1.4 | ‒ | 4712 | Both | Local | 2012–2013 | Randomly | Motevalli Haghi et al., 2014b* |
Abadan | Khuzestan | ‒ | ‒ | 104 | ‒ | ‒ | 5 | ‒ | ‒ | 4.8 | 26 | 104 | Both | Local | 2012 | Randomly | Salehi et al., 2014* |
Bayengan | Kermanshah | ‒ | ‒ | 150 | ‒ | ‒ | 13 | ‒ | ‒ | 8.7 | 4 | 384 | Both | Local | ‒ | Randomly | Sayyadi et al., 2014* |
Bonab | East Azerbaijan | ‒ | 636 | ‒ | ‒ | 15 | ‒ | ‒ | 2.4 | ‒ | ‒ | 3757 | Girls | Local | 2013–2014 | Overall | Kabiri et al., 2015* |
Savojbolagh | Alborz | ‒ | ‒ | 2477 | ‒ | ‒ | 48 | ‒ | ‒ | 1.9 | ‒ | 2744 | Both | Local | Sep–Dec 2013 | Overall | Bahrami et al., 2016* |
Galugah | Mazandaran | ‒ | ‒ | 67 | ‒ | ‒ | 4 | ‒ | ‒ | 6.0 | 16 | 300 | Both | Local | 2009–2010 | Randomly | Kassiri, Esteghali, 2016* |
Khorramshahr | Khuzestan | ‒ | ‒ | ‒ | ‒ | ‒ | ‒ | ‒ | ‒ | 1.8 | 10 | 750 | Both | Local | 2008–2009 | Randomly | Kassiri, Gatifi, 2016* |
Kalaleh | Golestan | ‒ | ‒ | 184 | ‒ | ‒ | 11 | ‒ | ‒ | 6.0 | 4 | 3757 | Girls | Local | Oct–Dec 2015 | Randomly | Maleky et al., 2016* |
Paveh | Kermanshah | ‒ | 100 | ‒ | ‒ | 20 | ‒ | ‒ | 20.0 | ‒ | 5 | 485 | Girls | Local | ‒ | Overall | Sayyad et al., 2016* |
Sirik | Hormozgan | ‒ | 67 | ‒ | ‒ | ‒ | ‒ | ‒ | 26.0 | ‒ | ‒ | 358 | Girls | Local | Nov 2015– Feb 2016 | Randomly | Sanei-Dehkordi et al., 2017* |
Bashagard | Hormozgan | ‒ | 51 | ‒ | ‒ | ‒ | ‒ | ‒ | 76.4 | ‒ | ‒ | 300 | Girls | Local | ‒ | Randomly | Soleimani-Ahmadi et al., 2017* |
Meshginshahr | Ardabil | ‒ | ‒ | 273 | ‒ | ‒ | 28 | ‒ | ‒ | 1.4 | 20 | 1950 | Both | Local | 2015–2016 | Randomly | Abbasgholizadeh et al., 2018* |
Meshginshahr | Ardabil | ‒ | ‒ | 318 | ‒ | ‒ | 28 | ‒ | ‒ | 8.8 | 20 | 1950 | Both | Local | Oct 2015–Jun 2016 | Randomly | Moradiasl et al., 2018* |
Meybod | Yazd | ‒ | 59 | ‒ | ‒ | 5 | ‒ | ‒ | 8.5 | ‒ | 4 | 402 | Girls | Local | 2015–2016 | Randomly | Morovati Sharif Abadi et al., 2018* |
Andimeshk, Dezful and Shush | Khuzestan | ‒ | ‒ | 5460 | ‒ | ‒ | 499 | ‒ | ‒ | 9.1 | 280 | 28410 | Both | Local | Feb–Jun 2016 | Randomly | Nejati et al., 2018* |
Qom | Qom | ‒ | 344 | ‒ | ‒ | 38 | ‒ | ‒ | 11.0 | ‒ | 75 | 1725 | Girls | Local | Mar 2015–Mar 2017 | Randomly | Saghafipour et al., 2018* |
Sabzevar | Razavi Khorasan | ‒ | ‒ | 204 | ‒ | ‒ | 18 | ‒ | ‒ | 8.8 | ‒ | 1200 | Both | Local | 2015–2016 | Randomly | Tarkhasi et al., 2018* |
Badrud | Isfahan | ‒ | ‒ | 250 | ‒ | ‒ | 28 | ‒ | ‒ | 1.8 | ‒ | 1595 | Both | Local | 2017–2018 | Overall | Dehghani et al., 2019* |
Tonekabon | Mazandaran | ‒ | 231 | ‒ | ‒ | 51 | ‒ | ‒ | 22.1 | ‒ | ‒ | 1466 | Girls | Local | 2017–2018 | Randomly | Heidarpour et al., 2019* |
Mashhad | Razavi Khorasan | ‒ | 526 | ‒ | ‒ | 74 | ‒ | ‒ | 14.1 | ‒ | ‒ | 3062 | Girls | Local | 2017–2018 | Randomly | Mohammadi et al., 2019* |
Karun | Khuzestan | ‒ | ‒ | 123 | ‒ | ‒ | 37 | ‒ | ‒ | 30.1 | ‒ | 751 | Both | Local | 2017 | Randomly | Kassiri et al., 2020b* |
Birjand | South Khorasan | ‒ | 417 | ‒ | ‒ | 62 | ‒ | ‒ | 14.9 | ‒ | 19 | 2417 | Girls | Local | 2017 | Randomly | Lashkari et al., 2020* |
Semnan | Semnan | ‒ | ‒ | 259 | ‒ | ‒ | 17 | ‒ | ‒ | 6.6 | 8 | 767 | Both | Local | Mar 2018–May 2018 | Randomly | Shirzadi et al., 2020* |
Khorramabad | Lorestan | ‒ | ‒ | 989 | ‒ | ‒ | 23 | ‒ | ‒ | 2.3 | ‒ | 3890 | Both | Local | 2018–2019 | Randomly | Galehdar et al., 2021 |
Ahvaz | Khuzestan | ‒ | ‒ | 979 | ‒ | ‒ | 296 | ‒ | ‒ | 30.2 | ‒ | 5930 | Both | Local | Jan 2016–Jun 2017 | Randomly | Kassiri, Mehraghaei, 2021* |
Tabriz | East Azerbaijan | ‒ | ‒ | 883 | ‒ | ‒ | 28 | ‒ | ‒ | 3.2 | 33 | 3032 | Both | Local | Jan–Mar 2018 | Randomly | Norouzi et al., 2021* |
Gilan-e Gharb | Kermanshah | ‒ | ‒ | 390 | ‒ | ‒ | 7 | ‒ | ‒ | 1.8 | ‒ | 2515 | Both | Local | 2018 | Overall | Zahirnia et al., 2021* |
Paveh | Kermanshah | ‒ | ‒ | 64 | ‒ | ‒ | 9 | ‒ | ‒ | 14.1 | 11 | 361 | Both | Local | Oct–Dec 2018 | Overall | Bekri, Shaghaghi, 2022 |
Gahavand | Hamadan | ‒ | 87 | ‒ | ‒ | 15 | ‒ | ‒ | 17.2 | ‒ | ‒ | 499 | Girls | Local | 2020 | Overall | Hajiloie et al., 2022* |
Marivan | Kurdistan | ‒ | ‒ | 127 | ‒ | ‒ | 32 | ‒ | ‒ | 25.2 | ‒ | 457 | Both | Local | 2018–2019 | Randomly | Rad et al., 2022 |
Varzaqan | East Azerbaijan | ‒ | ‒ | 93 | ‒ | ‒ | 11 | ‒ | ‒ | 11.8 | 26 | 400 | Both | Local | Dec 2019–Jan 2020 | Randomly | Sepehri, Jafari, 2022 |
11 years | |||||||||||||||||
Yasuj | Kohgiluyeh and Boyer-Ahmad | 1380 | 1187 | 2567 | 12 | 313 | 325 | 0.87 | 26.4 | 12.7 | 64 | 2567 | Both | Local | Nov–Dec 1999 | Overall | Shahraki et al., 2001* |
Iranshahr | Sistan and Baluchestan | ‒ | 131 | ‒ | ‒ | 33 | ‒ | ‒ | 25.2 | ‒ | 12 | 918 | Girls | Local | Nov 2002–May 2003 | Randomly | Alempour Salemi et al., 2003* |
Qom | Qom | ‒ | 381 | ‒ | ‒ | ‒ | ‒ | ‒ | 4.9 | ‒ | ‒ | 1650 | Girls | Local | ‒ | Randomly | Farzinnia et al., 2004* |
Sanandaj | Kurdistan | ‒ | ‒ | 262 | ‒ | ‒ | 30 | ‒ | ‒ | 11.5 | 18 | 1195 | Girls | Local | ‒ | Randomly | Davari, Yaghmaei, 2005* |
Kerman | Kerman | ‒ | ‒ | 259 | ‒ | ‒ | 13 | ‒ | ‒ | 5.0 | 50 | 1200 | Both | Local | Apr–Jun 2003 | Randomly | Kamiabi, Nakhaei, 2005* |
Hamadan | Hamadan | ‒ | ‒ | 97 | ‒ | ‒ | 7 | ‒ | ‒ | 7.2 | 12 | Local | ‒ | Overall | Nazari et al., 2006* | ||
Amlash | Gilan | ‒ | ‒ | 1003 | ‒ | ‒ | 85 | ‒ | ‒ | 8.5 | 95 | 4244 | Both | Local | 2003–2004 | Overall | Rafinejad et al., 2006* |
Zabol | Sistan and Baluchestan | ‒ | 201 | ‒ | ‒ | 88 | ‒ | ‒ | 43.8 | ‒ | 32 | ‒ | Girls | Local | 2003 | Randomly | Zareban et al., 2006* |
Qeshm | Hormozgan | ‒ | ‒ | ‒ | ‒ | ‒ | ‒ | ‒ | ‒ | 27.3 | ‒ | ‒ | Both | Local | ‒ | Randomly | Soleimani-Ahmadi, 2007* |
Sanandaj | Kurdistan | ‒ | 103 | ‒ | ‒ | 15 | ‒ | ‒ | 14.6 | ‒ | ‒ | 600 | Girls | Local | 2005 | Randomly | Yaghmaei et al., 2007* |
Kerman | Kerman | ‒ | ‒ | 282 | ‒ | ‒ | 1 | ‒ | ‒ | 0.35 | 198 | 40586 | Both | Local | Mar–Jun 2006 | Overall | Motovali-Emami et al., 2008* |
Bahar | Hamadan | ‒ | ‒ | 180 | ‒ | ‒ | 1 | ‒ | ‒ | 0.56 | 18 | 900 | Both | Local | Feb–Jun 2008 | Randomly | Moradi et al., 2009* |
Khajeh | East Azerbaijan | ‒ | ‒ | 99 | ‒ | ‒ | 1 | ‒ | ‒ | 1.0 | 20 | 500 | Both | Local | 2008–2009 | Randomly | Shayeghi et al., 2010* |
Urmia | West Azerbaijan | ‒ | ‒ | 376 | ‒ | ‒ | 13 | ‒ | ‒ | 3.5 | 35 | 2040 | Both | Local | Oct–Dec 2010 | Randomly | Hazrati Tappeh et al., 2012* |
Qom | Qom | ‒ | ‒ | ‒ | ‒ | ‒ | ‒ | ‒ | 26.0 | ‒ | ‒ | ‒ | ‒ | Local | 2010 | Randomly | Saghafipour et al., 2012* |
Sanandaj | Kurdistan | ‒ | 201 | ‒ | ‒ | 10 | ‒ | ‒ | 5.0 | ‒ | 27 | 810 | Girls | Local | ‒ | Randomly | Vahabi et al., 2012* |
Robat Karim | Tehran | ‒ | 10000 | ‒ | ‒ | 12 | ‒ | ‒ | 12.2 | ‒ | ‒ | 10000 | Girls | Local | 2008–2009 | Randomly | Afshari et al., 2013* |
Qom | Qom | ‒ | ‒ | ‒ | ‒ | 32 | ‒ | ‒ | 17.7 | ‒ | 45 | 900 | Girls | Local | 2011 | Overall | Noroozi et al., 2013* |
Ravansar | Kermanshah | ‒ | 92 | ‒ | ‒ | 13 | ‒ | ‒ | 14.1 | ‒ | 6 | 385 | Girls | Local | ‒ | Overall | Sayyadi et al., 2013* |
Paveh | Kermanshah | ‒ | 144 | ‒ | ‒ | 14 | ‒ | ‒ | 9.7 | ‒ | 25 | 750 | Girls | Local | 2009–2010 | Randomly | Vahabi et al., 2013* |
Aran va Bidgol | Isfahan | ‒ | ‒ | 742 | ‒ | ‒ | 3 | ‒ | ‒ | 0.4 | 19 | 3589 | Both | Local | Oct–Dec 2008 | Randomly | Doroodgar et al., 2014a* |
Kashan | Isfahan | ‒ | ‒ | 486 | ‒ | ‒ | 5 | ‒ | ‒ | 1.0 | 23 | 624 | Both | Local | Nov 2012–May 2013 | Randomly | Doroodgar et al., 2014b* |
Damghan | Semnan | ‒ | ‒ | ‒ | ‒ | 30 | ‒ | ‒ | 30.9 | ‒ | ‒ | 2700 | Girls | Local | 2008 | Overall | Mohammadi Azni, 2014* |
Azadshahr | Golestan | ‒ | 229 | ‒ | ‒ | 3 | ‒ | ‒ | 1.3 | ‒ | ‒ | 1510 | Girls | Local | 2012–2013 | Overall | Motevalli Haghi et al., 2014a* |
Sari | Mazandaran | ‒ | ‒ | 890 | ‒ | ‒ | 19 | ‒ | ‒ | 2.1 | ‒ | 4712 | Both | Local | 2012–2013 | Randomly | Motevalli Haghi et al., 2014b* |
Abadan | Khuzestan | ‒ | ‒ | 104 | ‒ | ‒ | 7 | ‒ | ‒ | 6.7 | 26 | 104 | Both | Local | 2012 | Randomly | Salehi et al., 2014* |
Bayengan | Kermanshah | ‒ | ‒ | 65 | ‒ | ‒ | 16 | ‒ | ‒ | 24.6 | 4 | 384 | Both | Local | ‒ | Randomly | Sayyadi et al., 2014* |
Bonab | East Azerbaijan | ‒ | 641 | ‒ | ‒ | 20 | ‒ | ‒ | 3.1 | ‒ | ‒ | 3757 | Girls | Local | 2013–2014 | Overall | Kabiri et al., 2015* |
Savojbolagh | Alborz | ‒ | ‒ | 2098 | ‒ | ‒ | 41 | ‒ | ‒ | 2.0 | ‒ | 2744 | Both | Local | Sep–Dec 2013 | Overall | Bahrami et al., 2016* |
Galugah | Mazandaran | ‒ | ‒ | 68 | ‒ | ‒ | 3 | ‒ | ‒ | 4.4 | 16 | 300 | Both | Local | 2009–2010 | Randomly | Kassiri, Esteghali, 2016* |
Khorramshahr | Khuzestan | ‒ | ‒ | ‒ | ‒ | ‒ | ‒ | ‒ | ‒ | 0.7 | 10 | 750 | Both | Local | 2008–2009 | Randomly | Kassiri, Gatifi, 2016* |
Kalaleh | Golestan | ‒ | ‒ | 167 | ‒ | ‒ | 15 | ‒ | ‒ | 9.0 | 4 | 3757 | Girls | Local | Oct–Dec 2015 | Randomly | Maleky et al., 2016* |
Paveh | Kermanshah | ‒ | 105 | ‒ | ‒ | 22 | ‒ | ‒ | 21.0 | ‒ | 5 | 485 | Girls | Local | ‒ | Overall | Sayyad et al., 2016* |
Sirik | Hormozgan | ‒ | 55 | ‒ | ‒ | ‒ | ‒ | ‒ | 39.0 | ‒ | ‒ | 358 | Girls | Local | Nov 2015– Feb 2016 | Randomly | Sanei-Dehkordi et al., 2017* |
Bashagard | Hormozgan | ‒ | 57 | ‒ | ‒ | ‒ | ‒ | ‒ | 71.9 | ‒ | ‒ | 300 | Girls | Local | ‒ | Randomly | Soleimani-Ahmadi et al., 2017* |
Meshginshahr | Ardabil | 108 | 11 | 0.55 | 20 | 1950 | Both | Local | 2015–2016 | Randomly | Abbasgholizadeh et al., 2018* | ||||||
Meshginshahr | Ardabil | ‒ | ‒ | 321 | ‒ | ‒ | 13 | ‒ | ‒ | 4.0 | 20 | 1950 | Both | Local | Oct 2015–Jun 2016 | Randomly | Moradiasl et al., 2018* |
Meybod | Yazd | ‒ | 53 | ‒ | ‒ | 5 | ‒ | ‒ | 9.4 | ‒ | 4 | 402 | Girls | Local | 2015–2016 | Randomly | Morovati Sharif Abadi et al., 2018* |
Andimeshk, Dezful and Shush | Khuzestan | ‒ | ‒ | 5099 | ‒ | ‒ | 399 | ‒ | ‒ | 7.8 | 280 | 28410 | Both | Local | Feb–Jun 2016 | Randomly | Nejati et al., 2018* |
Qom | Qom | ‒ | 346 | ‒ | ‒ | 61 | ‒ | ‒ | 17.6 | ‒ | 75 | 1725 | Girls | Local | Mar 2015–Mar 2017 | Randomly | Saghafipour et al., 2018* |
Sabzevar | Razavi Khorasan | ‒ | ‒ | 188 | ‒ | ‒ | 21 | ‒ | ‒ | 11.2 | ‒ | 1200 | Both | Local | 2015–2016 | Randomly | Tarkhasi et al., 2018* |
Badrud | Isfahan | ‒ | ‒ | 246 | ‒ | ‒ | 14 | ‒ | ‒ | 0.87 | ‒ | 1595 | Both | Local | 2017–2018 | Overall | Dehghani et al., 2019* |
Tonekabon | Mazandaran | ‒ | 254 | ‒ | ‒ | 57 | ‒ | ‒ | 22.4 | ‒ | ‒ | 1466 | Girls | Local | 2017–2018 | Randomly | Heidarpour et al., 2019* |
Mashhad | Razavi Khorasan | ‒ | 443 | ‒ | ‒ | 47 | ‒ | ‒ | 10.6 | ‒ | ‒ | 3062 | Girls | Local | 2017–2018 | Randomly | Mohammadi et al., 2019 |
Karun | Khuzestan | ‒ | ‒ | 131 | ‒ | ‒ | 26 | ‒ | ‒ | 19.8 | ‒ | 751 | Both | Local | 2017 | Randomly | Kassiri et al., 2020b* |
Birjand | South Khorasan | ‒ | 1549 | ‒ | ‒ | 197 | ‒ | ‒ | 12.7 | ‒ | 19 | 2417 | Girls | Local | 2017 | Randomly | Lashkari et al., 2020* |
Khorramabad | Lorestan | ‒ | ‒ | 1127 | ‒ | ‒ | 24 | ‒ | ‒ | 2.1 | ‒ | 3890 | Both | Local | 2018–2019 | Randomly | Galehdar et al., 2021 |
Ahvaz | Khuzestan | ‒ | ‒ | 977 | ‒ | ‒ | 202 | ‒ | ‒ | 20.7 | ‒ | 5930 | Both | Local | Jan 2016–Jun 2017 | Randomly | Kassiri, Mehraghaei, 2021* |
Tabriz | East Azerbaijan | ‒ | ‒ | 883 | ‒ | ‒ | 28 | ‒ | ‒ | 3.2 | 33 | 3032 | Both | Local | Jan–Mar 2018 | Randomly | Norouzi et al., 2021* |
Gilan-e Gharb | Kermanshah | ‒ | ‒ | 337 | ‒ | ‒ | 5 | ‒ | ‒ | 1.5 | ‒ | 2515 | Both | Local | 2018 | Overall | Zahirnia et al., 2021* |
Paveh | Kermanshah | ‒ | ‒ | 65 | ‒ | ‒ | 4 | ‒ | ‒ | 6.2 | 11 | 361 | Both | Local | Oct–Dec 2018 | Overall | Bekri, Shaghaghi, 2022 |
Gahavand | Hamadan | ‒ | 94 | ‒ | ‒ | 16 | ‒ | ‒ | 17.0 | ‒ | ‒ | 499 | Girls | Local | 2020 | Overall | Hajiloie et al., 2022* |
Marivan | Kurdistan | ‒ | ‒ | 59 | ‒ | ‒ | 12 | ‒ | ‒ | 20.3 | ‒ | 457 | Both | Local | 2018–2019 | Randomly | Rad et al., 2022 |
Varzaqan | East Azerbaijan | ‒ | ‒ | 91 | ‒ | ‒ | 7 | ‒ | ‒ | 7.7 | 26 | 400 | Both | Local | Dec 2019–Jan 2020 | Randomly | Sepehri, Jafari, 2022 |
12 years | |||||||||||||||||
Iranshahr | Sistan and Baluchestan | ‒ | 61 | ‒ | ‒ | 27 | ‒ | ‒ | 44.3 | ‒ | 12 | 918 | Girls | Local | Nov 2002–May 2003 | Randomly | Alempour Salemi et al., 2003* |
Kerman | Kerman | ‒ | ‒ | 86 | ‒ | ‒ | 5 | ‒ | ‒ | 5.8 | 50 | 1200 | Both | Local | Apr–Jun 2003 | Randomly | Kamiabi, Nakhaei, 2005* |
Amlash | Gilan | ‒ | ‒ | 21 | ‒ | ‒ | 2 | ‒ | ‒ | 9.5 | 95 | 4244 | Both | Local | 2003–2004 | Overall | Rafinejad et al., 2006* |
Sanandaj | Kurdistan | ‒ | 66 | ‒ | ‒ | 11 | ‒ | ‒ | 16.7 | ‒ | ‒ | 600 | Girls | Local | 2005 | Randomly | Yaghmaei et al., 2007* |
Urmia | West Azerbaijan | ‒ | ‒ | 826 | ‒ | ‒ | 29 | ‒ | ‒ | 3.5 | 35 | 2040 | Both | Local | Oct–Dec 2010 | Randomly | Hazrati Tappeh et al., 2012* |
Robat Karim | Tehran | ‒ | 10000 | ‒ | ‒ | 1 | ‒ | ‒ | 1.0 | ‒ | ‒ | 10000 | Girls | Local | 2008–2009 | Randomly | Afshari et al., 2013* |
Ravansar | Kermanshah | ‒ | 77 | ‒ | ‒ | 8 | ‒ | ‒ | 10.4 | ‒ | 6 | 385 | Girls | Local | ‒ | Overall | Sayyadi et al., 2013* |
Paveh | Kermanshah | ‒ | 176 | ‒ | ‒ | 8 | ‒ | ‒ | 4.5 | ‒ | 25 | 750 | Girls | Local | 2009–2010 | Randomly | Vahabi et al., 2013* |
Azadshahr | Golestan | ‒ | 246 | ‒ | ‒ | 5 | ‒ | ‒ | 2.0 | ‒ | ‒ | 1510 | Girls | Local | 2012–2013 | Overall | Motevalli Haghi et al., 2014a* |
Sari | Mazandaran | ‒ | ‒ | 902 | ‒ | ‒ | 15 | ‒ | ‒ | 1.7 | ‒ | 4712 | Both | Local | 2012–2013 | Randomly | Motevalli Haghi et al., 2014b* |
Abadan | Khuzestan | ‒ | ‒ | 104 | ‒ | ‒ | 4 | ‒ | ‒ | 3.8 | 26 | 104 | Both | Local | 2012 | Randomly | Salehi et al., 2014* |
Bonab | East Azerbaijan | ‒ | 639 | ‒ | ‒ | 16 | ‒ | ‒ | 2.5 | ‒ | ‒ | 3757 | Girls | Local | 2013–2014 | Overall | Kabiri et al., 2015* |
Kalaleh | Golestan | ‒ | ‒ | 167 | ‒ | ‒ | 15 | ‒ | ‒ | 9.0 | 4 | 3757 | Girls | Local | Oct–Dec 2015 | Randomly | Maleky et al., 2016* |
Sirik | Hormozgan | ‒ | 45 | ‒ | ‒ | ‒ | ‒ | ‒ | 36.0 | ‒ | ‒ | 358 | Girls | Local | Nov 2015– Feb 2016 | Randomly | Sanei-Dehkordi et al., 2017* |
Bashagard | Hormozgan | ‒ | 47 | ‒ | ‒ | ‒ | ‒ | ‒ | 68.1 | ‒ | ‒ | 300 | Girls | Local | ‒ | Randomly | Soleimani-Ahmadi et al., 2017* |
Meshginshahr | Ardabil | ‒ | ‒ | 126 | ‒ | ‒ | 13 | ‒ | ‒ | 0.66 | 20 | 1950 | Both | Local | 2015–2016 | Randomly | Abbasgholizadeh et al., 2018* |
Meshginshahr | Ardabil | ‒ | ‒ | 320 | ‒ | ‒ | 11 | ‒ | ‒ | 3.4 | 20 | 1950 | Both | Local | Oct 2015–Jun 2016 | Randomly | Moradiasl et al., 2018* |
Meybod | Yazd | ‒ | 62 | ‒ | ‒ | 8 | ‒ | ‒ | 12.9 | ‒ | 4 | 402 | Girls | Local | 2015–2016 | Randomly | Morovati Sharif Abadi et al., 2018* |
Sabzevar | Razavi Khorasan | ‒ | ‒ | 187 | ‒ | ‒ | 19 | ‒ | ‒ | 10.2 | ‒ | 1200 | Both | Local | 2015–2016 | Randomly | Tarkhasi et al., 2018* |
Badrud | Isfahan | ‒ | ‒ | 237 | ‒ | ‒ | 10 | ‒ | ‒ | 0.62 | ‒ | 1595 | Both | Local | 2017–2018 | Overall | Dehghani et al., 2019* |
Tonekabon | Mazandaran | ‒ | 240 | ‒ | ‒ | 49 | ‒ | ‒ | 20.4 | ‒ | ‒ | 1466 | Girls | Local | 2017–2018 | Randomly | Heidarpour et al., 2019* |
Mashhad | Razavi Khorasan | ‒ | 580 | ‒ | ‒ | 64 | ‒ | ‒ | 11.0 | ‒ | ‒ | 3062 | Girls | Local | 2017–2018 | Randomly | Mohammadi et al., 2019* |
Birjand | South Khorasan | ‒ | 451 | ‒ | ‒ | 70 | ‒ | ‒ | 15.5 | ‒ | 19 | 2417 | Girls | Local | 2017 | Randomly | Lashkari et al., 2020* |
Semnan | Semnan | ‒ | ‒ | 265 | ‒ | ‒ | 15 | ‒ | ‒ | 5.7 | 8 | 767 | Both | Local | Mar 2018–May 2018 | Randomly | Shirzadi et al., 2020* |
Khorramabad | Lorestan | ‒ | ‒ | 1168 | ‒ | ‒ | 25 | ‒ | ‒ | 2.1 | ‒ | 3890 | Both | Local | 2018–2019 | Randomly | Galehdar et al., 2021 |
Tabriz | East Azerbaijan | ‒ | ‒ | 883 | ‒ | ‒ | 28 | ‒ | ‒ | 3.2 | 33 | 3032 | Both | Local | Jan–Mar 2018 | Randomly | Norouzi et al., 2021* |
Gilan-e Gharb | Kermanshah | ‒ | ‒ | 420 | ‒ | ‒ | 4 | ‒ | ‒ | 1.0 | ‒ | 2515 | Both | Local | 2018 | Overall | Zahirnia et al., 2021* |
Paveh | Kermanshah | ‒ | ‒ | 40 | ‒ | ‒ | 2 | ‒ | ‒ | 5.0 | 11 | 361 | Both | Local | Oct–Dec 2018 | Overall | Bekri, Shaghaghi, 2022 |
Gahavand | Hamadan | ‒ | 72 | ‒ | ‒ | 12 | ‒ | ‒ | 16.7 | ‒ | ‒ | 499 | Girls | Local | 2020 | Overall | Hajiloie et al., 2022* |
Marivan | Kurdistan | ‒ | ‒ | 108 | ‒ | ‒ | 25 | ‒ | ‒ | 23.1 | ‒ | 457 | Both | Local | 2018–2019 | Randomly | Rad et al., 2022 |
Varzaqan | East Azerbaijan | ‒ | ‒ | 45 | ‒ | ‒ | 3 | ‒ | ‒ | 6.7 | 26 | 400 | Both | Local | Dec 2019–Jan 2020 | Randomly | Sepehri, Jafari, 2022 |
Notes. E – examined, I – infested. * Cited in Nasirian, Ahmadi, 2024.
Table 3. Pediculus capitis infestation in the community, based on a literature search
Counties | Provinces | E | I | I (%) | Sampling | References | ||||||||||
Males | Females | Both | Males | Females | Both | Males | Females | Both | Target | Gender | Location | Date | Selection | |||
Kerman | Kerman | ‒ | ‒ | 1680 | ‒ | ‒ | ‒ | 18.7 | 39.8 | 31.6 | Afghan immigrants | Both | Local | Oct–Nom 1998 | Overall | Rahnama, Kamyabi, 2001* |
Across | Iran | 5591 | 7615 | 13206 | 3 | 755 | 758 | 0.05 | 9.9 | 5.7 | Secondary schools | Both | Across | Jul–Sep 2005 | Overall | Mozafari Kermani et al., 2008* |
Ahvaz | Khuzestan | ‒ | ‒ | 1074 | ‒ | ‒ | 69 | ‒ | ‒ | 6.4 | Secondary schools | Both | Local | Jul–Sep 2005 | Overall | Mozafari Kermani et al., 2008* |
Birjand | South Khorasan | ‒ | ‒ | 938 | ‒ | ‒ | 57 | ‒ | ‒ | 6.1 | Secondary schools | Both | Local | Jul–Sep 2005 | Overall | Mozafari Kermani et al., 2008* |
Zanjan | Zanjan | ‒ | ‒ | 481 | ‒ | ‒ | 24 | ‒ | ‒ | 5.0 | Secondary schools | Both | Local | Jul–Sep 2005 | Overall | Mozafari Kermani et al., 2008* |
Yasuj | Kohgiluyeh and Boyer-Ahmad | ‒ | ‒ | 45 | ‒ | ‒ | 1 | ‒ | ‒ | 2.2 | Secondary schools | Both | Local | Jul–Sep 2005 | Overall | Mozafari Kermani et al., 2008* |
Ardabil | Ardabil | ‒ | ‒ | 506 | ‒ | ‒ | 36 | ‒ | ‒ | 7.1 | Secondary schools | Both | Local | Jul–Sep 2005 | Overall | Mozafari Kermani et al., 2008* |
Shahrekord | Chaharmahal and Bakhtiari | ‒ | ‒ | 1298 | ‒ | ‒ | 69 | ‒ | ‒ | 5.3 | Secondary schools | Both | Local | Jul–Sep 2005 | Overall | Mozafari Kermani et al., 2008* |
Khorramabad | Lorestan | ‒ | ‒ | 662 | ‒ | ‒ | 31 | ‒ | ‒ | 4.7 | Secondary schools | Both | Local | Jul–Sep 2005 | Overall | Mozafari Kermani et al., 2008* |
Shiraz | Fars | ‒ | ‒ | 774 | ‒ | ‒ | 33 | ‒ | ‒ | 4.3 | Secondary schools | Both | Local | Jul–Sep 2005 | Overall | Mozafari Kermani et al., 2008* |
Arak | Markazi | ‒ | ‒ | 551 | ‒ | ‒ | 14 | ‒ | ‒ | 2.5 | Secondary schools | Both | Local | Jul–Sep 2005 | Overall | Mozafari Kermani et al., 2008* |
Kerman | Kerman | ‒ | ‒ | 701 | ‒ | ‒ | 37 | ‒ | ‒ | 5.3 | Secondary schools | Both | Local | Jul–Sep 2005 | Overall | Mozafari Kermani et al., 2008* |
Bushehr | Bushehr | ‒ | ‒ | 858 | ‒ | ‒ | 61 | ‒ | ‒ | 7.1 | Secondary schools | Both | Local | Jul–Sep 2005 | Overall | Mozafari Kermani et al., 2008* |
Bandar Abbas | Hormozgan | ‒ | ‒ | 597 | ‒ | ‒ | 63 | ‒ | ‒ | 10.6 | Secondary schools | Both | Local | Jul–Sep 2005 | Overall | Mozafari Kermani et al., 2008* |
Bojnurd | North Khorasan | ‒ | ‒ | 239 | ‒ | ‒ | 15 | ‒ | ‒ | 6.3 | Secondary schools | Both | Local | Jul–Sep 2005 | Overall | Mozafari Kermani et al., 2008* |
Isfahan | Isfahan | ‒ | ‒ | 590 | ‒ | ‒ | 29 | ‒ | ‒ | 4.9 | Secondary schools | Both | Local | Jul–Sep 2005 | Overall | Mozafari Kermani et al., 2008* |
Yazd | Yazd | ‒ | ‒ | 888 | ‒ | ‒ | 35 | ‒ | ‒ | 3.9 | Secondary schools | Both | Local | Jul–Sep 2005 | Overall | Mozafari Kermani et al., 2008* |
Ilam | Ilam | ‒ | ‒ | 407 | ‒ | ‒ | 27 | ‒ | ‒ | 6.6 | Secondary schools | Both | Local | Jul–Sep 2005 | Overall | Mozafari Kermani et al., 2008* |
Sari | Mazandaran | ‒ | ‒ | 503 | ‒ | ‒ | 23 | ‒ | ‒ | 4.6 | Secondary schools | Both | Local | Jul–Sep 2005 | Overall | Mozafari Kermani et al., 2008* |
Tabriz | East Azerbaijan | ‒ | ‒ | 511 | ‒ | ‒ | 14 | ‒ | ‒ | 2.7 | Secondary schools | Both | Local | Jul–Sep 2005 | Overall | Mozafari Kermani et al., 2008* |
Zahedan | Sistan and Baluchestan | ‒ | ‒ | 804 | ‒ | ‒ | 89 | ‒ | ‒ | 11.1 | Secondary schools | Both | Local | Jul–Sep 2005 | Overall | Mozafari Kermani et al., 2008* |
Semnan | Semnan | ‒ | ‒ | 526 | ‒ | ‒ | 17 | ‒ | ‒ | 3.2 | Secondary schools | Both | Local | Jul–Sep 2005 | Overall | Mozafari Kermani et al., 2008* |
Tehran | Tehran | ‒ | ‒ | 253 | ‒ | ‒ | 14 | ‒ | ‒ | 5.5 | Secondary schools | Both | Local | Jul–Sep 2005 | Overall | Mozafari Kermani et al., 2008* |
Across | Iran | ‒ | ‒ | ‒ | 866 | 12471 | 13337 | 6.0 | 6.3 | 6.2 | Student community | Both | Across | 2005 | Overall | Amirkhani et al., 2011* |
Bahar | Hamadan | 9346 | 8376 | 17722 | 23 | 1194 | 1217 | 0.25 | 14.3 | 6.9 | Student community | Both | Local | Oct–Dec 2011 | Overall | Moradi et al., 2012* |
Mashhad | Razavi Khorasan | ‒ | ‒ | 55997 | 34 | 367 | 401 | 8.5 | 91.5 | 0.72 | Student community | Both | Local | Mar 2006–Feb 2010 | Overall | Ramezani Awal Riabi, Atarodi, 2012* |
Hamadan | Hamadan | 6350 | 4491 | 10841 | 7 | 107 | 114 | 0.11 | 2.4 | 1.1 | Secondary schools | Both | Local | Oct–Dec 2010 | Randomly | Omidi et al., 2013* |
Ahvaz | Khuzestan | ‒ | ‒ | ‒ | 140 | 951 | 1091 | 12.8 | 87.2 | ‒ | Health centers | Both | Local | 2006–2009 | Overall | Kassiri et al., 2015* |
Hamadan | Hamadan | 384 | ‒ | ‒ | 20 | ‒ | ‒ | 5.2 | ‒ | ‒ | Central prison | Males | Local | Oct–Mar 2013 | Randomly | Nazari et al., 2015* |
Asadabad | Hamadan | 8726 | 7712 | 16438 | 110 | 718 | 828 | 1.3 | 9.3 | 5.0 | Student community | Both | Local | Oct 2015–Jun 2016 | Overall | Nazari et al., 2016b* |
Zahedan | Sistan and Baluchestan | 200 | 300 | 500 | ‒ | ‒ | ‒ | 2.0 | 6.7 | 4.8 | High schools | Both | Local | 2013–2015 | Randomly | Raeisi et al., 2016* |
Mashhad | Razavi Khorasan | ‒ | ‒ | ‒ | 405 | 3362 | 3767 | 10.8 | 89.2 | ‒ | Community | Both | Local | Oct–Dec 2017 | Overall | Jarahi et al., 2017* |
Ahvaz | Khuzestan | ‒ | ‒ | ‒ | 36 | 405 | 441 | 8.2 | ‒ | 8.1 | Health centers | Both | Local | 2008 | Overall | Kassiri, Mardani Kateki, 2018* |
Ahvaz | Khuzestan | ‒ | ‒ | ‒ | 41 | 562 | 603 | 6.8 | ‒ | 11.1 | Health centers | Both | Local | 2009 | Overall | Kassiri, Mardani Kateki, 2018* |
Ahvaz | Khuzestan | ‒ | ‒ | ‒ | 78 | 704 | 782 | 10.0 | ‒ | 14.4 | Health centers | Both | Local | 2010 | Overall | Kassiri, Mardani Kateki, 2018* |
Ahvaz | Khuzestan | ‒ | ‒ | ‒ | 45 | 803 | 848 | 5.3 | ‒ | 15.6 | Health centers | Both | Local | 2011 | Overall | Kassiri, Mardani Kateki, 2018* |
Ahvaz | Khuzestan | ‒ | ‒ | ‒ | 81 | 1187 | 1268 | 6.4 | ‒ | 23.3 | Health centers | Both | Local | 2012 | Overall | Kassiri, Mardani Kateki, 2018* |
Ahvaz | Khuzestan | ‒ | ‒ | ‒ | 23 | 1481 | 1504 | 1.5 | ‒ | 27.6 | Health centers | Both | Local | 2013 | Overall | Kassiri, Mardani Kateki, 2018* |
Ahvaz | Khuzestan | ‒ | ‒ | ‒ | 304 | 5142 | 5446 | 5.6 | ‒ | 16.7 | Health centers | Both | Local | 2008–2013 | Overall | Kassiri, Mardani Kateki, 2018* |
Bojnurd | North Khorasan | 365 | 472 | 867 | 7 | 21 | 28 | 1.8 | 4.4 | 3.2 | Kormanj tribes | Both | Local | 2016 | Randomly | Firoozfar et al., 2019* |
Tabriz | East Azerbaijan | 226 | 46 | 20.4 | Adolescents | Both | Local | Sep–Oct 2017 | Randomly | Babazadeh et al., 2020* | ||||||
Sari | Mazandaran | ‒ | ‒ | 2590039 | ‒ | ‒ | 17981 | ‒ | ‒ | 6.9 | Community | Both | Local | 2012 | Overall | Habibi et al., 2020* |
Sari | Mazandaran | ‒ | ‒ | 2617250 | ‒ | ‒ | 20014 | ‒ | ‒ | 7.6 | Community | Both | Local | 2013 | Overall | Habibi et al., 2020* |
Sari | Mazandaran | ‒ | ‒ | 2644192 | ‒ | ‒ | 23859 | ‒ | ‒ | 9.0 | Community | Both | Local | 2014 | Overall | Habibi et al., 2020* |
Sari | Mazandaran | ‒ | ‒ | 2678183 | ‒ | ‒ | 42988 | ‒ | ‒ | 16.1 | Community | Both | Local | 2015 | Overall | Habibi et al., 2020* |
Sari | Mazandaran | ‒ | ‒ | 2720672 | ‒ | ‒ | 37783 | ‒ | ‒ | 13.9 | Community | Both | Local | 2016 | Overall | Habibi et al., 2020* |
Sari | Mazandaran | ‒ | ‒ | 2527365 | ‒ | ‒ | 38997 | ‒ | ‒ | 15.4 | Community | Both | Local | 2017 | Overall | Habibi et al., 2020* |
Sari | Mazandaran | ‒ | ‒ | 2483370 | ‒ | ‒ | 37297 | ‒ | ‒ | 15.0 | Community | Both | Local | 2018 | Overall | Habibi et al., 2020* |
Sari | Mazandaran | ‒ | ‒ | 2505194 | ‒ | ‒ | 24568 | ‒ | ‒ | 9.8 | Community | Both | Local | 2019 | Overall | Habibi et al., 2020* |
Sari | Mazandaran | ‒ | ‒ | ‒ | ‒ | ‒ | ‒ | ‒ | ‒ | Both | Local | 2020 | Overall | Habibi et al., 2020* | ||
Sari | Mazandaran | ‒ | ‒ | 20766265 | ‒ | ‒ | 243487 | ‒ | ‒ | 11.7 | Community | Both | Local | 2012–2020 | Overall | Habibi et al., 2020* |
Ahvaz | Khuzestan | 31765 | 54635 | 86400 | 19 | 543 | 562 | 0.06 | 0.99 | 0.65 | Student community | Both | Local | 2008 | Overall | Kassiri et al., 2020a* |
Ahvaz | Khuzestan | 20351 | 43267 | 63618 | 21 | 730 | 751 | 0.1 | 1.7 | 1.2 | Student community | Both | Local | 2009 | Overall | Kassiri et al., 2020a* |
Ahvaz | Khuzestan | 30316 | 44785 | 75101 | 3 | 660 | 663 | 0.01 | 1.5 | 0.88 | Student community | Both | Local | 2010 | Overall | Kassiri et al., 2020a* |
Ahvaz | Khuzestan | 34720 | 43826 | 78546 | 33 | 460 | 493 | 0.1 | 1.0 | 0.63 | Student community | Both | Local | 2011 | Overall | Kassiri et al., 2020a* |
Ahvaz | Khuzestan | 24876 | 65563 | 90439 | 47 | 1553 | 1600 | 0.19 | 2.4 | 1.8 | Student community | Both | Local | 2012 | Overall | Kassiri et al., 2020a* |
Ahvaz | Khuzestan | 17368 | 49321 | 66689 | 37 | 1624 | 1661 | 0.21 | 3.3 | 2.5 | Student community | Both | Local | 2013 | Overall | Kassiri et al., 2020a* |
Ahvaz | Khuzestan | 159234 | 303197 | 462431 | 160 | 5570 | 5730 | 0.1 | 1.8 | 1.2 | Student community | Both | Local | 2008–2013 | Overall | Kassiri et al., 2020a* |
Shiraz | Fars | ‒ | ‒ | ‒ | ‒ | ‒ | 59 | ‒ | ‒ | 2.3 | Health centers | Both | Local | 2011 | Overall | Rezaee et al., 2020* |
Shiraz | Fars | ‒ | ‒ | ‒ | ‒ | ‒ | 42 | ‒ | ‒ | 1.6 | Health centers | Both | Local | 2012 | Overall | Rezaee et al., 2020* |
Shiraz | Fars | ‒ | ‒ | ‒ | ‒ | ‒ | 88 | ‒ | ‒ | 3.5 | Health centers | Both | Local | 2013 | Overall | Rezaee et al., 2020* |
Shiraz | Fars | ‒ | ‒ | ‒ | ‒ | ‒ | 247 | ‒ | ‒ | 9.7 | Health centers | Both | Local | 2014 | Overall | Rezaee et al., 2020* |
Shiraz | Fars | ‒ | ‒ | ‒ | ‒ | ‒ | 364 | ‒ | ‒ | 14.3 | Health centers | Both | Local | 2015 | Overall | Rezaee et al., 2020* |
Shiraz | Fars | ‒ | ‒ | ‒ | ‒ | ‒ | 388 | ‒ | ‒ | 15.2 | Health centers | Both | Local | 2016 | Overall | Rezaee et al., 2020* |
Shiraz | Fars | ‒ | ‒ | ‒ | ‒ | ‒ | 409 | ‒ | ‒ | 16.1 | Health centers | Both | Local | 2017 | Overall | Rezaee et al., 2020* |
Shiraz | Fars | ‒ | ‒ | ‒ | ‒ | ‒ | 950 | ‒ | ‒ | 37.3 | Health centers | Both | Local | 2018 | Overall | Rezaee et al., 2020* |
Shiraz | Fars | 28836 | 37574 | 66410 | 152 | 2395 | 2547 | 0.53 | 6.4 | 3.8 | Health centers | Both | Local | 2011–2018 | Overall | Rezaee et al., 2020* |
Notes. E ‒ examined, I ‒ infested. *Cited in Nasirian, Ahmadi, 2024.
Table 4. Pediculus capitis infestation in the age groups of the community, based on a literature search
Counties | Provinces | E | I | I (%) | Sampling | References | |||||||||||
Males | Females | Both | Males | Females | Both | Males | Females | Both | Target | Gender | Age (years) | Location | Date | Selection | |||
Sirjan | Kerman | ‒ | ‒ | 22 | ‒ | ‒ | 2 | ‒ | ‒ | 9.1 | Afghani children | Both | < 5 | Local | 2010–2011 | Overall | Yousefi et al., 2012* |
Khorramabad | Lorestan | ‒ | ‒ | ‒ | ‒ | ‒ | ‒ | ‒ | 10.5 | ‒ | Health centers | Females | < 6 | Local | 2007 | Overall | Kasiri, Amani, 2010* |
Across | Iran | ‒ | ‒ | ‒ | 351 | 4389 | 4740 | 2.5 | 2.2 | 2.2 | Kindergarten | Both | < 6 | Across | 2005 | Overall | Amirkhani et al., 2011* |
Ahvaz | Khuzestan | ‒ | ‒ | 1091 | ‒ | ‒ | 70 | ‒ | ‒ | 6.4 | Health centers | Both | < 6 | Local | 2006–2009 | Overall | Kassiri et al., 2015* |
Mashhad | Razavi Khorasan | ‒ | ‒ | ‒ | ‒ | ‒ | 575 | ‒ | ‒ | 15.5 | Community | Both | < 6 | Local | Oct–Dec 2017 | Overall | Jarahi et al., 2017* |
Shiraz | Fars | ‒ | ‒ | ‒ | 8 | 120 | 128 | 0.25 | 3.8 | 4.1 | Community | Both | < 6 | Local | 2012–2015 | Overall | Soltani, Keshavarzi, 2018 |
Shiraz | Fars | ‒ | ‒ | 4602 | ‒ | ‒ | 120 | ‒ | ‒ | 2.6 | Health centers | Both | < 6 | Local | 2011–2018 | Overall | Rezaee et al., 2020* |
Ahvaz | Khuzestan | ‒ | ‒ | ‒ | ‒ | ‒ | 375 | ‒ | ‒ | 6.9 | Health centers | Both | 1–2 | Local | 2008–2013 | Overall | Kassiri, Mardani Kateki, 2018* |
Sirjan | Kerman | ‒ | ‒ | 39 | ‒ | ‒ | 7 | ‒ | ‒ | 17.9 | Afghani children | Both | 5–8 | Local | 2010–2011 | Overall | Yousefi et al., 2012* |
Khorramabad | Lorestan | ‒ | ‒ | ‒ | ‒ | ‒ | ‒ | ‒ | 62.1 | ‒ | Health centers | Females | 6–10 | Local | 2007 | Overall | Kasiri, Amani, 2010* |
Ahvaz | Khuzestan | ‒ | ‒ | 1091 | ‒ | ‒ | 504 | ‒ | ‒ | 46.2 | Health centers | Both | 6–10 | Local | 2006–2009 | Overall | Kassiri et al., 2015* |
Ahvaz | Khuzestan | ‒ | ‒ | ‒ | ‒ | ‒ | 2242 | ‒ | ‒ | 41.2 | Health centers | Both | 6–10 | Local | 2008–2013 | Overall | Kassiri, Mardani Kateki, 2018* |
Shiraz | Fars | ‒ | ‒ | ‒ | ‒ | 1787 | ‒ | ‒ | 56.9 | ‒ | Community | Females | 6–10 | Local | 2012–2015 | Overall | Soltani, Keshavarzi, 2018* |
Shiraz | Fars | ‒ | ‒ | 34594 | ‒ | ‒ | 1935 | ‒ | ‒ | 5.6 | Health centers | Both | 6–10 | Local | 2011–2018 | Overall | Rezaee et al., 2020* |
Mashhad | Razavi Khorasan | ‒ | ‒ | ‒ | ‒ | ‒ | 1810 | ‒ | ‒ | 48.7 | Community | Both | 7–12 | Local | Oct–Dec 2017 | Overall | Jarahi et al., 2017* |
Sirjan | Kerman | ‒ | ‒ | 22 | ‒ | ‒ | 2 | ‒ | ‒ | 9.1 | Afghanian children | Both | 9–12 | Local | 2010–2011 | Overall | Yousefi et al., 2012* |
Sirjan | Kerman | ‒ | ‒ | 12 | ‒ | ‒ | 5 | ‒ | ‒ | 41.7 | Afghanian children | Both | > 13 | Local | 2010–2011 | Overall | Yousefi et al., 2012* |
Iranshahr | Sistan and Baluchestan | ‒ | 3 | ‒ | ‒ | 8 | ‒ | ‒ | 37.5 | ‒ | Primary schools | Females | 13 | Local | Nov 2002–May 2003 | Randomly | Alempour Salemi et al., 2003* |
Robat Karim | Tehran | ‒ | 10000 | ‒ | ‒ | 1 | ‒ | ‒ | 1.0 | ‒ | Primary schools | Females | 13 | Local | 2008–2009 | Randomly | Afshari et al., 2013* |
Khorramabad | Lorestan | ‒ | ‒ | ‒ | ‒ | ‒ | ‒ | ‒ | 24.2 | ‒ | Health centers | Females | 11–17 | Local | 2007 | Overall | Kasiri, Amani, 2010* |
Across | Iran | ‒ | ‒ | ‒ | 3765 | 59372 | 63137 | 26.3 | 29.8 | 29.6 | Student community | Both | 11–17 | Across | 2005 | Overall | Amirkhani et al., 2011* |
Ahvaz | Khuzestan | ‒ | ‒ | 1091 | ‒ | ‒ | 356 | ‒ | ‒ | 32.6 | Health centers | Females | 11–17 | Local | 2006–2009 | Overall | Kassiri et al., 2015* |
Ahvaz | Khuzestan | ‒ | ‒ | ‒ | ‒ | ‒ | 1802 | ‒ | ‒ | 33.0 | Health centers | Females | 11–17 | Local | 2008–2013 | Overall | Kassiri, Mardani Kateki, 2018* |
Shiraz | Fars | ‒ | ‒ | ‒ | 147 | 753 | 900 | 4.7 | 24.0 | 28.7 | Community | Females | 11–17 | Local | 2012–2015 | Overall | Soltani, Keshavarzi, 2018* |
Shiraz | Fars | ‒ | ‒ | 24863 | ‒ | ‒ | 281 | ‒ | ‒ | 1.1 | Health centers | Females | 11–17 | Local | 2011–2018 | Overall | Rezaee et al., 2020* |
Mashhad | Razavi Khorasan | ‒ | ‒ | ‒ | ‒ | ‒ | 502 | ‒ | ‒ | 13.5 | Community | Both | 12–18 | Local | Oct–Dec 2017 | Overall | Jarahi et al., 2017* |
Khorramabad | Lorestan | ‒ | ‒ | ‒ | ‒ | ‒ | ‒ | ‒ | 3.2 | ‒ | Health centers | Females | > 17 | Local | 2007 | Overall | Kasiri, Amani, 2010* |
Across | Iran | ‒ | ‒ | ‒ | 866 | 12471 | 13337 | 6.0 | 6.3 | 6.2 | Student community | Both | > 17 | Across | 2005 | Overall | Amirkhani et al., 2011* |
Shiraz | Fars | ‒ | ‒ | ‒ | 62 | 261 | 323 | 2.0 | 8.3 | 10.3 | Community | Both | > 17 | Local | 2012–2015 | Overall | Soltani, Keshavarzi, 2018* |
Shiraz | Fars | ‒ | ‒ | 2351 | ‒ | ‒ | 211 | ‒ | ‒ | 9.0 | Health centers | Both | > 17 | Local | 2011–2018 | Overall | Rezaee et al., 2020* |
Ahvaz | Khuzestan | ‒ | ‒ | 1091 | ‒ | ‒ | 1611 | ‒ | ‒ | 14.8 | Health centers | Both | ≥ 18 | Local | 2006–2009 | Overall | Kassiri et al., 2015* |
Ahvaz | Khuzestan | ‒ | ‒ | ‒ | ‒ | ‒ | 1027 | ‒ | ‒ | 18.9 | Health centers | Both | ≥ 18 | Local | 2008–2013 | Overall | Kassiri, Mardani Kateki, 2018* |
Karaj | Alborz | ‒ | ‒ | ‒ | ‒ | ‒ | ‒ | ‒ | ‒ | 2.0 | Student community | Both | 6–18 | Local | 2014–2015 | Overall | Ziaoddini et al., 2019* |
Ardabil | Ardabil | ‒ | ‒ | ‒ | ‒ | ‒ | ‒ | ‒ | ‒ | 0.81 | Student community | Both | 6–18 | Local | 2014–2015 | Overall | Ziaoddini et al., 2019* |
Tabriz | East Azerbaijan | ‒ | ‒ | ‒ | ‒ | ‒ | ‒ | ‒ | ‒ | 1.1 | Student community | Both | 6–18 | Local | 2014–2015 | Overall | Ziaoddini et al., 2019* |
Urmia | West Azerbaijan | ‒ | ‒ | ‒ | ‒ | ‒ | ‒ | ‒ | ‒ | 3.3 | Student community | Both | 6–18 | Local | 2014–2015 | Overall | Ziaoddini et al., 2019* |
Bushehr | Bushehr | ‒ | ‒ | ‒ | ‒ | ‒ | ‒ | ‒ | ‒ | 2.2 | Student community | Both | 6–18 | Local | 2014–2015 | Overall | Ziaoddini et al., 2019* |
Shahrekord | Chaharmahal and Bakhtiari | ‒ | ‒ | ‒ | ‒ | ‒ | ‒ | ‒ | ‒ | 0.21 | Student community | Both | 6–18 | Local | 2014–2015 | Overall | Ziaoddini et al., 2019* |
Shiraz | Fars | ‒ | ‒ | ‒ | ‒ | ‒ | ‒ | ‒ | ‒ | 0.34 | Student community | Both | 6–18 | Local | 2014–2015 | Overall | Ziaoddini et al., 2019* |
Rasht | Gilan | ‒ | ‒ | ‒ | ‒ | ‒ | ‒ | ‒ | ‒ | 1.8 | Student community | Both | 6–18 | Local | 2014–2015 | Overall | Ziaoddini et al., 2019* |
Gorgan | Golestan | ‒ | ‒ | ‒ | ‒ | ‒ | ‒ | ‒ | ‒ | 9.8 | Student community | Both | 6–18 | Local | 2014–2015 | Overall | Ziaoddini et al., 2019* |
Hamadan | Hamadan | ‒ | ‒ | ‒ | ‒ | ‒ | ‒ | ‒ | ‒ | 0.54 | Student community | Both | 6–18 | Local | 2014–2015 | Overall | Ziaoddini et al., 2019* |
Bandar Abbas | Hormozgan | ‒ | ‒ | ‒ | ‒ | ‒ | ‒ | ‒ | ‒ | 6.4 | Student community | Both | 6–18 | Local | 2014–2015 | Overall | Ziaoddini et al., 2019* |
Ilam | Ilam | ‒ | ‒ | ‒ | ‒ | ‒ | ‒ | ‒ | ‒ | 0.03 | Student community | Both | 6–18 | Local | 2014–2015 | Overall | Ziaoddini et al., 2019* |
Isfahan | Isfahan | ‒ | ‒ | ‒ | ‒ | ‒ | ‒ | ‒ | ‒ | 0.04 | Student community | Both | 6–18 | Local | 2014–2015 | Overall | Ziaoddini et al., 2019* |
Kerman | Kerman | ‒ | ‒ | ‒ | ‒ | ‒ | ‒ | ‒ | ‒ | 2.5 | Student community | Both | 6–18 | Local | 2014–2015 | Overall | Ziaoddini et al., 2019* |
Kermanshah | Kermanshah | ‒ | ‒ | ‒ | ‒ | ‒ | ‒ | ‒ | ‒ | 0.47 | Student community | Both | 6–18 | Local | 2014–2015 | Overall | Ziaoddini et al., 2019* |
Bojnurd | North Khorasan | ‒ | ‒ | ‒ | ‒ | ‒ | ‒ | ‒ | ‒ | 1.9 | Student community | Both | 6–18 | Local | 2014–2015 | Overall | Ziaoddini et al., 2019* |
Mashhad | Razavi Khorasan | ‒ | ‒ | ‒ | ‒ | ‒ | ‒ | ‒ | ‒ | 1.8 | Student community | Both | 6–18 | Local | 2014–2015 | Overall | Ziaoddini et al., 2019* |
Birjand | South Khorasan | ‒ | ‒ | ‒ | ‒ | ‒ | ‒ | ‒ | ‒ | 0.92 | Student community | Both | 6–18 | Local | 2014–2015 | Overall | Ziaoddini et al., 2019* |
Ahvaz | Khuzestan | ‒ | ‒ | ‒ | ‒ | ‒ | ‒ | ‒ | ‒ | 2.1 | Student community | Both | 6–18 | Local | 2014–2015 | Overall | Ziaoddini et al., 2019* |
Yasuj | Kohgiluyeh and Boyer-Ahmad | ‒ | ‒ | ‒ | ‒ | ‒ | ‒ | ‒ | ‒ | 0.43 | Student community | Both | 6–18 | Local | 2014–2015 | Overall | Ziaoddini et al., 2019* |
Sanandaj | Kurdistan | ‒ | ‒ | ‒ | ‒ | ‒ | ‒ | ‒ | ‒ | 1.5 | Student community | Both | 6–18 | Local | 2014–2015 | Overall | Ziaoddini et al., 2019* |
Khorramabad | Lorestan | ‒ | ‒ | ‒ | ‒ | ‒ | ‒ | ‒ | ‒ | 0.05 | Student community | Both | 6–18 | Local | 2014–2015 | Overall | Ziaoddini et al., 2019* |
Arak | Markazi | ‒ | ‒ | ‒ | ‒ | ‒ | ‒ | ‒ | ‒ | 3.6 | Student community | Both | 6–18 | Local | 2014–2015 | Overall | Ziaoddini et al., 2019* |
Sari | Mazandaran | ‒ | ‒ | ‒ | ‒ | ‒ | ‒ | ‒ | ‒ | 2.4 | Student community | Both | 6–18 | Local | 2014–2015 | Overall | Ziaoddini et al., 2019* |
Qazvin | Qazvin | ‒ | ‒ | ‒ | ‒ | ‒ | ‒ | ‒ | ‒ | 1.0 | Student community | Both | 6–18 | Local | 2014–2015 | Overall | Ziaoddini et al., 2019* |
Qom | Qom | ‒ | ‒ | ‒ | ‒ | ‒ | ‒ | ‒ | ‒ | 3.5 | Student community | Both | 6–18 | Local | 2014–2015 | Overall | Ziaoddini et al., 2019* |
Semnan | Semnan | ‒ | ‒ | ‒ | ‒ | ‒ | ‒ | ‒ | ‒ | 1.7 | Student community | Both | 6–18 | Local | 2014–2015 | Overall | Ziaoddini et al., 2019* |
Zahedan | Sistan and Baluchestan | ‒ | ‒ | ‒ | ‒ | ‒ | ‒ | ‒ | ‒ | 1.1 | Student community | Both | 6–18 | Local | 2014–2015 | Overall | Ziaoddini et al., 2019* |
Tehran | Tehran | ‒ | ‒ | ‒ | ‒ | ‒ | ‒ | ‒ | ‒ | 1.2 | Student community | Both | 6–18 | Local | 2014–2015 | Overall | Ziaoddini et al., 2019* |
Yazd | Yazd | ‒ | ‒ | ‒ | ‒ | ‒ | ‒ | ‒ | ‒ | 0.41 | Student community | Both | 6–18 | Local | 2014–2015 | Overall | Ziaoddini et al., 2019* |
Zanjan | Zanjan | ‒ | ‒ | ‒ | ‒ | ‒ | ‒ | ‒ | ‒ | 0.92 | Student community | Both | 6–18 | Local | 2014–2015 | Overall | Ziaoddini et al., 2019* |
Karaj | Alborz | ‒ | ‒ | ‒ | ‒ | ‒ | ‒ | ‒ | ‒ | 1.9 | Student community | Both | 6–18 | Local | 2015–2016 | Overall | Ziaoddini et al., 2019* |
Ardabil | Ardabil | ‒ | ‒ | ‒ | ‒ | ‒ | ‒ | ‒ | ‒ | 11.3 | Student community | Both | 6–18 | Local | 2015–2016 | Overall | Ziaoddini et al., 2019* |
Tabriz | East Azerbaijan | ‒ | ‒ | ‒ | ‒ | ‒ | ‒ | ‒ | ‒ | 1.7 | Student community | Both | 6–18 | Local | 2015–2016 | Overall | Ziaoddini et al., 2019* |
Urmia | West Azerbaijan | ‒ | ‒ | ‒ | ‒ | ‒ | ‒ | ‒ | ‒ | 1.4 | Student community | Both | 6–18 | Local | 2015–2016 | Overall | Ziaoddini et al., 2019* |
Bushehr | Bushehr | ‒ | ‒ | ‒ | ‒ | ‒ | ‒ | ‒ | ‒ | 2.4 | Student community | Both | 6–18 | Local | 2015–2016 | Overall | Ziaoddini et al., 2019* |
Shahrekord | Chaharmahal and Bakhtiari | ‒ | ‒ | ‒ | ‒ | ‒ | ‒ | ‒ | ‒ | 0.35 | Student community | Both | 6–18 | Local | 2015–2016 | Overall | Ziaoddini et al., 2019* |
Shiraz | Fars | ‒ | ‒ | ‒ | ‒ | ‒ | ‒ | ‒ | ‒ | 0.7 | Student community | Both | 6–18 | Local | 2015–2016 | Overall | Ziaoddini et al., 2019* |
Rasht | Gilan | ‒ | ‒ | ‒ | ‒ | ‒ | ‒ | ‒ | ‒ | 2.3 | Student community | Both | 6–18 | Local | 2015–2016 | Overall | Ziaoddini et al., 2019* |
Gorgan | Golestan | ‒ | ‒ | ‒ | ‒ | ‒ | ‒ | ‒ | ‒ | 5.1 | Student community | Both | 6–18 | Local | 2015–2016 | Overall | Ziaoddini et al., 2019* |
Hamadan | Hamadan | ‒ | ‒ | ‒ | ‒ | ‒ | ‒ | ‒ | ‒ | 0.23 | Student community | Both | 6–18 | Local | 2015–2016 | Overall | Ziaoddini et al., 2019* |
Bandar Abbas | Hormozgan | ‒ | ‒ | ‒ | ‒ | ‒ | ‒ | ‒ | ‒ | 4.0 | Student community | Both | 6–18 | Local | 2015–2016 | Overall | Ziaoddini et al., 2019* |
Ilam | Ilam | ‒ | ‒ | ‒ | ‒ | ‒ | ‒ | ‒ | ‒ | 0.69 | Student community | Both | 6–18 | Local | 2015–2016 | Overall | Ziaoddini et al., 2019* |
Isfahan | Isfahan | ‒ | ‒ | ‒ | ‒ | ‒ | ‒ | ‒ | ‒ | 1.9 | Student community | Both | 6–18 | Local | 2015–2016 | Overall | Ziaoddini et al., 2019* |
Kerman | Kerman | ‒ | ‒ | ‒ | ‒ | ‒ | ‒ | ‒ | ‒ | 3.0 | Student community | Both | 6–18 | Local | 2015–2016 | Overall | Ziaoddini et al., 2019* |
Kermanshah | Kermanshah | ‒ | ‒ | ‒ | ‒ | ‒ | ‒ | ‒ | ‒ | 0.62 | Student community | Both | 6–18 | Local | 2015–2016 | Overall | Ziaoddini et al., 2019* |
Bojnurd | North Khorasan | ‒ | ‒ | ‒ | ‒ | ‒ | ‒ | ‒ | ‒ | 2.3 | Student community | Both | 6–18 | Local | 2015–2016 | Overall | Ziaoddini et al., 2019* |
Mashhad | Razavi Khorasan | ‒ | ‒ | ‒ | ‒ | ‒ | ‒ | ‒ | ‒ | 3.5 | Student community | Both | 6–18 | Local | 2015–2016 | Overall | Ziaoddini et al., 2019* |
Birjand | South Khorasan | ‒ | ‒ | ‒ | ‒ | ‒ | ‒ | ‒ | ‒ | 0.63 | Student community | Both | 6–18 | Local | 2015–2016 | Overall | Ziaoddini et al., 2019* |
Ahvaz | Khuzestan | ‒ | ‒ | ‒ | ‒ | ‒ | ‒ | ‒ | ‒ | 3.1 | Student community | Both | 6–18 | Local | 2015–2016 | Overall | Ziaoddini et al., 2019* |
Yasuj | Kohgiluyeh and Boyer-Ahmad | ‒ | ‒ | ‒ | ‒ | ‒ | ‒ | ‒ | ‒ | 7.8 | Student community | Both | 6–18 | Local | 2015–2016 | Overall | Ziaoddini et al., 2019* |
Sanandaj | Kurdistan | ‒ | ‒ | ‒ | ‒ | ‒ | ‒ | ‒ | ‒ | 1.5 | Student community | Both | 6–18 | Local | 2015–2016 | Overall | Ziaoddini et al., 2019* |
Khorramabad | Lorestan | ‒ | ‒ | ‒ | ‒ | ‒ | ‒ | ‒ | ‒ | 1.7 | Student community | Both | 6–18 | Local | 2015–2016 | Overall | Ziaoddini et al., 2019* |
Arak | Markazi | ‒ | ‒ | ‒ | ‒ | ‒ | ‒ | ‒ | ‒ | 1.5 | Student community | Both | 6–18 | Local | 2015–2016 | Overall | Ziaoddini et al., 2019* |
Sari | Mazandaran | ‒ | ‒ | ‒ | ‒ | ‒ | ‒ | ‒ | ‒ | 3.3 | Student community | Both | 6–18 | Local | 2015–2016 | Overall | Ziaoddini et al., 2019* |
Qazvin | Qazvin | ‒ | ‒ | ‒ | ‒ | ‒ | ‒ | ‒ | ‒ | 1.9 | Student community | Both | 6–18 | Local | 2015–2016 | Overall | Ziaoddini et al., 2019* |
Qom | Qom | ‒ | ‒ | ‒ | ‒ | ‒ | ‒ | ‒ | ‒ | 2.4 | Student community | Both | 6–18 | Local | 2015–2016 | Overall | Ziaoddini et al., 2019* |
Semnan | Semnan | ‒ | ‒ | ‒ | ‒ | ‒ | ‒ | ‒ | ‒ | 2.9 | Student community | Both | 6–18 | Local | 2015–2016 | Overall | Ziaoddini et al., 2019* |
Zahedan | Sistan and Baluchestan | ‒ | ‒ | ‒ | ‒ | ‒ | ‒ | ‒ | ‒ | 7.0 | Student community | Both | 6–18 | Local | 2015–2016 | Overall | Ziaoddini et al., 2019* |
Tehran | Tehran | ‒ | ‒ | ‒ | ‒ | ‒ | ‒ | ‒ | ‒ | 2.6 | Student community | Both | 6–18 | Local | 2015–2016 | Overall | Ziaoddini et al., 2019* |
Yazd | Yazd | ‒ | ‒ | ‒ | ‒ | ‒ | ‒ | ‒ | ‒ | 0.36 | Student community | Both | 6–18 | Local | 2015–2016 | Overall | Ziaoddini et al., 2019* |
Zanjan | Zanjan | ‒ | ‒ | ‒ | ‒ | ‒ | ‒ | ‒ | ‒ | 1.9 | Student community | Both | 6–18 | Local | 2015–2016 | Overall | Ziaoddini et al., 2019* |
Karaj | Alborz | ‒ | ‒ | ‒ | ‒ | ‒ | ‒ | ‒ | ‒ | 2.7 | Student community | Both | 6–18 | Local | 2016–2017 | Overall | Ziaoddini et al., 2019* |
Ardabil | Ardabil | ‒ | ‒ | ‒ | ‒ | ‒ | ‒ | ‒ | ‒ | 10.6 | Student community | Both | 6–18 | Local | 2016–2017 | Overall | Ziaoddini et al., 2019* |
Tabriz | East Azerbaijan | ‒ | ‒ | ‒ | ‒ | ‒ | ‒ | ‒ | ‒ | 4.3 | Student community | Both | 6–18 | Local | 2016–2017 | Overall | Ziaoddini et al., 2019* |
Urmia | West Azerbaijan | ‒ | ‒ | ‒ | ‒ | ‒ | ‒ | ‒ | ‒ | 9.1 | Student community | Both | 6–18 | Local | 2016–2017 | Overall | Ziaoddini et al., 2019* |
Bushehr | Bushehr | ‒ | ‒ | ‒ | ‒ | ‒ | ‒ | ‒ | ‒ | 2.9 | Student community | Both | 6–18 | Local | 2016–2017 | Overall | Ziaoddini et al., 2019* |
Shahrekord | Chaharmahal and Bakhtiari | ‒ | ‒ | ‒ | ‒ | ‒ | ‒ | ‒ | ‒ | 0.24 | Student community | Both | 6–18 | Local | 2016–2017 | Overall | Ziaoddini et al., 2019* |
Shiraz | Fars | ‒ | ‒ | ‒ | ‒ | ‒ | ‒ | ‒ | ‒ | 0.85 | Student community | Both | 6–18 | Local | 2016–2017 | Overall | Ziaoddini et al., 2019* |
Rasht | Gilan | ‒ | ‒ | ‒ | ‒ | ‒ | ‒ | ‒ | ‒ | 2.9 | Student community | Both | 6–18 | Local | 2016–2017 | Overall | Ziaoddini et al., 2019* |
Gorgan | Golestan | ‒ | ‒ | ‒ | ‒ | ‒ | ‒ | ‒ | ‒ | 5.6 | Student community | Both | 6–18 | Local | 2016–2017 | Overall | Ziaoddini et al., 2019* |
Hamadan | Hamadan | ‒ | ‒ | ‒ | ‒ | ‒ | ‒ | ‒ | ‒ | 2.5 | Student community | Both | 6–18 | Local | 2016–2017 | Overall | Ziaoddini et al., 2019* |
Bandar Abbas | Hormozgan | ‒ | ‒ | ‒ | ‒ | ‒ | ‒ | ‒ | ‒ | 4.1 | Student community | Both | 6–18 | Local | 2016–2017 | Overall | Ziaoddini et al., 2019* |
Ilam | Ilam | ‒ | ‒ | ‒ | ‒ | ‒ | ‒ | ‒ | ‒ | 0.55 | Student community | Both | 6–18 | Local | 2016–2017 | Overall | Ziaoddini et al., 2019* |
Isfahan | Isfahan | ‒ | ‒ | ‒ | ‒ | ‒ | ‒ | ‒ | ‒ | 0.86 | Student community | Both | 6–18 | Local | 2016–2017 | Overall | Ziaoddini et al., 2019* |
Kerman | Kerman | ‒ | ‒ | ‒ | ‒ | ‒ | ‒ | ‒ | ‒ | 1.4 | Student community | Both | 6–18 | Local | 2016–2017 | Overall | Ziaoddini et al., 2019* |
Kermanshah | Kermanshah | ‒ | ‒ | ‒ | ‒ | ‒ | ‒ | ‒ | ‒ | 1.3 | Student community | Both | 6–18 | Local | 2016–2017 | Overall | Ziaoddini et al., 2019* |
Bojnurd | North Khorasan | ‒ | ‒ | ‒ | ‒ | ‒ | ‒ | ‒ | ‒ | 3.1 | Student community | Both | 6–18 | Local | 2016–2017 | Overall | Ziaoddini et al., 2019* |
Mashhad | Razavi Khorasan | ‒ | ‒ | ‒ | ‒ | ‒ | ‒ | ‒ | ‒ | 4.0 | Student community | Both | 6–18 | Local | 2016–2017 | Overall | Ziaoddini et al., 2019* |
Birjand | South Khorasan | ‒ | ‒ | ‒ | ‒ | ‒ | ‒ | ‒ | ‒ | 0.7 | Student community | Both | 6–18 | Local | 2016–2017 | Overall | Ziaoddini et al., 2019* |
Ahvaz | Khuzestan | ‒ | ‒ | ‒ | ‒ | ‒ | ‒ | ‒ | ‒ | 5.2 | Student community | Both | 6–18 | Local | 2016–2017 | Overall | Ziaoddini et al., 2019* |
Yasuj | Kohgiluyeh and Boyer-Ahmad | ‒ | ‒ | ‒ | ‒ | ‒ | ‒ | ‒ | ‒ | 2.7 | Student community | Both | 6–18 | Local | 2016–2017 | Overall | Ziaoddini et al., 2019* |
Sanandaj | Kurdistan | ‒ | ‒ | ‒ | ‒ | ‒ | ‒ | ‒ | ‒ | 0.22 | Student community | Both | 6–18 | Local | 2016–2017 | Overall | Ziaoddini et al., 2019* |
Khorramabad | Lorestan | ‒ | ‒ | ‒ | ‒ | ‒ | ‒ | ‒ | ‒ | 1.5 | Student community | Both | 6–18 | Local | 2016–2017 | Overall | Ziaoddini et al., 2019* |
Arak | Markazi | ‒ | ‒ | ‒ | ‒ | ‒ | ‒ | ‒ | ‒ | 0.84 | Student community | Both | 6–18 | Local | 2016–2017 | Overall | Ziaoddini et al., 2019* |
Sari | Mazandaran | ‒ | ‒ | ‒ | ‒ | ‒ | ‒ | ‒ | ‒ | 1.7 | Student community | Both | 6–18 | Local | 2016–2017 | Overall | Ziaoddini et al., 2019* |
Qazvin | Qazvin | ‒ | ‒ | ‒ | ‒ | ‒ | ‒ | ‒ | ‒ | 1.9 | Student community | Both | 6–18 | Local | 2016–2017 | Overall | Ziaoddini et al., 2019* |
Qom | Qom | ‒ | ‒ | ‒ | ‒ | ‒ | ‒ | ‒ | ‒ | 2.2 | Student community | Both | 6–18 | Local | 2016–2017 | Overall | Ziaoddini et al., 2019* |
Semnan | Semnan | ‒ | ‒ | ‒ | ‒ | ‒ | ‒ | ‒ | ‒ | 2.8 | Student community | Both | 6–18 | Local | 2016–2017 | Overall | Ziaoddini et al., 2019* |
Zahedan | Sistan and Baluchestan | ‒ | ‒ | ‒ | ‒ | ‒ | ‒ | ‒ | ‒ | 4.3 | Student community | Both | 6–18 | Local | 2016–2017 | Overall | Ziaoddini et al., 2019* |
Tehran | Tehran | ‒ | ‒ | ‒ | ‒ | ‒ | ‒ | ‒ | ‒ | 1.7 | Student community | Both | 6–18 | Local | 2016–2017 | Overall | Ziaoddini et al., 2019* |
Yazd | Yazd | ‒ | ‒ | ‒ | ‒ | ‒ | ‒ | ‒ | ‒ | 2.3 | Student community | Both | 6–18 | Local | 2016–2017 | Overall | Ziaoddini et al., 2019* |
Zanjan | Zanjan | ‒ | ‒ | ‒ | ‒ | ‒ | ‒ | ‒ | ‒ | 0.61 | Student community | Both | 6–18 | Local | 2016–2017 | Overall | Ziaoddini et al., 2019* |
Karaj | Alborz | ‒ | ‒ | ‒ | ‒ | ‒ | ‒ | ‒ | ‒ | 2.8 | Student community | Both | 6–18 | Local | 2016–2017 | Overall | Ziaoddini et al., 2019* |
Ardabil | Ardabil | ‒ | ‒ | ‒ | ‒ | ‒ | ‒ | ‒ | ‒ | 6.1 | Student community | Both | 6–18 | Local | 2016–2017 | Overall | Ziaoddini et al., 2019* |
Tabriz | East Azerbaijan | ‒ | ‒ | ‒ | ‒ | ‒ | ‒ | ‒ | ‒ | 6.7 | Student community | Both | 6–18 | Local | 2016–2017 | Overall | Ziaoddini et al., 2019* |
Urmia | West Azerbaijan | ‒ | ‒ | ‒ | ‒ | ‒ | ‒ | ‒ | ‒ | 2.8 | Student community | Both | 6–18 | Local | 2016–2017 | Overall | Ziaoddini et al., 2019* |
Bushehr | Bushehr | ‒ | ‒ | ‒ | ‒ | ‒ | ‒ | ‒ | ‒ | 2.8 | Student community | Both | 6–18 | Local | 2016–2017 | Overall | Ziaoddini et al., 2019* |
Shahrekord | Chaharmahal and Bakhtiari | ‒ | ‒ | ‒ | ‒ | ‒ | ‒ | ‒ | ‒ | 0.59 | Student community | Both | 6–18 | Local | 2016–2017 | Overall | Ziaoddini et al., 2019* |
Shiraz | Fars | ‒ | ‒ | ‒ | ‒ | ‒ | ‒ | ‒ | ‒ | 1.5 | Student community | Both | 6–18 | Local | 2016–2017 | Overall | Ziaoddini et al., 2019* |
Rasht | Gilan | ‒ | ‒ | ‒ | ‒ | ‒ | ‒ | ‒ | ‒ | 2.1 | Student community | Both | 6–18 | Local | 2016–2017 | Overall | Ziaoddini et al., 2019* |
Gorgan | Golestan | ‒ | ‒ | ‒ | ‒ | ‒ | ‒ | ‒ | ‒ | 5.9 | Student community | Both | 6–18 | Local | 2016–2017 | Overall | Ziaoddini et al., 2019* |
Hamadan | Hamadan | ‒ | ‒ | ‒ | ‒ | ‒ | ‒ | ‒ | ‒ | 2.3 | Student community | Both | 6–18 | Local | 2016–2017 | Overall | Ziaoddini et al., 2019* |
Bandar Abbas | Hormozgan | ‒ | ‒ | ‒ | ‒ | ‒ | ‒ | ‒ | ‒ | 4.8 | Student community | Both | 6–18 | Local | 2016–2017 | Overall | Ziaoddini et al., 2019* |
Ilam | Ilam | ‒ | ‒ | ‒ | ‒ | ‒ | ‒ | ‒ | ‒ | 1.0 | Student community | Both | 6–18 | Local | 2016–2017 | Overall | Ziaoddini et al., 2019* |
Isfahan | Isfahan | ‒ | ‒ | ‒ | ‒ | ‒ | ‒ | ‒ | ‒ | 0.95 | Student community | Both | 6–18 | Local | 2016–2017 | Overall | Ziaoddini et al., 2019* |
Kerman | Kerman | ‒ | ‒ | ‒ | ‒ | ‒ | ‒ | ‒ | ‒ | 1.2 | Student community | Both | 6–18 | Local | 2016–2017 | Overall | Ziaoddini et al., 2019* |
Kermanshah | Kermanshah | ‒ | ‒ | ‒ | ‒ | ‒ | ‒ | ‒ | ‒ | 1.9 | Student community | Both | 6–18 | Local | 2016–2017 | Overall | Ziaoddini et al., 2019* |
Bojnurd | North Khorasan | ‒ | ‒ | ‒ | ‒ | ‒ | ‒ | ‒ | ‒ | 5.4 | Student community | Both | 6–18 | Local | 2016–2017 | Overall | Ziaoddini et al., 2019* |
Mashhad | Razavi Khorasan | ‒ | ‒ | ‒ | ‒ | ‒ | ‒ | ‒ | ‒ | 5.2 | Student community | Both | 6–18 | Local | 2016–2017 | Overall | Ziaoddini et al., 2019* |
Birjand | South Khorasan | ‒ | ‒ | ‒ | ‒ | ‒ | ‒ | ‒ | ‒ | 2.6 | Student community | Both | 6–18 | Local | 2016–2017 | Overall | Ziaoddini et al., 2019* |
Ahvaz | Khuzestan | ‒ | ‒ | ‒ | ‒ | ‒ | ‒ | ‒ | ‒ | 7.9 | Student community | Both | 6–18 | Local | 2016–2017 | Overall | Ziaoddini et al., 2019* |
Yasuj | Kohgiluyeh and Boyer-Ahmad | ‒ | ‒ | ‒ | ‒ | ‒ | ‒ | ‒ | ‒ | 2.0 | Student community | Both | 6–18 | Local | 2016–2017 | Overall | Ziaoddini et al., 2019* |
Sanandaj | Kurdistan | ‒ | ‒ | ‒ | ‒ | ‒ | ‒ | ‒ | ‒ | 0.24 | Student community | Both | 6–18 | Local | 2016–2017 | Overall | Ziaoddini et al., 2019* |
Khorramabad | Lorestan | ‒ | ‒ | ‒ | ‒ | ‒ | ‒ | ‒ | ‒ | 1.1 | Student community | Both | 6–18 | Local | 2016–2017 | Overall | Ziaoddini et al., 2019* |
Arak | Markazi | ‒ | ‒ | ‒ | ‒ | ‒ | ‒ | ‒ | ‒ | 1.8 | Student community | Both | 6–18 | Local | 2016–2017 | Overall | Ziaoddini et al., 2019* |
Sari | Mazandaran | ‒ | ‒ | ‒ | ‒ | ‒ | ‒ | ‒ | ‒ | 2.8 | Student community | Both | 6–18 | Local | 2016–2017 | Overall | Ziaoddini et al., 2019* |
Qazvin | Qazvin | ‒ | ‒ | ‒ | ‒ | ‒ | ‒ | ‒ | ‒ | 3.3 | Student community | Both | 6–18 | Local | 2016–2017 | Overall | Ziaoddini et al., 2019* |
Qom | Qom | ‒ | ‒ | ‒ | ‒ | ‒ | ‒ | ‒ | ‒ | 2.4 | Student community | Both | 6–18 | Local | 2016–2017 | Overall | Ziaoddini et al., 2019* |
Semnan | Semnan | ‒ | ‒ | ‒ | ‒ | ‒ | ‒ | ‒ | ‒ | 5.2 | Student community | Both | 6–18 | Local | 2016–2017 | Overall | Ziaoddini et al., 2019* |
Zahedan | Sistan and Baluchestan | ‒ | ‒ | ‒ | ‒ | ‒ | ‒ | ‒ | ‒ | 2.6 | Student community | Both | 6–18 | Local | 2016–2017 | Overall | Ziaoddini et al., 2019* |
Tehran | Tehran | ‒ | ‒ | ‒ | ‒ | ‒ | ‒ | ‒ | ‒ | 7.8 | Student community | Both | 6–18 | Local | 2016–2017 | Overall | Ziaoddini et al., 2019* |
Yazd | Yazd | ‒ | ‒ | ‒ | ‒ | ‒ | ‒ | ‒ | ‒ | 1.9 | Student community | Both | 6–18 | Local | 2016–2017 | Overall | Ziaoddini et al., 2019* |
Zanjan | Zanjan | ‒ | ‒ | ‒ | ‒ | ‒ | ‒ | ‒ | ‒ | 0.58 | Student community | Both | 6–18 | Local | 2016–2017 | Overall | Ziaoddini et al., 2019* |
Hamadan | Hamadan | 130 | ‒ | ‒ | 7 | ‒ | ‒ | 5.4 | ‒ | ‒ | Central prison | Males | 21–29 | Local | Oct–Mar 2013 | Randomly | Nazari et al., 2015* |
Mashhad | Razavi Khorasan | ‒ | ‒ | ‒ | ‒ | ‒ | 305 | ‒ | ‒ | 8.2 | Community | Both | 18–30 | Local | Oct–Dec 2017 | Overall | Jarahi et al., 2017* |
Hamadan | Hamadan | 135 | ‒ | ‒ | 8 | ‒ | ‒ | 5.9 | ‒ | ‒ | Central prison | Males | 30–39 | Local | Oct–Mar 2013 | Randomly | Nazari et al., 2015* |
Mashhad | Razavi Khorasan | ‒ | ‒ | ‒ | ‒ | ‒ | 518 | ‒ | ‒ | 13.9 | Community | Both | 30–60 | Local | Oct–Dec 2017 | Overall | Jarahi et al., 2017* |
Hamadan | Hamadan | 116 | ‒ | ‒ | 5 | ‒ | ‒ | 4.3 | ‒ | ‒ | Central prison | Males | ≥ 40 | Local | Oct–Mar 2013 | Randomly | Nazari et al., 2015* |
Mashhad | Razavi Khorasan | ‒ | ‒ | ‒ | ‒ | ‒ | 9 | ‒ | ‒ | 0.2 | Community | Both | > 60 | Local | Oct–Dec 2017 | Overall | Jarahi et al., 2017* |
Notes. E ‒ examined, I ‒ infested. *Cited in Nasirian, Ahmadi, 2024.
Table 5. The impact of family size on P. capitis infestation levels in primary school students, based on a literature search
Counties | Provinces | FS (IN) | Sampling | References | |||||||||||||||||||
E | I | I (%) | Schools | Students | Gender | Location | Date | Selection | |||||||||||||||
Ⅲ | Ⅳ | Ⅴ | Ⅵ | ≥ 7 | Ⅲ | Ⅳ | Ⅴ | Ⅵ | ≥ 7 | Ⅲ | Ⅳ | Ⅴ | Ⅵ | ≥ 7 | |||||||||
Ilam | Ilam | 149 | 149 | 149 | 412 | 412 | 3 | 3 | 3 | 22 | 22 | 22.6 | 22.6 | 22.6 | 62.6 | 62.6 | 6 | 658 | Both | Local | Mar 97–Apr 98 | Randomly | Gholamiparizad, Abedzadah, 2001** |
Kerman | Kerman | 690 | 690 | 480 | 480 | 30 | 18 | 18 | 23 | 23 | 4 | 2.6 | 2.6 | 4.8 | 4.8 | 13.3 | 50 | 1200 | Both | Local | Apr–Jun 2003 | Randomly | Kamiabi, Nakhaei, 2005** |
Amlash | Gilan | 379 | 1425 | 967 | 610 | 820 | 12 | 52 | 82 | 78 | 167 | 3.2 | 3.6 | 8.5 | 12.8 | 20.4 | 95 | 4244 | Both | Local | 2003–2004 | Overall | Rafinejad et al., 2006** |
Kerman | Kerman | 15913 | 15913 | 20602 | 20602 | 4071 | 109 | 109 | 469 | 469 | 143 | 0.68 | 0.68 | 2.3 | 2.3 | 3.5 | 198 | 40586 | Both | Local | Mar–Jun 2006 | Overall | MotovaliEmami et al., 2008** |
Ravansar | Kermanshah | 218 | 218 | 122 | 122 | 45 | 31 | 31 | 17 | 17 | 13 | 14.2 | 14.2 | 13.9 | 13.9 | 28.9 | 6 | 385 | Females | Local | ‒ | Overall | Sayyadi et al., 2013** |
Azadshahr | Golestan | 226 | 260 | 192 | 265 | 285 | 1 | 25 | 18 | 4 | 5 | 0.44 | 9.6 | 9.4 | 1.5 | 1.8 | ‒ | 1510 | Females | Local | 2012–2013 | Overall | Motevalli Haghi et al., 2014a** |
Sari | Mazandaran | 1017 | 2543 | 881 | 169 | 34 | 20 | 38 | 15 | 3 | 1 | 2.0 | 1.5 | 1.7 | 1.8 | 2.9 | ‒ | 4712 | Both | Local | 2012–2013 | Randomly | Motevalli Haghi et al., 2014b** |
Bayengan | Kermanshah | 221 | 221 | 129 | 129 | 34 | 29 | 29 | 17 | 17 | 8 | 13.1 | 13.1 | 13.2 | 13.2 | 23.5 | 4 | 384 | Both | Local | ‒ | Randomly | Sayyadi et al., 2014** |
Galugah | Mazandaran | 62 | 143 | 65 | 30 | 30 | 4 | 9 | 2 | 2 | 2 | 6.5 | 6.3 | 3.1 | 6.7 | 6.7 | 16 | 300 | Both | Local | 2009–2010 | Randomly | Kassiri, Esteghali, 2016** |
Khorramshahr | Khuzestan | ‒ | ‒ | ‒ | ‒ | ‒ | ‒ | ‒ | ‒ | ‒ | ‒ | ‒ | 3.0 | 6.7 | 9.4 | 10.0 | 10 | 750 | Both | Local | 2008–2009 | Randomly | Kassiri, Gatifi, 2016** |
Kalaleh | Golestan | 189 | 180 | 126 | 126 | 126 | 9 | 9 | 15 | 15 | 15 | 4.8 | 5.0 | 11.9 | 11.9 | 11.9 | 4 | 541 | Both | Local | Oct–Dec 2015 | Randomly | Maleky et al., 2016** |
Asadabad | Hamadan | 553 | 47 | 47 | ‒ | ‒ | 10 | 4 | 4 | ‒ | ‒ | 1.8 | 8.5 | 8.5 | ‒ | ‒ | 16 | 600 | Both | Local | 2013–2014 | Randomly | Nazari et al., 2016a** |
Sirik | Hormozgan | 25 | 176 | 176 | 91 | 66 | ‒ | ‒ | ‒ | ‒ | ‒ | 56.0 | 50.0 | 50.0 | 57.1 | 71.2 | ‒ | 358 | Females | Local | Nov 2015– Feb 2016 | Randomly | Sanei-Dehkordi et al., 2017 ** |
Meshginshahr | Ardabil | 1266 | 1266 | 545 | 545 | 139 | 56 | 56 | 111 | 111 | 33 | 2.9 | 2.9 | 5.7 | 5.7 | 1.7 | 20 | 1950 | Both | Local | 2015–2016 | Randomly | Abbasgholizadeh et al., 2018 ** |
Meshginshahr | Ardabil | 1266 | 1266 | 545 | 545 | 139 | 56 | 56 | 111 | 111 | 33 | 4.4 | 4.4 | 20.4 | 20.4 | 23.7 | 20 | 1950 | Both | Local | Oct 2015–Jun 2016 | Randomly | Moradiasl et al., 2018 ** |
Meybod | Yazd | 251 | 251 | 151 | 151 | 151 | 35 | 35 | 24 | 24 | 24 | 13.9 | 13.9 | 15.9 | 15.9 | 15.9 | 4 | 402 | Females | Local | 2015–2016 | Randomly | Morovati Sharif Abadi et al., 2018 ** |
Andimeshk, Dezful and Shush | Khuzestan | 4102 | 9110 | 7043 | 8155 | 8155 | 331 | 966 | 723 | 975 | 975 | 8.1 | 10.6 | 10.3 | 12.0 | 12.0 | 280 | 28410 | Both | Local | Feb–Jun 2016 | Randomly | Nejati et al., 2018 ** |
Qom | Qom | 201 | 505 | 741 | 278 | 278 | 24 | 63 | 93 | 49 | 49 | 11.9 | 12.5 | 12.6 | 17.6 | 17.6 | 75 | 1725 | Females | Local | Mar 2015–Mar 2017 | Randomly | Saghafipour et al., 2018 ** |
Badrud | Isfahan | 307 | 469 | 819 | ‒ | ‒ | 20 | 39 | 66 | ‒ | ‒ | 1.3 | 2.4 | 4.1 | ‒ | ‒ | ‒ | 1595 | Both | Local | 2017–2018 | Overall | Dehghani et al., 2019 ** |
Tonekabon | Rasht | 381 | 823 | 191 | 34 | 24 | 56 | 158 | 59 | 9 | 8 | 14.7 | 19.2 | 30.9 | 26.5 | 33.3 | ‒ | 1466 | Females | Local | 2017–2018 | Randomly | Heidarpour et al., 2019 ** |
Mashhad | Razavi Khorasan | 349 | 1306 | 852 | 324 | 206 | 63 | 174 | 101 | 46 | 27 | 18.1 | 13.3 | 11.9 | 14.2 | 13.1 | ‒ | 3062 | Females | Local | 2017–2018 | Randomly | Mohammadi et al., 2019 ** |
Karun | Khuzestan | 80 | 257 | 222 | 101 | 91 | 26 | 67 | 54 | 41 | 29 | 32.5 | 26.1 | 24.3 | 40.6 | 31.9 | ‒ | 751 | Both | Local | 2017 | Randomly | Kassiri et al., 2020b ** |
Semnan | Semnan | 557 | 557 | 148 | 62 | 62 | 32 | 32 | 5 | 3 | 3 | 5.7 | 5.7 | 3.4 | 4.8 | 4.8 | 8 | 767 | Both | Local | Mar 2018–May 2018 | Randomly | Shirzadi et al., 2020 ** |
Ahvaz | Khuzestan | 653 | 2148 | 1839 | 773 | 422 | 139 | 509 | 501 | 247 | 126 | 21.3 | 23.7 | 27.2 | 32.0 | 29.9 | ‒ | 5930 | Both | Local | Jan 2016–Jun 2017 | Randomly | Kassiri, Mehraghaei, 2021 ** |
Tabriz | East Azerbaijan | 1464 | 1350 | 182 | ‒ | ‒ | 43 | 69 | 17 | ‒ | ‒ | 2.9 | 5.1 | 9.3 | ‒ | ‒ | 33 | 3032 | Both | Local | Jan–Mar 2018 | Randomly | Norouzi et al., 2021 ** |
Gilan-e Gharb | Kermanshah | 599 | 1341 | 472 | 103 | 103 | 4 | 16 | 26 | 18 | 18 | 0.67 | 1.2 | 5.5 | 17.5 | 17.5 | ‒ | 2515 | Both | Local | 2018 | Overall | Zahirnia et al., 2021 ** |
Paveh | Kermanshah | 94 | 163 | 90 | 11 | 3 | 6 | 11 | 7 | 2 | 0 | 6.4 | 6.7 | 7.8 | 18.2 | 0 | 11 | 361 | Both | Local | Oct–Dec 2018 | Overall | Bekri, Shaghaghi, 2022 |
Marivan | Kurdistan | ‒ | ‒ | 367 | 78 | 5 | ‒ | ‒ | 82 | 25 | 0 | ‒ | ‒ | 22.3 | 32.1 | 0 | ‒ | 457 | Both | Local | 2018–2019 | Randomly | Rad et al., 2022 |
Notes. E ‒ examined, FS ‒ family size, I ‒ infested, IN ‒ individuals. **Cited in Nasirian, 2023b.
Table 6. The impact of father’s and mother’s education and bathing and hair washing frequency on P. capitis infestation level in primary school students, based on a literature search
Counties | Provinces | E | I | I (%) | Sampling | References | ||||||||||||||
IL | PS | SS | UE | IL | PS | SS | UE | IL | PS | SE | UE | Schools | Students | Gender | Location | Date | Selection | |||
Fatherʼs education level | ||||||||||||||||||||
Kashan | Isfahan | 279 | 279 | 1707 | ‒ | 11 | 11 | 6 | ‒ | 3.9 | 3.9 | 0.35 | ‒ | 8 | 1986 | Males | Local | 1997 | Randomly | Dehghani et al., 1999** |
Sari | Mazandaran | ‒ | ‒ | ‒ | ‒ | 65 | 56 | 77 | 17 | 30.2 | 26.0 | 17.9 | 7.9 | 58 | 10991 | Both | Local | 1997–1998 | Randomly | Motevalli Haghi et al., 1999** |
Ilam | Ilam | 247 | 206 | 182 | 23 | 24 | 9 | 3 | 0 | 10.1 | 4.6 | 1.6 | 0 | 6 | 658 | Both | Local | Mar 97–Apr 98 | Randomly | Gholamiparizad, Abedzadah, 2001** |
Sanandaj | Kurdistan | 394 | 460 | 162 | 179 | 117 | 94 | 17 | 7 | 29.6 | 20.4 | 10.4 | 3.9 | 18 | 1195 | Both | Local | ‒ | Randomly | Davari, Yaghmaei, 2005** |
Kerman | Kerman | 105 | 324 | 540 | 165 | 12 | 14 | 16 | 0 | 11.4 | 4.3 | 3.0 | 0 | 50 | 1200 | Both | Local | Apr–Jun 2003 | Randomly | Kamiabi, Nakhaei, 2005** |
Rasht | Gilan | 423 | 680 | 1352 | 294 | 35 | 36 | 52 | 6 | 8.3 | 5.3 | 3.8 | 2.0 | ‒ | 2893 | Both | Local | 2002–2003 | Randomly | Pourbaba et al., 2005** |
Amlash | Gilan | 991 | 2353 | 851 | 851 | 254 | 119 | 13 | 13 | 25.6 | 5.1 | 1.5 | 1.5 | 95 | 4244 | Both | Local | 2003–2004 | Overall | Rafinejad et al., 2006** |
Sanandaj | Kurdistan | 84 | 194 | 243 | 59 | 9 | 14 | 18 | 3 | 10.7 | 7.2 | 7.4 | 5.1 | ‒ | 600 | Females | Local | 2005 | Randomly | Yaghmaei et al., 2007** |
Kerman | Kerman | ‒ | 10949 | 20915 | 7901 | ‒ | 254 | 275 | 180 | ‒ | 2.3 | 1.3 | 2.3 | 198 | 40586 | Both | Local | Mar–Jun 2006 | Overall | Motovali-Emami et al., 2008** |
Bahar | Hamadan | ‒ | 482 | 282 | 136 | ‒ | 10 | 2 | 0 | ‒ | 2.1 | 0.71 | 0 | 18 | 900 | Both | Local | Feb–Jun 2008 | Randomly | Moradi et al., 2009** |
Ahvaz | Khuzestan | 90 | 168 | 412 | 140 | 20 | 17 | 43 | 9 | 22.2 | 10.1 | 10.4 | 6.4 | ‒ | 810 | Females | Local | Apr–Jun 2006 | Randomly | Rafie et al., 2009** |
Bahar | Hamadan | ‒ | ‒ | ‒ | ‒ | ‒ | 653 | 492 | 72 | ‒ | 53.7 | 20.2 | 5.9 | ‒ | 17722 | Both | Local | Oct–Dec 2011 | Overall | Moradi et al., 2012** |
Sanandaj | Kurdistan | 110 | 406 | 294 | 294 | 7 | 26 | 5 | 5 | 6.4 | 6.4 | 1.7 | 1.7 | 27 | 810 | Females | Local | ‒ | Randomly | Vahabi et al., 2012** |
Ravansar | Kermanshah | 45 | 128 | 150 | 62 | 10 | 23 | 20 | 8 | 22.2 | 18.0 | 13.3 | 12.9 | 6 | 385 | Females | Local | ‒ | Overall | Sayyadi et al., 2013** |
Paveh | Kermanshah | 97 | 366 | 287 | 287 | 16 | 28 | 16 | 16 | 16.5 | 7.7 | 5.6 | 5.6 | 25 | 750 | Females | Local | 2009–2010 | Randomly | Vahabi et al., 2013** |
Aran va Bidgol | Isfahan | ‒ | ‒ | ‒ | ‒ | ‒ | ‒ | ‒ | ‒ | ‒ | ‒ | ‒ | ‒ | 19 | 3589 | Both | Local | Oct–Dec 2008 | Randomly | Doroodgar et al., 2014a** |
Sari | Mazandaran | 136 | 3356 | 1220 | 1220 | 4 | 60 | 14 | 14 | 2.9 | 1.8 | 1.1 | 1.1 | ‒ | 4712 | Both | Local | 2012–2013 | Randomly | Motevalli Haghi et al., 2014b** |
Bayengan | Kermanshah | 44 | 124 | 162 | 54 | 9 | 24 | 16 | 5 | 20.5 | 19.4 | 9.9 | 9.3 | 4 | 384 | Both | Local | ‒ | Randomly | Sayyadi et al., 2014** |
Sarab | East Azerbaijan | 25 | 356 | 187 | 93 | ‒ | ‒ | ‒ | ‒ | 12.0 | 7.9 | 3.2 | 0 | 40 | 661 | Both | Local | Aug 2013–Mar 2014 | Randomly | Dehghanzadeh et al., 2015** |
Bonab | East Azerbaijan | 96 | 2686 | 973 | 973 | 9 | 87 | 10 | 10 | 9.4 | 3.2 | 1.0 | 1.0 | ‒ | 3757 | Females | Local | 2013–2014 | Overall | Kabiri et al., 2015** |
Bojnurd | North Khorasan | 76 | 333 | 699 | 345 | 9 | 44 | 47 | 9 | 11.8 | 13.2 | 6.7 | 2.6 | 75 | 1475 | Both | Local | Jan–Mar 2013 | Randomly | Rajabzade et al., 2015** |
Savojbolagh | Alborz | ‒ | 238 | 238 | 238 | ‒ | 175 | 45 | 18 | ‒ | 73.5 | 19.0 | 7.5 | ‒ | 12782 | Both | Local | Sep–Dec 2013 | Overall | Bahrami et al., 2016** |
Kalaleh | Golestan | 94 | 234 | 119 | 94 | 9 | 10 | 9 | 7 | 9.6 | 4.3 | 7.6 | 7.4 | 4 | 541 | Both | Local | Oct–Dec 2015 | Randomly | Maleky et al., 2016** |
Paveh | Kermanshah | 62 | 153 | 189 | 81 | 18 | 31 | 30 | 6 | 29.0 | 20.3 | 15.9 | 7.4 | 5 | 485 | Females | Local | ‒ | Overall | Sayyad et al., 2016** |
Sirik | Hormozgan | 59 | 128 | 121 | ‒ | ‒ | ‒ | ‒ | ‒ | 82.4 | 58.7 | 21.0 | ‒ | ‒ | 358 | Females | Local | Nov 2015– Feb 2016 | Randomly | Sanei-Dehkordi et al., 2017** |
Meshginshahr | Ardabil | ‒ | 869 | 733 | 348 | ‒ | 146 | 42 | 12 | ‒ | 7.5 | 2.1 | 0.62 | 20 | 1950 | Both | Local | 2015–2016 | Randomly | Abbasgholizadeh et al., 2018** |
Meshginshahr | Ardabil | ‒ | 869 | 733 | 348 | ‒ | 146 | 42 | 12 | ‒ | 16.8 | 5.7 | 3.4 | 20 | 1950 | Both | Local | Oct 2015–Jun 2016 | Randomly | Moradiasl et al., 2018** |
Meybod | Yazd | 99 | 99 | 210 | 93 | 24 | 24 | 28 | 7 | 24.2 | 24.2 | 13.3 | 7.5 | 4 | 402 | Females | Local | 2015–2016 | Randomly | Morovati Sharif Abadi et al., 2018** |
Qom | Qom | 172 | 906 | ‒ | 647 | 44 | 140 | ‒ | 45 | 25.6 | 15.5 | ‒ | 7.0 | 75 | 1725 | Females | Local | Mar 2015–Mar 2017 | Randomly | Saghafipour et al., 2018** |
Tonekabon | Mazandaran | 15 | 253 | 435 | 761 | ‒ | ‒ | ‒ | ‒ | 33.3 | 35.2 | 19.8 | 14.6 | ‒ | 1466 | Females | Local | 2017–2018 | Randomly | Heidarpour et al., 2019** |
Mashhad | Razavi Khorasan | 287 | 1871 | 744 | 160 | 48 | 273 | 79 | 17 | 16.7 | 14.6 | 10.6 | 10.6 | ‒ | 2645 | Females | Local | 2017–2018 | Randomly | Mohammadi et al., 2019** |
Karun | Khuzestan | 131 | 334 | 186 | 88 | 39 | 118 | 41 | 18 | 29.8 | 35.3 | 22.0 | 20.5 | ‒ | 751 | Both | Local | 2017 | Randomly | Kassiri et al., 2020b** |
Birjand | South Khorasan | 107 | 486 | 1114 | 685 | 23 | 72 | 170 | 62 | 21.5 | 14.8 | 15.3 | 9.1 | 19 | 2417 | Females | Local | 2017 | Randomly | Lashkari et al., 2020** |
Semnan | Semnan | 69 | 63 | 245 | 390 | 11 | 5 | 12 | 12 | 15.9 | 7.9 | 4.9 | 3.1 | 8 | 767 | Both | Local | Mar 2018–May 2018 | Randomly | Shirzadi et al., 2020** |
Khorramabad | Lorestan | ‒ | 233 | 1282 | 1238 | ‒ | 14 | 68 | 40 | ‒ | 6.0 | 5.3 | 3.2 | ‒ | 3890 | Both | Local | 2018–2019 | Randomly | Galehdar et al., 2021 |
Ahvaz | Khuzestan | 2356 | 1577 | 1311 | 480 | 769 | 336 | 254 | 143 | 32.6 | 21.3 | 19.4 | 29.8 | ‒ | 5930 | Both | Local | Jan 2016–Jun 2017 | Randomly | Kassiri, Mehraghaei, 2021** |
Tabriz | East Azerbaijan | ‒ | 42 | 1857 | 1133 | ‒ | 2 | 74 | 54 | ‒ | 4.8 | 4.0 | 4.8 | 33 | 3032 | Both | Local | Jan–Mar 2018 | Randomly | Norouzi et al., 2021** |
Gilan-e Gharb | Kermanshah | 193 | 410 | 1169 | 743 | 20 | 17 | 23 | 5 | 10.4 | 4.1 | 2.0 | 0.67 | ‒ | 2515 | Both | Local | 2018 | Overall | Zahirnia et al., 2021** |
Paveh | Kermanshah | 4 | 29 | 216 | 112 | 1 | 2 | 17 | 6 | 25.0 | 6.9 | 7.9 | 5.4 | 11 | 361 | Both | Local | Oct–Dec 2018 | Overall | Bekri, Shaghaghi, 2022 |
Gahavand | Hamadan | ‒ | 88 | 301 | 110 | ‒ | 23 | 53 | 13 | ‒ | 26.1 | 17.6 | 11.8 | ‒ | 499 | Females | Local | 2020 | Overall | Hajiloie et al., 2022** |
Marivan | Kurdistan | 47 | 121 | 214 | 72 | 17 | 28 | 50 | 12 | 36.2 | 23.1 | 23.4 | 16.7 | ‒ | 457 | Both | Local | 2018–2019 | Randomly | Rad et al., 2022 |
Varzaqan | East Azerbaijan | 10 | 87 | 387 | 16 | 1 | 8 | 31 | 1 | 10.0 | 9.2 | 8.0 | 6.3 | 26 | 400 | Both | Local | Dec 2019–Jan 2020 | Randomly | Sepehri, Jafari, 2022 |
Gotvand | Khuzestan | ‒ | ‒ | ‒ | ‒ | 4 | 83 | 125 | 92 | 1.3 | 27.3 | 41.1 | 30.3 | ‒ | 304 | Females | Local | ‒ | Randomly | Zahirnia et al., 2024 |
Motherʼs education level | ||||||||||||||||||||
Kashan | Isfahan | 332 | 332 | 1654 | 12 | 12 | 5 | 3.6 | 3.6 | 0.3 | 8 | 1986 | Males | Local | 1997 | Randomly | Dehghani et al., 1999** | |||
Sari | Mazandaran | ‒ | ‒ | ‒ | ‒ | 82 | 43 | 71 | 19 | 38.1 | 20.0 | 16.5 | 8.8 | 58 | 10991 | Both | Local | 1997–1998 | Randomly | Motevalli Haghi et al., 1999** |
Ilam | Ilam | 336 | 213 | 101 | 8 | 26 | 8 | 2 | 0 | 7.8 | 3.8 | 2.0 | 0 | 6 | 658 | Both | Local | Mar 97–Apr 98 | Randomly | Gholamiparizad, Abedzadah, 2001** |
Sanandaj | Kurdistan | 653 | 352 | 87 | 103 | 183 | 47 | 4 | 1 | 28.0 | 13.0 | 5.0 | 0.9 | 18 | 1195 | Both | Local | ‒ | Randomly | Davari, Yaghmaei, 2005** |
Kerman | Kerman | 126 | 345 | 573 | 106 | 9 | 23 | 9 | 0 | 7.1 | 6.7 | 1.6 | 0 | 50 | 1200 | Both | Local | Apr–Jun 2003 | Randomly | Kamiabi, Nakhaei, 2005** |
Rasht | Gilan | 882 | 829 | 1004 | 140 | 70 | 23 | 33 | 3 | 7.9 | 2.8 | 3.3 | 2.1 | ‒ | 2893 | Both | Local | 2002–2003 | Randomly | Pourbaba et al., 2005** |
Amlash | Gilan | 1562 | 2102 | 558 | 558 | 300 | 85 | 3 | 3 | 19.2 | 4.0 | 0.54 | 0.54 | 95 | 4244 | Both | Local | 2003–2004 | Overall | Rafinejad et al., 2006** |
Sanandaj | Kurdistan | 146 | 203 | 85 | 121 | 19 | 14 | 4 | 8 | 13.0 | 6.9 | 4.7 | 6.6 | ‒ | 600 | Females | Local | 2005 | Randomly | Yaghmaei et al., 2007** |
Kerman | Kerman | ‒ | 21159 | 15041 | 4129 | ‒ | 493 | 218 | 8 | ‒ | 2.3 | 1.4 | 0.19 | 198 | 40586 | Both | Local | Mar–Jun 2006 | Overall | Motovali-Emami et al., 2008** |
Bahar | Hamadan | ‒ | 741 | 146 | 13 | ‒ | 11 | 1 | 0 | ‒ | 1.5 | 0.68 | 0 | 18 | 900 | Both | Local | Feb–Jun 2008 | Randomly | Moradi et al., 2009** |
Ahvaz | Khuzestan | 156 | 227 | 331 | 86 | 34 | 25 | 22 | 8 | 21.8 | 11.0 | 6.6 | 9.3 | ‒ | 810 | Females | Local | Apr–Jun 2006 | Randomly | Rafie et al., 2009** |
Bahar | Hamadan | ‒ | ‒ | ‒ | ‒ | ‒ | 747 | 453 | 17 | ‒ | 61.4 | 37.2 | 1.4 | ‒ | 17722 | Both | Local | Oct–Dec 2011 | Overall | Moradi et al., 2012** |
Sanandaj | Kurdistan | 185 | 446 | 179 | 179 | 14 | 22 | 2 | 2 | 7.6 | 4.9 | 1.1 | 1.1 | 27 | 810 | Females | Local | ‒ | Randomly | Vahabi et al., 2012** |
Ravansar | Kermanshah | 94 | 143 | 44 | 104 | 35 | 14 | 3 | 7 | 37.2 | 9.8 | 6.8 | 6.7 | 6 | 385 | Females | Local | ‒ | Overall | Sayyadi et al., 2013** |
Paveh | Kermanshah | 167 | 417 | 166 | 166 | 23 | 31 | 6 | 6 | 13.8 | 7.4 | 3.6 | 3.6 | 25 | 750 | Females | Local | 2009–2010 | Randomly | Vahabi et al., 2013** |
Aran va Bidgol | Isfahan | 388 | 1690 | 528 | 983 | 5 | 10 | 0 | 2 | 1.3 | 0.6 | 0 | 0.2 | 19 | 3589 | Both | Local | Oct–Dec 2008 | Randomly | Doroodgar et al., 2014a** |
Sari | Mazandaran | 237 | 3390 | 1085 | 1085 | 5 | 54 | 19 | 19 | 2.1 | 1.6 | 1.8 | 1.8 | ‒ | 4712 | Both | Local | 2012–2013 | Randomly | Motevalli Haghi et al., 2014b** |
Bayengan | Kermanshah | 84 | 153 | 125 | 22 | 20 | 24 | 9 | 1 | 23.8 | 15.7 | 7.2 | 4.5 | 4 | 384 | Both | Local | ‒ | Randomly | Sayyadi et al., 2014** |
Sarab | East Azerbaijan | 55 | 364 | 180 | 62 | ‒ | ‒ | ‒ | ‒ | 21.8 | 6.0 | 1.7 | 0 | 40 | 661 | Both | Local | Aug 2013–Mar 2014 | Randomly | Dehghanzadeh et al., 2015** |
Bonab | East Azerbaijan | 108 | 2774 | 875 | 875 | 16 | 78 | 12 | 12 | 14.8 | 2.8 | 1.4 | 1.4 | ‒ | 3757 | Females | Local | 2013–2014 | Overall | Kabiri et al., 2015** |
Bojnurd | North Khorasan | 168 | 398 | 614 | 295 | 29 | 43 | 35 | 7 | 17.3 | 10.8 | 5.7 | 2.4 | 75 | 1475 | Both | Local | Jan–Mar 2013 | Randomly | Rajabzade et al., 2015** |
Savojbolagh | Alborz | ‒ | 238 | 238 | 238 | ‒ | 190 | 35 | 13 | ‒ | 79.8 | 14.7 | 5.5 | ‒ | 12782 | Both | Local | Sep–Dec 2013 | Overall | Bahrami et al., 2016** |
Khorramshahr | Khuzestan | ‒ | ‒ | ‒ | ‒ | ‒ | ‒ | ‒ | ‒ | 3.1 | 2.0 | 1.7 | 1.3 | 10 | 750 | Both | Local | 2008–2009 | Randomly | Kassiri, Gatifi, 2016** |
Kalaleh | Golestan | 169 | 239 | 85 | 48 | 14 | 12 | 3 | 6 | 8.3 | 5.0 | 3.5 | 12.5 | 4 | 541 | Both | Local | Oct–Dec 2015 | Randomly | Maleky et al., 2016** |
Paveh | Kermanshah | 102 | 191 | 157 | 35 | 31 | 35 | 15 | 4 | 30.4 | 18.3 | 9.6 | 11.4 | 5 | 485 | Females | Local | ‒ | Overall | Sayyad et al., 2016** |
Sirik | Hormozgan | 57 | 171 | 99 | 31 | ‒ | ‒ | ‒ | ‒ | 73.7 | 64.9 | 40.4 | 25.8 | ‒ | 358 | Females | Local | Nov 2015– Feb 2016 | Randomly | Sanei-Dehkordi et al., 2017** |
Meshginshahr | Ardabil | ‒ | 855 | 792 | 303 | ‒ | 162 | 28 | 10 | ‒ | 8.3 | 1.4 | 0.52 | 20 | 1950 | Both | Local | 2015–2016 | Randomly | Abbasgholizadeh et al., 2018** |
Yazd | Yazd | ‒ | 237 | 169 | 237 | ‒ | 11 | 5 | 1 | ‒ | 4.6 | 3.0 | 0.4 | 30 | 650 | Both | Local | Oct–Mar 2013 | Randomly | Ebrahimzadeh Ardakani, Fayazi Bargin, 2018** |
Meshginshahr | Ardabil | ‒ | 855 | 792 | 303 | ‒ | 162 | 28 | 10 | ‒ | 18.9 | 3.5 | 3.3 | 20 | 1950 | Both | Local | Oct 2015–Jun 2016 | Randomly | Moradiasl et al., 2018** |
Meybod | Yazd | 113 | 113 | 206 | 83 | 29 | 29 | 22 | 8 | 25.7 | 25.7 | 10.7 | 9.6 | 4 | 402 | Females | Local | 2015–2016 | Randomly | Morovati Sharif Abadi et al., 2018** |
Qom | Qom | 210 | 1027 | ‒ | 488 | 51 | 149 | ‒ | 29 | 24.3 | 14.5 | ‒ | 5.9 | 75 | 1725 | Females | Local | Mar 2015–Mar 2017 | Randomly | Saghafipour et al., 2018** |
Tonekabon | Mazandaran | 26 | 231 | 395 | 814 | 17 | 69 | 73 | 133 | 65.4 | 29.9 | 18.5 | 16.3 | ‒ | 1466 | Females | Local | 2017–2018 | Randomly | Heidarpour et al., 2019** |
Mashhad | Razavi Khorasan | 299 | 1863 | 734 | 130 | 62 | 282 | 54 | 19 | 20.7 | 15.1 | 7.4 | 14.6 | ‒ | 2645 | Females | Local | 2017–2018 | Randomly | Mohammadi et al., 2019** |
Karun | Khuzestan | 185 | 383 | 141 | 35 | 55 | 121 | 36 | 3 | 29.7 | 31.6 | 25.5 | 8.6 | ‒ | 751 | Both | Local | 2017 | Randomly | Kassiri et al., 2020b** |
Birjand | South Khorasan | 124 | 699 | 748 | 574 | 27 | 112 | 135 | 53 | 21.8 | 16.0 | 18.0 | 9.2 | 19 | 2417 | Females | Local | 2017 | Randomly | Lashkari et al., 2020** |
Semnan | Semnan | 74 | 76 | 306 | 311 | 9 | 7 | 13 | 11 | 12.2 | 9.2 | 4.2 | 3.5 | 8 | 767 | Both | Local | Mar 2018–May 2018 | Randomly | Shirzadi et al., 2020** |
Khorramabad | Lorestan | ‒ | 229 | 1440 | 1337 | ‒ | 13 | 81 | 36 | ‒ | 5.7 | 5.6 | 2.7 | ‒ | 3890 | Both | Local | 2018–2019 | Randomly | Galehdar et al., 2021 |
Ahvaz | Khuzestan | 2860 | 1632 | 645 | 620 | 850 | 354 | 89 | 212 | 29.7 | 21.7 | 13.8 | 34.2 | ‒ | 5930 | Both | Local | Jan 2016–Jun 2017 | Randomly | Kassiri, Mehraghaei, 2021** |
Tabriz | East Azerbaijan | ‒ | 56 | 1855 | 1121 | ‒ | 2 | 83 | 45 | ‒ | 3.6 | 4.5 | 4.0 | 33 | 3032 | Both | Local | Jan–Mar 2018 | Randomly | Norouzi et al., 2021** |
Gilan-e Gharb | Kermanshah | 113 | 473 | 1372 | 557 | 22 | 17 | 23 | 2 | 19.5 | 3.6 | 1.7 | 0.36 | ‒ | 2515 | Both | Local | 2018 | Overall | Zahirnia et al., 2021** |
Paveh | Kermanshah | 5 | 57 | 234 | 65 | 1 | 4 | 20 | 1 | 20.0 | 7.0 | 8.5 | 1.5 | 11 | 361 | Both | Local | Oct–Dec 2018 | Overall | Bekri, Shaghaghi, 2022 |
Gahavand | Hamadan | ‒ | 97 | 242 | 160 | ‒ | 29 | 51 | 9 | ‒ | 29.9 | 21.1 | 5.6 | ‒ | 499 | Females | Local | 2020 | Overall | Hajiloie et al., 2022** |
Marivan | Kurdistan | 88 | 171 | 156 | 40 | 23 | 36 | 42 | 7 | 26.1 | 21.1 | 26.9 | 17.5 | ‒ | 457 | Both | Local | 2018–2019 | Randomly | Rad et al., 2022 |
Varzaqan | East Azerbaijan | 60 | 168 | 150 | 0 | 16 | 13 | 12 | 0 | 26.7 | 7.7 | 8.0 | 0 | 26 | 400 | Both | Local | Dec 2019–Jan 2020 | Randomly | Sepehri, Jafari, 2022 |
Gotvand | Khuzestan | ‒ | ‒ | ‒ | ‒ | 8 | 110 | 129 | 57 | 2.6 | 36.2 | 42.4 | 18.8 | ‒ | 304 | Females | Local | ‒ | Randomly | Zahirnia et al., 2024 |
Bathing frequency | E | I | I (%) | |||||||||||||||||
OTW | OW | TW | ≥ 3 | OTW | OW | TW | ≥ 3 | OTW | OW | TW | ≥ 3 | |||||||||
Kashan | Isfahan | 1119 | 1119 | 867 | 867 | 15 | 15 | 2 | 2 | 1.3 | 1.3 | 0.23 | 0.23 | 8 | 1986 | Males | Local | 1997 | Randomly | Dehghani et al., 1999** |
Amlash | Gilan | 254 | 2810 | 1180 | ‒ | 54 | 291 | 47 | ‒ | 21.3 | 10.4 | 4.0 | ‒ | 95 | 4244 | Both | Local | 2003–2004 | Overall | Rafinejad et al., 2006** |
Sarab | East Azerbaijan | ‒ | 398 | 254 | 9 | ‒ | ‒ | ‒ | ‒ | ‒ | 7.3 | 2.8 | 11.1 | 40 | 661 | Both | Local | Aug 2013–Mar 2014 | Randomly | Dehghanzadeh et al., 2015** |
Meybod | Yazd | ‒ | 193 | 141 | 49 | ‒ | 27 | 21 | 10 | ‒ | 14.0 | 14.9 | 20.4 | 4 | 402 | Females | Local | 2015–2016 | Randomly | Morovati Sharif Abadi et al., 2018** |
Andimeshk, Dezful and Shush | Khuzestan | ‒ | 16340 | 10841 | 1229 | ‒ | 1983 | 910 | 102 | ‒ | 12.1 | 8.4 | 8.3 | 280 | 28410 | Both | Local | Feb–Jun 2016 | Randomly | Nejati et al., 2018** |
Qom | Qom | ‒ | 512 | 1136 | 77 | ‒ | 103 | 119 | 7 | ‒ | 20.1 | 10.5 | 9.1 | 75 | 1725 | Females | Local | Mar 2015–Mar 2017 | Randomly | Saghafipour et al., 2018** |
Tonekabon | Mazandaran | 389 | 427 | 650 | 94 | 82 | 116 | 24.2 | 19.0 | 17.8 | ‒ | 1466 | Females | Local | 2017–2018 | Randomly | Heidarpour et al., 2019** | |||
Tabriz | East Azerbaijan | ‒ | 1311 | 1059 | 662 | ‒ | 57 | 47 | 26 | ‒ | 4.3 | 4.4 | 3.9 | 33 | 3032 | Both | Local | Jan–Mar 2018 | Randomly | Norouzi et al., 2021** |
Hair washing frequency | E | I | I (%) | |||||||||||||||||
OTW | OW | TW | ≥ 3 | OTW | OW | TW | ≥ 3 | OTW | OW | TW | ≥ 3 | |||||||||
Bahar | Hamadan | 543 | 543 | 357 | ‒ | 7 | 7 | 5 | ‒ | 1.3 | 1.3 | 1.4 | ‒ | 18 | 900 | Both | Local | Feb–Jun 2008 | Randomly | Moradi et al., 2009** |
Khajeh | East Azerbaijan | 150 | 297 | ‒ | ‒ | 13 | 11 | ‒ | ‒ | 8.7 | 3.7 | ‒ | ‒ | 20 | 500 | Both | Local | 2008–2009 | Randomly | Shayeghi et al., 2010** |
Sanandaj | Kurdistan | ‒ | 278 | 365 | 167 | ‒ | 14 | 18 | 6 | ‒ | 5.0 | 4.9 | 3.6 | 27 | 810 | Females | Local | ‒ | Randomly | Vahabi et al., 2012** |
Ravansar | Kermanshah | ‒ | 122 | 183 | 80 | ‒ | 25 | 30 | 6 | ‒ | 20.5 | 16.4 | 7.5 | 6 | 385 | Females | Local | ‒ | Overall | Sayyadi et al., 2013** |
Paveh | Kermanshah | ‒ | 254 | 345 | 151 | ‒ | 27 | 24 | 9 | ‒ | 10.6 | 7.0 | 6.0 | 25 | 750 | Females | Local | 2009–2010 | Randomly | Vahabi et al., 2013** |
Bayengan | Kermanshah | ‒ | 118 | 182 | 84 | ‒ | 25 | 22 | 7 | ‒ | 21.2 | 12.1 | 8.3 | 4 | 384 | Both | Local | ‒ | Randomly | Sayyadi et al., 2014** |
Savojbolagh | Alborz | ‒ | 3707 | 6902 | 2137 | ‒ | 133 | 86 | 19 | ‒ | 3.6 | 1.3 | 0.87 | ‒ | 12782 | Both | Local | Sep–Dec 2013 | Overall | Bahrami et al., 2016** |
Galugah | Mazandaran | ‒ | 92 | 208 | 208 | ‒ | 9 | 8 | 8 | ‒ | 9.8 | 3.8 | 3.8 | 16 | 300 | Both | Local | 2009–2010 | Randomly | Kassiri, Esteghali, 2016** |
Khorramshahr | Khuzestan | ‒ | ‒ | ‒ | ‒ | ‒ | ‒ | ‒ | ‒ | ‒ | 43.5 | 0.7 | ‒ | 10 | 750 | Both | Local | 2008–2009 | Randomly | Kassiri, Gatifi, 2016** |
Paveh | Kermanshah | ‒ | 175 | 215 | 95 | ‒ | 41 | 31 | 13 | ‒ | 23.4 | 14.4 | 13.7 | 5 | 485 | Females | Local | ‒ | Overall | Sayyad et al., 2016** |
Bashagard | Hormozgan | ‒ | 211 | 78 | 11 | ‒ | ‒ | ‒ | ‒ | ‒ | 72.9 | 56.4 | 27.2 | ‒ | 300 | Females | Local | ‒ | Randomly | Soleimani-Ahmadi et al., 2017** |
Notes. E ‒ examined, I ‒ infested, IL ‒ illiterate, PS ‒ primary schools, SS ‒ secondary schools, UE ‒ university education, OTW ‒ once two weeks, OW ‒ once a week, TW ‒ twice a week. **Cited in Nasirian, 2023b.
Table 7. Pediculus capitis infestation in private and public among rural and urban areas, and the impact of the existence of bathing facilities in student residences (BFE) and health instructor involvement in student schools (HII), history of infestation (HI), and sharing equipment (SE) on P. capitis infestation level in primary school students, based on a literature search
Counties | Provinces | E | I | I (%) | E | I | I (%) | Sampling | References | |||||||||||
Private | Public | Private | Public | Private | Public | R | U | R | U | R | U | Schools | Students | Gender | Location | Date | Selection | |||
Sari | Mazandaran | ‒ | ‒ | ‒ | ‒ | ‒ | ‒ | 3183 | 7808 | 118 | 97 | 3.7 | 1.2 | 58 | 10991 | Both | Local | 1997–1998 | Randomly | Motevalli Haghi et al., 1999* |
Rasht | Gilan | ‒ | ‒ | ‒ | ‒ | ‒ | ‒ | 1446 | 1447 | 83 | 46 | 5.7 | 3.2 | ‒ | 2893 | Both | Local | 2002–2003 | Randomly | Pourbaba et al., 2005* |
Amlash | Gilan | 138 | 4106 | 1 | 391 | 0.72 | 9.5 | 2413 | 1837 | 368 | 30 | 15.3 | 1.6 | 95 | 4244 | Both | Local | 2003–2004 | Overall | Rafinejad et al., 2006* |
Kerman | Kerman | ‒ | ‒ | ‒ | ‒ | ‒ | ‒ | 3915 | 36671 | 182 | 539 | 4.6 | 1.5 | 198 | 40586 | Both | Local | Mar–Jun 2006 | Overall | MotovaliEmami et al., 2008* |
Shiraz | Fars | ‒ | ‒ | ‒ | ‒ | ‒ | ‒ | 67219 | 46609 | 487 | 74 | 0.72 | 0.16 | ‒ | 113828 | Both | Local | Oct–Dec 2005 | Overall | Davarpanah et al., 2009* |
Shiraz | Fars | ‒ | ‒ | ‒ | ‒ | ‒ | ‒ | 85361 | 50657 | 395 | 107 | 0.46 | 0.21 | ‒ | 136018 | Both | Local | Jan–Mar 2005 | Overall | Davarpanah et al., 2009* |
Shiraz | Fars | ‒ | ‒ | ‒ | ‒ | ‒ | ‒ | 58728 | 39636 | 142 | 53 | 0.24 | 0.13 | ‒ | 98364 | Both | Local | Apr–Jun 2006 | Overall | Davarpanah et al., 2009* |
Bahar | Hamadan | ‒ | ‒ | ‒ | ‒ | ‒ | ‒ | 600 | 300 | 10 | 2 | 1.7 | 0.67 | 18 | 900 | Both | Local | Feb–Jun 2008 | Randomly | Moradi et al., 2009* |
Across | Iran | 14320 | 198947 | 213267 | ‒ | ‒ | ‒ | ‒ | ‒ | ‒ | ‒ | 62.0 | 38.0 | ‒ | 213450 | Both | Across | 2005 | Overall | Amirkhani et al., 2011* |
Bahar | Hamadan | ‒ | ‒ | ‒ | ‒ | ‒ | ‒ | 9238 | 8484 | 472 | 722 | 5.1 | 8.5 | ‒ | 17722 | Both | Local | Oct–Dec 2011 | Overall | Moradi et al., 2012* |
Mashhad | Razavi Khorasan | ‒ | ‒ | ‒ | ‒ | ‒ | ‒ | ‒ | ‒ | 141 | 219 | 36.4 | 63.6 | ‒ | 55997 | Both | Local | Mar 2006–Feb 2010 | Overall | Ramezani Awal Riabi, Atarodi, 2012* |
Shiraz | Fars | ‒ | ‒ | ‒ | ‒ | ‒ | ‒ | 41144 | 31216 | 98 | 69 | 0.24 | 0.22 | ‒ | 72360 | Both | Local | Oct–Dec 2005 | Overall | Davarpanah et al., 2013* |
Shiraz | Fars | ‒ | ‒ | ‒ | ‒ | ‒ | ‒ | 52663 | 37973 | 151 | 97 | 0.29 | 0.26 | ‒ | 90636 | Both | Local | Jan–Mar 2005 | Overall | Davarpanah et al., 2013* |
Shiraz | Fars | ‒ | ‒ | ‒ | ‒ | ‒ | ‒ | 43020 | 23626 | 72 | 5 | 0.17 | 0.02 | ‒ | 66646 | Both | Local | Apr–Jun 2006 | Overall | Davarpanah et al., 2013* |
Hamadan | Hamadan | ‒ | ‒ | ‒ | ‒ | ‒ | ‒ | 2005 | 8836 | 1 | 113 | 0.05 | 1.3 | ‒ | 10841 | Both | Local | Oct–Dec 2010 | Randomly | Omidi et al., 2013* |
Paveh | Kermanshah | 400 | 187 | 30 | 13 | 7.5 | 7.0 | ‒ | ‒ | ‒ | ‒ | ‒ | ‒ | 25 | 750 | F | Local | 2009–2010 | Randomly | Vahabi et al., 2013* |
Damghan | Semnan | ‒ | ‒ | ‒ | ‒ | ‒ | ‒ | ‒ | ‒ | 33 | 64 | 34.0 | 66.0 | ‒ | 2700 | F | Local | 2008 | Overall | Mohammadi Azni, 2014* |
Sari | Mazandaran | ‒ | ‒ | ‒ | ‒ | ‒ | ‒ | 1221 | 3491 | 21 | 57 | 1.7 | 1.6 | ‒ | 4712 | Both | Local | 2012–2013 | Randomly | Motevalli Haghi et al., 2014b* |
Pakdasht | Tehran | ‒ | ‒ | ‒ | ‒ | ‒ | ‒ | 5756 | 47976 | 198 | 480 | 3.4 | 1.0 | ‒ | 53732 | Both | Local | Oct–Dec 2013 | Overall | Davari et al., 2015* |
Sarab | East Azerbaijan | ‒ | ‒ | ‒ | ‒ | 0 | 5.9 | ‒ | ‒ | ‒ | ‒ | ‒ | ‒ | 40 | 624 | Both | Local | Aug 2013–Mar 2014 | Randomly | Dehghanzadeh et al., 2015* |
Savojbolagh | Alborz | ‒ | ‒ | ‒ | ‒ | ‒ | ‒ | 4933 | 7849 | 106 | 132 | 2.2 | 1.7 | ‒ | 12782 | Both | Local | Sep–Dec 2013 | Overall | Bahrami et al., 2016* |
Galugah | Mazandaran | ‒ | ‒ | ‒ | ‒ | ‒ | ‒ | 145 | 155 | 5 | 12 | 3.4 | 7.7 | 16 | 300 | Both | Local | 2009–2010 | Randomly | Kassiri, Esteghali, 2016* |
Kalaleh | Golestan | ‒ | ‒ | ‒ | ‒ | ‒ | ‒ | 301 | 240 | 23 | 12 | 7.6 | 5.0 | 4 | 541 | Both | Local | Oct–Dec 2015 | Randomly | Maleky et al., 2016* |
Sirik | Hormozgan | ‒ | ‒ | ‒ | ‒ | ‒ | ‒ | 175 | 183 | ‒ | ‒ | 62.3 | 50.3 | ‒ | 358 | F | Local | Nov 2015– Feb 2016 | Randomly | SaneiDehkordi et al., 2017* |
Meshginshahr | Ardabil | ‒ | ‒ | ‒ | ‒ | ‒ | ‒ | 300 | 600 | 78 | 122 | 4.0 | 6.3 | 20 | 1950 | Both | Local | 2015–2016 | Randomly | Abbasgholizadeh et al., 2018 |
Meshginshahr | Ardabil | ‒ | ‒ | ‒ | ‒ | ‒ | ‒ | 761 | 1189 | 78 | 122 | 10.2 | 10.3 | 20 | 1950 | Both | Local | Oct 2015–Jun 2016 | Randomly | Moradiasl et al., 2018* |
Andimeshk, Dezful and Shush | Khuzestan | ‒ | ‒ | ‒ | ‒ | ‒ | ‒ | 11721 | 14150 | 1459 | 931 | 12.4 | 6.6 | 280 | 25871 | Both | Local | Feb–Jun 2016 | Randomly | Nejati et al., 2018* |
Qom | Qom | ‒ | ‒ | ‒ | ‒ | ‒ | ‒ | 225 | 1500 | 23 | 206 | 10.2 | 13.7 | 75 | 1725 | F | Local | Mar 2015–Mar 2017 | Randomly | Saghafipour et al., 2018* |
Tonekabon | Mazandaran | ‒ | ‒ | ‒ | ‒ | ‒ | ‒ | 691 | 775 | 175 | 117 | 25.1 | 15.1 | ‒ | 1466 | F | Local | 2017–2018 | Randomly | Heidarpour et al., 2019* |
Karun | Khuzestan | ‒ | ‒ | ‒ | ‒ | ‒ | ‒ | 255 | 596 | 55 | 144 | 21.6 | 24.2 | ‒ | 851 | F | Local | 2017–2018 | Randomly | Ghofleh Maramazi et al., 2019* |
Ahvaz | Khuzestan | ‒ | ‒ | ‒ | ‒ | ‒ | ‒ | 21098 | 67102 | 152 | 410 | 0.72 | 0.61 | ‒ | 41392 | Both | Local | 2008 | Overall | Kassiri et al., 2020a* |
Ahvaz | Khuzestan | ‒ | ‒ | ‒ | ‒ | ‒ | ‒ | 9387 | 542312 | 201 | 550 | 2.1 | 0.1 | ‒ | 30762 | Both | Local | 2009 | Overall | Kassiri et al., 2020a* |
Ahvaz | Khuzestan | ‒ | ‒ | ‒ | ‒ | ‒ | ‒ | 15423 | 59498 | 73 | 590 | 0.47 | 0.99 | ‒ | 35721 | Both | Local | 2010 | Overall | Kassiri et al., 2020a* |
Ahvaz | Khuzestan | ‒ | ‒ | ‒ | ‒ | ‒ | ‒ | 17872 | 60674 | 413 | 80 | 2.3 | 0.13 | ‒ | 40726 | Both | Local | 2011 | Overall | Kassiri et al., 2020a* |
Ahvaz | Khuzestan | ‒ | ‒ | ‒ | ‒ | ‒ | ‒ | 24072 | 66367 | 480 | 1120 | 2.0 | 1.7 | ‒ | 63133 | Both | Local | 2012 | Overall | Kassiri et al., 2020a* |
Ahvaz | Khuzestan | ‒ | ‒ | ‒ | ‒ | ‒ | ‒ | 2560 | 64117 | 77 | 1584 | 3.0 | 2.5 | ‒ | 41174 | Both | Local | 2013 | Overall | Kassiri et al., 2020a* |
Ahvaz | Khuzestan | ‒ | ‒ | ‒ | ‒ | ‒ | ‒ | 90412 | 372019 | 1396 | 4334 | 1.5 | 1.2 | ‒ | 252908 | Both | Local | 2008–2013 | Overall | Kassiri et al., 2020a* |
Karun | Khuzestan | 78 | 673 | 23 | 194 | 29.5 | 28.8 | 438 | 313 | 136 | 81 | 31.1 | 25.9 | ‒ | 751 | Both | Local | 2017 | Randomly | Kassiri et al., 2020b* |
Birjand | South Khorasan | 63 | 2354 | 8 | 321 | 12.7 | 13.6 | 693 | 1724 | 149 | 180 | 21.5 | 10.4 | 19 | 2417 | F | Local | 2017 | Randomly | Lashkari et al., 2020* |
Khorramabad | Lorestan | 547 | 3343 | 4 | 144 | 0.73 | 4.3 | ‒ | ‒ | ‒ | ‒ | ‒ | ‒ | ‒ | 3890 | Both | Local | 2018–2019 | Randomly | Galehdar et al., 2021 |
Ahvaz | Khuzestan | 894 | 4757 | 165 | 1334 | 18.5 | 28.0 | 640 | 5290 | 236 | 1326 | 36.9 | 25.1 | ‒ | 5930 | Both | Local | Jan 2016–Jun 2017 | Randomly | Kassiri, Mehraghaei, 2021* |
Tabriz | East Azerbaijan | 1805 | 1227 | 100 | 30 | 5.5 | 2.4 | ‒ | ‒ | ‒ | ‒ | ‒ | ‒ | 33 | 3032 | Both | Local | Jan–Mar 2018 | Randomly | Norouzi et al., 2021* |
Counties | Provinces | E | I | I (%) | E | I | I (%) | Sampling | References | |||||||||||
Yes | No | Yes | No | Yes | No | Yes | No | Yes | No | Yes | No | Schools | Students | Gender | Location | Date | Selection | |||
BFE | HII | |||||||||||||||||||
Ilam | Ilam | 36 | 622 | 19 | 541 | 3.4 | 96.6 | ‒ | ‒ | ‒ | ‒ | ‒ | ‒ | 6 | 658 | Both | Local | Mar 97–Apr 98 | Randomly | Gholamiparizad, Abedzadah, 2001** |
Kerman | Kerman | 1106 | 94 | 31 | 14 | 2.8 | 14.9 | ‒ | ‒ | ‒ | ‒ | ‒ | ‒ | 50 | 1200 | Both | Local | Apr–Jun 2003 | Randomly | Kamiabi, Nakhaei, 2005** |
Amlash | Gilan | ‒ | ‒ | ‒ | ‒ | ‒ | ‒ | 1712 | 2532 | 12 | 380 | 0.7 | 15.0 | 95 | 4244 | Both | Local | 2003–2004 | Overall | Rafinejad et al., 2006** |
Kerman | Kerman | 7169 | 33417 | 101 | 620 | 1.4 | 1.9 | ‒ | ‒ | ‒ | ‒ | ‒ | ‒ | 198 | 40586 | Both | Local | Mar–Jun 2006 | Overall | Motovali– Emami et al., 2008** |
Sanandaj | Kurdistan | ‒ | ‒ | ‒ | ‒ | ‒ | ‒ | 749 | 61 | 34 | 4 | 4.5 | 6.6 | 27 | 810 | Females | Local | ‒ | Randomly | Vahabi et al., 2012** |
Ravansar | Kermanshah | ‒ | ‒ | ‒ | ‒ | ‒ | ‒ | 207 | 178 | 30 | 31 | 14.5 | 17.4 | 6 | 385 | Females | Local | ‒ | Overall | Sayyadi et al., 2013** |
Paveh | Kermanshah | ‒ | ‒ | ‒ | ‒ | ‒ | ‒ | 89 | 661 | 6 | 56 | 6.7 | 8.5 | 25 | 750 | Females | Local | 2009–2010 | Randomly | Vahabi et al., 2013** |
Aran va Bidgol | Isfahan | 3583 | 6 | 16 | 1 | 0.45 | 16.7 | ‒ | ‒ | ‒ | ‒ | ‒ | ‒ | 19 | 3 589 | Both | Local | Oct–Dec 2008 | Randomly | Doroodgar et al., 2014a** |
Azadshahr | Golestan | ‒ | ‒ | ‒ | ‒ | ‒ | ‒ | 887 | 623 | 26 | 29 | 2.9 | 4.7 | ‒ | 1510 | Females | Local | 2012–2013 | Overall | Motevalli Haghi et al., 2014a** |
Sari | Mazandaran | 4678 | 34 | 77 | 1 | 1.6 | 2.9 | 2508 | 2204 | 30 | 48 | 1.2 | 2.2 | ‒ | 4712 | Both | Local | 2012–2013 | Randomly | Motevalli Haghi et al., 2014b** |
Bojnurd | North Khorasan | 1444 | 30 | 107 | 6 | 7.4 | 20.0 | 1291 | 184 | 91 | 23 | 7.0 | 12.5 | 75 | 1475 | Both | Local | Jan–Mar 2013 | Randomly | Rajabzade et al., 2015** |
Khorramshahr | Khuzestan | ‒ | ‒ | ‒ | ‒ | 1.9 | 8.3 | ‒ | ‒ | ‒ | ‒ | ‒ | ‒ | 10 | 750 | Both | Local | 2008–2009 | Randomly | Kassiri, Gatifi, 2016** |
Kalaleh | Golestan | 360 | 181 | 23 | 12 | 6.4 | 6.6 | 240 | 301 | 12 | 65 | 5.0 | 21.6 | 4 | 541 | Both | Local | Oct–Dec 2015 | Randomly | Maleky et al., 2016** |
Asadabad | Hamadan | ‒ | ‒ | ‒ | ‒ | ‒ | ‒ | 511 | 89 | 9 | 5 | 1.8 | 5.6 | 16 | 600 | Both | Local | 2013–2014 | Randomly | Nazari et al., 2016a** |
Paveh | Kermanshah | ‒ | ‒ | ‒ | ‒ | ‒ | ‒ | 225 | 260 | 36 | 49 | 16.0 | 18.8 | 5 | 485 | Females | Local | ‒ | Overall | Sayyad et al., 2016** |
Jahrom | Fars | 464 | 71 | 46 | 3 | 7.1 | 4.2 | ‒ | ‒ | ‒ | ‒ | ‒ | ‒ | ‒ | 717 | Both | Local | 2016–2017 | Randomly | Majidi et al., 2017** |
Bashagard | Hormozgan | 186 | 114 | ‒ | ‒ | 60.7 | 78.1 | ‒ | ‒ | ‒ | ‒ | ‒ | ‒ | ‒ | 300 | Females | Local | ‒ | Randomly | Soleimani–Ahmadi et al., 2017** |
Meshginshahr | Ardabil | 858 | 1033 | 88 | 106 | 4.5 | 5.4 | 936 | 1014 | 96 | 104 | 4.9 | 5.4 | 20 | 1950 | Both | Local | 2015–2016 | Randomly | Abbasgholizadeh et al., 2018** |
Meybod | Yazd | ‒ | ‒ | ‒ | ‒ | ‒ | ‒ | 107 | 295 | 11 | 48 | 10.3 | 16.3 | 4 | 402 | Females | Local | 2015–2016 | Randomly | Morovati Sharif Abadi et al., 2018** |
Andimeshk, Dezful and Shush | Khuzestan | ‒ | ‒ | ‒ | ‒ | ‒ | ‒ | 19720 | 8690 | 1224 | 1771 | 6.2 | 20.4 | 280 | 28410 | Both | Local | Feb–Jun 2016 | Randomly | Nejati et al., 2018** |
Sabzevar | Razavi Khorasan | ‒ | ‒ | ‒ | ‒ | ‒ | ‒ | 733 | 467 | 88 | 58 | 12.0 | 12.4 | ‒ | 1200 | Both | Local | 2015–2016 | Randomly | Tarkhasi et al., 2018** |
Tonekabon | Mazandaran | ‒ | ‒ | ‒ | ‒ | ‒ | ‒ | 873 | 593 | 131 | 161 | 15.0 | 27.2 | ‒ | 1466 | Females | Local | 2017–2018 | Randomly | Heidarpour et al., 2019** |
Mashhad | Razavi Khorasan | ‒ | ‒ | ‒ | ‒ | ‒ | ‒ | 1104 | 1958 | 138 | 279 | 12.5 | 14.2 | ‒ | 2645 | Females | Local | 2017–2018 | Randomly | Mohammadi et al., 2019** |
Karun | Khuzestan | 658 | 93 | 170 | 47 | 25.8 | 50.5 | 155 | 596 | 30 | 187 | 19.4 | 31.4 | ‒ | 751 | Both | Local | 2017 | Randomly | Kassiri et al., 2020b** |
Semnan | Semnan | ‒ | ‒ | ‒ | ‒ | ‒ | ‒ | 145 | 622 | 6 | 34 | 4.1 | 5.5 | 8 | 767 | Both | Local | Mar 2018–May 2018 | Randomly | Shirzadi et al., 2020** |
Khorramabad | Lorestan | 3836 | 54 | 144 | 7 | 3.8 | 13.0 | 3536 | 354 | 116 | 32 | 3.3 | 9.0 | ‒ | 3890 | Both | Local | 2018–2019 | Randomly | Galehdar et al., 2021 |
Ahvaz | Khuzestan | 5793 | 137 | 1508 | 54 | 26.0 | 39.4 | 3477 | 2735 | 742 | 820 | 21.3 | 30.0 | ‒ | 5930 | Females | Local | Jan 2016–Jun 2017 | Randomly | Kassiri, Mehraghaei, 2021** |
Varzaqan | East Azerbaijan | 385 | 15 | 35 | 6 | 9.1 | 40.0 | 26 | 400 | Both | Local | Dec 2019–Jan 2020 | Randomly | Sepehri, Jafari, 2022 | ||||||
HI | SE | |||||||||||||||||||
Kashan | Isfahan | ‒ | ‒ | ‒ | ‒ | ‒ | ‒ | 140 | 1846 | 14 | 3 | 7.1 | 0.16 | 8 | 1986 | Males | Local | 1997 | Randomly | Dehghani et al., 1999** |
Hamadan | Hamadan | 44 | 308 | 28 | 27 | 38.9 | 8.1 | 243 | 109 | 46 | 9 | 15.9 | 7.6 | 12 | 847 | Both | Local | ‒ | Overall | Nazari et al., 2006** |
Amlash | Gilan | 2227 | 294 | 182 | 210 | 8.2 | 71.4 | ‒ | ‒ | ‒ | ‒ | ‒ | ‒ | 95 | 4244 | Both | Local | 2003–2004 | Overall | Rafinejad et al., 2006** |
Kerman | Kerman | 8513 | 32073 | 424 | 297 | 5.0 | 0.93 | ‒ | ‒ | ‒ | ‒ | ‒ | ‒ | 198 | 40586 | Both | Local | Mar–Jun 2006 | Overall | Motovali– Emami et al., 2008** |
Sanandaj | Kurdistan | ‒ | ‒ | ‒ | ‒ | ‒ | ‒ | 259 | 551 | 19 | 19 | 7.3 | 3.4 | 27 | 810 | Females | Local | ‒ | Randomly | Vahabi et al., 2012** |
Ravansar | Kermanshah | ‒ | ‒ | ‒ | ‒ | ‒ | ‒ | 122 | 263 | 28 | 33 | 23.0 | 12.5 | 6 | 385 | Females | Local | ‒ | Overall | Sayyadi et al., 2013** |
Paveh | Kermanshah | ‒ | ‒ | ‒ | ‒ | ‒ | ‒ | 254 | 496 | 29 | 31 | 11.4 | 6.3 | 25 | 750 | Females | Local | 2009–2010 | Randomly | Vahabi et al., 2013** |
Maneh–Semelghan | North Khorasan | 25 | 225 | 12 | 9 | 48.0 | 4.0 | ‒ | ‒ | ‒ | ‒ | ‒ | ‒ | ‒ | 250 | Both | Local | 2013 | Randomly | Hosseini et al., 2014** |
Azadshahr | Golestan | ‒ | ‒ | ‒ | ‒ | ‒ | ‒ | 637 | 873 | 39 | 16 | 6.1 | 1.8 | ‒ | 1510 | Females | Local | 2012–2013 | Overall | Motevalli Haghi et al., 2014a** |
Sari | Mazandaran | ‒ | ‒ | ‒ | ‒ | ‒ | ‒ | 3220 | 1492 | 35 | 43 | 1.1 | 2.9 | ‒ | 4712 | Both | Local | 2012–2013 | Randomly | Motevalli Haghi et al., 2014b** |
Bayengan | Kermanshah | ‒ | ‒ | ‒ | ‒ | ‒ | ‒ | 133 | 251 | 37 | 17 | 27.8 | 6.8 | 4 | 384 | Both | Local | ‒ | Randomly | Sayyadi et al., 2014** |
Sarab | East Azerbaijan | ‒ | ‒ | ‒ | ‒ | ‒ | ‒ | 308 | 353 | ‒ | ‒ | 8.2 | 3.4 | 40 | 661 | Both | Local | Aug 2013–Mar 2014 | Randomly | Dehghanzadeh et al., 2015** |
Bonab | East Azerbaijan | ‒ | ‒ | ‒ | ‒ | ‒ | ‒ | 896 | 2861 | 76 | 30 | 8.5 | 1.0 | ‒ | 3757 | Females | Local | 2013–2014 | Overall | Kabiri et al., 2015** |
Khorramshahr | Khuzestan | ‒ | ‒ | ‒ | ‒ | ‒ | ‒ | ‒ | ‒ | ‒ | ‒ | 10.3 | 0.47 | 10 | 750 | Both | Local | 2008–2009 | Randomly | Kassiri, Gatifi, 2016** |
Kalaleh | Golestan | ‒ | ‒ | ‒ | ‒ | ‒ | ‒ | 103 | 438 | 27 | 8 | 26.2 | 1.8 | 4 | 541 | Both | Local | Oct–Dec 2015 | Randomly | Maleky et al., 2016** |
Asadabad | Hamadan | ‒ | ‒ | ‒ | ‒ | ‒ | ‒ | 142 | 458 | 5 | 9 | 3.5 | 2.0 | 16 | 600 | Both | Local | 2013–2014 | Randomly | Nazari et al., 2016a** |
Paveh | Kermanshah | ‒ | ‒ | ‒ | ‒ | ‒ | ‒ | 166 | 319 | 38 | 47 | 22.9 | 14.7 | 5 | 485 | Females | Local | ‒ | Overall | Sayyad et al., 2016** |
Jahrom | Fars | 49 | 668 | 31 | 18 | 63.3 | 2.7 | 234 | 483 | 19 | 30 | 8.1 | 6.2 | ‒ | 717 | Both | Local | 2016–2017 | Randomly | Majidi et al., 2017** |
Bashagard | Hormozgan | ‒ | ‒ | ‒ | ‒ | ‒ | ‒ | 170 | 130 | ‒ | ‒ | 71.1 | 60.0 | ‒ | 300 | Females | Local | ‒ | Randomly | Soleimani–Ahmadi et al., 2017** |
Meshginshahr | Ardabil | ‒ | ‒ | ‒ | ‒ | ‒ | ‒ | 1121 | 829 | 115 | 85 | 5.9 | 4.4 | 20 | 1950 | Both | Local | 2015–2016 | Randomly | Abbasgholizadeh et al., 2018** |
Andimeshk, Dezful and Shush | Khuzestan | 1814 | 26596 | 711 | 2284 | 39.2 | 8.6 | 9119 | 19291 | 1359 | 1636 | 14.9 | 8.5 | 280 | 28410 | Both | Local | Feb–Jun 2016 | Randomly | Nejati et al., 2018** |
Qom | Qom | 212 | 1513 | 88 | 141 | 41.5 | 9.3 | ‒ | ‒ | ‒ | ‒ | ‒ | ‒ | 75 | 1725 | Females | Local | Mar 2015–Mar 2017 | Randomly | Saghafipour et al., 2018** |
Bojnurd | North Khorasan | 29 | 810 | 10 | 18 | 25.6 | 2.2 | 745 | 94 | 23 | 5 | 30.0 | 5.1 | ‒ | 867 | Both | Local | 2016 | Randomly | Firoozfar et al., 2019** |
Tonekabon | Mazandaran | 474 | 992 | 203 | 89 | 42.8 | 9.0 | 225 | 1241 | 85 | 207 | 37.2 | 16.7 | ‒ | 1466 | Females | Local | 2017–2018 | Randomly | Heidarpour et al., 2019** |
Karun | Khuzestan | ‒ | ‒ | ‒ | ‒ | ‒ | ‒ | 250 | 601 | 82 | 117 | 32.8 | 19.5 | ‒ | 851 | Females | Local | 2017–2018 | Randomly | Ghofleh Maramazi et al., 2019** |
Karun | Khuzestan | 255 | 496 | 120 | 97 | 47.1 | 19.6 | 253 | 498 | 131 | 86 | 51.8 | 17.3 | ‒ | 751 | Both | Local | 2017 | Randomly | Kassiri et al., 2020b** |
Birjand | South Khorasan | 422 | 1995 | 144 | 185 | 34.1 | 9.3 | 365 | 2052 | 70 | 259 | 19.2 | 12.6 | 19 | 2417 | Females | Local | 2017 | Randomly | Lashkari et al., 2020** |
Semnan | Semnan | ‒ | ‒ | ‒ | ‒ | ‒ | ‒ | 443 | 324 | 26 | 14 | 5.9 | 4.3 | 8 | 767 | Both | Local | Mar 2018–May 2018 | Randomly | Shirzadi et al., 2020** |
Khorramabad | Lorestan | ‒ | ‒ | ‒ | ‒ | ‒ | ‒ | 607 | 3283 | 46 | 102 | 7.6 | 3.1 | ‒ | 3890 | Both | Local | 2018–2019 | Randomly | Galehdar et al., 2021 |
Ahvaz | Khuzestan | 1392 | 4538 | 785 | 777 | 56.4 | 17.1 | 1413 | 4517 | 805 | 757 | 57.0 | 16.8 | ‒ | 5930 | Females | Local | Jan 2016–Jun 2017 | Randomly | Kassiri, Mehraghaei, 2021** |
Varzaqan | East Azerbaijan | 29 | 371 | 12 | 29 | 41.4 | 7.8 | ‒ | ‒ | ‒ | ‒ | ‒ | ‒ | 26 | 400 | Both | Local | Dec 2019–Jan 2020 | Randomly | Sepehri, Jafari, 2022 |
Notes. E ‒ examined, BFE ‒ bathing facility existence in student residences, F ‒ females; HI, history of infestation, HII ‒ health instructor involvement in student schools, I ‒ infested, M ‒ males, R ‒ rural, SE ‒ sharing equipment, U ‒ urban areas. *Cited in Nasirian, Ahmadi, 2024. **Cited in Nasirian, 2023b.
Table 8. The impact of age and education, family income, and hair length and style on P. capitis infestation level in primary school students, based on a literature search
Counties | Provinces | E | I | I (%) | Sampling | References | |||||||||||
Age (education level) | Boys | Girls | Both | Boys | Girls | Both | Boys | Girls | Both | Schools | Students | Gender | Location | Date | Selection | ||
6 years (first grade) | |||||||||||||||||
Iranshahr | Sistan and Baluchestan | ‒ | 35 | ‒ | ‒ | 3 | ‒ | ‒ | 8.6 | ‒ | 12 | ‒ | Females | Local | Nov 2002–May 2003 | Randomly | Alempour Salemi et al., 2003** |
Kerman | Kerman | ‒ | ‒ | 7412 | ‒ | ‒ | 298 | ‒ | ‒ | 4.0 | 198 | 7412 | Both | Local | Mar–Jun 2006 | Overall | Motovali–Emami et al., 2008** |
Urmia | West Azerbaijan | ‒ | ‒ | 47 | ‒ | ‒ | 4 | ‒ | ‒ | 8.5 | 35 | 47 | Both | Local | Oct–Dec 2010 | Randomly | Hazrati Tappeh et al., 2012** |
Sirik | Hormozgan | ‒ | 5 | ‒ | ‒ | ‒ | ‒ | ‒ | 20.0 | ‒ | ‒ | ‒ | Females | Local | Nov 2015– Feb 2016 | Randomly | Sanei–Dehkordi et al., 2017** |
Karun | Khuzestan | ‒ | ‒ | 126 | ‒ | ‒ | 39 | ‒ | ‒ | 31.0 | ‒ | 126 | Both | Local | 2017 | Randomly | Kassiri et al., 2020b** |
Ahvaz | Khuzestan | ‒ | ‒ | 999 | ‒ | ‒ | 279 | ‒ | ‒ | 27.9 | ‒ | 999 | Both | Local | Jan 2016–Jun 2017 | Randomly | Kassiri, Mehraghaei, 2021** |
Tabriz | East Azerbaijan | ‒ | ‒ | 628 | ‒ | ‒ | 38 | ‒ | ‒ | 6.1 | 33 | 628 | Both | Local | Jan–Mar 2018 | Randomly | Norouzi et al., 2021** |
7 years (first grade) | |||||||||||||||||
Yasuj | Kohgiluyeh and Boyer–Ahmad | 1233 | 1148 | 2381 | 5 | 176 | 181 | 0.41 | 15.3 | 7.6 | 64 | 2381 | Both | Local | Nov–Dec 1999 | Overall | Shahraki et al., 2001** |
Iranshahr | Sistan and Baluchestan | ‒ | 151 | ‒ | ‒ | 42 | ‒ | ‒ | 27.8 | ‒ | 12 | ‒ | Females | Local | Nov 2002–May 2003 | Randomly | Alempour Salemi et al., 2003** |
Qom | Qom | ‒ | 319 | ‒ | ‒ | ‒ | ‒ | ‒ | 1.9 | ‒ | ‒ | ‒ | Females | Local | ‒ | Randomly | Farzinnia et al., 2004** |
Sanandaj | Kurdistan | ‒ | ‒ | 230 | ‒ | ‒ | 26 | ‒ | ‒ | 11.3 | 18 | 230 | Both | Local | ‒ | Randomly | Davari, Yaghmaei, 2005** |
Kerman | Kerman | ‒ | ‒ | 195 | ‒ | ‒ | 7 | ‒ | ‒ | 3.6 | 50 | 195 | Both | Local | Apr–Jun 2003 | Randomly | Kamiabi, Nakhaei, 2005** |
Hamadan | Hamadan | ‒ | ‒ | 56 | ‒ | ‒ | 11 | ‒ | ‒ | 19.6 | 12 | 56 | Both | Local | ‒ | Overall | Nazari et al., 2006** |
Amlash | Gilan | ‒ | ‒ | 754 | ‒ | ‒ | 76 | ‒ | ‒ | 10.1 | 95 | 754 | Both | Local | 2003–2004 | Overall | Rafinejad et al., 2006** |
Zabol | Sistan and Baluchestan | ‒ | 228 | ‒ | ‒ | 46 | ‒ | ‒ | 20.2 | ‒ | 32 | ‒ | Females | Local | 2003 | Randomly | Zareban et al., 2006** |
Qeshm | Hormozgan | ‒ | ‒ | ‒ | ‒ | ‒ | ‒ | ‒ | ‒ | 11.6 | ‒ | ‒ | Both | Local | ‒ | Randomly | Soleimani–Ahmadi, 2007** |
Sanandaj | Kurdistan | ‒ | 113 | ‒ | ‒ | 1 | ‒ | ‒ | 0.88 | ‒ | ‒ | ‒ | Females | Local | 2005 | Randomly | Yaghmaei et al., 2007** |
Kerman | Kerman | ‒ | ‒ | 6051 | ‒ | ‒ | 194 | ‒ | ‒ | 3.2 | 198 | 6051 | Both | Local | Mar–Jun 2006 | Overall | Motovali–Emami et al., 2008** |
Bahar | Hamadan | ‒ | ‒ | 180 | ‒ | ‒ | 3 | ‒ | ‒ | 1.7 | 18 | 180 | Both | Local | Feb–Jun 2008 | Randomly | Moradi et al., 2009** |
Khajeh | East Azerbaijan | ‒ | ‒ | 96 | ‒ | ‒ | 13 | ‒ | ‒ | 13.5 | 20 | 96 | Both | Local | 2008–2009 | Randomly | Shayeghi et al., 2010** |
Urmia | West Azerbaijan | ‒ | ‒ | 423 | ‒ | ‒ | 20 | ‒ | ‒ | 4.7 | 35 | 423 | Both | Local | Oct–Dec 2010 | Randomly | Hazrati Tappeh et al., 2012** |
Qom | Qom | ‒ | ‒ | ‒ | ‒ | ‒ | ‒ | ‒ | 23.6 | ‒ | ‒ | ‒ | Females | Local | 2010 | Randomly | Saghafipour et al., 2012** |
Sanandaj | Kurdistan | ‒ | 148 | ‒ | ‒ | 4 | ‒ | ‒ | 2.7 | ‒ | 27 | ‒ | Females | Local | ‒ | Randomly | Vahabi et al., 2012** |
Robat Karim | Tehran | ‒ | 10000 | ‒ | ‒ | 22 | ‒ | ‒ | 22.5 | ‒ | ‒ | ‒ | Females | Local | 2008–2009 | Randomly | Afshari et al., 2013** |
Qom | Qom | ‒ | ‒ | ‒ | ‒ | 28 | ‒ | ‒ | 15.5 | ‒ | 45 | ‒ | Females | Local | 2011 | Overall | Noroozi et al., 2013** |
Ravansar | Kermanshah | ‒ | 75 | ‒ | ‒ | 15 | ‒ | ‒ | 20.0 | ‒ | 6 | ‒ | Females | Local | ‒ | Overall | Sayyadi et al., 2013** |
Paveh | Kermanshah | ‒ | 125 | ‒ | ‒ | 14 | ‒ | ‒ | 11.2 | ‒ | 25 | ‒ | Females | Local | 2009–2010 | Randomly | Vahabi et al., 2013** |
Aran va Bidgol | Isfahan | ‒ | ‒ | 717 | ‒ | ‒ | 1 | ‒ | ‒ | 0.14 | 19 | 717 | Both | Local | Oct–Dec 2008 | Randomly | Doroodgar et al., 2014a** |
Kashan | Isfahan | ‒ | ‒ | 624 | ‒ | ‒ | 2 | ‒ | ‒ | 0.3 | 23 | 624 | Both | Local | Nov 2012–May 2013 | Randomly | Doroodgar et al., 2014b** |
Damghan | Semnan | ‒ | ‒ | ‒ | ‒ | 11 | ‒ | ‒ | 11.3 | ‒ | ‒ | ‒ | Females | Local | 2008 | Overall | Mohammadi Azni, 2014** |
Azadshahr | Golestan | ‒ | 287 | ‒ | ‒ | 15 | ‒ | ‒ | 5.2 | ‒ | ‒ | ‒ | Females | Local | 2012–2013 | Overall | Motevalli Haghi et al., 2014a** |
Sari | Mazandaran | ‒ | ‒ | 678 | ‒ | ‒ | 9 | ‒ | ‒ | 1.3 | ‒ | 678 | Both | Local | 2012–2013 | Randomly | Motevalli Haghi et al., 2014b** |
Abadan | Khuzestan | ‒ | ‒ | 104 | ‒ | ‒ | 5 | ‒ | ‒ | 4.8 | 26 | 104 | Both | Local | 2012 | Randomly | Salehi et al., 2014** |
Bayengan | Kermanshah | ‒ | ‒ | 49 | ‒ | ‒ | 5 | ‒ | ‒ | 10.2 | 4 | 49 | Both | Local | ‒ | Randomly | Sayyadi et al., 2014** |
Bonab | East Azerbaijan | ‒ | 608 | ‒ | ‒ | 14 | ‒ | ‒ | 2.3 | ‒ | ‒ | ‒ | Females | Local | 2013–2014 | Overall | Kabiri et al., 2015** |
Savojbolagh | Alborz | ‒ | ‒ | 2762 | ‒ | ‒ | 47 | ‒ | ‒ | 1.7 | ‒ | 2762 | Both | Local | Sep–Dec 2013 | Overall | Bahrami et al., 2016** |
Galugah | Mazandaran | ‒ | ‒ | 53 | ‒ | ‒ | 4 | ‒ | ‒ | 7.5 | 16 | 53 | Both | Local | 2009–2010 | Randomly | Kassiri, Esteghali, 2016** |
Khorramshahr | Khuzestan | ‒ | ‒ | ‒ | ‒ | ‒ | ‒ | ‒ | ‒ | 3.3 | 10 | ‒ | Both | Local | 2008–2009 | Randomly | Kassiri, Gatifi, 2016** |
Kalaleh | Golestan | ‒ | ‒ | 190 | ‒ | ‒ | 9 | ‒ | ‒ | 4.7 | 4 | 190 | Both | Local | Oct–Dec 2015 | Randomly | Maleky et al., 2016** |
Paveh | Kermanshah | ‒ | 101 | ‒ | ‒ | 11 | ‒ | ‒ | 10.9 | ‒ | 5 | ‒ | Females | Local | ‒ | Overall | Sayyad et al., 2016** |
Sirik | Hormozgan | ‒ | 49 | ‒ | ‒ | ‒ | ‒ | ‒ | 33.0 | ‒ | ‒ | ‒ | Females | Local | Nov 2015– Feb 2016 | Randomly | Sanei–Dehkordi et al., 2017** |
Bashagard | Hormozgan | ‒ | 50 | ‒ | ‒ | ‒ | ‒ | ‒ | 50.0 | ‒ | ‒ | ‒ | Females | Local | ‒ | Randomly | Soleimani–Ahmadi et al., 2017** |
Meshginshahr | Ardabil | ‒ | ‒ | 663 | 68 | 3.5 | 20 | 663 | Both | Local | 2015–2016 | Randomly | Abbasgholizadeh et al., 2018** | ||||
Meshginshahr | Ardabil | ‒ | ‒ | 351 | ‒ | ‒ | 68 | ‒ | ‒ | 19.4 | 20 | 351 | Both | Local | Oct 2015–Jun 2016 | Randomly | Moradiasl et al., 2018** |
Meybod | Yazd | ‒ | 69 | ‒ | ‒ | 15 | ‒ | ‒ | 21.7 | ‒ | 4 | ‒ | Females | Local | 2015–2016 | Randomly | Morovati Sharif Abadi et al., 2018** |
Andimeshk, Dezful and Shush | Khuzestan | ‒ | ‒ | 4697 | ‒ | ‒ | 773 | ‒ | ‒ | 16.5 | 280 | 4697 | Both | Local | Feb–Jun 2016 | Randomly | Nejati et al., 2018** |
Qom | Qom | ‒ | 345 | ‒ | ‒ | 52 | ‒ | ‒ | 15.1 | ‒ | 75 | ‒ | Females | Local | Mar 2015–Mar 2017 | Randomly | Saghafipour et al., 2018** |
Sabzevar | Razavi Khorasan | ‒ | ‒ | 210 | ‒ | ‒ | 27 | ‒ | ‒ | 12.9 | ‒ | 210 | Both | Local | 2015–2016 | Randomly | Tarkhasi et al., 2018** |
Badrud | Isfahan | ‒ | ‒ | 245 | ‒ | ‒ | 30 | ‒ | ‒ | 1.9 | ‒ | 245 | Both | Local | 2017–2018 | Overall | Dehghani et al., 2019** |
Tonekabon | Mazandaran | ‒ | 243 | ‒ | ‒ | 55 | ‒ | ‒ | 22.6 | ‒ | ‒ | ‒ | Females | Local | 2017–2018 | Randomly | Heidarpour et al., 2019** |
Mashhad | Razavi Khorasan | ‒ | 475 | ‒ | ‒ | 95 | ‒ | ‒ | 20.0 | ‒ | ‒ | ‒ | Females | Local | 2017–2018 | Randomly | Mohammadi et al., 2019** |
Karun | Khuzestan | ‒ | ‒ | 125 | ‒ | ‒ | 38 | ‒ | ‒ | 30.4 | ‒ | 125 | Both | Local | 2017 | Randomly | Kassiri et al., 2020b** |
Semnan | Semnan | ‒ | ‒ | 243 | ‒ | ‒ | 8 | ‒ | ‒ | 3.3 | 8 | 243 | Both | Local | Mar 2018–May 2018 | Randomly | Shirzadi et al., 2020** |
Khorramabad | Lorestan | ‒ | ‒ | 115 | ‒ | ‒ | 18 | ‒ | ‒ | 15.7 | ‒ | 3890 | Both | Local | 2018–2019 | Randomly | Galehdar et al., 2021 |
Ahvaz | Khuzestan | ‒ | ‒ | 991 | ‒ | ‒ | 251 | ‒ | ‒ | 25.3 | ‒ | 991 | Both | Local | Jan 2016–Jun 2017 | Randomly | Kassiri, Mehraghaei, 2021** |
Tabriz | East Azerbaijan | ‒ | ‒ | 1521 | ‒ | ‒ | 64 | ‒ | ‒ | 4.2 | 33 | 1521 | Both | Local | Jan–Mar 2018 | Randomly | Norouzi et al., 2021** |
Gilan–e Gharb | Kermanshah | ‒ | ‒ | 500 | ‒ | ‒ | 25 | ‒ | ‒ | 5.0 | ‒ | 500 | Both | Local | 2018 | Overall | Zahirnia et al., 2021** |
Paveh | Kermanshah | ‒ | ‒ | 61 | ‒ | ‒ | 1 | ‒ | ‒ | 1.6 | 11 | 361 | Both | Local | Oct–Dec 2018 | Overall | Bekri, Shaghaghi, 2022 |
Gahavand | Hamadan | ‒ | 77 | ‒ | ‒ | 16 | ‒ | ‒ | 20.8 | ‒ | ‒ | ‒ | Females | Local | 2020 | Overall | Hajiloie et al., 2022** |
Marivan | Kurdistan | ‒ | ‒ | 8 | ‒ | ‒ | 3 | ‒ | ‒ | 37.5 | ‒ | 457 | Both | Local | 2018–2019 | Randomly | Rad et al., 2022 |
Varzaqan | East Azerbaijan | ‒ | ‒ | 44 | ‒ | ‒ | 7 | ‒ | ‒ | 15.9 | 26 | 400 | Both | Local | Dec 2019–Jan 2020 | Randomly | Sepehri, Jafari, 2022 |
8 years (second grade) | |||||||||||||||||
Yasuj | Kohgiluyeh and Boyer–Ahmad | 1234 | 1111 | 2345 | 6 | 212 | 218 | 0.49 | 19.1 | 9.3 | 64 | 2345 | Both | Local | Nov–Dec 1999 | Overall | Shahraki et al., 2001** |
Iranshahr | Sistan and Baluchestan | ‒ | 156 | ‒ | ‒ | 40 | ‒ | ‒ | 25.6 | ‒ | 12 | ‒ | Females | Local | Nov 2002–May 2003 | Randomly | Alempour Salemi et al., 2003** |
Qom | Qom | ‒ | 391 | ‒ | ‒ | ‒ | ‒ | ‒ | 4.5 | ‒ | ‒ | ‒ | Females | Local | ‒ | Randomly | Farzinnia et al., 2004** |
Sanandaj | Kurdistan | ‒ | ‒ | 242 | ‒ | ‒ | 72 | ‒ | ‒ | 29.7 | 18 | 242 | Both | Local | ‒ | Randomly | Davari, Yaghmaei, 2005** |
Kerman | Kerman | ‒ | ‒ | 223 | ‒ | ‒ | 4 | ‒ | ‒ | 1.8 | 50 | 223 | Both | Local | Apr–Jun 2003 | Randomly | Kamiabi, Nakhaei, 2005** |
Hamadan | Hamadan | ‒ | ‒ | 75 | ‒ | ‒ | 8 | ‒ | ‒ | 10.7 | 12 | 75 | Both | Local | ‒ | Overall | Nazari et al., 2006** |
Amlash | Gilan | ‒ | ‒ | 701 | ‒ | ‒ | 67 | ‒ | ‒ | 9.6 | 95 | 701 | Both | Local | 2003–2004 | Overall | Rafinejad et al., 2006** |
Zabol | Sistan and Baluchestan | ‒ | 216 | ‒ | ‒ | 49 | ‒ | ‒ | 22.7 | ‒ | 32 | ‒ | Females | Local | 2003 | Randomly | Zareban et al., 2006** |
Qeshm | Hormozgan | ‒ | ‒ | ‒ | ‒ | ‒ | ‒ | ‒ | ‒ | 17.4 | ‒ | ‒ | Both | Local | ‒ | Randomly | Soleimani–Ahmadi, 2007** |
Sanandaj | Kurdistan | ‒ | 115 | ‒ | ‒ | 4 | ‒ | ‒ | 3.5 | ‒ | ‒ | ‒ | Females | Local | 2005 | Randomly | Yaghmaei et al., 2007** |
Kerman | Kerman | ‒ | ‒ | 7965 | ‒ | ‒ | 103 | ‒ | ‒ | 1.3 | 198 | 7965 | Both | Local | Mar–Jun 2006 | Overall | Motovali–Emami et al., 2008** |
Bahar | Hamadan | ‒ | ‒ | 180 | ‒ | ‒ | 2 | ‒ | ‒ | 1.1 | 18 | 180 | Both | Local | Feb–Jun 2008 | Randomly | Moradi et al., 2009** |
Khajeh | East Azerbaijan | ‒ | ‒ | 113 | ‒ | ‒ | 5 | ‒ | ‒ | 4.4 | 20 | 113 | Both | Local | 2008–2009 | Randomly | Shayeghi et al., 2010** |
Urmia | West Azerbaijan | ‒ | ‒ | 421 | ‒ | ‒ | 17 | ‒ | ‒ | 4.0 | 35 | 421 | Both | Local | Oct–Dec 2010 | Randomly | Hazrati Tappeh et al., 2012** |
Qom | Qom | ‒ | ‒ | ‒ | ‒ | ‒ | ‒ | ‒ | 15.3 | ‒ | ‒ | ‒ | Females | Local | 2010 | Randomly | Saghafipour et al., 2012** |
Sanandaj | Kurdistan | ‒ | 140 | ‒ | ‒ | 9 | ‒ | ‒ | 6.4 | ‒ | 27 | ‒ | Females | Local | ‒ | Randomly | Vahabi et al., 2012** |
Robat Karim | Tehran | ‒ | 10000 | ‒ | ‒ | 19 | ‒ | ‒ | 19.4 | ‒ | ‒ | ‒ | Females | Local | 2008–2009 | Randomly | Afshari et al., 2013** |
Qom | Qom | ‒ | ‒ | ‒ | ‒ | 18 | ‒ | ‒ | 10.0 | ‒ | 45 | ‒ | Females | Local | 2011 | Overall | Noroozi et al., 2013** |
Ravansar | Kermanshah | ‒ | 63 | ‒ | ‒ | 11 | ‒ | ‒ | 17.5 | ‒ | 6 | ‒ | Females | Local | ‒ | Overall | Sayyadi et al., 2013** |
Paveh | Kermanshah | ‒ | 117 | ‒ | ‒ | 13 | ‒ | ‒ | 11.1 | ‒ | 25 | ‒ | Females | Local | 2009–2010 | Randomly | Vahabi et al., 2013** |
Aran va Bidgol | Isfahan | ‒ | ‒ | 658 | ‒ | ‒ | 4 | ‒ | ‒ | 0.58 | 19 | 658 | Both | Local | Oct–Dec 2008 | Randomly | Doroodgar et al., 2014a** |
Kashan | Isfahan | ‒ | ‒ | 206 | ‒ | ‒ | 3 | ‒ | ‒ | 1.5 | 23 | 206 | Both | Local | Nov 2012–May 2013 | Randomly | Doroodgar et al., 2014b** |
Damghan | Semnan | ‒ | ‒ | ‒ | ‒ | 15 | ‒ | ‒ | 15.5 | ‒ | ‒ | ‒ | Females | Local | 2008 | Overall | Mohammadi Azni, 2014** |
Azadshahr | Golestan | ‒ | 264 | ‒ | ‒ | 9 | ‒ | ‒ | 3.4 | ‒ | ‒ | ‒ | Females | Local | 2012–2013 | Overall | Motevalli Haghi et al., 2014a** |
Sari | Mazandaran | ‒ | ‒ | 705 | ‒ | ‒ | 12 | ‒ | ‒ | 1.7 | ‒ | 705 | Both | Local | 2012–2013 | Randomly | Motevalli Haghi et al., 2014b** |
Abadan | Khuzestan | ‒ | ‒ | 104 | ‒ | ‒ | 3 | ‒ | ‒ | 2.9 | 26 | 104 | Both | Local | 2012 | Randomly | Salehi et al., 2014** |
Bayengan | Kermanshah | ‒ | ‒ | 75 | ‒ | ‒ | 7 | ‒ | ‒ | 9.3 | 4 | 75 | Both | Local | ‒ | Randomly | Sayyadi et al., 2014** |
Bonab | East Azerbaijan | ‒ | 612 | ‒ | ‒ | 17 | ‒ | ‒ | 2.8 | ‒ | ‒ | ‒ | Females | Local | 2013–2014 | Overall | Kabiri et al., 2015** |
Savojbolagh | Alborz | ‒ | ‒ | 2744 | ‒ | ‒ | 50 | ‒ | ‒ | 1.8 | ‒ | 2744 | Both | Local | Sep–Dec 2013 | Overall | Bahrami et al., 2016** |
Galugah | Mazandaran | ‒ | ‒ | 49 | ‒ | ‒ | 1 | ‒ | ‒ | 2.0 | 16 | 49 | Both | Local | 2009–2010 | Randomly | Kassiri, Esteghali, 2016** |
Khorramshahr | Khuzestan | ‒ | ‒ | ‒ | ‒ | ‒ | ‒ | ‒ | ‒ | 0.7 | 10 | ‒ | Both | Local | 2008–2009 | Randomly | Kassiri, Gatifi, 2016** |
Kalaleh | Golestan | ‒ | ‒ | 190 | ‒ | ‒ | 9 | ‒ | ‒ | 4.7 | 4 | 190 | Both | Local | Oct–Dec 2015 | Randomly | Maleky et al., 2016** |
Paveh | Kermanshah | ‒ | 87 | ‒ | ‒ | 14 | ‒ | ‒ | 16.1 | ‒ | 5 | ‒ | Females | Local | ‒ | Overall | Sayyad et al., 2016** |
Sirik | Hormozgan | ‒ | 63 | ‒ | ‒ | ‒ | ‒ | ‒ | 32.0 | ‒ | ‒ | ‒ | Females | Local | Nov 2015– Feb 2016 | Randomly | Sanei–Dehkordi et al., 2017** |
Bashagard | Hormozgan | ‒ | 52 | ‒ | ‒ | ‒ | ‒ | ‒ | 57.7 | ‒ | ‒ | ‒ | Females | Local | ‒ | Randomly | Soleimani–Ahmadi et al., 2017** |
Meshginshahr | Ardabil | ‒ | ‒ | 390 | ‒ | ‒ | 40 | ‒ | ‒ | 2.1 | 20 | 390 | Both | Local | 2015–2016 | Randomly | Abbasgholizadeh et al., 2018** |
Meshginshahr | Ardabil | ‒ | ‒ | 320 | ‒ | ‒ | 40 | ‒ | ‒ | 12.5 | 20 | 320 | Both | Local | Oct 2015–Jun 2016 | Randomly | Moradiasl et al., 2018** |
Meybod | Yazd | ‒ | 77 | ‒ | ‒ | 15 | ‒ | ‒ | 19.5 | ‒ | 4 | ‒ | Females | Local | 2015–2016 | Randomly | Morovati Sharif Abadi et al., 2018** |
Andimeshk, Dezful and Shush | Khuzestan | ‒ | ‒ | 6143 | ‒ | ‒ | 798 | ‒ | ‒ | 13.0 | 280 | 6143 | Both | Local | Feb–Jun 2016 | Randomly | Nejati et al., 2018** |
Qom | Qom | ‒ | 347 | ‒ | ‒ | 36 | ‒ | ‒ | 10.4 | ‒ | 75 | ‒ | Females | Local | Mar 2015–Mar 2017 | Randomly | Saghafipour et al., 2018** |
Sabzevar | Razavi Khorasan | ‒ | ‒ | 222 | ‒ | ‒ | 33 | ‒ | ‒ | 14.9 | ‒ | 222 | Both | Local | 2015–2016 | Randomly | Tarkhasi et al., 2018** |
Badrud | Isfahan | ‒ | ‒ | 240 | ‒ | ‒ | 24 | ‒ | ‒ | 1.5 | ‒ | 240 | Both | Local | 2017–2018 | Overall | Dehghani et al., 2019** |
Tonekabon | Mazandaran | ‒ | 233 | ‒ | ‒ | 32 | ‒ | ‒ | 13.7 | ‒ | ‒ | ‒ | Females | Local | 2017–2018 | Randomly | Heidarpour et al., 2019** |
Mashhad | Razavi Khorasan | ‒ | 512 | ‒ | ‒ | 53 | ‒ | ‒ | 10.4 | ‒ | ‒ | ‒ | Females | Local | 2017–2018 | Randomly | Mohammadi et al., 2019** |
Karun | Khuzestan | ‒ | ‒ | 123 | ‒ | ‒ | 47 | ‒ | ‒ | 38.2 | ‒ | 123 | Both | Local | 2017 | Randomly | Kassiri et al., 2020b** |
Semnan | Semnan | ‒ | ‒ | 243 | ‒ | ‒ | 8 | ‒ | ‒ | 3.3 | 8 | 243 | Both | Local | Mar 2018–May 2018 | Randomly | Shirzadi et al., 2020** |
Khorramabad | Lorestan | ‒ | ‒ | 159 | ‒ | ‒ | 23 | ‒ | ‒ | 14.5 | ‒ | 3890 | Both | Local | 2018–2019 | Randomly | Galehdar et al., 2021 |
Ahvaz | Khuzestan | ‒ | ‒ | 992 | ‒ | ‒ | 290 | ‒ | ‒ | 29.2 | ‒ | 992 | Both | Local | Jan 2016–Jun 2017 | Randomly | Kassiri, Mehraghaei, 2021** |
Tabriz | East Azerbaijan | ‒ | ‒ | 1521 | ‒ | ‒ | 64 | ‒ | ‒ | 4.2 | 33 | 1521 | Both | Local | Jan–Mar 2018 | Randomly | Norouzi et al., 2021** |
Gilan–e Gharb | Kermanshah | ‒ | ‒ | 409 | ‒ | ‒ | 13 | ‒ | ‒ | 3.2 | ‒ | 409 | Both | Local | 2018 | Overall | Zahirnia et al., 2021** |
Paveh | Kermanshah | ‒ | ‒ | 65 | ‒ | ‒ | 3 | ‒ | ‒ | 4.6 | 11 | 361 | Both | Local | Oct–Dec 2018 | Overall | Bekri, Shaghaghi, 2022 |
Gahavand | Hamadan | ‒ | 78 | ‒ | ‒ | 13 | ‒ | ‒ | 16.7 | ‒ | ‒ | ‒ | Females | Local | 2020 | Overall | Hajiloie et al., 2022** |
Marivan | Kurdistan | ‒ | ‒ | 44 | ‒ | ‒ | 15 | ‒ | ‒ | 34.1 | ‒ | 457 | Both | Local | 2018–2019 | Randomly | Rad et al., 2022 |
Varzaqan | East Azerbaijan | ‒ | ‒ | 61 | ‒ | ‒ | 7 | ‒ | ‒ | 11.5 | 26 | 400 | Both | Local | Dec 2019–Jan 2020 | Randomly | Sepehri, Jafari, 2022 |
9 years (third grade) | |||||||||||||||||
Yasuj | Kohgiluyeh and Boyer–Ahmad | 1207 | 1067 | 2274 | 17 | 259 | 276 | 1.4 | 24.3 | 12.1 | 64 | 2274 | Both | Local | Nov–Dec 1999 | Overall | Shahraki et al., 2001** |
Iranshahr | Sistan and Baluchestan | ‒ | 169 | ‒ | ‒ | 40 | ‒ | ‒ | 23.7 | ‒ | 12 | ‒ | Females | Local | Nov 2002–May 2003 | Randomly | Alempour Salemi et al., 2003** |
Qom | Qom | ‒ | 308 | ‒ | ‒ | ‒ | ‒ | ‒ | 3.3 | ‒ | ‒ | ‒ | Females | Local | ‒ | Randomly | Farzinnia et al., 2004** |
Sanandaj | Kurdistan | ‒ | ‒ | 198 | ‒ | ‒ | 65 | ‒ | ‒ | 32.8 | 18 | 198 | Both | Local | ‒ | Randomly | Davari, Yaghmaei, 2005** |
Kerman | Kerman | ‒ | ‒ | 213 | ‒ | ‒ | 14 | ‒ | ‒ | 6.6 | 50 | 213 | Both | Local | Apr–Jun 2003 | Randomly | Kamiabi, Nakhaei, 2005** |
Hamadan | Hamadan | ‒ | ‒ | 90 | ‒ | ‒ | 15 | ‒ | ‒ | 16.7 | 12 | 90 | Both | Local | ‒ | Overall | Nazari et al., 2006** |
Amlash | Gilan | ‒ | ‒ | 833 | ‒ | ‒ | 79 | ‒ | ‒ | 9.5 | 95 | 833 | Both | Local | 2003–2004 | Overall | Rafinejad et al., 2006** |
Zabol | Sistan and Baluchestan | ‒ | 212 | ‒ | ‒ | 55 | ‒ | ‒ | 25.9 | ‒ | 32 | ‒ | Females | Local | 2003 | Randomly | Zareban et al., 2006** |
Qeshm | Hormozgan | ‒ | ‒ | ‒ | ‒ | ‒ | ‒ | ‒ | ‒ | 19.0 | ‒ | ‒ | Both | Local | ‒ | Randomly | Soleimani–Ahmadi, 2007** |
Sanandaj | Kurdistan | ‒ | 99 | ‒ | ‒ | 7 | ‒ | ‒ | 7.1 | ‒ | ‒ | ‒ | Females | Local | 2005 | Randomly | Yaghmaei et al., 2007** |
Kerman | Kerman | ‒ | ‒ | 9904 | ‒ | ‒ | 80 | ‒ | ‒ | 0.81 | 198 | 9904 | Both | Local | Mar–Jun 2006 | Overall | Motovali–Emami et al., 2008** |
Bahar | Hamadan | ‒ | ‒ | 180 | ‒ | ‒ | 2 | ‒ | ‒ | 1.1 | 18 | 180 | Both | Local | Feb–Jun 2008 | Randomly | Moradi et al., 2009** |
Khajeh | East Azerbaijan | ‒ | ‒ | 105 | ‒ | ‒ | 3 | ‒ | ‒ | 2.9 | 20 | 105 | Both | Local | 2008–2009 | Randomly | Shayeghi et al., 2010** |
Urmia | West Azerbaijan | ‒ | ‒ | 368 | ‒ | ‒ | 8 | ‒ | ‒ | 2.2 | 35 | 368 | Both | Local | Oct–Dec 2010 | Randomly | Hazrati Tappeh et al., 2012** |
Qom | Qom | ‒ | ‒ | ‒ | ‒ | ‒ | ‒ | ‒ | 18.3 | ‒ | ‒ | ‒ | Females | Local | 2010 | Randomly | Saghafipour et al., 2012** |
Sanandaj | Kurdistan | ‒ | 187 | ‒ | ‒ | 5 | ‒ | ‒ | 2.7 | ‒ | 27 | ‒ | Females | Local | ‒ | Randomly | Vahabi et al., 2012** |
Robat Karim | Tehran | ‒ | 10000 | ‒ | ‒ | 22 | ‒ | ‒ | 22.5 | ‒ | ‒ | ‒ | Females | Local | 2008–2009 | Randomly | Afshari et al., 2013** |
Qom | Qom | ‒ | ‒ | ‒ | ‒ | 22 | ‒ | ‒ | 12.2 | ‒ | 45 | ‒ | Females | Local | 2011 | Overall | Noroozi et al., 2013** |
Aran va Bidgol | Isfahan | ‒ | ‒ | 710 | ‒ | ‒ | 6 | ‒ | ‒ | 0.85 | 19 | 710 | Both | Local | Oct–Dec 2008 | Randomly | Doroodgar et al., 2014a** |
Kashan | Isfahan | ‒ | ‒ | 517 | ‒ | ‒ | 2 | ‒ | ‒ | 0.4 | 23 | 517 | Both | Local | Nov 2012–May 2013 | Randomly | Doroodgar et al., 2014b** |
Damghan | Semnan | ‒ | ‒ | ‒ | ‒ | 19 | ‒ | ‒ | 19.6 | ‒ | ‒ | ‒ | Females | Local | 2008 | Overall | Mohammadi Azni, 2014** |
Azadshahr | Golestan | ‒ | 239 | ‒ | ‒ | 13 | ‒ | ‒ | 5.4 | ‒ | ‒ | ‒ | Females | Local | 2012–2013 | Overall | Motevalli Haghi et al., 2014a** |
Sari | Mazandaran | ‒ | ‒ | 702 | ‒ | ‒ | 11 | ‒ | ‒ | 1.6 | ‒ | 702 | Both | Local | 2012–2013 | Randomly | Motevalli Haghi et al., 2014b** |
Abadan | Khuzestan | ‒ | ‒ | 104 | ‒ | ‒ | 3 | ‒ | ‒ | 2.9 | 26 | 104 | Both | Local | 2012 | Randomly | Salehi et al., 2014** |
Bayengan | Kermanshah | ‒ | ‒ | 90 | ‒ | ‒ | 13 | ‒ | ‒ | 14.4 | 4 | 90 | Both | Local | ‒ | Randomly | Sayyadi et al., 2014** |
Bonab | East Azerbaijan | ‒ | 621 | ‒ | ‒ | 24 | ‒ | ‒ | 3.9 | ‒ | ‒ | ‒ | Females | Local | 2013–2014 | Overall | Kabiri et al., 2015** |
Savojbolagh | Alborz | ‒ | ‒ | 2701 | ‒ | ‒ | 52 | ‒ | ‒ | 1.9 | ‒ | 2701 | Both | Local | Sep–Dec 2013 | Overall | Bahrami et al., 2016** |
Galugah | Mazandaran | ‒ | ‒ | 63 | ‒ | ‒ | 5 | ‒ | ‒ | 7.9 | 16 | 63 | Both | Local | 2009–2010 | Randomly | Kassiri, Esteghali, 2016** |
Khorramshahr | Khuzestan | ‒ | ‒ | ‒ | ‒ | ‒ | ‒ | ‒ | ‒ | 3.4 | 10 | ‒ | Both | Local | 2008–2009 | Randomly | Kassiri, Gatifi, 2016** |
Kalaleh | Golestan | ‒ | ‒ | 184 | ‒ | ‒ | 11 | ‒ | ‒ | 6.0 | 4 | 184 | Both | Local | Oct–Dec 2015 | Randomly | Maleky et al., 2016** |
Paveh | Kermanshah | ‒ | 92 | ‒ | ‒ | 18 | ‒ | ‒ | 19.6 | ‒ | 5 | ‒ | Females | Local | ‒ | Overall | Sayyad et al., 2016** |
Sirik | Hormozgan | ‒ | 59 | ‒ | ‒ | ‒ | ‒ | ‒ | 31.0 | ‒ | ‒ | ‒ | Females | Local | Nov 2015– Feb 2016 | Randomly | Sanei–Dehkordi et al., 2017** |
Bashagard | Hormozgan | ‒ | 43 | ‒ | ‒ | ‒ | ‒ | ‒ | 81.4 | ‒ | ‒ | ‒ | Females | Local | ‒ | Randomly | Soleimani–Ahmadi et al., 2017** |
Meshginshahr | Ardabil | ‒ | ‒ | 390 | 40 | 2.1 | 20 | 390 | Both | Local | 2015–2016 | Randomly | Abbasgholizadeh et al., 2018** | ||||
Meshginshahr | Ardabil | ‒ | ‒ | 320 | ‒ | ‒ | 40 | ‒ | ‒ | 12.5 | 20 | 320 | Both | Local | Oct 2015–Jun 2016 | Randomly | Moradiasl et al., 2018** |
Meybod | Yazd | ‒ | 82 | ‒ | ‒ | 11 | ‒ | ‒ | 13.4 | ‒ | 4 | ‒ | Females | Local | 2015–2016 | Randomly | Morovati Sharif Abadi et al., 2018** |
Andimeshk, Dezful and Shush | Khuzestan | ‒ | ‒ | 7011 | ‒ | ‒ | 526 | ‒ | ‒ | 7.5 | 280 | 7011 | Both | Local | Feb–Jun 2016 | Randomly | Nejati et al., 2018** |
Qom | Qom | ‒ | 343 | ‒ | ‒ | 42 | ‒ | ‒ | 12.2 | ‒ | 75 | ‒ | Females | Local | Mar 2015–Mar 2017 | Randomly | Saghafipour et al., 2018** |
Sabzevar | Razavi Khorasan | ‒ | ‒ | 189 | ‒ | ‒ | 28 | ‒ | ‒ | 14.8 | ‒ | 189 | Both | Local | 2015–2016 | Randomly | Tarkhasi et al., 2018** |
Badrud | Isfahan | ‒ | ‒ | 246 | ‒ | ‒ | 19 | ‒ | ‒ | 1.2 | ‒ | 246 | Both | Local | 2017–2018 | Overall | Dehghani et al., 2019** |
Tonekabon | Mazandaran | ‒ | 265 | ‒ | ‒ | 48 | ‒ | ‒ | 18.1 | ‒ | ‒ | ‒ | Females | Local | 2017–2018 | Randomly | Heidarpour et al., 2019** |
Mashhad | Razavi Khorasan | ‒ | 526 | ‒ | ‒ | 84 | ‒ | ‒ | 16.0 | ‒ | ‒ | ‒ | Females | Local | 2017–2018 | Randomly | Mohammadi et al., 2019** |
Karun | Khuzestan | ‒ | ‒ | 123 | ‒ | ‒ | 30 | ‒ | ‒ | 24.4 | ‒ | 123 | Both | Local | 2017 | Randomly | Kassiri et al., 2020b** |
Semnan | Semnan | ‒ | ‒ | 259 | ‒ | ‒ | 17 | ‒ | ‒ | 6.6 | 8 | 259 | Both | Local | Mar 2018–May 2018 | Randomly | Shirzadi et al., 2020** |
Khorramabad | Lorestan | ‒ | ‒ | 332 | ‒ | ‒ | 35 | ‒ | ‒ | 10.5 | ‒ | 3890 | Both | Local | 2018–2019 | Randomly | Galehdar et al., 2021 |
Ahvaz | Khuzestan | ‒ | ‒ | 992 | ‒ | ‒ | 244 | ‒ | ‒ | 24.6 | ‒ | 992 | Both | Local | Jan 2016–Jun 2017 | Randomly | Kassiri, Mehraghaei, 2021** |
Tabriz | East Azerbaijan | ‒ | ‒ | 1521 | ‒ | ‒ | 64 | ‒ | ‒ | 4.2 | 33 | 1521 | Both | Local | Jan–Mar 2018 | Randomly | Norouzi et al., 2021** |
Gilan–e Gharb | Kermanshah | ‒ | ‒ | 459 | ‒ | ‒ | 10 | ‒ | ‒ | 2.2 | ‒ | 459 | Both | Local | 2018 | Overall | Zahirnia et al., 2021** |
Paveh | Kermanshah | ‒ | ‒ | 66 | ‒ | ‒ | 7 | ‒ | ‒ | 10.6 | 11 | 361 | Both | Local | Oct–Dec 2018 | Overall | Bekri, Shaghaghi, 2022 |
Gahavand | Hamadan | ‒ | 91 | ‒ | ‒ | 17 | ‒ | ‒ | 18.7 | ‒ | ‒ | ‒ | Females | Local | 2020 | Overall | Hajiloie et al., 2022** |
Marivan | Kurdistan | ‒ | ‒ | 111 | ‒ | ‒ | 22 | ‒ | ‒ | 19.8 | ‒ | 457 | Both | Local | 2018–2019 | Randomly | Rad et al., 2022 |
Varzaqan | East Azerbaijan | ‒ | ‒ | 66 | ‒ | ‒ | 6 | ‒ | ‒ | 9.1 | 26 | 400 | Both | Local | Dec 2019–Jan 2020 | Randomly | Sepehri, Jafari, 2022 |
10 years (fourth grade) | |||||||||||||||||
Yasuj | Kohgiluyeh and Boyer–Ahmad | 1384 | 1296 | 2680 | 20 | 306 | 326 | 1.4 | 23.6 | 12.2 | 64 | 2680 | Both | Local | Nov–Dec 1999 | Overall | Shahraki et al., 2001** |
Iranshahr | Sistan and Baluchestan | ‒ | 184 | ‒ | ‒ | 56 | ‒ | ‒ | 30.4 | ‒ | 12 | ‒ | Females | Local | Nov 2002–May 2003 | Randomly | Alempour Salemi et al., 2003** |
Qom | Qom | ‒ | 351 | ‒ | ‒ | ‒ | ‒ | ‒ | 7.4 | ‒ | ‒ | ‒ | Females | Local | ‒ | Randomly | Farzinnia et al., 2004** |
Sanandaj | Kurdistan | ‒ | ‒ | 263 | ‒ | ‒ | 42 | ‒ | ‒ | 15.9 | 18 | 263 | Both | Local | ‒ | Randomly | Davari, Yaghmaei, 2005** |
Kerman | Kerman | ‒ | ‒ | 224 | ‒ | ‒ | 2 | ‒ | ‒ | 0.89 | 50 | 224 | Both | Local | Apr–Jun 2003 | Randomly | Kamiabi, Nakhaei, 2005** |
Hamadan | Hamadan | ‒ | ‒ | 89 | ‒ | ‒ | 14 | ‒ | ‒ | 15.7 | 12 | 89 | Both | Local | ‒ | Overall | Nazari et al., 2006** |
Amlash | Gilan | ‒ | ‒ | 932 | ‒ | ‒ | 83 | ‒ | ‒ | 8.9 | 95 | 932 | Both | Local | 2003–2004 | Overall | Rafinejad et al., 2006** |
Zabol | Sistan and Baluchestan | ‒ | 209 | ‒ | ‒ | 75 | ‒ | ‒ | 35.9 | ‒ | 32 | ‒ | Females | Local | 2003 | Randomly | Zareban et al., 2006** |
Qeshm | Hormozgan | ‒ | ‒ | ‒ | ‒ | ‒ | ‒ | ‒ | ‒ | 24.8 | ‒ | ‒ | Both | Local | ‒ | Randomly | Soleimani–Ahmadi, 2007** |
Sanandaj | Kurdistan | ‒ | 104 | ‒ | ‒ | 8 | ‒ | ‒ | 7.7 | ‒ | ‒ | ‒ | Females | Local | 2005 | Randomly | Yaghmaei et al., 2007** |
Kerman | Kerman | ‒ | ‒ | 8972 | ‒ | ‒ | 45 | ‒ | ‒ | 0.5 | 198 | 8972 | Both | Local | Mar–Jun 2006 | Overall | Motovali–Emami et al., 2008** |
Bahar | Hamadan | ‒ | ‒ | 180 | ‒ | ‒ | 4 | ‒ | ‒ | 2.2 | 18 | 180 | Both | Local | Feb–Jun 2008 | Randomly | Moradi et al., 2009** |
Khajeh | East Azerbaijan | ‒ | ‒ | 87 | ‒ | ‒ | 2 | ‒ | ‒ | 2.3 | 20 | 87 | Both | Local | 2008–2009 | Randomly | Shayeghi et al., 2010** |
Urmia | West Azerbaijan | ‒ | ‒ | 414 | ‒ | ‒ | 15 | ‒ | ‒ | 3.6 | 35 | 414 | Both | Local | Oct–Dec 2010 | Randomly | Hazrati Tappeh et al., 2012** |
Qom | Qom | ‒ | ‒ | ‒ | ‒ | ‒ | ‒ | ‒ | 16.8 | ‒ | ‒ | ‒ | Females | Local | 2010 | Randomly | Saghafipour et al., 2012** |
Sanandaj | Kurdistan | ‒ | 144 | ‒ | ‒ | 11 | ‒ | ‒ | 7.6 | ‒ | 27 | ‒ | Females | Local | ‒ | Randomly | Vahabi et al., 2012** |
Robat Karim | Tehran | ‒ | 10000 | ‒ | ‒ | 21 | ‒ | ‒ | 21.4 | ‒ | ‒ | ‒ | Females | Local | 2008–2009 | Randomly | Afshari et al., 2013** |
Qom | Qom | ‒ | ‒ | ‒ | ‒ | 20 | ‒ | ‒ | 11.1 | ‒ | 45 | ‒ | Females | Local | 2011 | Overall | Noroozi et al., 2013** |
Ravansar | Kermanshah | ‒ | 78 | ‒ | ‒ | 14 | ‒ | ‒ | 17.9 | ‒ | 6 | ‒ | Females | Local | ‒ | Overall | Sayyadi et al., 2013** |
Paveh | Kermanshah | ‒ | 188 | ‒ | ‒ | 11 | ‒ | ‒ | 5.9 | ‒ | 25 | ‒ | Females | Local | 2009–2010 | Randomly | Vahabi et al., 2013** |
Aran va Bidgol | Isfahan | ‒ | ‒ | 735 | ‒ | ‒ | 3 | ‒ | ‒ | 0.41 | 19 | 735 | Both | Local | Oct–Dec 2008 | Randomly | Doroodgar et al., 2014a** |
Kashan | Isfahan | ‒ | ‒ | 318 | ‒ | ‒ | 1 | ‒ | ‒ | 0.6 | 23 | 318 | Both | Local | Nov 2012–May 2013 | Randomly | Doroodgar et al., 2014b** |
Damghan | Semnan | ‒ | ‒ | ‒ | ‒ | 22 | ‒ | ‒ | 22.7 | ‒ | ‒ | ‒ | Females | Local | 2008 | Overall | Mohammadi Azni, 2014** |
Azadshahr | Golestan | ‒ | 245 | ‒ | ‒ | 10 | ‒ | ‒ | 4.1 | ‒ | ‒ | ‒ | Females | Local | 2012–2013 | Overall | Motevalli Haghi et al., 2014a** |
Sari | Mazandaran | ‒ | ‒ | 835 | ‒ | ‒ | 12 | ‒ | ‒ | 1.4 | ‒ | 835 | Both | Local | 2012–2013 | Randomly | Motevalli Haghi et al., 2014b** |
Abadan | Khuzestan | ‒ | ‒ | 104 | ‒ | ‒ | 5 | ‒ | ‒ | 4.8 | 26 | 104 | Both | Local | 2012 | Randomly | Salehi et al., 2014** |
Bayengan | Kermanshah | ‒ | ‒ | 150 | ‒ | ‒ | 13 | ‒ | ‒ | 8.7 | 4 | 150 | Both | Local | ‒ | Randomly | Sayyadi et al., 2014** |
Bonab | East Azerbaijan | ‒ | 636 | ‒ | ‒ | 15 | ‒ | ‒ | 2.4 | ‒ | ‒ | ‒ | Females | Local | 2013–2014 | Overall | Kabiri et al., 2015** |
Savojbolagh | Alborz | ‒ | ‒ | 2477 | ‒ | ‒ | 48 | ‒ | ‒ | 1.9 | ‒ | 2477 | Both | Local | Sep–Dec 2013 | Overall | Bahrami et al., 2016** |
Galugah | Mazandaran | ‒ | ‒ | 67 | ‒ | ‒ | 4 | ‒ | ‒ | 6.0 | 16 | 67 | Both | Local | 2009–2010 | Randomly | Kassiri, Esteghali, 2016** |
Khorramshahr | Khuzestan | ‒ | ‒ | ‒ | ‒ | ‒ | ‒ | ‒ | ‒ | 1.8 | 10 | ‒ | Both | Local | 2008–2009 | Randomly | Kassiri, Gatifi, 2016** |
Kalaleh | Golestan | ‒ | ‒ | 184 | ‒ | ‒ | 11 | ‒ | ‒ | 6.0 | 4 | 184 | Both | Local | Oct–Dec 2015 | Randomly | Maleky et al., 2016** |
Paveh | Kermanshah | ‒ | 100 | ‒ | ‒ | 20 | ‒ | ‒ | 20.0 | ‒ | 5 | ‒ | Females | Local | ‒ | Overall | Sayyad et al., 2016** |
Sirik | Hormozgan | ‒ | 67 | ‒ | ‒ | ‒ | ‒ | ‒ | 26.0 | ‒ | ‒ | ‒ | Females | Local | Nov 2015– Feb 2016 | Randomly | Sanei–Dehkordi et al., 2017** |
Bashagard | Hormozgan | ‒ | 51 | ‒ | ‒ | ‒ | ‒ | ‒ | 76.4 | ‒ | ‒ | ‒ | Females | Local | ‒ | Randomly | Soleimani–Ahmadi et al., 2017** |
Meshginshahr | Ardabil | ‒ | ‒ | 273 | ‒ | ‒ | 28 | ‒ | ‒ | 1.4 | 20 | 273 | Both | Local | 2015–2016 | Randomly | Abbasgholizadeh et al., 2018** |
Meshginshahr | Ardabil | ‒ | ‒ | 318 | ‒ | ‒ | 28 | ‒ | ‒ | 8.8 | 20 | 318 | Both | Local | Oct 2015–Jun 2016 | Randomly | Moradiasl et al., 2018** |
Meybod | Yazd | ‒ | 59 | ‒ | ‒ | 5 | ‒ | ‒ | 8.5 | ‒ | 4 | ‒ | Females | Local | 2015–2016 | Randomly | Morovati Sharif Abadi et al., 2018** |
Andimeshk, Dezful and Shush | Khuzestan | ‒ | ‒ | 5460 | ‒ | ‒ | 499 | ‒ | ‒ | 9.1 | 280 | 5460 | Both | Local | Feb–Jun 2016 | Randomly | Nejati et al., 2018** |
Qom | Qom | ‒ | 344 | ‒ | ‒ | 38 | ‒ | ‒ | 11.0 | ‒ | 75 | ‒ | Females | Local | Mar 2015–Mar 2017 | Randomly | Saghafipour et al., 2018** |
Sabzevar | Razavi Khorasan | ‒ | ‒ | 204 | ‒ | ‒ | 18 | ‒ | ‒ | 8.8 | ‒ | 204 | Both | Local | 2015–2016 | Randomly | Tarkhasi et al., 2018** |
Badrud | Isfahan | ‒ | ‒ | 250 | ‒ | ‒ | 28 | ‒ | ‒ | 1.8 | ‒ | 250 | Both | Local | 2017–2018 | Overall | Dehghani et al., 2019** |
Tonekabon | Mazandaran | ‒ | 231 | ‒ | ‒ | 51 | ‒ | ‒ | 22.1 | ‒ | ‒ | ‒ | Females | Local | 2017–2018 | Randomly | Heidarpour et al., 2019** |
Mashhad | Razavi Khorasan | ‒ | 526 | ‒ | ‒ | 74 | ‒ | ‒ | 14.1 | ‒ | ‒ | ‒ | Females | Local | 2017–2018 | Randomly | Mohammadi et al., 2019** |
Karun | Khuzestan | ‒ | ‒ | 123 | ‒ | ‒ | 37 | ‒ | ‒ | 30.1 | ‒ | 123 | Both | Local | 2017 | Randomly | Kassiri et al., 2020b** |
Birjand | South Khorasan | ‒ | 417 | ‒ | ‒ | 62 | ‒ | ‒ | 14.9 | ‒ | 19 | ‒ | Females | Local | 2017 | Randomly | Lashkari et al., 2020** |
Semnan | Semnan | ‒ | ‒ | 259 | ‒ | ‒ | 17 | ‒ | ‒ | 6.6 | 8 | 259 | Both | Local | Mar 2018–May 2018 | Randomly | Shirzadi et al., 2020** |
Khorramabad | Lorestan | ‒ | ‒ | 989 | ‒ | ‒ | 23 | ‒ | ‒ | 2.3 | ‒ | 3890 | Both | Local | 2018–2019 | Randomly | Galehdar et al., 2021 |
Ahvaz | Khuzestan | ‒ | ‒ | 979 | ‒ | ‒ | 296 | ‒ | ‒ | 30.2 | ‒ | 979 | Both | Local | Jan 2016–Jun 2017 | Randomly | Kassiri, Mehraghaei, 2021** |
Tabriz | East Azerbaijan | ‒ | ‒ | 883 | ‒ | ‒ | 28 | ‒ | ‒ | 3.2 | 33 | 883 | Both | Local | Jan–Mar 2018 | Randomly | Norouzi et al., 2021** |
Gilan–e Gharb | Kermanshah | ‒ | ‒ | 390 | ‒ | ‒ | 7 | ‒ | ‒ | 1.8 | ‒ | 390 | Both | Local | 2018 | Overall | Zahirnia et al., 2021** |
Paveh | Kermanshah | ‒ | ‒ | 64 | ‒ | ‒ | 9 | ‒ | ‒ | 14.1 | 11 | 361 | Both | Local | Oct–Dec 2018 | Overall | Bekri, Shaghaghi, 2022 |
Gahavand | Hamadan | ‒ | 87 | ‒ | ‒ | 15 | ‒ | ‒ | 17.2 | ‒ | ‒ | ‒ | Females | Local | 2020 | Overall | Hajiloie et al., 2022** |
Marivan | Kurdistan | ‒ | ‒ | 127 | ‒ | ‒ | 32 | ‒ | ‒ | 25.2 | ‒ | 457 | Both | Local | 2018–2019 | Randomly | Rad et al., 2022 |
Varzaqan | East Azerbaijan | ‒ | ‒ | 93 | ‒ | ‒ | 11 | ‒ | ‒ | 11.8 | 26 | 400 | Both | Local | Dec 2019–Jan 2020 | Randomly | Sepehri and Jafari, 2022 |
11 years (fifth grade) | |||||||||||||||||
Yasuj | Kohgiluyeh and Boyer–Ahmad | 1380 | 1187 | 2567 | 12 | 313 | 325 | 0.87 | 26.4 | 12.7 | 64 | 2567 | Both | Local | Nov–Dec 1999 | Overall | Shahraki et al., 2001** |
Iranshahr | Sistan and Baluchestan | ‒ | 131 | ‒ | ‒ | 33 | ‒ | ‒ | 25.2 | ‒ | 12 | ‒ | Females | Local | Nov 2002–May 2003 | Randomly | Alempour Salemi et al., 2003** |
Qom | Qom | ‒ | 381 | ‒ | ‒ | ‒ | ‒ | ‒ | 4.9 | ‒ | ‒ | ‒ | Females | Local | ‒ | Randomly | Farzinnia et al., 2004** |
Sanandaj | Kurdistan | ‒ | ‒ | 262 | ‒ | ‒ | 30 | ‒ | ‒ | 11.5 | 18 | 262 | Both | Local | ‒ | Randomly | Davari, Yaghmaei, 2005** |
Kerman | Kerman | ‒ | ‒ | 259 | ‒ | ‒ | 13 | ‒ | ‒ | 5.0 | 50 | 259 | Both | Local | Apr–Jun 2003 | Randomly | Kamiabi, Nakhaei, 2005** |
Hamadan | Hamadan | ‒ | ‒ | 97 | ‒ | ‒ | 7 | ‒ | ‒ | 7.2 | 12 | 97 | Both | Local | ‒ | Overall | Nazari et al., 2006** |
Amlash | Gilan | ‒ | ‒ | 1003 | ‒ | ‒ | 85 | ‒ | ‒ | 8.5 | 95 | 1003 | Both | Local | 2003–2004 | Overall | Rafinejad et al., 2006** |
Zabol | Sistan and Baluchestan | ‒ | 201 | ‒ | ‒ | 88 | ‒ | ‒ | 43.8 | ‒ | 32 | ‒ | Females | Local | 2003 | Randomly | Zareban et al., 2006** |
Qeshm | Hormozgan | ‒ | ‒ | ‒ | ‒ | ‒ | ‒ | ‒ | ‒ | 27.3 | ‒ | ‒ | Both | Local | ‒ | Randomly | Soleimani–Ahmadi, 2007** |
Sanandaj | Kurdistan | ‒ | 103 | ‒ | ‒ | 15 | ‒ | ‒ | 14.6 | ‒ | ‒ | ‒ | Females | Local | 2005 | Randomly | Yaghmaei et al., 2007** |
Kerman | Kerman | ‒ | ‒ | 282 | ‒ | ‒ | 1 | ‒ | ‒ | 0.35 | 198 | 282 | Both | Local | Mar–Jun 2006 | Overall | Motovali–Emami et al., 2008** |
Bahar | Hamadan | ‒ | ‒ | 180 | ‒ | ‒ | 1 | ‒ | ‒ | 0.56 | 18 | 180 | Both | Local | Feb–Jun 2008 | Randomly | Moradi et al., 2009** |
Khajeh | East Azerbaijan | ‒ | ‒ | 99 | ‒ | ‒ | 1 | ‒ | ‒ | 1.0 | 20 | 99 | Both | Local | 2008–2009 | Randomly | Shayeghi et al., 2010** |
Urmia | West Azerbaijan | ‒ | ‒ | 376 | ‒ | ‒ | 13 | ‒ | ‒ | 3.5 | 35 | 376 | Both | Local | Oct–Dec 2010 | Randomly | Hazrati Tappeh et al., 2012** |
Qom | Qom | ‒ | ‒ | ‒ | ‒ | ‒ | ‒ | ‒ | 26.0 | ‒ | ‒ | ‒ | Females | Local | 2010 | Randomly | Saghafipour et al., 2012** |
Sanandaj | Kurdistan | ‒ | 201 | ‒ | ‒ | 10 | ‒ | ‒ | 5.0 | ‒ | 27 | ‒ | Females | Local | ‒ | Randomly | Vahabi et al., 2012** |
Robat Karim | Tehran | ‒ | 10000 | ‒ | ‒ | 12 | ‒ | ‒ | 12.2 | ‒ | ‒ | ‒ | Females | Local | 2008–2009 | Randomly | Afshari et al., 2013** |
Qom | Qom | ‒ | ‒ | ‒ | ‒ | 32 | ‒ | ‒ | 17.7 | ‒ | 45 | ‒ | Females | Local | 2011 | Overall | Noroozi et al., 2013** |
Ravansar | Kermanshah | ‒ | 92 | ‒ | ‒ | 13 | ‒ | ‒ | 14.1 | ‒ | 6 | ‒ | Females | Local | ‒ | Overall | Sayyadi et al., 2013** |
Paveh | Kermanshah | ‒ | 144 | ‒ | ‒ | 14 | ‒ | ‒ | 9.7 | ‒ | 25 | ‒ | Females | Local | 2009–2010 | Randomly | Vahabi et al., 2013** |
Aran va Bidgol | Isfahan | ‒ | ‒ | 742 | ‒ | ‒ | 3 | ‒ | ‒ | 0.4 | 19 | 742 | Both | Local | Oct–Dec 2008 | Randomly | Doroodgar et al., 2014a** |
Kashan | Isfahan | ‒ | ‒ | 486 | ‒ | ‒ | 5 | ‒ | ‒ | 1.0 | 23 | 486 | Both | Local | Nov 2012–May 2013 | Randomly | Doroodgar et al., 2014b** |
Damghan | Semnan | ‒ | ‒ | ‒ | ‒ | 30 | ‒ | ‒ | 30.9 | ‒ | ‒ | ‒ | Females | Local | 2008 | Overall | Mohammadi Azni, 2014** |
Azadshahr | Golestan | ‒ | 229 | ‒ | ‒ | 3 | ‒ | ‒ | 1.3 | ‒ | ‒ | ‒ | Females | Local | 2012–2013 | Overall | Motevalli Haghi et al., 2014a** |
Sari | Mazandaran | ‒ | ‒ | 890 | ‒ | ‒ | 19 | ‒ | ‒ | 2.1 | ‒ | 890 | Both | Local | 2012–2013 | Randomly | Motevalli Haghi et al., 2014b** |
Abadan | Khuzestan | ‒ | ‒ | 104 | ‒ | ‒ | 7 | ‒ | ‒ | 6.7 | 26 | 104 | Both | Local | 2012 | Randomly | Salehi et al., 2014** |
Bayengan | Kermanshah | ‒ | ‒ | 65 | ‒ | ‒ | 16 | ‒ | ‒ | 24.6 | 4 | 65 | Both | Local | ‒ | Randomly | Sayyadi et al., 2014** |
Bonab | East Azerbaijan | ‒ | 641 | ‒ | ‒ | 20 | ‒ | ‒ | 3.1 | ‒ | ‒ | ‒ | Females | Local | 2013–2014 | Overall | Kabiri et al., 2015** |
Savojbolagh | Alborz | ‒ | ‒ | 2098 | ‒ | ‒ | 41 | ‒ | ‒ | 2.0 | ‒ | 2098 | Both | Local | Sep–Dec 2013 | Overall | Bahrami et al., 2016** |
Galugah | Mazandaran | ‒ | ‒ | 68 | ‒ | ‒ | 3 | ‒ | ‒ | 4.4 | 16 | 68 | Both | Local | 2009–2010 | Randomly | Kassiri, Esteghali, 2016** |
Khorramshahr | Khuzestan | ‒ | ‒ | ‒ | ‒ | ‒ | ‒ | ‒ | ‒ | 0.7 | 10 | ‒ | Both | Local | 2008–2009 | Randomly | Kassiri, Gatifi, 2016** |
Kalaleh | Golestan | ‒ | ‒ | 167 | ‒ | ‒ | 15 | ‒ | ‒ | 9.0 | 4 | 167 | Both | Local | Oct–Dec 2015 | Randomly | Maleky et al., 2016** |
Paveh | Kermanshah | ‒ | 105 | ‒ | ‒ | 22 | ‒ | ‒ | 21.0 | ‒ | 5 | ‒ | Females | Local | ‒ | Overall | Sayyad et al., 2016** |
Sirik | Hormozgan | ‒ | 55 | ‒ | ‒ | ‒ | ‒ | ‒ | 39.0 | ‒ | ‒ | ‒ | Females | Local | Nov 2015– Feb 2016 | Randomly | Sanei–Dehkordi et al., 2017** |
Bashagard | Hormozgan | ‒ | 57 | ‒ | ‒ | ‒ | ‒ | ‒ | 71.9 | ‒ | ‒ | ‒ | Females | Local | ‒ | Randomly | Soleimani–Ahmadi et al., 2017** |
Meshginshahr | Ardabil | ‒ | ‒ | 108 | 11 | 0.55 | 20 | 108 | Both | Local | 2015–2016 | Randomly | Abbasgholizadeh et al., 2018** | ||||
Meshginshahr | Ardabil | ‒ | ‒ | 321 | ‒ | ‒ | 13 | ‒ | ‒ | 4.0 | 20 | 321 | Both | Local | Oct 2015–Jun 2016 | Randomly | Moradiasl et al., 2018** |
Meybod | Yazd | ‒ | 53 | ‒ | ‒ | 5 | ‒ | ‒ | 9.4 | ‒ | 4 | ‒ | Females | Local | 2015–2016 | Randomly | Morovati Sharif Abadi et al., 2018** |
Andimeshk, Dezful and Shush | Khuzestan | ‒ | ‒ | 5099 | ‒ | ‒ | 399 | ‒ | ‒ | 7.8 | 280 | 5099 | Both | Local | Feb–Jun 2016 | Randomly | Nejati et al., 2018** |
Qom | Qom | ‒ | 346 | ‒ | ‒ | 61 | ‒ | ‒ | 17.6 | ‒ | 75 | ‒ | Females | Local | Mar 2015–Mar 2017 | Randomly | Saghafipour et al., 2018** |
Sabzevar | Razavi Khorasan | ‒ | ‒ | 188 | ‒ | ‒ | 21 | ‒ | ‒ | 11.2 | ‒ | 188 | Both | Local | 2015–2016 | Randomly | Tarkhasi et al., 2018** |
Badrud | Isfahan | ‒ | ‒ | 246 | ‒ | ‒ | 14 | ‒ | ‒ | 0.87 | ‒ | 246 | Both | Local | 2017–2018 | Overall | Dehghani et al., 2019** |
Tonekabon | Mazandaran | ‒ | 254 | ‒ | ‒ | 57 | ‒ | ‒ | 22.4 | ‒ | ‒ | ‒ | Females | Local | 2017–2018 | Randomly | Heidarpour et al., 2019** |
Mashhad | Razavi Khorasan | ‒ | 443 | ‒ | ‒ | 47 | ‒ | ‒ | 10.6 | ‒ | ‒ | ‒ | Females | Local | 2017–2018 | Randomly | Mohammadi et al., 2019** |
Karun | Khuzestan | ‒ | ‒ | 131 | ‒ | ‒ | 26 | ‒ | ‒ | 19.8 | ‒ | 131 | Both | Local | 2017 | Randomly | Kassiri et al., 2020b** |
Birjand | South Khorasan | ‒ | 1549 | ‒ | ‒ | 197 | ‒ | ‒ | 12.7 | ‒ | 19 | ‒ | Females | Local | 2017 | Randomly | Lashkari et al., 2020** |
Khorramabad | Lorestan | ‒ | ‒ | 1127 | ‒ | ‒ | 24 | ‒ | ‒ | 2.1 | ‒ | 3890 | Both | Local | 2018–2019 | Randomly | Galehdar et al., 2021 |
Ahvaz | Khuzestan | ‒ | ‒ | 977 | ‒ | ‒ | 202 | ‒ | ‒ | 20.7 | ‒ | 977 | Both | Local | Jan 2016–Jun 2017 | Randomly | Kassiri, Mehraghaei, 2021** |
Tabriz | East Azerbaijan | ‒ | ‒ | 883 | ‒ | ‒ | 28 | ‒ | ‒ | 3.2 | 33 | 883 | Both | Local | Jan–Mar 2018 | Randomly | Norouzi et al., 2021** |
Gilan–e Gharb | Kermanshah | ‒ | ‒ | 337 | ‒ | ‒ | 5 | ‒ | ‒ | 1.5 | ‒ | 337 | Both | Local | 2018 | Overall | Zahirnia et al., 2021** |
Paveh | Kermanshah | ‒ | ‒ | 65 | ‒ | ‒ | 4 | ‒ | ‒ | 6.2 | 11 | 361 | Both | Local | Oct–Dec 2018 | Overall | Bekri, Shaghaghi, 2022 |
Gahavand | Hamadan | ‒ | 94 | ‒ | ‒ | 16 | ‒ | ‒ | 17.0 | ‒ | ‒ | ‒ | Females | Local | 2020 | Overall | Hajiloie et al., 2022** |
Marivan | Kurdistan | ‒ | ‒ | 59 | ‒ | ‒ | 12 | ‒ | ‒ | 20.3 | ‒ | 457 | Both | Local | 2018–2019 | Randomly | Rad et al., 2022 |
Varzaqan | East Azerbaijan | ‒ | ‒ | 91 | ‒ | ‒ | 7 | ‒ | ‒ | 7.7 | 26 | 400 | Both | Local | Dec 2019–Jan 2020 | Randomly | Sepehri, Jafari, 2022 |
12 years (sixth grade) | |||||||||||||||||
Iranshahr | Sistan and Baluchestan | ‒ | 61 | ‒ | ‒ | 27 | ‒ | ‒ | 44.3 | ‒ | 12 | ‒ | Females | Local | Nov 2002–May 2003 | Randomly | Alempour Salemi et al., 2003** |
Kerman | Kerman | ‒ | ‒ | 86 | ‒ | ‒ | 5 | ‒ | ‒ | 5.8 | 50 | 86 | Both | Local | Apr–Jun 2003 | Randomly | Kamiabi, Nakhaei, 2005** |
Amlash | Gilan | ‒ | ‒ | 21 | ‒ | ‒ | 2 | ‒ | ‒ | 9.5 | 95 | 21 | Both | Local | 2003–2004 | Overall | Rafinejad et al., 2006** |
Sanandaj | Kurdistan | ‒ | 66 | ‒ | ‒ | 11 | ‒ | ‒ | 16.7 | ‒ | ‒ | ‒ | Females | Local | 2005 | Randomly | Yaghmaei et al., 2007** |
Urmia | West Azerbaijan | ‒ | ‒ | 826 | ‒ | ‒ | 29 | ‒ | ‒ | 3.5 | 35 | 826 | Both | Local | Oct–Dec 2010 | Randomly | Hazrati Tappeh et al., 2012** |
Robat Karim | Tehran | ‒ | 10000 | ‒ | ‒ | 1 | ‒ | ‒ | 1.0 | ‒ | ‒ | ‒ | Females | Local | 2008–2009 | Randomly | Afshari et al., 2013** |
Ravansar | Kermanshah | ‒ | 77 | ‒ | ‒ | 8 | ‒ | ‒ | 10.4 | ‒ | 6 | ‒ | Females | Local | ‒ | Overall | Sayyadi et al., 2013** |
Paveh | Kermanshah | ‒ | 176 | ‒ | ‒ | 8 | ‒ | ‒ | 4.5 | ‒ | 25 | ‒ | Females | Local | 2009–2010 | Randomly | Vahabi et al., 2013** |
Azadshahr | Golestan | ‒ | 246 | ‒ | ‒ | 5 | ‒ | ‒ | 2.0 | ‒ | ‒ | ‒ | Females | Local | 2012–2013 | Overall | Motevalli Haghi et al., 2014a** |
Sari | Mazandaran | ‒ | ‒ | 902 | ‒ | ‒ | 15 | ‒ | ‒ | 1.7 | ‒ | 902 | Both | Local | 2012–2013 | Randomly | Motevalli Haghi et al., 2014b** |
Abadan | Khuzestan | ‒ | ‒ | 104 | ‒ | ‒ | 4 | ‒ | ‒ | 3.8 | 26 | 104 | Both | Local | 2012 | Randomly | Salehi et al., 2014** |
Bonab | East Azerbaijan | ‒ | 639 | ‒ | ‒ | 16 | ‒ | ‒ | 2.5 | ‒ | ‒ | ‒ | Females | Local | 2013–2014 | Overall | Kabiri et al., 2015** |
Kalaleh | Golestan | ‒ | ‒ | 167 | ‒ | ‒ | 15 | ‒ | ‒ | 9.0 | 4 | 167 | Both | Local | Oct–Dec 2015 | Randomly | Maleky et al., 2016** |
Sirik | Hormozgan | ‒ | 45 | ‒ | ‒ | ‒ | ‒ | ‒ | 36.0 | ‒ | ‒ | ‒ | Females | Local | Nov 2015– Feb 2016 | Randomly | Sanei–Dehkordi et al., 2017** |
Bashagard | Hormozgan | ‒ | 47 | ‒ | ‒ | ‒ | ‒ | ‒ | 68.1 | ‒ | ‒ | ‒ | Females | Local | ‒ | Randomly | Soleimani–Ahmadi et al., 2017** |
Meshginshahr | Ardabil | ‒ | ‒ | 126 | ‒ | ‒ | 13 | ‒ | ‒ | 0.66 | 20 | 126 | Both | Local | 2015–2016 | Randomly | Abbasgholizadeh et al., 2018** |
Meshginshahr | Ardabil | ‒ | ‒ | 320 | ‒ | ‒ | 11 | ‒ | ‒ | 3.4 | 20 | 320 | Both | Local | Oct 2015–Jun 2016 | Randomly | Moradiasl et al., 2018** |
Meybod | Yazd | ‒ | 62 | ‒ | ‒ | 8 | ‒ | ‒ | 12.9 | ‒ | 4 | ‒ | Females | Local | 2015–2016 | Randomly | Morovati Sharif Abadi et al., 2018** |
Sabzevar | Razavi Khorasan | ‒ | ‒ | 187 | ‒ | ‒ | 19 | ‒ | ‒ | 10.2 | ‒ | 187 | Both | Local | 2015–2016 | Randomly | Tarkhasi et al., 2018** |
Badrud | Isfahan | ‒ | ‒ | 237 | ‒ | ‒ | 10 | ‒ | ‒ | 0.62 | ‒ | 237 | Both | Local | 2017–2018 | Overall | Dehghani et al., 2019** |
Tonekabon | Mazandaran | ‒ | 240 | ‒ | ‒ | 49 | ‒ | ‒ | 20.4 | ‒ | ‒ | ‒ | Females | Local | 2017–2018 | Randomly | Heidarpour et al., 2019** |
Mashhad | Razavi Khorasan | ‒ | 580 | ‒ | ‒ | 64 | ‒ | ‒ | 11.0 | ‒ | ‒ | ‒ | Females | Local | 2017–2018 | Randomly | Mohammadi et al., 2019** |
Birjand | South Khorasan | ‒ | 451 | ‒ | ‒ | 70 | ‒ | ‒ | 15.5 | ‒ | 19 | ‒ | Females | Local | 2017 | Randomly | Lashkari et al., 2020** |
Semnan | Semnan | ‒ | ‒ | 265 | ‒ | ‒ | 15 | ‒ | ‒ | 5.7 | 8 | 265 | Both | Local | Mar 2018–May 2018 | Randomly | Shirzadi et al., 2020** |
Khorramabad | Lorestan | ‒ | ‒ | 1168 | ‒ | ‒ | 25 | ‒ | ‒ | 2.1 | ‒ | 3890 | Both | Local | 2018–2019 | Randomly | Galehdar et al., 2021 |
Tabriz | East Azerbaijan | ‒ | ‒ | 883 | ‒ | ‒ | 28 | ‒ | ‒ | 3.2 | 33 | 883 | Both | Local | Jan–Mar 2018 | Randomly | Norouzi et al., 2021** |
Gilan–e Gharb | Kermanshah | ‒ | ‒ | 420 | ‒ | ‒ | 4 | ‒ | ‒ | 1.0 | ‒ | 420 | Both | Local | 2018 | Overall | Zahirnia et al., 2021** |
Paveh | Kermanshah | ‒ | ‒ | 40 | ‒ | ‒ | 2 | ‒ | ‒ | 5.0 | 11 | 361 | Both | Local | Oct–Dec 2018 | Overall | Bekri, Shaghaghi, 2022 |
Gahavand | Hamadan | ‒ | 72 | ‒ | ‒ | 12 | ‒ | ‒ | 16.7 | ‒ | ‒ | ‒ | Females | Local | 2020 | Overall | Hajiloie et al., 2022** |
Marivan | Kurdistan | ‒ | ‒ | 108 | ‒ | ‒ | 25 | ‒ | ‒ | 23.1 | ‒ | 457 | Both | Local | 2018–2019 | Randomly | Rad et al., 2022 |
Varzaqan | East Azerbaijan | ‒ | ‒ | 45 | ‒ | ‒ | 3 | ‒ | ‒ | 6.7 | 26 | 400 | Both | Local | Dec 2019–Jan 2020 | Randomly | Sepehri, Jafari, 2022 |
Family income | E | I | I (%) | ||||||||||||||
P | M | R | P | M | R | P | M | R | |||||||||
Sanandaj | Kurdistan | 97 | 324 | 774 | 38 | 95 | 102 | 39.2 | 29.3 | 13.2 | 18 | 1195 | Both | Local | ‒ | Randomly | Davari, Yaghmaei, 2005** |
Sarab | East Azerbaijan | 108 | 505 | 48 | ‒ | ‒ | ‒ | 13.0 | 4.6 | 0 | 40 | 661 | Both | Local | Aug 2013–Mar 2014 | Randomly | Dehghanzadeh et al., 2015** |
Meybod | Yazd | 63 | 210 | 129 | 11 | 26 | 22 | 17.5 | 12.4 | 17.1 | 4 | 402 | Females | Local | 2015–2016 | Randomly | Morovati Sharif Abadi et al., 2018** |
Qom | Qom | 908 | 334 | 483 | 160 | 50 | 19 | 17.6 | 15.0 | 3.9 | 75 | 1725 | Females | Local | Mar 2015–Mar 2017 | Randomly | Saghafipour et al., 2018** |
Birjand | South Khorasan | 284 | 268 | 588 | 53 | 34 | 46 | 18.7 | 12.7 | 7.8 | 19 | 2417 | Females | Local | 2017 | Randomly | Lashkari et al., 2020** |
Semnan | Semnan | 133 | 524 | 110 | 14 | 23 | 3 | 10.5 | 4.4 | 2.7 | 8 | 767 | Both | Local | Mar 2018–May 2018 | Randomly | Shirzadi et al., 2020** |
Marivan | Kurdistan | 174 | 195 | 81 | 40 | 52 | 15 | 23.0 | 26.7 | 18.5 | ‒ | 457 | Both | Local | 2018–2019 | Randomly | Rad et al., 2022 |
Varzaqan | East Azerbaijan | 49 | 282 | 59 | 16 | 23 | 2 | 32.7 | 8.2 | 3.4 | 26 | 400 | Both | Local | Dec 2019–Jan 2020 | Randomly | Sepehri, Jafari, 2022 |
Hair length | E | I | I (%) | ||||||||||||||
S | M | L | S | M | L | S | M | L | |||||||||
Kerman | Kerman | 738 | ‒ | 462 | 9 | ‒ | 36 | 1.2 | ‒ | 7.8 | 50 | 1200 | Both | Local | Apr–Jun 2003 | Randomly | Kamiabi, Nakhaei, 2005** |
Amlash | Gilan | 2657 | 1085 | 502 | 157 | 159 | 76 | 5.9 | 14.7 | 15.1 | 95 | 4244 | Both | Local | 2003–2004 | Overall | Rafinejad et al., 2006** |
Sanandaj | Kurdistan | 230 | 222 | 148 | 11 | 20 | 15 | 4.8 | 9.0 | 10.1 | ‒ | 600 | Females | Local | 2005 | Randomly | Yaghmaei et al., 2007** |
Sanandaj | Kurdistan | 291 | 314 | 205 | 16 | 15 | 7 | 5.5 | 4.8 | 3.4 | 27 | 810 | Females | Local | ‒ | Randomly | Vahabi et al., 2012** |
Ravansar | Kermanshah | 162 | 124 | 99 | 18 | 18 | 25 | 11.1 | 14.5 | 25.3 | 6 | 385 | Females | Local | ‒ | Overall | Sayyadi et al., 2013** |
Paveh | Kermanshah | 273 | 292 | 185 | 20 | 29 | 11 | 7.3 | 9.9 | 5.9 | 25 | 750 | Females | Local | 2009–2010 | Randomly | Vahabi et al., 2013** |
Bayengan | Kermanshah | 140 | 150 | 94 | 19 | 23 | 12 | 13.6 | 15.3 | 12.8 | 4 | 384 | Both | Local | ‒ | Randomly | Sayyadi et al., 2014** |
Sarab | East Azerbaijan | 310 | 256 | 95 | ‒ | ‒ | ‒ | 2.3 | 5.5 | 16.8 | 40 | 661 | Both | Local | Aug 2013–Mar 2014 | Randomly | Dehghanzadeh et al., 2015** |
Savojbolagh | Alborz | 1406 | 3068 | 8308 | 23 | 75 | 140 | 1.6 | 2.4 | 1.7 | ‒ | 12782 | Both | Local | Sep–Dec 2013 | Overall | Bahrami et al., 2016** |
Galugah | Mazandaran | 108 | ‒ | 192 | 5 | ‒ | 12 | 4.6 | ‒ | 6.3 | 16 | 300 | Both | Local | 2009–2010 | Randomly | Kassiri, Esteghali, 2016** |
Kalaleh | Golestan | 325 | 140 | 68 | 5 | 13 | 16 | 1.5 | 9.3 | 23.5 | 4 | 541 | Both | Local | Oct–Dec 2015 | Randomly | Maleky et al., 2016** |
Paveh | Kermanshah | 175 | 180 | 130 | 25 | 38 | 22 | 14.3 | 21.1 | 16.9 | 5 | 485 | Females | Local | ‒ | Overall | Sayyad et al., 2016** |
Jahrom | Fars | 307 | 282 | 128 | 22 | 20 | 7 | 7.2 | 7.1 | 5.5 | ‒ | 717 | Both | Local | 2016–2017 | Randomly | Majidi et al., 2017** |
Meybod | Yazd | 133 | 168 | 101 | 30 | 15 | 14 | 22.6 | 8.9 | 13.9 | 4 | 402 | Females | Local | 2015–2016 | Randomly | Morovati Sharif Abadi et al., 2018** |
Bojnurd | North Khorasan | 334 | 277 | 227 | 14 | 8 | 7 | 4.0 | 2.8 | 2.6 | ‒ | 867 | Both | Local | 2016 | Randomly | Firoozfar et al., 2019** |
Tonekabon | Mazandaran | 343 | 645 | 478 | 83 | 123 | 86 | 24.2 | 19.1 | 18.0 | ‒ | 1466 | Females | Local | 2017–2018 | Randomly | Heidarpour et al., 2019** |
Karun | Khuzestan | 444 | ‒ | 307 | 88 | ‒ | 129 | 19.8 | ‒ | 42.0 | ‒ | 751 | Both | Local | 2017 | Randomly | Kassiri et al., 2020b** |
Khorramabad | Lorestan | 723 | 2178 | 989 | 23 | 70 | 55 | 3.2 | 3.2 | 5.6 | ‒ | 3890 | Both | Local | 2018–2019 | Randomly | Galehdar et al., 2021 |
Ahvaz | Khuzestan | 3516 | ‒ | 2414 | 710 | ‒ | 852 | 20.2 | ‒ | 35.3 | ‒ | 5930 | Both | Local | Jan 2016–Jun 2017 | Randomly | Kassiri, Mehraghaei, 2021** |
Gilan–e Gharb | Kermanshah | 1213 | 708 | 594 | 8 | 17 | 39 | 0.66 | 2.4 | 6.6 | ‒ | 2515 | Both | Local | 2018 | Overall | Zahirnia et al., 2021** |
Hairstyle | E | I | I (%) | ||||||||||||||
St | C | W | St | C | W | St | C | W | |||||||||
Hamadan | Hamadan | 290 | 62 | ‒ | 33 | 22 | ‒ | 10.2 | 26.2 | ‒ | 12 | 847 | Both | Local | ‒ | Overall | Nazari et al., 2006** |
Amlash | Gilan | 3621 | ‒ | 623 | 294 | ‒ | 98 | 8.1 | ‒ | 15.7 | 95 | 4244 | Both | Local | 2003–2004 | Overall | Rafinejad et al., 2006** |
Sari | Mazandaran | 3695 | ‒ | 1017 | 56 | ‒ | 22 | 1.5 | ‒ | 2.2 | ‒ | 4712 | Both | Local | 2012–2013 | Randomly | Motevalli Haghi et al., 2014b** |
Sarab | East Azerbaijan | 438 | 160 | 63 | ‒ | ‒ | ‒ | 5.9 | 6.2 | 1.6 | 40 | 661 | Both | Local | Aug 2013–Mar 2014 | Randomly | Dehghanzadeh et al., 2015** |
Galugah | Mazandaran | 258 | ‒ | 42 | 13 | ‒ | 4 | 5.0 | ‒ | 9.5 | 16 | 300 | Both | Local | 2009–2010 | Randomly | Kassiri, Esteghali, 2016** |
Khorramshahr | Khuzestan | ‒ | ‒ | ‒ | ‒ | ‒ | ‒ | 1.0 | ‒ | 2.6 | 10 | 750 | Both | Local | 2008–2009 | Randomly | Kassiri, Gatifi, 2016** |
Asadabad | Hamadan | 527 | ‒ | 73 | 10 | ‒ | 4 | 1.9 | ‒ | 5.5 | 16 | 600 | Both | Local | 2013–2014 | Randomly | Nazari et al., 2016a** |
Jahrom | Fars | 649 | ‒ | 68 | 38 | ‒ | 11 | 5.9 | ‒ | 16.2 | ‒ | 717 | Both | Local | 2016–2017 | Randomly | Majidi et al., 2017** |
Meybod | Yazd | 328 | 63 | 11 | 49 | 9 | 1 | 14.9 | 14.3 | 9.1 | 4 | 402 | Females | Local | 2015–2016 | Randomly | Morovati Sharif Abadi et al., 2018** |
Bojnurd | North Khorasan | 374 | 176 | 288 | 8 | 7 | 14 | 2.1 | 3.3 | 4.6 | ‒ | 867 | Both | Local | 2016 | Randomly | Firoozfar et al., 2019** |
Tonekabon | Mazandaran | 1105 | ‒ | 361 | 209 | ‒ | 83 | 18.9 | 22.9 | ‒ | 1466 | Females | Local | 2017–2018 | Randomly | Heidarpour et al., 2019** | |
Karun | Khuzestan | 637 | ‒ | 114 | 174 | ‒ | 43 | 27.3 | ‒ | 37.7 | ‒ | 751 | Both | Local | 2017 | Randomly | Kassiri et al., 2020b** |
Khorramabad | Lorestan | 3169 | 720 | ‒ | 122 | 26 | ‒ | 3.8 | 3.6 | ‒ | ‒ | 3890 | Both | Local | 2018–2019 | Randomly | Galehdar et al., 2021 |
Ahvaz | Khuzestan | 4783 | ‒ | 1147 | 1147 | ‒ | 415 | 24.0 | ‒ | 36.2 | ‒ | 5930 | Both | Local | Jan 2016–Jun 2017 | Randomly | Kassiri, Mehraghaei, 2021** |
Tabriz | East Azerbaijan | 2495 | ‒ | 537 | 117 | ‒ | 13 | 4.7 | ‒ | 2.4 | 33 | 3032 | Both | Local | Jan–Mar 2018 | Randomly | Norouzi et al., 2021** |
Notes. C ‒ curly, E ‒ examined, I ‒ infested, L ‒ long (> shoulder level), M ‒ medium, M ‒ medium (> 3 cm to shoulder level), P ‒ poor, R ‒ rich, S ‒ short (< 3 cm), St ‒ straight, W ‒ wavy. **Cited in Nasirian, 2023b.
Summary of the study approach
Based on a literature search, the data and variables about P. capitis infestation in students of preschools and primary schools (extracted from 106 articles) are summarized in Table 1. The data and variables about P. capitis infestation in the age groups of primary school students (extracted from 55 articles) are summarized in Table 2. The data and variables about P. capitis infestation in the community (extracted from 17 articles) are summarized in Table 3. The data and variables about P. capitis infestation in the age groups of the community (extracted from 12 articles) are summarized in Table 4. The data and variables about the impact of family size on P. capitis infestation level in students of primary schools (extracted from 28 articles) are summarized in Table 5. The data and variables about the impact of father’s and mother’s education, and bathing and hair washing frequency on P. capitis infestation level of primary school students (extracted from 49 articles) are summarized in Table 6.
The data and variables about P. capitis infestation in private and public in rural and urban areas, the impact of the existence of bathing facilities in student residences and health instructor involvement in student schools, history of infestation, and sharing equipment on P. capitis infestation level in students of primary schools (extracted from 55 articles) are summarized in Table 7. The data and variables for the impact of age and education, family income, and hair length and style on P. capitis infestation level of primary school students (extracted from 59 articles) are summarized in Table 8. Overall, a total of 155 articles were used, of which 126 were used in data extraction, and 29 were used for discussion, interpretation, and body text.
Statistical analysis
The location of provinces (Fig. 1a), the meridians 50°E, 55°E, and 60°E, and the tropics 30°N and 35°N (Fig. 1d), and the geographic (Fig. 1b, 1c) and climatic regions of Iran were taken into account for any statistical analysis. The climatic regions of Iran include moderate and humid climatic region (the southern shores of the Caspian Sea), cold climatic region (the Western mountains), semidesert and temperate climatic region, hot and dry climatic region (the central plateau), and hot and humid climatic region (the south coast). The median and interquartile range (IQR) were reported from descriptive statistics. The Kruskal-Wallis test was used to compare infestation rates (Table 9). The trends were designed based on the means of infestation each year (Figs 1–4). The trends of P. capitis infestation in the provinces (Fig. 2), the geographic and climatic regions (Fig. 3), seasons, and the meridians 50°E, 55°E and 60°E and the tropics 30°N and 35°N (Fig. 4) of Iran were designed. The distribution and stratification of the P. capitis infestation in Iran were provided based on the regression coefficient (Fig. 5). Interaction modeling with multivariable Poisson regression was conducted for the interaction time trends of the categorical variables with enough observations (Table 10). All the analyses were performed by R programming version 4.3.2 (R Foundation for Statistical Computing, Austria). The trends were shown on the geographical map of Iran using ArcMap 10.8.2 (Esri Inc., US).
Table 9. Descriptive statistics and Kruskal-Wallis test comparison of factor impact on P. capitis infestation level, based on a literature search
Variables | Median (IQR) | P-values | Pc-values | Variables | Median (IQR) | P-values | Pc-values | Variables | Median (IQR) | P-values | Pc-values |
Population | Private and public schools | Ardabil | 4.5 (2.1–10.3) | ||||||||
Preschools | 5.1 (2.2–7.9) | < 0.001 | < 0.05 | Private | 6.5 (0.73–14.2) | 0.462 | > 0.05 | Bushehr | 2.9 (2.4–12.0) | ||
Primary schools | 8.4 (3.2–17.4) | Public | 8.3 (5.5–17.2) | Chaharmahal and Bakhtiari | 0.35 (0.24– 0.59) | ||||||
Community | 5.5 (1.8–10.0) | Rural and urban areas | East Azerbaijan | 4.2 (2.8–7.8) | |||||||
Community age groups | 2.6 (1.4–6.0) | Rural | 3.6 (1.6–14.6) | 0.329 | > 0.05 | Fars | 4.2 (0.72–7.4) | ||||
Student age groups | Urban | 1.7 (0.75–10.4) | Gilan | 8.5 (3.8–10.1) | |||||||
6 years | 8.6 (7.3–24.0) | 0.880 | > 0.05 | Student education levels | Golestan | 5.4 (4.1–9.0) | |||||
7 years | 11.1 (3.3–19.7) | First grade | 10.9 (3.6–20.0) | 0.894 | > 0.05 | Hamadan | 5.6 (1.7–16.7) | ||||
8 years | 9.8 (3.1–16.3) | Second grade | 9.8 (3.1–16.3) | Hormozgan | 33.3 (20.9–59.4) | ||||||
9 years | 10.0 (3.0–18.6) | Third grade | 10.0 (3.0–18.6) | Ilam | 5.6 (0.97–32.4) | ||||||
10 years | 8.8 (2.4–17.2) | Fourth grade | 8.8 (2.4–17.2) | Isfahan | 0.75 (0.41–1.5) | ||||||
11 years | 8.8 (2.9–18.2) | Fifth grade | 8.8 (2.9–18.2) | Kerman | 2.9 (1.3– 0.68) | ||||||
12 years | 5.8 (2.9–14.2) | Sixth grade | 5.8 (2.9–14.2) | Kermanshah | 10.4 (5.7–16.1) | ||||||
Community targets | Community age groups | Khuzestan | 11.0 (3.0–25.8) | ||||||||
Community | 10.1 (4. 5–20.0) | < 0.001 | < 0.05 | 6-18 years | 2.4 (1.2–5.2) | 0.004 | > 0.05 | Kohgiluyeh and Boyer-Ahmad | 9.3 (1.4–17.2) | ||
Health centers | 10.0 (5.6–17.8) | 19-29 years | 7.3 (5.9–9.3) | Kurdistan | 8.4 (4.8–22.0) | ||||||
Secondary schools | 5.0 (3.0–6.4) | 30-60 years | 9.9 (7.9–11.9) | Lorestan | 3.8 (2.2–10.5) | ||||||
Student community | 1.9 (0.92–3.4) | > 60 years | 2.3 (1.2–3.2) | Markazi | 1.8 (1.5–2.5) | ||||||
Gender | Family income level | Mazandaran | 6.5 (2.0– 17.8) | ||||||||
Boys | 1.8 (0.53–5.4) | < 0.001 | < 0.05 | Poor | 18.2 (16.4–25.4) | 0.024 | > 0.05 | North Khorasan | 5.3 (3.0–11.6) | ||
Girls | 12.4 (5.9–20.0) | Medium | 12.6 (7.3–17.9) | Qazvin | 1.9 (1.7–2.3) | ||||||
Both (boys and girls) | 1.8 (0.53–5.4) | Rich | 5.9 (3.2–14.2) | Qom | 12.2 (7.5–17.4) | ||||||
Fatherʼs education levels | Motherʼs education levels | Razavi Khorasan | 13.1 (10.6–15.5) | ||||||||
Population | Private and public schools | Ardabil | |||||||||
Illiterate | 18.6 (10.3–26.5) | < 0.001 | < 0.05 | Illiterate | 20.4 (9.3–26.6) | < 0.001 | < 0.05 | Semnan | 5.9 (4.1 – 15.5) | ||
Primary schools | 9.2 (5.1–20.4) | Primary schools | 8.0 (4.0–18.5) | Sistan and Baluchestan | 25.2 (9.2–30.4) | ||||||
Secondary schools | 7.5 (2.8–15.5) | Secondary schools | 4.7 (1.7–10.15) | South Khorasan | 13.6 (9.3–15.8) | ||||||
University or higher | 5.4 (1.9–7.7) | University or higher | 3.3 (0.72–8.7) | Tehran | 5.5 (1.5–20.4) | ||||||
Bathing frequency | Hair washing frequency | West Azerbaijan | 3.6 (3.5–5.5) | ||||||||
Once two weeks | 11.3 (1.3–21.3) | 0.380 | > 0.05 | Once two weeks | 5.0 (1.3–8.7) | 0.380 | > 0.05 | Yazd | 13.4 (9.0–16.7) | ||
once a week | 11.3 (5.8–17.0) | once a week | 10.6 (3.7–23.4) | Zanjan | 1.9 (0.77–6.9) | ||||||
twice a week | 6.4 (3.4–12.7) | twice a week | 4.9 (1.3–14.4) | Years | |||||||
≥ 3 | 10.1 (6.1–19.0) | ≥ 3 | 6.8 (3.7–11.0) | 1999 | 3.7 (0.95–8.6) | < 0.001 | < 0.05 | ||||
BFE | History of infestation | 2000 | 5.1 (5.1–5.1) | ||||||||
Yes | 4.5 (2.4–8.3) | 0.034 | > 0.05 | Yes | 41.4 (34.1–47.1) | 0.003 | > 0.05 | 2001 | 12.0 (1.6–22.0) | ||
No | 14.9 (6.0–39.7) | No | 8.6 (4.0–9.3) | 2002 | 14.1 (9.2–19.2) | ||||||
HII | Sharing equipment | 2003 | 26.3 (25.2–30.4) | ||||||||
Yes | 6.5 (3.9–13.0) | 0.023 | > 0.05 | Yes | 13.2 (7.4–27.4) | 0.002 | > 0.05 | 2004 | 4.5 (3.6–4.9) | ||
No | 13.4 (6.4–19.2) | No | 5.7 (3.0–12.6) | 2005 | 5.7 (3.1–12.3) | ||||||
Student hair length | Student hair style | 2006 | 10.7 (8.5–19.6) | ||||||||
Short | 5.7 (3.0–13.8) | 0.186 | > 0.05 | Straight | 5.9 (3.0–12.6) | 0.770 | > 0.05 | 2007 | 10.9 (7.1–17.4) | ||
Medium | 9.0 (4.4–14.6) | Curly | 6.2 (3.6–14.3) | 2008 | 2.7 (1.3–4.9) | ||||||
Long | 11.5 (5.8–17.2) | Wavy | 9.1 (2.6–16.2) | 2009 | 1.5 (1.1–2.2) | ||||||
Regions | Climatic regions | 2010 | 3.7 (2.3–7.7) | ||||||||
Region 1 | 6.3 (2.8–15.1) | < 0.001 | < 0.05 | Moderate and humid climatea | 6.2 (2.9–11.8) | < 0.001 | < 0.05 | 2011 | 6.3 (3.5–29.7) | ||
Region 2 | 5.5 (0.86–24.0) | Cold climateb | 6.9 (2.7–14.2) | 2012 | 5.7 (3.5–14.6) | ||||||
Region 3 | 5.7 (3.2–10.7) | Semidesert and temperate climate | 3.9 (0.74–11.5) | 2013 | 11.2 (6.8 – 17.5) | ||||||
Region 4 | 9.1 (2.8–18.8) | Hot and dry climatec | 8.6 (3.3–17.9) | 2014 | 2.9 (1.4–9.8) | ||||||
Region 5 | 10.6 (3.8–16.0) | Hot and humid climate | 18.5 (4.8–30.4) | 2015 | 3.9 (2.4–7.9) | ||||||
Family size | Seasons | 2016 | 5.0 (2.0–9.5) | ||||||||
Ⅲ | 6.1 (2.7–14.1) | 0.073 | > 0.05 | Spring | 5.7 (2.7 – 11.0) | 0.009 | > 0.05 | 2017 | 36.0 (15.5–60.4) | ||
Ⅳ | 6.7 (3.3–13.6) | Summer | 5.5 (2.2– 10.6) | 2018 | 6.8 (2.1–12.5) | ||||||
Ⅴ | 9.9 (5.7–17.0) | Autumn | 6.8 (2.2–15.5) | 2019 | 14.6 (4.5–20.4) | ||||||
Ⅵ | 13.9 (6.7–20.4) | Winter | 7.8 (3.2–20.3) | 2020 | 9.0 (3.3–20.3) | ||||||
≥ 7 | 13.3 (4.8–23.7) | Provinces | 2021 | 5.0 (3.2–20.7) | |||||||
Alborz | 1.9 (1.8–2.8) | < 0.001 | < 0.05 | 2022 | 15.9 (7.7–20.8) |
Due to the right skewness of the distribution, instead of the mean and standard deviation, the median and the interquartile range of the P. capitis infestation percentage were reported. For this reason, the Kruskal-Wallis test was used instead of an ANOVA. Since most tests are hypothesis-free, Pc-values is the criterion for declaring significance, and raw P-values is invalid. The simultaneously significant P- and Pc-values (P < 0.05) are shown in bold font. BFE ‒ bathing facility existence in student residences, HII ‒ health instructor involvement in student schools, Pc ‒ corrected P-value based on Bonferroni correction (26 simultaneous tests), IQR ‒ inter-quartile range. a The southern shores of the Caspian Sea, b the Western mountains, c the central plateau, d the South coast.
Figure 1. a – Map of the territory of the 31 provinces of Iran (source: https://en.wikipedia.org/wiki/Provinces_of_Iran ). b – the map of geographic regions of Iran. c – the geographic regions of Iran (source: https://en.wikipedia.org/wiki/Regions_of_Iran). d – location of the meridians 50°E, 55°E and 60°E, and the tropics 30°N and 35°N in Iran (source: https://www.mapsofworld.com/iran/) (Beck et al., 2018).
Figure 2. A. The trends of P. capitis infestation in the provinces of Iran: a – Ardabil, b – Bushehr, c – Fars, d – Gilan, e – Golestan, f – Hamadan, g – Hormozgan, h – Kerman, i – Kohgiluyeh and Boyer-Ahmad, j – Lorestan, k – Semnan, l – Sistan and Baluchestan, m – South Khorasan, n – Yazd, o – Razavi Khorasan.
Figure 2. B. The trends of P. capitis infestation in the provinces of Iran: a – Alborz, b – Chaharmahal and Bakhtiari, c – East Azerbaijan, d – Ilam, e – Isfahan, f – Kermanshah, g – Khuzestan, h – Kurdistan, i – Markazi, j – Mazandaran, k – North Khorasan, l – Qazvin, m – Qom, n – Tehran, o – West Azerbaijan, p – Zanjan.
Figure 3. The trends of P. capitis infestation in the geographic and climatic regions of Iran based on Fig. 1: a – the geographic region one, b – the geographic region two, c – the geographic region three, d – the geographic region four, e – the geographic region five, f – overall, g – the moderate and humid climatic region (the southern shores of the Caspian Sea), h – the cold climatic region (the western mountains), i – the semidesert and temperate climatic region, j – the hot and dry climatic region (the central plateau), k – the hot and humid climatic region (the south coast).
Figure 4. The trends of P. capitis infestation during seasons and in the meridians 50°E, 55°E and 60°E, and the tropics 30°N and 35°N: a – spring, b – summer, c – autumn, d – winter, e – the meridian 50°E, f – the meridian 55°E, g – the meridian 60°E, h – the tropic 30°N, i – the tropic 35°N.
Figure 5. The distribution and stratification of the P. capitis infestation in Iran based on the regression coefficient
Results
The trends of P. capitis infestation in provinces
The trends of P. capitis infestation in 14 provinces out of 31 provinces including Ardabil (Fig. 2Aa), Bushehr (Fig. 2Ab), Fars (Fig. 2Ac), Gilan (Fig. 2Ad), Golestan (Fig. 2Ae), Hamadan (Fig. 2Af), Hormozgan (Fig. 2Ag), Kerman (Fig. 2Ah), Kohgiluyeh and Boyer-Ahmad (Fig. 2Ai), Lorestan (Fig. 2Aj), Semnan (Fig. 2Ak), Sistan and Baluchestan (Fig. 2Al), South Khorasan (Fig. 2Am), and Yazd (Fig. 2An) have increased over the last two decades. The trend of P. capitis infestation in Razavi Khorasan province has stayed the same over the previous two decades (Fig. 2Ao). The trends of P. capitis infestation in 16 provinces including Alborz (Fig. 2Ba), Chaharmahal and Bakhtiari (Fig. 2Bb), East Azerbaijan (Fig. 2Bc), Ilam (Fig. 2Bd), Isfahan (Fig. 2Be), Kermanshah (Fig. 2Bf), Khuzestan (Fig. 2Bg), Kurdistan (Fig. 2Bh), Markazi (Fig. 2Bi), Mazandaran (Fig. 2Bj), North Khorasan (Fig. 2Bk), Qazvin (Fig. 2Bl), Qom (Fig. 2Bm), Tehran (Fig. 2Bn), West Azerbaijan (Fig. 2Bo), and Zanjan (Fig. 2Bp) have decreased over the last two decades.
The trends of P. capitis infestation in the geographic and climatic regions
The trends of P. capitis infestation in geographic regions one (Fig. 3a), two (Fig. 3b), and five (Fig. 3e) have increased over the last two decades. The trends of P. capitis infestation in geographic regions three (Fig. 3c) and four (Fig. 3d) have decreased over the previous two decades. The trends of P. capitis infestation in moderate and humid (the southern shores of the Caspian Sea) (Fig. 3g), hot and dry (the central plateau) (Fig. 3j), and hot and humid (the south coast) (Fig. 3k) climatic regions have increased over the last two decades. The trend of P. capitis infestation in semidesert and temperate climatic region has stayed the same over the previous two decades (Fig. 3i). The trend of P. capitis infestation in the cold (the western mountains) climatic region has decreased over the last two decades (Fig. 3h). The trend of P. capitis infestation overall has increased over the previous two decades (Fig. 3f).
The trends of P. capitis infestation during seasons and in the meridians and the tropics
Infestation trends of P. capitis in spring (Fig. 4a), summer (Fig. 4b), winter (Fig. 4d), and along the meridian 50°E (Fig. 4e) have decreased over the last two decades. The trends of P. capitis infestation in autumn (Fig. 4c), along the meridians 55°E (Fig. 4f) and 60°E (Fig. 4g), and the tropics 30°N (Fig. 4h) and 35°N (Fig. 4i) have increased over the last two decades.
The distribution and stratification of the P. capitis infestation
Based on the regression coefficient, the distribution and stratification of the P. capitis infestation in Iran are as follows: -ꝏ–-0.40, -0.40–-0.20, -0.20–0.00, 0.00–0.20, 0.20–0.40, and 0.40–+ꝏ (Fig. 5).
Statistical analysis of P. capitis infestation and comparison of factor impacts on P. capitis infestation level
The Kruskal-Wallis test showed a significant difference between P. capitis infestation in climatic regions, community targets, gender, population, provinces, regions, and years (Pc < 0.05). There was a significant difference between the factors of the father’s and mother’s education levels on P. capitis infestation levels (Pc < 0.05) (Table 9). Interaction modeling with Poisson regression showed a significant difference between P. capitis infestation in the primary school population and climatic regions (P < 0.05) (Table 10).
Table 10. Interaction modeling with Poisson regression
Interaction with time trend (years) | IRR (95% CI) | P-value |
Gender | ||
Boys | 0.99809 (1.00117–0.19671) | 0.104 |
Girls | 0.99772 (1.00117–0.14399) | 0.0526 |
Both (boys and girls) | 0.99833 (1.00117–0.24171) | 0.1556 |
Population | ||
Primary schools | 1.00013 (1.00004–17.11576) | 0.0045 * |
Community | 1.00003 (1.00004–1.90027) | 0.5208 |
Community age groups | 0.99993 (1.00004–0.27637) | 0.1985 |
Climatic region | ||
Cold climate (the Western mountains) | 1.00004 (1.00001–60.0994) | < 0.001* |
Semidesert and temperate climate | 0.9999 (1.00004–0.0015) | < 0.001* |
Hot and dry climate (the central plateau) | 1.00009 (1.00001–>10000) | < 0.001* |
Hot and humid climate (the south coast) | 1.00043 (1.00001––>10000) | < 0.001* |
* Significant at the level of 0.05. The significant P-values (P < 0.05) are shown in bold font.
IRR ‒ incidence rate ratio (H0: IRR = 1), CI ‒ confidence interval.
Interaction modeling with Poisson regression
The interactions of time trends with gender, population, and climatic region were investigated. Accordingly, the interaction of time trends with the primary school population was statistically significant and increased by 1.00013 times the incidence of infestation. Regarding climatic regions, semidesert and temperate region showed a statistically significant interaction that decreased 0.9999 times the incidence of infestation, while the other interactions of time trends with climatic regions were increasing. Gender groups did not significantly interact with the time trend (Table 10).
Discussion
The trends of P. capitis infestation have increased in about half of the country’s provinces over the previous two decades (Fig. 2A). Although these provinces are scattered throughout all geographic regions, they are mostly in one, two, and five geographic areas (Fig. 1a, 1b and 1c). That is why the trends of P. capitis infestation in geographic regions one (Fig. 3a), two (Fig. 3b), and five (Fig. 3e) have increased. These provinces are mostly located in the climatic regions of moderate and humid (the southern shores of the Caspian Sea), hot and dry (the central plateau), and hot and humid (the south coast) (Fig. 1e). For this reason, it is predictable that the trends of P. capitis infestation in moderate and humid (the southern shores of the Caspian Sea) (Fig. 3g), hot and dry (the central plateau) (Fig. 3j), and hot and humid (the south coast) (Fig. 3k) climatic regions will increase over the last two decades. Regarding the distribution and stratification of the P. capitis infestation, they are in the range of 0.00–0.20, 0.20–0.40, and 0.40–+ꝏ in the regression coefficient (Fig. 5).
The trends of P. capitis infestation have decreased in about half of the country’s provinces over the previous two decades (Fig. 2B). Although these provinces are scattered throughout all geographic regions, they are mostly in three and four geographic regions (Fig. 1a, 1b and 1c). That is why the trends of P. capitis infestation in geographic areas three (Fig. 3c) and four (Fig. 3d) have decreased. These provinces are mostly located in the cold climatic region (the western mountains) (Fig. 1e). For this reason, it is predictable that the trend of P. capitis infestation in the cold (the Western mountains) climatic region will decrease over the last two decades (Fig. 3h). Regarding the distribution and stratification of the P. capitis infestation, they are in the range of -ꝏ–-0.40, -0.40–-0.20, and -0.20–0.00 in the regression coefficient (Fig. 5).
A critical point is that, for the first time in this study, the impact of the meridians and the tropics that pass through Iran was also evaluated on P. capitis infestation. For this reason, the effect of the meridians at 50°E, 55°E and 60°E, and the tropics at 30°N and 35°N on P. capitis infestation trends in Iran was investigated. Based on the results of the study, the trends of P. capitis infestation in the meridians 55°E (Fig. 4f) and 60°E (Fig. 4g), and the tropics 30°N (Fig. 4h) and 35°N (Fig. 4i) have increased over the last two decades. The trend of P. capitis infestation in the meridian 50°E has decreased (Fig. 4e). These results are also a reflection of the geographic and climatic regions that were described and interpreted above. The reason is that the trend of P. capitis infestation has only increased in autumn (Fig. 4c), and the trends of P. capitis infestation have decreased in spring (Fig. 4a), summer (Fig. 4b), and winter (Fig. 4d) over the last two decades. The occurrence of P. capitis infestation varies according to the year’s seasonal circulation, with a maximum in late summer and early autumn. During the summer, particularly during the summer holidays, more frequent and intensive head-to-head contact may occur than during other periods of the year. During the summer months, and particularly during the summer holidays, children have more head contacts per unit of time than during other periods of the year. Besides, travel increases the likelihood that other children are encountered, of whom one or another might be infested with head lice. The increased exposure would then build up a reservoir of infested children when school opens after the summer holidays. In addition, longevity and fecundity depend on environmental factors such as air temperature and humidity, which have important consequences on collective biology such as the propagation of lice populations and their dispersion (Bauer et al., 2009; Nasirian, 2023b).
Lice infestation is very common in a community and is relatively higher in younger age groups compared with the adult population. The highest level of P. capitis infestation has been observed among primary school students in the population (8.4%). The highest level of P. capitis infestation has been observed in 7-year-old students (11.0%) and, as a result, at the first-grade educational level (10.9%). The P. capitis infestation level among girls (12.4%) was 6.9 times higher than boys (1.8%) because they have longer and thicker hair, which provides an optimal environment for the growth and occurrence of head lice. Furthermore, girls are more likely to spend their time in nearby play areas and engage during play in more head-to-head contact. Head lice also flourish indoors, while boys tend to spend more time outdoors engaging in active informal sporting activities (Alberfkani and Mero, 2020; Nasirian and Ahmadi, 2024). The highest level of P. capitis infestation has been observed among the regions five (10.6%) and four (9.1%), respectively. The highest level of P. capitis infestation has been observed in the hot and humid climatic region (18.5%). The highest level of P. capitis infestation has been observed in winter (7.8%) and autumn (6.8%), respectively. The students in public schools (8.3%) and rural areas (3.6%) are more infested with P. capitis than those in private schools (6.5%) and urban areas (1.7%). Compared to the global average P. capitis infestation level (25%) (Nasirian and Ahmadi, 2024), the most infested provinces and years have been Hormozgan (33.3%), Sistan and Baluchestan (25.2%), and 2017 (36.0%) and 2003 (26.3%), respectively (Table 9).
Based on the intensity of P. capitis infestation, the order of the influence of the factors that affect infestation is: history of infestation (in case of existence: 41.4%), mother’s education level (illiterate: 20.4%), father’s education level (illiterate: 18.6%), family income level (poor: 18.2%), bathing facility existence in student residences (in case of absence: 14.9%), family size (if Ⅵ persons or ≥ 7: 13.9 or 13.3%), health instructor involvement in student schools (in case of absence: 13.4%), sharing equipment (in case of existence: 13.2%), bathing frequency (once two weeks or once a week: 11.3%), hair washing frequency (once a week: 10.6%), and student hairstyle (wavy: 9.1%) (Table 9). The factors such as locality, regions, climatic regions, the meridians and the tropics, and years that were measured in this study should also be added.
Poisson regression modeling is used to study the effects of risk and protective factors on the incidence rate of an outcome. In our case, interaction modeling demonstrated that primary schools have a synergistic impact on time trends. In addition, the Western mountains, the central plateau, and the southeast showed synergistic effects with time trends on the incidence of the outcome. Adherence to proper hygiene practices, such as frequent hair washing and refraining from sharing personal items, can mitigate the risk of head lice infestation. Individuals suffering from head lice must minimize close contact with others until they are fully treated to prevent transmission (Galván-Casas et al., 2024). By fostering awareness about head lice infestations and ensuring access to effective treatments, Iran can work towards diminishing the incidence of this widespread issue among school-aged children. A collaborative effort between healthcare providers, schools, and families is essential for addressing and managing head lice infestations within the community (Alshaer, 2023). Education is very important for the progress of any country and depends on the health of its community.
Conclusion
The findings provide the national baseline data to initiate steps for national pediculosis intervention programs.
Acknowledgments
We kindly acknowledge the researchers (Nasirian, 2023a, 2023b; Nasirian and Ahmadi, 2024) of the studies used in this paper. We are grateful to the publisher of the previous studies for permission to use the data. This work did not receive any technical or financial support from any institution and was done by the authors at their own expense.
Authors’ contributions. Hassan Nasirian conceptualized the study and wrote the manuscript. Seyyed Amir Yasin Ahmadi performed the statistical analysis. The authors read and approved the final manuscript.
Funding
This work did not receive any technical or financial support from any institution and was done by the authors at their own personal expense.
Data availability
The authors declare that they are satisfied with the availability of data and materials online.
Ethical treatment of animals
Not applicable.
Conflict of interest
None.
About the authors
Hassan Nasirian
Tehran University of Medical Sciences
Author for correspondence.
Email: hanasirian@yahoo.com
Department of Medical Entomology and Vector Control, School of Public Health, Institute for Environmental Research (IER)
Iran, Islamic Republic of, Tehran, 1417613151Seyyed Amir Yasin Ahmadi
Iran University of Medical Sciences
Email: yasin_ahmadi73@yahoo.com
Preventive Medicine and Public Health Research Center, Psychosocial Health Research Institute
Iran, Islamic Republic of, Tehran, 1449614535References
- Abbasgholizadeh N., Moradi-Asl E., Adham D., Soudi R., Ganji A., Brije H., Salehzade M. 2018. Prevalence of head lice infestation (Pediculosis capitis) among primary school students in the Meshkin Shahr of Ardabil province. Αmrican Journal of Pediatrics 4: 94–99.
- Afshari A., Gholami M., Hagh-Verdi T., Haj-Bagheri S. 2013. Study of prevalence of head lice infestation in female students in primary schools in Robat Karim county during 2008-2009 years. Journal of Shahid Sadoughi University of Medical Sciences 12: 102–112.
- Ahmadi S., Baghi M., Shirzadegan R., Nasirian H. 2024. Secondary multilevel mixed-effects modelling of the trends in the seroprevalence of Crimean–Congo haemorrhagic fever. East Mediterr Health J. 30: 68–76. https://doi.org/10.26719/emhj.26724.26006
- Alarifi S.A., Alsdae G., A Duweb G. 2022. Factors affecting Pediculosis capitis transmission among primary school children. International Journal of Tropical Disease & Health 43: 8–13.
- Alberfkani M.I., Mero W.M. 2020. The incidence of scabies and head lice and their associated risk factors among displaced people in Cham Mishko Camp, Zakho City, Duhok Province, Iraq. Polish Journal of Microbiology 69: 463–469.
- Alborzi M., Shekarriz-Foumani R., Moin-Vaziri V. 2016. The prevalence of Pediculus capitis among primary schools of Shahriar county, Tehran province, Iran, 2014. Novelty in Biomedicine 4: 24–27.
- Alempour Salemi J., Shayeghi N., Zeraati H., Akbarzadeh K., Basseri H., Ebrahimi B., Rafinejad J. 2003. Some aspects of head lice infestation in Iranshahr area (southeast of Iran). Iranian Journal of Public Health 32: 60–63.
- Alshaer S.M.S. 2023. Factors associated with Intestinal Parasitic Infection among patients attending Jericho Governmental Primary Health Care Clinics. M Sc. Thesis. Deanship of Graduate Studies. Al-Quds University, Palestine. https://dspace.alquds.edu/server/api/core/bitstreams/8c1b3241-298b-4ba6-8718-ea4c7dd10e7e/content
- Amirkhani M., Alavian S., Maesoumi H., Aminaie T., Dashti M., Ardalan G., Ziaoddini H., Mirmoghtadaee P., Poursafa P., Kelishadi R. 2011. A nationwide survey of prevalence of pediculosis in children and adolescents in Iran. Iranian Red Crescent Medical Journal 13: 167–170.
- Arjomanzadeh S., Joukar M., Khatmi S., Zarenezhad M., Abd Elahzadeh Lavari H., Tahmasebi R. 2001. Prevalence of pediculosis and scabies in primary schools of Bushehr; 1999-2000. J. South Med. 4: 41–46.
- Asadian A., Moqadas A., Rad M.M., Ardakani M.F. 2020. Assessing pediculosis infection and cofactors among 8-10-year-old Female students in Bushehr province, Iran. International Journal of Ayurvedic Medicine 11: 514–518.
- Awaad H.K., Alhadidi S.N.A., Kadhim T.J. 2023. The effect of the ectoparasite (Pediculus humanus capitis) on immunological and blood parameters in children of different ages in Baquba city. Diyala Journal of Medicine 25: 27–39. http://148.172.244.184:8080/xmlui/handle/xmlui/8208
- Babazadeh T., Kouzekanani K., Oliaei S., Gaffari-Fam S., Abbasabad G.D., Chollou K.M., Heidari S. 2020. Assessing the link between head lice infestation and selected cognitive-behavioral factors in a sample of Iranian female adolescents. Heliyon 6: e03959.
- Bahrami A., Nikfallah F., Soleimanfallah M., Dadashi-Einsheikh Z., Abbaszadeh E., Firoozfar F. 2016. Clinical and epidemiological study of pediculosis, Pediculus humanus capitis (head lice infestation) in primary school pupils, Savojbolagh County, Alborz province, Iran. European Journal of Biomedical and Pharmaceutical sciences 3: 64–60.
- Barik-Abi S., Davari B., Nasirian H. 2022. Investigation of factors affecting head lice (Pediculosis humanus capitis) infestation prevalence and evaluation of permethrin 1% and dimethicone 4% for its treatment in primary girl students in Doroud County. Journal of Zabol Medical School 5: 15–23. https://doi.org/10.18502/jzms.v18505i18501.10320
- Bashiri B., Islami G., Fallah F., Valai N. 2002. Prevalence of lice infestation in Shahriar elementary school students and the effect of lice infestations on the infestation. Researcher Bulletin of Medical Sciences 6: 355-359.
- Bauer E., Jahnke C., Feldmeier H. 2009. Seasonal fluctuations of head lice infestation in Germany. Parasitology Research 104: 677–681.
- Beck H.E., Zimmermann N.E., McVicar T.R., Vergopolan N., Berg A., Wood E.F. 2018. Present and future Köppen-Geiger climate classification maps at 1-km resolution. Scientific Data 5: 180214. doi: 180210.181038/sdata.182018.180214
- Bekri G., Shaghaghi A. 2022. Prevalence of Pediculus humanus capitis and associated risk factors among elementary school-aged girls in Paveh, West Iran. The Journal of Infection in Developing Countries 16: 1506–1511.
- Beygi B., Bahrami H., Eftekhari Gol R., Mohajeri N., Yousefi B., Boosaeed H., Musa Farkhani E. 2019. Investigation of spatial dispersion of pediculosis in covered cities of Mashhad University of Medical Sciences in 2016. Journal of Sabzevar University of Medical Sciences 26: 127–132.
- Borghei A., Gharaje S. 2006. A comparative study on efficacy of Co-trimoxazole and Permethrin for treatment of Pediculosis capitis. Journal of Gorgan University of Medical Sciences 8: 15–18.
- Davari B., Kolivand M., Poomohammadi A., Faramarzi Gohar A., Feizei F., Rafat Bakhsh S., Ahmadi S. 2015. An epidemiological study of Pediculus capitis in students of Pakdasht county, in autumn of 2013. Pajouhan Scientific Journal 14: 57–63.
- Davari B., Yaghmaei R. 2005. Prevalence of head lice and its related factors in the primary school students in Sanandaj 2004 Scientific Journal of Kurdistan University of Medical Sciences 10: 39–45.
- Davarpanah M., Mehrabani D., Khademolhosseini F., Mokhtari A., Bakhtiar, H., Neirami R. 2009. The prevalence of Pediculus capitis among school children in Fars Province, Southern Iran. Iranian J Parasitol 4: 48–53.
- Davarpanah M.A., Kazerouni A.R., Rahmati H., Neirami R.N., Bakhtiary H., Sadeghi M. 2013. The prevalence of Pediculus capitis among the middle schoolchildren in Fars Province, southern Iran. Caspian Journal of Internal Medicine 4: 607–610.
- Dehghani R., Davari B., Moosavi S., Kachoei E., Rahimi M., Dehshiri F. 2012. Prevalence of head lice infestation among 3-6 years old nursery children in Kashan (2009). Journal of Occupational Health and Epidemiology 1: 81–86.
- Dehghani R., Dorodgar A., Almasi H., Asadi M., Sayyah M. 1999. Prevalence of Pediculus capitis among male primary school students in Kashan, 1997. Journal of Kashan University of Medical Sciences 3: 86–91.
- Dehghani R., Saberi H.R., Takhtfiroozeh S., Ashrafi A. 2019. Head louse infestation rate in primary school students of Badrud, Isfahan-Iran. Journal of Entomological Research 43: 105–110.
- Dehghanzadeh R., Asghari-Jafarabadi M., Salimian S., Hashemi A.A., Khayatzadeh S. 2015. Impact of family ownerships, individual hygiene, and residential environments on the prevalence of Pediculosis capitis among schoolchildren in urban and rural areas of northwest of Iran. Parasitology Research 114: 4295–4303.
- Doroodgar A., Sadr F., Doroodgar M., Doroodgar M., Sayyah M. 2014a. Examining the prevalence rate of Pediculus capitis infestation according to sex and social factors in primary school children. Asian Pacific Journal of Tropical Disease 4: 25–29.
- Doroodgar A., Sadr F., Paksa A., Mahbobe S., Doroodgar M., Sayyah M., Tashakkor Z., Doroodgar M. 2014b. The prevalence of Pediculosis capitis and relevant factors in primary school students of Kashan, Central Iran. Asian Pacific Journal of Tropical Disease 4: 500–504.
- Ebrahimzadeh Ardakani M., Fayazi Bargin M. 2018. Prevalence of Pediculosis capitis in Yazd primary schools in 2013. Journal of Health 8: 587–595.
- Edalatkhah H., Arshi S., Sadeghi H., Sepehram V. 2005. Prevalence of Pediculus capitis in school children in Ardabil province. J. Ardabil Univ. Med. Sci 6: 36–45.
- Farzinnia B., HanafiBojd A., Reiskarami S., Jafari T. 2004. Epidemiology of Pediculosis capitis in female primary school pupils Qom. 2003. Hormozgan Medical Journal 8: 103–108.
- Feldmeier, H., 2023. Head lice as vectors of pathogenic microorganisms. Tropical Medicine and Health 51: 53. https://doi.org/10.1186/s41182-41023-00545-41185
- Firoozfar F., Moosa-Kazemi S.H., Bahrami A., Yusuf M.A., Saghafipour A., Armoon Z., Rajabzadeh R., Hosseini S.H. 2019. Head lice infestation (Pediculus humanus capitis) prevalence and its associated factors, among the Kormanj tribes in North Khorasan province. Shiraz E Medical Journal 20: e80292.
- Galehdar N., Birjandi M., Taherian S.M. 2021. The prevalence rate of head lice infection and effective factors in primary school students in Khorramabad city, Iran. Journal of Isfahan Medical School 39: 526–532.
- Galván-Casas C., Ortiz-Álvarez J., Martínez-García E., Corbacho-Monné M. 2024. [Translated article] Spanish Academy of Dermatology and Venereology (AEDV) expert recommendations for the management of sexual transmitted parasitosis. Scabies, and pediculosis pubis. Actas Dermo-Sifiliográficas 115: T475–T492. https://doi.org/410.1016/j.ad.2024.1003.1016
- Geravandi A., Jamshidi G., Abdollahi F., Sepahi S., Geravandi M. 2013. The study of the prevalence and risk factors associated with head lice in school girls in Javanrood. Caring Today Journal 8: 38.
- Ghaderi R., Eizadpanah A., Miri M., Ahmadi M., Taheri N., Chahkandak F.H. 2010. The prevalence of Pediculosis capitis in school students in Birjand. Modern Care Journal 7: 1–6.
- Ghajari H., Ghaderi N., Valizadeh R., Naserpor F., Kashefi H., Baniadam A., Karimyan A., Valipour A. 2017. Epidemiological study of prevalence of pediculosis and its related factors using the health belief model in elementary school students in Khorramshahr city of Iran. Journal of Entomological Research 41: 443–450.
- Ghandali F., Kheradpir N., Yousefi Siahkalroodi S. 2017. Distribution of head lice Pediculus humanus capitis infection in high school girls of eastern south of Tehran province. Journal of Animal Environment 9: 285–290.
- Ghavami M.B., Ahmadi S. 2017. Effectiveness of eucalyptus and cinnamon essential oils compared to permethrin in treatment of head lice infestation. Journal of Advances in Medical and Biomedical Research 25: 86–98.
- Ghavami M.B., Ghanbari M., Panahi S., Taghiloo B. 2020. Diversity of mitochondrial genes and predominance of Clade B in different head lice populations in the northwest of Iran. Parasites & Vectors 13: 1–12.
- Ghofleh Maramazi H., Sharififard M., Jahanifard E., Maraghi E., Sourestani M.M., Malehi A.S., Rasaei S. 2019. Pediculosis humanus capitis prevalence as a health problem in girl’s elementary schools, southwest of Iran (2017-2018). Journal of Research in Health Sciences 19: e00446.
- Gholami Z., Dayer M.S., Azarm A. 2024. Pediculosis and factors affecting its prevalence among schoolchildren in Amol city, Northern Iran. Journal of Arthropod-Borne Diseases 18: 57–67. https://doi.org/10.18502/jad.v18518i18501.15672
- Gholamiparizad E., Abedzadah S. 2001. Studuing head lice infestation and factors affecting it among the primary school students in lIam (97-98). Scientific Journal of Ilam University of Medical Sciences 8: 16–21.
- Gholamnia Shirvani Z., Shokravi F.A., Ardestani M.S. 2013. Evaluation of a health education program for head lice infestation in female primary school students in Chabahar City, Iran. Archives of Iranian Medicine 16: 42–45.
- Gholchaye J., Ahmadi Ghajari M. 2000. Survey Pediculous capitis in 3-7 children in kindrgarden in Rasht. Journal of Gilan University of Medical Science 11: 21–25.
- Goodarzvand Chegini P., Anoosheh M., Kazemnejad A. 2017. The effectiveness of educating mothers on preventive behaviors of pediculosis on morbidity rate of their daughters. Payesh (Health Monitor) 16: 785–795.
- Habibi S., Rahimi M., Salmani Seraji M., Mahdavi S. 2020. Prevalence of pediculosis in Mazandaran Province, Iran, from 2012 to 2020. Journal of Health Research in Community 6: 65–72.
- Hajiloie T., Zahirnia A.H., Nasirian H., Davari B. 2022. Prevalence of head lice infestation and its associated factors among female primary school students in Gahavand County and compared with the previous studies. Qom University of Medical Sciences Journal 15: 684–695. https://doi.org/610.32598/qums.32515.32510.32441
- Hazrati Tappeh K., Chavshin A., Hajipirloo H.M., Khashaveh S., Hanifian H., Bozorgomid A., Mohammadi M., Gharabag D.J., Azizi H. 2012. Pediculosis capitis among primary school children and related risk factors in Urmia, the main city of West Azarbaijan, Iran. Journal of Arthropod-borne Diseases 6: 79–85.
- Heidarpour P., Motevali Haghi F., Montazeri R. 2019. Prevalence of pediculosis and associated risk factors in primary school female students of Tonekabon, Iran, in 2017-2018. Journal of Health Research in Community 5: 61–72.
- Hodjati M.H., Mousavi N., Mousavi M. 2008. Head lice infestation in school children of a low socioeconomy area of Tabriz city, Iran. African Journal of Biotechnology 7: 2292–2294.
- Hosseini S., Rajabzadeh R., Shoraka V., Avaznia A., Shoraka H. 2014. Prevalence of pediculosis and its related factors among primary school students in Maneh-Semelghan district. Journal of North Khorasan University of Medical Sciences 6: 43–49.
- Hosseinpour M., Nematollahi S., Shekari M., Madani A., Akbarisari A., Ardalan A., Torabi E., Shabkhiz H., Holakoie naieni K. 2016. Implementation of the action plan for the prevention and control of children head lice (Pediculus humanus capitis) after the implementation of community assessment in the Chahestaniha region in the City of BandarAbbas. Journal of School of Public Health and Institute of Public Health Research 13: 1–12.
- Jahandideh S., Eslamifar M., Barimani K., Motevalli-Haghi S.F. 2017. Epidemiologic study of pediculosis and the effective factors in the Sari Township kindergartens in 2014. J Entomol Zool Stud 5: 87–90.
- Jarahi L., Orouji R., Vahed S.E., Mosa Farkhani E. 2017. Assessment of demographic characteristics and related factor on head Lice in Mashhad, a population based study. Medical Journal of Mashhad University of Medical Sciences 59: 305–311.
- Kabiri H., Dastgiri S., Alizadeh M. 2015. The prevalence of head lice (Pediculus humanus capitis) and its associated risk factors in Bonab County during 2013-2014. Depiction of Health 6: 31–36.
- Kalari H., Soltani A., Azizi K., Faramarzi H., Moemenbellah-Fard M.D. 2019. Comparative efficacy of three pediculicides to treat head lice infestation in primary school girls: a randomised controlled assessor blind trial in rural Iran. BMC Dermatology 19: 1–9.
- Kamiabi F., Nakhaei F.H. 2005. Prevalence of Pediculosis capitis and determination of risk factors in primary-school children in Kerman. Eastern Mediterranean Health Journal 11: 988–992.
- Kasiri H., Amani H. 2010. An epidemiological study of Pediculus capitis infestation in the cases of attending to the Azna health centers, Lorestan province, Iran (2007). Jundishapur Journal of Health Sciences 2: 57–65.
- Kassiri H., Esteghali E. 2016. Prevalence rate and risk factors of Pediculus capitis among primary school children in Iran. Archives of Pediatric Infectious Diseases 4: e26390.
- Kassiri H., Gatifi A. 2016. The frequency of head lice, health practices and its associated factors in primary schools in Khorramshahr, Iran. Health Scope 5: e31570.
- Kassiri H., Kasiri, A., Kasiri N., Moeininejad F. 2015. Epidemiology and morbidity of head Lice infestation in Khorram-shahr County, Iran (2006-2009). Journal of Health Sciences & Surveillance System 3: 83–87.
- Kassiri H., Kataki M.M., Lotfi M. 2020a. A six-year descriptive-analytical study of Pediculosis capitis in the southwestern Iran. Kuwait Medical Journal 52: 256–261.
- Kassiri H., Mardani Kateki M. 2018. Head Lice Infestation according to demographic-social factors and its prevalence in southwestern Iran: a descriptive-analytical study. Entomol Appl Sci Lett 5: 84–90.
- Kassiri H., Mehraghaei M. 2021. Assessment of the prevalence of Pediculosis capitis and related effective features among primary schoolchildren in Ahvaz County, Southwest of Iran. Environmental Science and Pollution Research 28: 22577–22587.
- Kassiri H., Mehraghaei M., Lotfi M., Kasiri R. 2020b. Head lice prevalence and associated factors in primary schools in Karun County, Khuzestan Province, Iran. Medical Science 24: 2280–2290.
- Kassiri H., Nasirian H. 2021. New insights about human tick infestation features: a systematic review and meta-analysis. Environmental Science and Pollution Research 28: 17000–17028. https://doi.org/17010.11007/s11356-17021-13102-17006
- Lashkari R., Ehrampoush M.H., SHarifzadeh G., Ghaneian M.T., Dehghani A., Ardakani M.E. 2020. Eco-epidemiological factors’ of head lice in 10-12 year-old girls in Birjand City in 2017. The Journal of Tolooebehdasht 19: 84–99.
- Majidi S., Farahmandfard M.A., Solhjoo K., Mosallanezhad H., Arjomand M. 2017. The prevalence of pediculosis capitis and its associated risk factors in primary school students in Jahrom, 2016. Journal of Jahrom University of Medical Sciences 15: 50–56.
- Maleky A., Yazdani-Charati J., Abdollahi F. 2016. The prevalence of Pediculosis capitis and its associated risk factors in primary school students in Kalaleh, Iran in 2015. Journal of Health Research in Community 2: 23–31.
- Moemenbellah-Fard M., Nasiri Z., Azizi K., Fakoorziba M. 2016. Head lice treatment with two interventions: Pediculosis capitis profile in female schoolchildren of a rural setting in the south of Iran. Annals of Tropical Medicine and Public Health 9: 245–250.
- Mohammadi Azni S. 2014. Prevalence of head lice at the primary schools in Damghan. Zahedan Journal of Research in Medical Sciences 16: 47–49.
- Mohammadi M.E., Motevalli-Haghi S.F., Rafinejad J., Yazdani-Charati J., Hosseini-Vasoukolaei N., Dehghan O. 2019. Prevalence of pediculosis and associated risk factors among elementary school females in Mashhad, Iran, during 2017-2018. Archives of Hygiene Sciences 8: 245–252.
- Moosazadeh M., Afshari M., Hajheydari Z., Nezammahalleh A., Zerafat A., Rezaei F., Rankoohi M., Safari N., Shojaei J., Enayati A.A. 2021. Prevalence of pediculosis and its related factors among primary school girls in the north of Iran. International Journal of Adolescent Medicine and Health 33: 20180039. https://doi.org/20180010.20181515/ijamh-20182018-20180039
- Moradi A., Bathaii S.J., Shojaeian M., Neshani A., Rahimi M., Mostafavi E. 2012. Outbreak of Pediculosis capitis in students of Bahar in Hamedan province. Journal of Dermatology and Cosmetic 3: 26–32.
- Moradi A., Zahirnia A., Alipour A., Eskandari Z. 2009. The prevalence of Pediculosis capitis in primary school students in Bahar, Hamadan Province, Iran. Journal of Research in Health Sciences 9: 45–49.
- Moradiasl E., Habibzadeh S., Rafinejad J., Abazari M., Ahari S.S., Saghafipour A., Mehrtak M., Edalatkhah H. 2018. Risk factors associated with head lice (pediculosis) infestation among elementary school students in Meshkinshahr county, North West of Iran. International Journal of Pediatrics 6: 7383–7392.
- Morovati Sharif Abadi M., Moghadasi Amiri M., Falah Mehrjordi S., Aghaei A., Zareshahi F., Alizadeh S. 2018. Pediculosis capitis and its related factors among girl primary school students of Meybod, Yazd Province, in 2015-2016. Journal of Health 8: 552–560.
- Morowati Sharifabad M., EbrahimZadeh M., Fazeli F., Dehghani A., Neshati T. 2016. Study of Pediculus capitis prevalence in primary school children and its preventive behaviors determinants based on Health Belief Model in Their Mothers in Hashtgerd, 2012. The Journal of Toloo-e-behdasht 14: 198–207.
- Motevalli Haghi F., Golchin M., Yousefi M., Hosseini M., Parsi B. 2014a. Prevalence of pediculosis and associated risk factors in the girls primary school in Azadshahr City, Golestan Province, 2012-2013. Iranian Journal of Health Sciences 2: 63–68.
- Motevalli Haghi F., Sedaghat M., Gholami S. 1999. Head louse infestation rate in primary school students town-ship Sari 1376-1377. Journal of Mazandaran University of Medical Sciences 9: 43–48.
- Motevalli Haghi S., Rafinejad J., Hosseni M. 2014b. Epidemiology of pediculosis and its associated risk factors in primary-school children of Sari, Mazandaran Province, in 2012-2013. Journal of Health 4: 339–348.
- Motovali-Emami M., Aflatoonian M.R., Fekri A., Yazdi M. 2008. Epidemiological aspects of Pediculosis capitis and treatment evaluation in primary-school children in Iran. Pakistan Journal of Biological Sciences 11: 260–264.
- Mozafari Kermani R., Zoljalali S., Azari A., Kazemi Ashtiani S., Kouhpayezadeh J., Khademi F. 2008. The rate of Pediculosis capitis in students participating in summer camps in different Provinces of Iran. Payesh (Health Monitor) 7: 241-245.
- Nasirian H. 2017a. Contamination of cockroaches (Insecta: Blattaria) to medically fungi: a systematic review and meta-analysis. Journal of Medical Mycology 27: 427–448. http://dx.doi.org/410.1016/j.mycmed.2017.1004.1012
- Nasirian H. 2017b. Infestation of cockroaches (Insecta: Blattaria) in the human dwelling environments: a systematic review and meta-analysis Acta Tropica 167: 86–98. http://dx.doi.org/10.1016/j.actatropica.2016.1012.1019
- Nasirian H. 2019a. Contamination of cockroaches (Insecta: Blattaria) by medically important bacteriae: a systematic review and meta-analysis. Journal of Medical Entomology 56: 1534–1554. https://doi.org/1510.1093/jme/tjz1095
- Nasirian H. 2019b. Crimean-Congo hemorrhagic fever (CCHF) seroprevalence: a systematic review and meta-analysis. Acta Tropica 196: 102–120. https://doi.org/110.1016/j.actatropica.2019.1005.1019
- Nasirian H. 2020. New aspects about Crimean-Congo hemorrhagic fever (CCHF) cases and associated fatality trends: A global systematic review and meta-analysis. Comparative Immunology, Microbiology and Infectious Diseases 69: 101429. https://doi.org/101410.101016/j.cimid.102020.101429
- Nasirian H. 2022. Ticks infected with Crimean-Congo hemorrhagic fever virus (CCHFV): a decision approach systematic review and meta-analysis regarding their role as vectors. Travel Medicine and Infectious Disease 47: 102309. https://doi.org/102310.101016/j.tmaid.102022.102309
- Nasirian H. 2023a. Monitoring of hard tick parasitism in domestic ruminants: a scale evidence for policymakers. Veterinary Parasitology: Regional Studies and Reports 41: 100878. https://doi.org/100810.101016/j.vprsr.102023.100878
- Nasirian H. 2023b. Monitoring the impact, trends, and impact levels of factors affecting Pediculus capitis infestation in primary school students: an illustrate scale evidence review. Journal of Public Health 32: 1479–1557. https://doi.org/10.1007/s10389-10023-01863-y
- Nasirian H. 2023c. Reply to comment on “ticks infected with Crimean-Congo hemorrhagic fever virus (CCHFV): a decision approach systematic review and meta-analysis regarding their role as vectors”. Travel Medicine and Infectious Disease 51: 102420. https://doi.org/102410.101016/j.tmaid.102022.102420
- Nasirian H. 2024a. Hard tick species parasitism levels in domestic ruminants with their distribution and role as vectors: a detailed global mMeta-analysis and systematic review. Acta Parasitologica 69: 1–105. https://doi.org/110.1007/s11686-11023-00724-11688
- Nasirian H. 2024b. The introduction and establishment of dengue disease in a new area: a mini review. Caspian Journal of Health Research 9: 51–56. https://doi.org/10.32598/CJHR.32599.32591.31107.32591
- Nasirian H., Ahmadi S.A.Y. 2024. Pediculus capitis (Anoplura: Pedicullidae) infestation in preschool and primary school students and the community: a global-scale evidence review. International Journal of Tropical Insect Science 44: 441–536. https://doi.org/410.1007/s42690-42023-01129-w
- Nasirian H., Salehzadeh A. 2019. Control of cockroaches (Blattaria) in sewers: a practical approach systematic review. Journal of Medical Entomology 56: 181–191. https://doi.org/110.1093/jme/tjy1205
- Nasirian H., Shanavaz M., Zahirnia A.H. 2023. Monitor the rate of scorpion bites using scorpion biodiversity indices in the Shush County, Khuzestan Province. Biodiversity and Animal Taxonomy. https://doi.org/210.22126/jbat.22024.10027.21039
- Nasirian H., Zahirnia A. 2021. Detailed infestation spectrums about biological stages of hard ticks (Acari: Ixodida: Ixodidae) in humans: a systematic review and meta-analysis. Acta Parasitologica 66: 770–796. https://doi.org/710.1007/s11686-11021-00362-y
- Nawab A., Sheikh J., Farooq N., Perveen S., Jamil S., Waseem Q., Sohail S. 2024. Head lice in Pakistan: understanding epidemiology, social attitudes, treatment preferences, and insecticide resistance trends. Journal of Population Therapeutics and Clinical Pharmacology 31: 2301–2310. https://doi.org/2310.53555/jptcp.v53531i53552.54278
- Nazari M., Fakoorziba M.R., Shobeiri F. 2006. Pediculus capitis infestation according to sex and social factors in Hamedan, Iran. The Southeast Asian Journal of Tropical Medicine and Public Health 37: 95–98.
- Nazari M., Goudarztalejerdi R., Anvari M. 2016a. Epidemiological study of Pediculosis capitis among primary and middle school children in Asadabad, Iran. Journal of Medical Research 5: 15–20.
- Nazari M., Goudarztalejerdi R., Moradi A. 2015. Investigation of pediculosis prevalence and associated factors in the central prison of Hamadan in 2013. Pajouhan Scientific Journal 13: 13–20.
- Nazari S., Nazari S., Goudarztalejerdi R., Nazari M. 2016b. Prevalence of head lice infestation among schoolchildren in urban and rural areas in a region of western Iran-school year 2015–2016. International Journal of Medical Research & Health Sciences 5: 372–377.
- Nejati J., Keyhani A., Kareshk A.T., Mahmoudvand H., Saghafipour A., Khoraminasab M., Oliaee R.T., Mousavi S.M. 2018. Prevalence and risk factors of pediculosis in primary school children in South West of Iran. Iranian Journal of Public Health 47: 1923–1929.
- Noori A., Ghorban Pour M., Adib M., Noori A.V., Niazi S. 2014. Head lice infestation (Pediculosis) and its associated factors in the rural school students of Kalaleh, in the academic year 1392-93. Jorjani Biomedicine Journal 2: 60–56.
- Noroozi M., Saghafipour A., Akbari A., Khajat P., Khadem Maboodi A.A. 2013. The prevalence of Pediculosis capitis and its associated risk factors in primary schools of girls in rural district. Journal of Shahrekord University of Medical Sciences 15: 43–52.
- Norouzi R., Jafari S., Meshkati H., Bagheri Amiri F., Siyadatpanah A. 2021. Prevalence of Pediculus capitis infestation among primary school students in East Azerbaijan Province, Iran (2018–2019). Medical Laboratory Journal 15: 13–18.
- Oliveira A.R., Cohnstaedt L.W., Cernicchiaro N. 2021. Unbiased approaches for reviewing entomology literature: a systematized review. Annals of the Entomological Society of America 114: 229–246.
- Omidi A., Khodaveisi M., Moghimbeigi A., Mohammadi N., Amini R. 2013. Pediculosis capitis and relevant factors in secondary school students of Hamadan, west of Iran. J Res Health Sci 13: 176–180.
- Pourbaba R., Moshkbide Haghighi M., Habibi Pour R., Mirza Nezhad M. 2005. A survey of prevalence of pediculosis among primary school students of Gilan Province in the school year of 2002-3. Journal of Gilan University of Medical Sciences 13: 15–24.
- Rad F., Vahabi A., Vahabi B., Kashefi H., Mohammadian A. 2022. The prevalence of head lice infestation and its related risk factors in governmental primary school students in Marivan city, West of Iran, 2018-2019. Scientific Journal of Kurdistan University of Medical Sciences 27: 87–98.
- Raeisi S., Eteghadi A., Poodineh Z., Balouchi A. 2016. Prevalence of head lice infestation and its associated factors among primary school students in Zabol. International Journal of Pharmacy and Technology 8: 19135–19141.
- Rafie A., Kasiri H., Mohammadi Z., Haghighizade M. 2009. Pediculosis capitis and its associated factors in girl primary school children in Ahvaz City in 2005-2006. Iran J Infect Dis Trop Med 14: 41–45.
- Rafinejad J., Nourollahi A., Biglarian A., Javadian E., Kazemnejad A., Doosti S. 2011. The comparison of the effect of permethrin shampoo and lindane lotion on the treatment of head lice (Pediculus humanus capitis) in the primary school pupils. Journal of Mazandaran University of Medical Sciences 21: 35–41.
- Rafinejad J., Nourollahi A., Javadian E., Kazemnejad A., Shemshad K. 2006. Epidemiology of head louse infestation and related factors in school children in the county of Amlash, Gilan Province, 2003-2004. Iranian Journal of Epidemiology 2: 51–63.
- Rahnama Z., Kamyabi M. 2001. A survey on the prevalence of pediculosis capitis in afghan immigrants in kerman, 1998. Daneshvar Medicine 8: 41–46.
- Rajabzade R., Shoraka H., Arzamani K., Shahiri M., Emami O., Hosseini S. 2015. Epidemiology of Pediculosis capitis infestation and its associated factors in students. Journal of North Khorasan University of Medical Sciences 6: 755–767.
- Ramezani Awal Riabi H., Atarodi A. 2012. Epidemiological and clinical study of infested cases with Pediculus capitis and P. corporis in Khorasan-e-Razavi, Iran. Iranian J Parasitol 7: 85–91.
- Rezaee E., Heidari F., Nowrouzi M. 2020. Investigation of the prevalence of Head Lice and factors affecting them in infected people referring to Gerash County Health Center. International Journal of Epidemiologic Research 7: 58–62.
- Saghafipour A., Akbari A., Norouzi M., Khajat P., Jafari T., Tabaraie Y., Farzinnia B. 2012. The epidemiology of Pediculus humanus capitis infestation and effective factors in elementary schools of Qom Province Girls 2010, Qom, Iran. Qom University of Medical sciences journal 6: 46–51.
- Saghafipour A., Zahraei-Ramazani A., Vatandoost H., Mozaffari E., Rezaei F., Karami Jooshin M. 2018. Prevalence and risk factors associated with head louse (Pediculus humanus capitis) among primary school girls in Qom province, Central Iran. International Journal of Pediatrics 6: 7553–7562.
- Salehi S., Ban M., Motaghi M. 2014. A study of head lice infestation (Pediculosis capitis) among primary school students in the villages of Abadan in 2012. International Journal of Community Based Nursing and Midwifery 2: 196–200.
- Sanei-Dehkordi A., Soleimani-Ahmadi M., Zare M., Madani A., Jamshidzadeh A. 2017. Head Lice Infestation (pediculosis) and associated factors among primary school girls in Sirik County, Southern Iran. International Journal of Pediatrics 5: 6301–6309.
- Sayyad S., Vahabi A., Vahabi B., Sayyadi M., Ahmadian M. 2016. Head louse (Pediculus humanus capitis) infestation in primary schoolchildren in rural areas of Paveh County, Kermanshah province. Journal of Chemical and Pharmaceutical Sciences 7: 35–38.
- Sayyadi M., Vahabi A., Sayyad S. 2013. An epidemiological survey of head louse infestation among primary school children in rural areas of Ravansar County, West of Iran. Life Sci J 10: 869–872.
- Sayyadi M., Vahabi A., Sayyad S., Sahne Sh H. 2014. Prevalence of head louse (Pediculus humanus capitis) infestation and associated factors among primary schoolchildren in Bayengan city, west of Iran. Life Science Journal 11: 19–22.
- Sepehri M., Jafari Z. 2022. Prevalence and associated factors of head lice (Pediculosis capitis) among primary school students in Varzaqan villages, Northwest of Iran. Zahedan Journal of Research in Medical Sciences 24: e104042.
- Shahraki G., Azizi K., Yusefi A., Fararooei M. 2001. Prevalence of head lice in primary school students in Yasuj. Armaghan Danesh 6: 22–33.
- Shanavaz M., Zahirnia A.H., Nasirian H. 2023. Monitoring scorpionism in Shush County of Khuzestan Province in the first six months of 2019. Journal of Isfahan Medical School 41: 319–325. https://doi.org/310.48305/jims.v48341.i48718.40319
- Shayeghi M., Paksa A., Salim Abadi Y., Sanei Dehkoordi A., Ahmadi A., Eshaghi M., Bazrafkan S. 2010. Epidemiology of head lice infestation in primary school pupils, in khajeh city, East azerbaijan province, Iran. Iranian journal of arthropod-borne diseases 4: 42–46.
- Shirani-Bidabadi L., Aghaei-Afshar A., Kazemi S., Alizadeh I., Mirzaee M., Gorouhi M.A. 2022. Investigation of head lice infection (Pediculus humanus capitis) and its related factors in Kerman: a brief report. Tehran University of Medical Sciences Journal 80: 120–127.
- Shirzadi S., Heydarian S., Kia N., Rahbar M., Ghorbani N., Ghorbani R. 2020. Prevalence of head lice in the Iranian primary school children and the effectiveness of family training to its prevention. Koomesh 22: 596–603.
- Soleimani-Ahmadi M. 2007. The epidemiological aspect of Pediculusis in primary school of Qeshm, South of Iran. J Med Sci 7: 299–302.
- Soleimani-Ahmadi M., Jaberhashemi S.A., Zare M., Sanei-Dehkordi A. 2017. Prevalence of head lice infestation and pediculicidal effect of permethrine shampoo in primary school girls in a low-income area in southeast of Iran. BMC Dermatology 17: 1–6.
- Soleimani Zadeh L., Sharifi Sarasiabi K. 2002. The assessment of main factors on the louse in primary school children at Bandar Abbas city, academic year 1999-2000. Iran J Infect Dis Trop Med 7: 79–85.
- Soltani Z., Keshavarzi D. 2018. Increasing trend of pediculosis (Pediculus humanus capitis) in Lamerd, Farashband, and Marvdasht Cities, Southern Iran. International Archives of Health Sciences 5: 38–42.
- Tarkhasi M., Tazari S., Eghbali S., Hossein-Zadeh A., Rastaghi S., Naemi H. 2018. Head lice prevalence (descriptive-sectional study) in primary schools in Sabzevar (descriptive-cross sectional study). Journal of Sabzevar University of Medical Sciences 25: 287–296.
- Tashakori G., Dayer M.S., Mashayekhi-Ghoyonlo V. 2018. Comparative efficacy of three control protocols of head lice (Pediculus humanus capitis) infesting schoolchildren in Mashhad city, Iran. Int J Pediatr 6: 7803–7814.
- Vahabi A., Shemshad K., Sayyadi M., Biglarian A., Vahabi B., Sayyad S., Shemshad M., Rafinejad J. 2012. Prevalence and risk factors of Pediculus (humanus) capitis (Anoplura: Pediculidae), in primary schools in Sanandaj City, Kurdistan Province, Iran. Trop Biomed 29: 207–211.
- Vahabi B., Vahabi A., Gharib A., Sayyadi M., Sayyad S. 2013. Prevalence of head louse infestations and factors affecting the rate of infestation among primary schoolchildren in Paveh City, Kermanshah Province, Iran in the years 2009 to 2010. Life Sci J 10: 360–364.
- Valero M., Haidamak J., de Oliveira Santos T., Prüss I.C., Bisson A., Rosário C.S., Fantozzi M., Morales-Suárez-Varela M., Klisiowicz D. 2024. Pediculosis capitis risk factors in schoolchildren: hair thickness and hair length. Acta Tropica 249: 107075. https://doi.org/107010.101016/j.actatropica.102023.107075
- Yaghmaei R., Rad F., Ghaderi E. 2007. Prevalence of Pediculus capitis in primary school students. Iranian Journal of Infectious Diseases and Tropical Medicine 12: 71–74.
- Yousefi S., Shamsipoor F., Salimabadi Y. 2012. Epidemiological study of some aspects of head lice infestation among Afghanian children in Sirjan county during 2010-2011. Navid No Journal 16: 1–8.
- Zabihi A., Jafarian, A.R., Rezvani M., Bizhani A. 2005. A study on prevalence of pediculosis in primary school students of Babol (2003-2004). Journal of Babol University of Medical Sciences 7: 89–93.
- Zahirnia A., Aminpoor M.A., Nasirian H. 2021. The impact and trend of factors affecting the prevalence of head lice (Pediculus capitis) infestation in primary school students. Chulalongkorn Medical Journal 65: 359–368. https://doi.org/310.58837/CHULA.CMJ.58865.58834.58831
- Zahirnia A., Seifi-Kar M., Nasirian H. 2023. Evaluation of antifungal activity of hemolymph of American cockroaches against three human invasive fungal species: Aspergillus niger, Candida albicans and Penicillium oxalicum. International Journal of Tropical Insect Science 14: 2512–2520. https://doi.org/2510.1007/s42690-42023-01056-w
- Zahirnia A., Taherkhani H., Bathaii S. 2005. A comparative study on the effectiviness of three different shampooes in treatment of head lice (Pediculus capitis) in primery school-children in Hamadan province, Iran 2000-2001. Journal of Mazandaran University of Medical Sciences 15: 16–24.
- Zahirnia A.H., Lorzadeh A., Nasirian H., Davari B., 2024. Comparative efficacy of 1% permethrin shampoo and 4% dimethicone lotion for the treatment of infected head lice students in primary girl schools in Gotvand County of Khuzestan Province. Journal of Arak University of Medical Sciences 26: 43–51. http://jams.arakmu.ac.ir/article-1-6970-en.html
- Zareban I., Abbaszadeh M., Moodi M., Mehrjoo Fard H., Ghaffari H. 2006. Evaluating a health-education program in order to reduce infection to Pediculus humanus capitis among female elementary students. Journal of Birjand University of Medical Sciences 13: 9–15.
- Ziaoddini A., Riahi R., Heidari-Beni M., Ziaoddini H., Zamani S. 2019. National and provincial prevalence of Pediculus humanus capitis among urban students in Iran from 2014 to 2018. Journal of Research in Health Sciences 19: e00459.
Supplementary files








