Soil Respiration in Agrarian and Natural Ecosystems of the European Part of Russia
- Authors: Sukhoveeva O.E.1, Karelin D.V.1, Zolotukhin A.N.1, Pochikalov A.V.1
-
Affiliations:
- Institute of Geography, Russian Academy of Sciences
- Issue: No 9 (2023)
- Pages: 1077-1088
- Section: ДЫХАНИЕ ПОЧВ В ПРИРОДНЫХ ЦЕНОЗАХ
- URL: https://medbiosci.ru/0032-180X/article/view/138185
- DOI: https://doi.org/10.31857/S0032180X23600488
- EDN: https://elibrary.ru/UWKLZI
- ID: 138185
Cite item
Full Text
Abstract
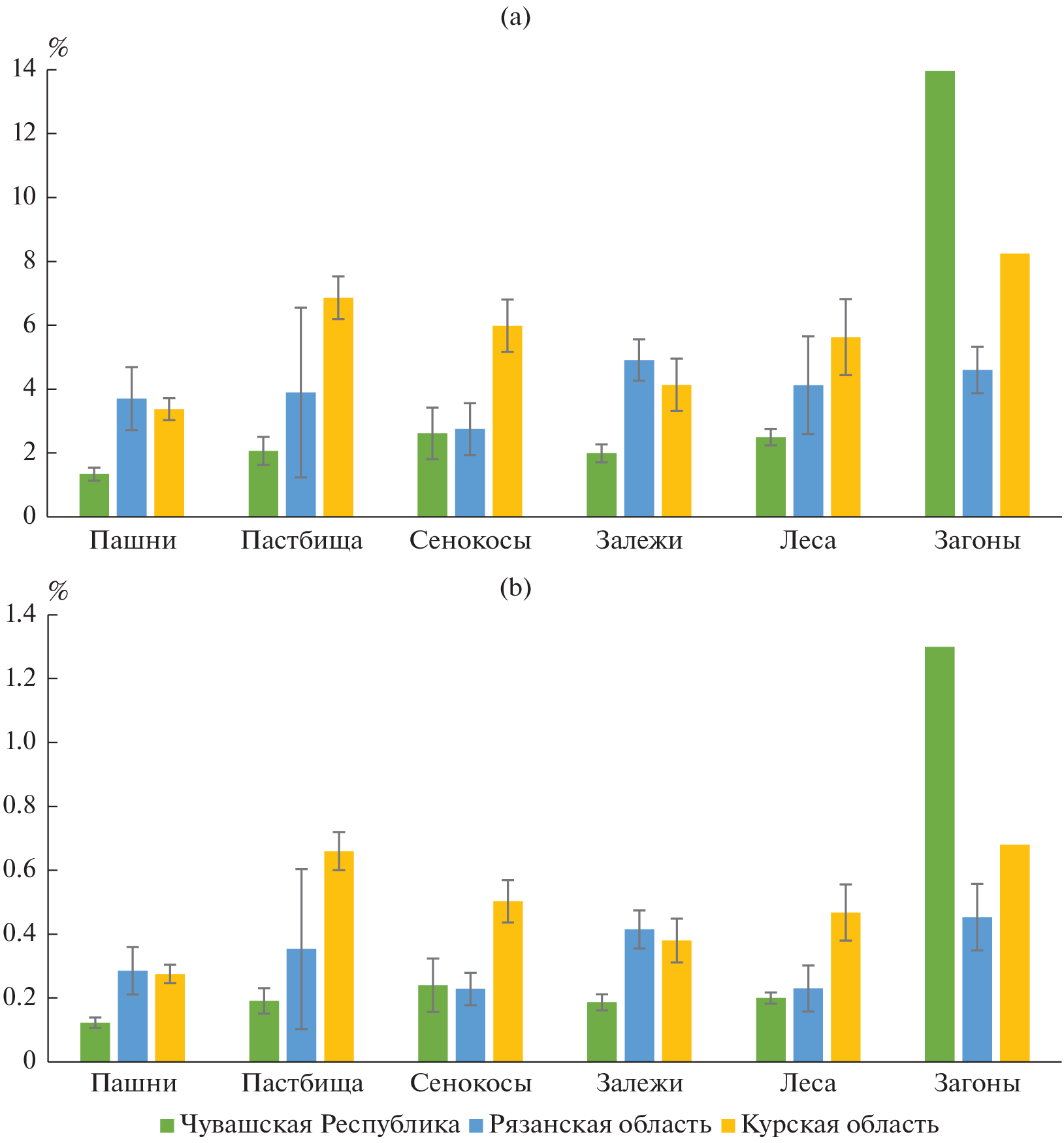
The results of the assessment of soil respiration (CO2 emission from soil) in three regions (Chuvash Republic, Ryazan and Kursk regions) are presented. Agrarian (crop and livestock) and natural ecosystems are combined into seven groups: croplands, pastures, hayfields, abandoned lands, forests, stockyards and open compost storages.CO2 emissions were measured in 2020–2022 using the close chamber method. Ecosystems were ranked by increasing rate of CO2 emission from soil in the following order: croplands (0.03–0.24 g C–CO2 m–2 h–1) < pastures (0.07–0.33 g C–CO2 m–2 h–1) ≤ hayfields (0.06–0.35 g C–CO2 m–2 h–1) ≤ ≤ forests (0.07–0.28 g C–CO2 m–2 h–1) ≤ abandoned lands (0.08–0.37 g C–CO2 m–2 h–1) \( \ll \) stockyards (0.21–8.61 g C–CO2 m–2 h–1) \( \ll \) compost storages (1.15–13.85 g C–CO2 m–2 h–1). Estimates of CO2 emissions from pasture, hayfield, forest, and abandoned land soils were not statistically different in most cases. The dependence of soil respiration rate on hydrothermal (temperature and humidity of the upper soil layer, air temperature) and agrochemical (content of total carbon and total nitrogen in the upper soil layer, pH) indicators by geographical regions and by types of ecosystems was analyzed. The most important among the evaluated factors at both ecosystem and regional levels is soil temperature at the 10 cm depth (r = 0.41–0.88, p < 0.05). Moisture conditions do not play a significant role in the formation of carbon flux. On the regional scale, the stocks of carbon and nitrogen are significant (r = 0.33–0.92, p < 0.05), which are more dependent on the geographical location of sites than on the characteristics of economic activity. The considered indicators determine the variance of CO2 emission from soils of the studied ecosystems by 17–78%.
About the authors
O. E. Sukhoveeva
Institute of Geography, Russian Academy of Sciences
Author for correspondence.
Email: olgasukhoveeva@gmail.com
Russia, 119017, Moscow
D. V. Karelin
Institute of Geography, Russian Academy of Sciences
Email: olgasukhoveeva@gmail.com
Russia, 119017, Moscow
A. N. Zolotukhin
Institute of Geography, Russian Academy of Sciences
Email: olgasukhoveeva@gmail.com
Russia, 119017, Moscow
A. V. Pochikalov
Institute of Geography, Russian Academy of Sciences
Email: olgasukhoveeva@gmail.com
Russia, 119017, Moscow
References
- Доклад о состоянии и использовании земель сельскохозяйственного назначения Российской Федерации в 2020 г. М.: ФГБНУ “Росинформагротех”, 2022. 384 с.
- Мониторинг потоков парниковых газов в природных экосистемах / Под ред. Замолодчикова Д.Г. и др. Саратов: Амирит, 2017. 279 с.
- Национальный доклад Российской Федерации о кадастре антропогенных выбросов из источников и абсорбции поглотителями парниковых газов, не регулируемых Монреальским протоколом за 1990–2010 гг. М.: Росгидромет, 2022. Ч. 1. 468 с.
- Пулы и потоки углерода в наземных экосистемах России / Под ред. Заварзина Г.А. М.: Наука, 2007. 315 с.
- Akbas M., Tufekcioglu A. Contribution of the root component to soil respiration in oriental beech stands in Artvin, Turkey // Forest Science. 2022. V. 68. P. 399–409. https://doi.org/10.1093/forsci/fxac022
- Anokye J., Logah V., Opoku A. Soil carbon stock and emission: estimates from three land-use systems in Ghana // Ecological Processes. 2021. V. 10. P. 11. https://doi.org/10.1186/s13717-020-00279-w
- Apostolakis A., Schöning I., Michalzik B., Klaus V.H., Boeddinghaus R.S., Kandeler E., Marhan S., Bolliger R., Fischer M., Prati D., Hänsel F., Nauss T., Hölzel N., Kleinebecker T., Schrumpf M. Drivers of soil respiration across a management intensity gradient in temperate grasslands under drought // Nutrient Cycling in Agroecosystems. 2022. V. 124. P. 101–116. https://doi.org/10.1007/s10705-022-10224-2
- Balafoutis A., Beck B., Fountas S., Vangeyte J., Wal T.V.d., Soto I., Gómez-Barbero M., Barnes A., Eory V. Precision agriculture technologies positively contributing to GHG emissions mitigation, farm productivity and economics // Sustainability. 2017. V. 9. P. 1339. https://doi.org/10.3390/su9081339
- Bispo A., Andersen L., Angers D.A., Bernoux M., Brossard M., Cécillon L., Comans R.N.J. et al. Accounting for carbon stocks in soils and measuring GHGs emission fluxes from soils: Do we have the necessary standards? // Frontiers in Environmental Science. 2017. V. 5. P. 41. https://doi.org/10.3389/fenvs.2017.00041
- Bond–Lamberty B., Thomson A. Temperature associated increases in the global soil respiration record // Nature. 2010. V. 464. P. 579–582. https://doi.org/10.1038/nature08930
- Bond-Lamberty B.P., Thomson A.M. A global database of soil respiration data, Version 3.0. ORNL DAAC, Oak Ridge, Tennessee, USA. 2014. https://doi.org/10.3334/ORNLDAAC/1235
- Brito L.F., Azenha M.V., Janusckiewicz E.R., Cardoso A.S., Morgado E.S., Malheiros E.B., La Scala N.Jr., Reis R.A., Ruggieri A.C. Seasonal fluctuation of soil carbon dioxide emission in differently managed pastures // Agronomy J. 2015. V. 107. P. 957–962. https://doi.org/10.2134/agronj14.0480
- Deluz C., Nussbaum M., Sauzet O., Gondret K., Boivin P. Evaluation of the potential for soil organic carbon content monitoring with farmers // Frontiers in Environmental Science. 2020. V. 8. P. 113. https://doi.org/10.3389/fenvs.2020.00113
- Eisen M.B., Brown P.O. Rapid global phaseout of animal agriculture has the potential to stabilize greenhouse gas levels for 30 years and offset 68 percent of CO2 emissions this century // PLOS Climate. 2022. V. 1. P. e0000010. https://doi.org/10.1371/journal.pclm.0000010
- Francioni M., Trozzo L., Toderi M., Baldoni N., Allegrezza M., Tesei G., Kishimoto-Mo A.W., Foresi L. et al. Soil respiration dynamics in Bromus erectus-dominated grasslands under different management intensities // Agriculture. 2020. V. 10. P. 9. https://doi.org/10.3390/agriculture10010009
- Friedlingstein P., Jones M.W., O’Sullivan M., Andrew R.M., Bakker D.C.E., Hauck J., Le Quéré C., Peters G.P. et al. Global Carbon Budget 2021 // Earth System Science Data. 2022. V. 14. P. 1917–2005. https://doi.org/10.5194/essd-14-1917-2022
- Gennadiev A.N., Zhidkin A.P., Kachinskii V.L., Olson K.R. Soil erosion under different land uses: assessment by the magnetic tracer method // Eurasian Soil Science. 2010. V. 43. P. 1047–1054. https://doi.org/10.1134/S1064229310090127
- Gerosa G., Finco A., Boschetti F., Brenna S., Marzuoli R. Measurements of soil carbon dioxide emissions from two maize agroecosystems at harvest under different tillage conditions // The Scientific World J. 2014. V. 2014. P. 141345. https://doi.org/10.1155/2014/141345
- Holka M., Kowalska J., Jakubowska M. Reducing carbon footprint of agriculture – can organic farming help to mitigate climate change? // Agriculture. 2022. V. 12. P. 1383. https://doi.org/10.3390/agriculture12091383
- Huang N., Wang L., Song X.-P., Black T.A., Jassal R.S., Myneni R.B., Wu C. et al. Spatial and temporal variations in global soil respiration and their relationships with climate and land cover // Science Advances. 2020. V. 6. P. eabb8508.https://doi.org/10.1126/sciadv.abb8508
- IPCC, 2022: Summary for Policymakers // Climate Change 2022: Mitigation of Climate Change. Contribution of Working Group III to the Sixth Assessment Report of the Intergovernmental Panel on Climate Change. Cambridge University Press, Cambridge, UK and New York, NY, USA. https://doi.org/10.1017/9781009157926.001.
- Ismagilova N., Körschens M. The evaluation of changes in soil humic substances composition and their nature in long-term experiments of Germany and Russia // Archives of Agronomy and Soil Science. 2003. V. 49. P. 141–147. https://doi.org/10.1080/0365034031000079748
- Jansson C., Faiola C., Wingler A., Zhu X.-G., Kravchenko A., de Graaff M.-A., Ogden A.J., Handakumbura P.P., Werner C., Beckles D.M. Crops for carbon farming // Frontier in Plant Science. 2021. V. 12, P. 636709. https://doi.org/10.3389/fpls.2021.636709
- Johnson D.C., Teague R., Apfelbaum S., Thompson R., Byck P. Adaptive multi-paddock grazing management’s influence on soil food web community structure for: increasing pasture forage production, soil organic carbon, and reducing soil respiration rates in southeastern USA ranches // PeerJ. 2022. V. 10. P. e13750. https://doi.org/10.7717/peerj.13750
- Kang X., Hao Y., Cui X., Chen H., Li C., Rui Y., Tian J., Kardol P., Zhong L., Wang J., Wang Y. Effects of grazing on CO2 balance in a semiarid steppe: field observations and modeling // Journal of Soils and Sediments. 2013. V. 13. P. 1012–1023. https://doi.org/10.1007/s11368-013-0675-5
- Karavanova E.I. Dissolved organic matter: Fractional composition and sorbability by the soil solid phase (Review of literature) // Eurasian Soil Science. 2013. V. 46. P. 833–844. https://doi.org/10.7868/S0032180X13080042
- Lal R. Soil carbon sequestration to mitigate climate change // Geoderma. 2004. V. 123. P. 032. https://doi.org/10.1016/j.geoderma.2004.01.032
- Larionova A.A., Ermolaev A.M., Nikitishen V.I., de Gerenyu V.O.L., Evdokimov I.V. Carbon budget in arable gray forest soils under different land use conditions // Eurasian Soil Science. 2009. V 42. P. 1364–1373. https://doi.org/10.1134/S1064229309120060
- Larionova A.A., Yevdokimov I.V., Kurganova I.N., Sapronov D.V., Gerenju V.O.L.De., Kuznetsova L.G. Root respiration and its contribution to the CO2 emission from soil // Eurasian Soil Science. 2003. V. 36. P. 173–184.
- Lehmann J., Hansel C.M., Kaiser C., Kleber M., Maher K., Manzoni S., Nunan N., Reichstein M., Schimel J.P., Torn M.S., Wieder W.R., Kögel-Knabner I. Persistence of soil organic carbon caused by functional complexity // Nature Geoscience. 2020. V. 13. P. 529–534. https://doi.org/10.1038/s41561-020-0612-3
- Lei J., Guo X., Zeng Y., Zhou J., Gao Q., Yang Y. Temporal changes in global soil respiration since 1987 // Nature Communications. 2021. V. 12. P. 403. https://doi.org/10.1038/s41467-020-20616-z
- Lei N., Wang H., Zhang Y., Chen T. Components of respiration and their temperature sensitivity in four reconstructed soils // Scientific Reports. 2022. V. 12. P. 6107. https://doi.org/10.1038/s41598-022-09918-y
- Mathew I., Shimelis H., Mutema M., Chaplot V. What crop type for atmospheric carbon sequestration: Results from a global data analysis // Agriculture, Ecosystems Environ. 2017. V. 243. P. 34–46. https://doi.org/10.1016/j.agee.2017.04.008
- Meier E.A., Thorburn P.J., Bell L.W., Harrison M.T., Biggs J.S. Greenhouse gas emissions from cropping and grazed pastures are similar: a simulation analysis in Australia // Frontiers in Sustainable Food Systems. 2020. V. 3. P. 121. https://doi.org/10.3389/fsufs.2019.00121
- Mohammed S., Mirzaei M., Pappné Töro A., Anari M.G., Moghiseh E., Asadi H., Szabó S., Kakuszi-Széles A., Harsányi E. Soil carbon dioxide emissions from maize (Zea mays L.) fields as influenced by tillage management and climate // Irrigation and Drainage. 2022. V. 71. P. 228–240. https://doi.org/10.1002/ird.2633
- Morell F.J., Whitmore A.P., Álvaro-Fuentes J., Lampurlanés J., Cantero-Martínez C. Root respiration of barley in a semiarid Mediterranean agroecosystem: field and modelling approaches // Plant and Soil. 2012. V. 351. P. 135–147. https://doi.org/10.1007/s11104-011-0938-0
- Morris K.A., Hornum S., Crystal-Ornelas R., Pennington S.C., Bond-Lamberty B. Soil respiration response to simulated precipitation change depends on ecosystem type and study duration // J. Geophys. Res: Biogeosciences. 2022. V. 127. P. e2022JG006887. https://doi.org/10.1029/2022JG006887
- Mukhortova L., Schepaschenko D., Moltchanova E., Shvidenko A., Khabarov N., See L. Respiration of Russian soils: Climatic drivers and response to climate change // Sci. The Total Environ. 2021. V. 785. P. 147314. https://doi.org/10.1016/j.scitotenv.2021.147314
- Oertel C., Matschullat J., Zurba K., Zimmermann F., Erasmi S. Greenhouse gas emissions from soils — A review. Geochemistry. 2016. V. 76. P. 327–352. https://doi.org/10.1016/j.chemer.2016.04.002
- Peel M.C., Finlayson B.L., McMahon T.A. Updated world map of the Köppen-Geiger climate classification // Hydrology and Earth System Sciences. 2007. V. 11. P. 1633–1644. https://doi.org/10.5194/hess-11-1633-2007
- Rahman M.M. Carbon dioxide emission from soil // Agricultural Research. 2013. V. 2. P. 132–139. https://doi.org/10.1007/s40003-013-0061-y
- Rastogi M., Singh S., Pathak H. Emission of carbon dioxide from soil // Current Science. 2002. V. 82. P. 510–517. https://www.jstor.org/stable/24105957
- Ray R.L., Griffin R.W., Fares A., Elhassan A., Awal R., Woldesenbet S., Risch E. Soil CO2 emission in response to organic amendments, temperature, and rainfall // Scientific Reports. 2020. V. 10. P. 5849. https://doi.org/10.1038/s41598-020-62267-6
- Ryan M.G., Law B.E. Interpreting, measuring, and modeling soil respiration // Biogeochemistry. 2005. V. 73. P. 3–27. https://doi.org/10.1007/s10533-004-5167-7
- Semenov V.M., Ivannikova L.A., Kuznetsova T.V., Semenova N.A., Tulina A.S. Mineralization of organic matter and the carbon sequestration capacity of zonal soils // Eurasian Soil Science. 2008. V. 41. P. 717–730. https://doi.org/10.1134/S1064229308070065
- van Wesemael B., Paustian K., Meersmans J., Goidts E., Barancikova G., Easter M. Agricultural management explains historic changes in regional soil carbon stocks // PNAS. 2010. V. 107. P. 14926–14930. https://doi.org/10.1073/pnas.1002592107
- Wang C., Amon B., Schulz K., Mehdi B. Factors that influence nitrous oxide emissions from agricultural soils as well as their representation in simulation models: a review // Agronomy. 2021. V. 11. P. 770. https://doi.org/10.3390/ agronomy11040770
- Yang Y., Li T., Pokharel P., Liu L., Qiao J., Wang Y., An S., Chang S.X. Global effects on soil respiration and its temperature sensitivity depend on nitrogen addition rate // Soil Biology and Biochemistry. 2022. V. 174. P. 108814. https://doi.org/10.1016/j.soilbio.2022.108814
- Yevdokimov I.V., Larionova A.A., Lopes de Gerenyu V.O., Schmitt M., Bahn M. Determination of root and microbial contributions to the CO2 emission from soil by the substrate-induced respiration method // Eurasian Soil Science. 2010. V. 43. P. 321–327. https://doi.org/10.1134/S1064229310030105
- Yilmaz G. Seasonal variations in soil CO2 emissions under continuous field crop production in semi-arid southeastern Turkey // Appl. Ecol. Environ. Res. 2019. V. 17. P. 6563–6579. https://doi.org/10.15666/aeer/1703_65636579
- Zhao Y., Xue Z., Guo H., Mu X., Li C. Effects of tillage and crop residue management on soil respiration and its mechanism // Transactions of the Chinese Society of Agricultural Engineering. 2004. V. 30. P. 155–165. https://doi.org/10.3969/j.issn.1002-6819.2014.19.019
Supplementary files






