Simulation Modeling of Forest Soil Respiration on the Example of Entic Carbic Podzol of Coniferous-Broad-Leaved Forest in the South of Moscow Region
- Authors: Priputina I.V.1, Mjakshina T.N.1, Zubkova E.V.1, Sapronov D.V.1, Lopes de Gerenyu V.O.1, Kurganova I.N.1, Bykhovets S.S.1, Shanin V.N.1,2, Frolov P.V.1, Khoroshaev D.A.1
-
Affiliations:
- Institute of Physicochemical and Biological Problems of Soil Science, Russian Academy of Sciences
- Center for Forest Ecology and Productivity, Russian Academy of Sciences
- Issue: No 9 (2023)
- Pages: 1128-1142
- Section: МОДЕЛИРОВАНИЕ ДЫХАНИЯ ПОЧВ
- URL: https://medbiosci.ru/0032-180X/article/view/138193
- DOI: https://doi.org/10.31857/S0032180X23600439
- EDN: https://elibrary.ru/RCDMDM
- ID: 138193
Cite item
Full Text
Abstract
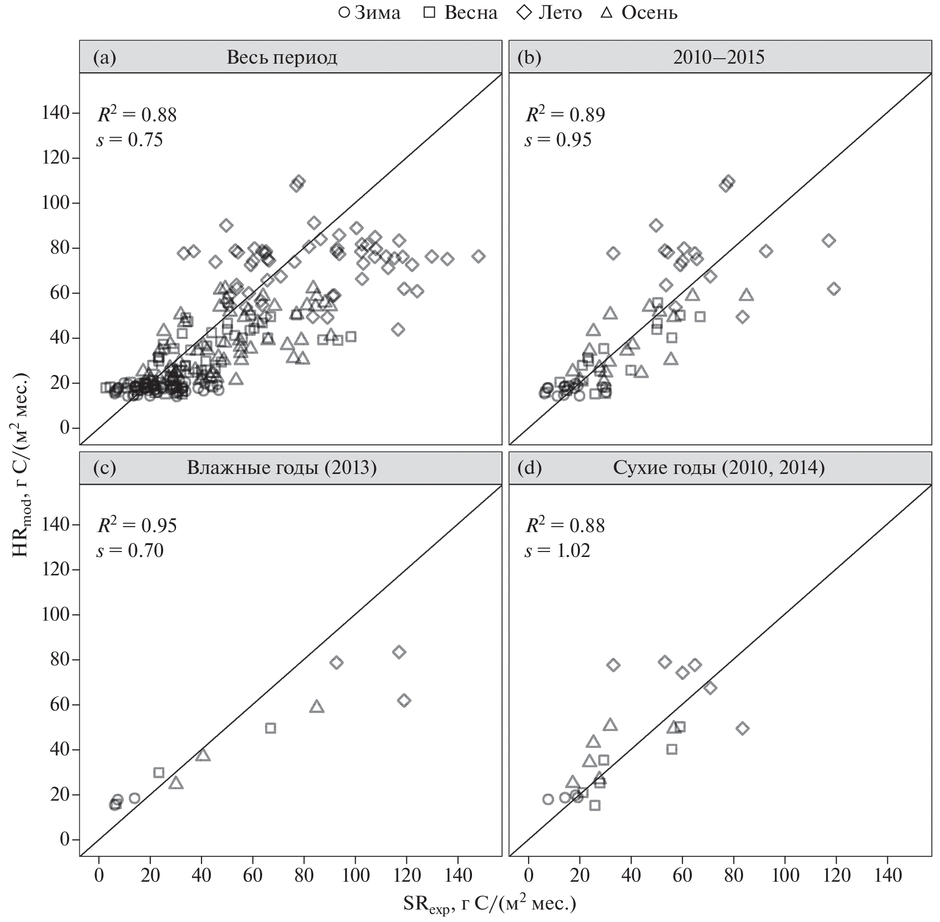
The paper considers the results of calculations of the heterotrophic (HR) and total soil respiration for Entic Carbic Podzol under a coniferous-broad-leaved forest in the South of the Moscow region (54.89° N, 37.56° E), performed using the soil model Romul_Hum and a new version of the system of models EFIMOD3. The results of soil respiration modeling had a good correlation with the field measurement data. The Romul_Hum model simulates better the intensity of HR of the studied soil in wet than in dry years when it lightly overestimates the HR values. In the spatially detailed modeling of heterotrophic and root respiration using the EFIMOD3, the variability of carbon pools and fluxes associated with the distribution of the litterfall and hydrothermal conditions under the forest canopy was taken into account. The data obtained show that the intensity of HR at the beginning and middle of the growing season differs by about a factor of two, and HR values between different parts of the simulation site at the same time differ by more than 3.5 times. Spatial and temporal variability of the soil respiration affects the accuracy of estimates of C stocks in forest ecosystems. The used models are effective tools to analyze changes in soil carbon stocks, soil respiration, and carbon sink estimation in forest ecosystems, including tasks of forest management.
About the authors
I. V. Priputina
Institute of Physicochemical and Biological Problems of Soil Science, Russian Academy of Sciences
Author for correspondence.
Email: priputina@pbcras.ru
Russia, 142290 , Pushchino
T. N. Mjakshina
Institute of Physicochemical and Biological Problems of Soil Science, Russian Academy of Sciences
Email: priputina@pbcras.ru
Russia, 142290 , Pushchino
E. V. Zubkova
Institute of Physicochemical and Biological Problems of Soil Science, Russian Academy of Sciences
Email: priputina@pbcras.ru
Russia, 142290 , Pushchino
D. V. Sapronov
Institute of Physicochemical and Biological Problems of Soil Science, Russian Academy of Sciences
Email: priputina@pbcras.ru
Russia, 142290 , Pushchino
V. O. Lopes de Gerenyu
Institute of Physicochemical and Biological Problems of Soil Science, Russian Academy of Sciences
Email: priputina@pbcras.ru
Russia, 142290 , Pushchino
I. N. Kurganova
Institute of Physicochemical and Biological Problems of Soil Science, Russian Academy of Sciences
Email: priputina@pbcras.ru
Russia, 142290 , Pushchino
S. S. Bykhovets
Institute of Physicochemical and Biological Problems of Soil Science, Russian Academy of Sciences
Email: priputina@pbcras.ru
Russia, 142290 , Pushchino
V. N. Shanin
Institute of Physicochemical and Biological Problems of Soil Science, Russian Academy of Sciences; Center for Forest Ecology and Productivity, Russian Academy of Sciences
Email: priputina@pbcras.ru
Russia, 142290 , Pushchino; Russia, 117997, Moscow
P. V. Frolov
Institute of Physicochemical and Biological Problems of Soil Science, Russian Academy of Sciences
Email: priputina@pbcras.ru
Russia, 142290 , Pushchino
D. A. Khoroshaev
Institute of Physicochemical and Biological Problems of Soil Science, Russian Academy of Sciences
Email: priputina@pbcras.ru
Russia, 142290 , Pushchino
References
- Бобрик А.А., Гончарова О.Ю., Матышак Г.В., Рыжова И.М., Макаров М.И., Тимофеева М.В. Распределение компонентов углеродного цикла почв лесных экосистем северной, средней и южной тайги Западной Сибири // Почвоведение. 2020. № 11. С. 1328–1340. https://doi.org/10.31857/S0032180X20110052
- Богатырев Л.Г., Бенедиктова А.И., Земсков Ф.И., Демидова А.Н., Бойко Г.А., Раппопорт А.В., Вартанов А.Н., Жилин Н.И., Госсе Д.Д., Демин В.В. Типология лесных подстилок некоторых типов насаждений Ботанического сада МГУ имени М.В. Ломоносова (Ленинские Горы) // Вестник Моск. ун-та. Сер. 17, почвоведение. 2019. № 2. С. 3–15.
- Булыгина О.Н., Веселов В.М., Разуваев В.Н., Александрова Т.М. Описание массива срочных данных об основных метеорологических параметрах на станциях России. Свидетельство о государственной регистрации базы данных № 2014620549. http://meteo.ru/data/163-basic-parameters#описание-массива-данных (дата обращения 06.09.2022).
- Быховец С.С., Комаров А.С. Простой статистический имитатор климата почвы с месячным шагом // Почвоведение. 2002. № 4. С. 443–452.
- Гитарский М.Л., Замолодчиков Д.Г., Мухин В.А., Диярова Д.К., Грабар В.А., Карелин Д.В., Иващенко А.И., Марунич А.С. Сезонная изменчивость эмиссии диоксида углерода при разложении елового валежа южной тайги Валдая // Лесоведение. 2020. № 3. С. 239–249. https://doi.org/10.31857/S0024114820030055
- Гончарова О.Ю., Матышак Г.В., Бобрик А.А., Удовенко М.М., Сефилян А.Р. Методические подходы к полевому определению вклада корневого и микробного дыхания в эмиссию СО2 почвами криолитозоны // Вестник Моск. ун-та. Сер. 17, почвоведение. 2018. № 1. С. 46–51.
- Грозовская И.С., Ханина Л.Г., Смирнов В.Э., Бобровский М.В., Романов М.С., Глухова Е.М. Биомасса напочвенного покрова в еловых лесах Костромской области // Лесоведение. 2015. № 1. С. 63–76.
- Евдокимов И.В., Ларионова А.А., Шмитт М., Лопес де Гереню В.О., Бан М. Определение вклада дыхания корней растений в эмиссию CO2 из почвы методом субстрат-индуцированного дыхания // Почвоведение. 2010. № 3. С. 349–355.
- Замолодчиков Д.Г., Карелин Д.В., Гитарский М.Л., Блинов В.Г. Мониторинг потоков парниковых газов в природных экосистемах. Саратов: Амирит, 2017. 279 с.
- Иванов И.В., Шадриков И.Г. Коэволюция почв и растительного покрова в южной тайге (на примере Приокско-Террасного заповедника) // Почвоведение. 2010. № 11. С. 1326–1333.
- Кадулин М.С., Копцик Г.Н. Изменения потока диоксида углерода из почв лесных экосистем под воздействием техногенного загрязнения в Кольской Субарктике // Почвоведение. 2021. № 10. С. 1281–1292. https://doi.org/10.31857/S0032180X21100075
- Карелин Д.В., Азовский А.И., Каманяев А.С., Замолодчиков Д.Г. Значение пространственного и временного масштаба при анализе факторов эмиссии СО2 из почвы в лесах Валдайской возвышенности // Лесоведение. 2019. № 1. С. 29–37. https://doi.org/10.1134/S0024114819010078
- Карелин Д.В., Замолодчиков Д.Г., Исаев А.С. Малоизвестные импульсные составляющие почвенной эмиссии диоксида углерода в таежных лесах // Доклады АН. 2017. Т. 475. № 4. С. 473–476. https://doi.org/10.7868/S0869565217220248
- Карелин Д.В., Замолодчиков Д.Г., Каганов В.В., Почикалов А.В., Гитарский М.Л. Микробная и корневая составляющие дыхания дерново-подзолистых почв южной тайги // Лесоведение. 2017. № 3. С. 183–193.
- Карелин Д.В., Почикалов А.В., Замолодчиков Д.Г. Эффект усиления эмиссии СО2 в окнах распада лесов Валдая // Известия РАН. Сер. географическая. 2017. № 2. С. 60– 68.
- Карелин Д.В., Почикалов А.В., Замолодчиков Д.Г., Гитарский М.Л. Факторы пространственно-временной неоднородности потоков СО2 из почв южно-таежного ельника на Валдае // Лесоведение. 2014. № 4. С. 56–66.
- Классификация и диагностика почв России. Смоленск: Ойкумена, 2004. 342 с.
- Классификация и диагностика почв. М.: Колос, 1977. 225 с.
- Копцик Г.Н., Куприянова Ю.В., Кадулин М.С. Пространственная изменчивость эмиссии диоксида углерода почвами в основных типах лесных экосистем Звенигородской биостанции МГУ // Вестник Моск. ун-та. Сер. 17, почвоведение. 2018. № 2. С. 40–47.
- Кузнецов М.А. Влияние условий разложения и состава опада на характеристики и запас подстилки в среднетаежном чернично-сфагновом ельнике // Лесоведение. 2010. № 6. С. 54–60.
- Курганова И.Н., Лопес де Гереню В.О., Аблеева В.А., Быховец С.С. Климат южного Подмосковья: современные тренды и оценка экстремальности // Фундаментальная и прикладная климатология. 2017. № 4. С. 62–78. https://doi.org/10.21513/2410-8758-2017-4-66-82
- Курганова И.Н., Лопес де Гереню В.О., Мякшина Т.Н., Сапронов Д.В., Кудеяров В.Н. Эмиссия CO2 из почв различных экосистем южнотаежной зоны: анализ данных непрерывных 12-летних круглогодичных наблюдений // Доклады АН. 2011. Т. 436. № 6. С. 843–846.
- Курганова И.Н., Лопес де Гереню В.О., Петров А.С., Мякшина Т.Н., Сапронов Д.В., Аблеева В.А., Кудеяров В.Н. Влияние наблюдаемых климатических изменений и экстремальных погодных явлений на эмиссионную составляющую углеродного цикла в различных экосистемах южно-таежной зоны // Доклады АН. 2011. Т. 441. № 6. С. 845–849.
- Курганова И.Н., Лопес де Гереню В.О., Хорошаев Д.А., Мякшина Т.Н., Сапронов Д.В., Жмурин В.А., Кудеяров В.Н. Анализ многолетней динамики дыхания почв в лесном и луговом ценозах Приокско-Террасного биосферного заповедника в свете современных климатических трендов // Почвоведение. 2020. № 10. С. 1220–1236. https://doi.org/10.31857/S0032180X20100111
- Ларионова А.А., Евдокимов И.В., Курганова И.Н., Сапронов Д.В., Кузнецова Л.Г., Лопес де Гереню В.О. Дыхание корней и его вклад в эмиссию СО2 из почвы // Почвоведение. 2003. № 2. С. 183–194.
- Ларионова А.А., Квиткина А.К., Быховец С.С., Лопес-де-Гереню В.О., Колягин Ю.Г., Каганов В.В. Влияние азота на минерализацию и гумификацию лесных опадов в модельном эксперименте // Лесоведение. 2017. № 2. С. 128–139.
- Мальцева А.Н., Пинский Д.Л. Механизмы стабилизации продуктов разложения растительных остатков денсиметрическими фракциями суглинка // Почвоведение. 2020. № 10. С. 1206–1219. https://doi.org/10.31857/S0032180X20100123
- Масягина О.В., Прокушкин С.Г., Абаимов А.П., Мори Ш., Койке Т. Эмиссия СО2 с поверхности напочвенного покрова в лиственничниках центральной Эвенкии // Лесоведение. 2005. № 6. С. 19–29.
- Надпорожская М.А. Моделирование трансформации органического вещества растительных остатков в почве. Автореф. дис. … канд. с-х. наук. СПб., 2000.
- Неведров Н.П., Саржанов Д.А., Проценко Е.П., Васенев И.И. Пространственно-временная изменчивость эмиссии СО2 из альфегумусовых песчаных почв лесостепной зоны на примере г. Курска // Почвоведение. 2022. № 11. С. 1366–1377. https://doi.org/10.31857/S0032180X22110090
- Орлова М.А., Лукина Н.В., Смирнов В.Э., Артемкина Н.А. Влияние ели на кислотность и содержание элементов питания в почвах северотаежных ельников кустарничково-зеленомошных // Почвоведение. 2016. № 11. С. 1355–1367. https://doi.org/10.7868/S0032180X16110071
- Осипов А.Ф. Влияние межгодовых различий метеорологических характеристик вегетационного периода на эмиссию СО2 с поверхности почвы среднетаежного сосняка бруснично-лишайникового (Республика Коми) // Почвоведение. 2018. № 12. С. 1455–1463. https://doi.org/10.1134/S0032180X18120080
- Осипов А.Ф. Запасы и потоки органического углерода в экосистеме спелого сосняка черничного средней тайги // Сибирский лесной журнал. 2017. № 2. С. 70–80. https://doi.org/10.15372/SJFS20170208
- Пинский Д.Л., Мальцева А.Н., Золотарева Б.Н., Дмитриева Е.Д. Кинетика трансформации растительных остатков кукурузы и клевера в минеральных субстратах различного состава // Почвоведение. 2017. № 6. С. 690–697. https://doi.org/10.7868/80032180X17060090
- Почикалов А.В., Карелин Д.В. Окологодичные наблюдения за разложением опада тундровых растений через потерю массы и эмиссию СО2: роль биотических и абиотических факторов, сезонов года, биотопа и пространственно-временного масштаба // Журн. общей биологии. 2014. Т. 75. № 3. С. 163–181.
- Припутина И.В., Быховец С.С., Фролов П.В., Чертов О.Г., Кургановa И.Н., Лопес де Гереню В.О., Сапронов Д.В., Мякшина Т.Н. Применение математических моделей ROMUL и Romul_Hum для оценки эмиссии CO2 и динамики органического вещества в серой лесной почве под лиственным лесом в южном Подмосковье // Почвоведение. 2020. № 10. С. 1262–1275. https://doi.org/10.31857/S0032180X20100159
- Припутина И.В., Фролова Г.Г., Шанин В.Н., Мякшина Т.Н., Грабарник П.Я. Распределение органического вещества и азота в дерново-подбурах Приокско-Террасного заповедника и его связь со структурой лесных фитоценозов // Почвоведение. 2020. № 8. С. 921–933. https://doi.org/10.31857/S0032180X20080122
- Ремезов Н.П., Быкова Л.Н., Смирнова К.М. Потребление и круговорот азота и зольных элементов в лесах Европейской части СССР. М.: Изд-во Моск. ун-та, 1959. 284 с.
- Рыжова И.М., Телеснина В.М., Ситникова А.А. Динамика свойств почв и структуры запасов углерода в постагрогенных экосистемах в процессе естественного лесовосстановления // Почвоведение. 2020. № 2. С. 230–243. https://doi.org/10.31857/S0032180X20020100
- Сафонов С.С., Карелин Д.В., Грабар В.А., Латышев Б.А., Грабовский В.И., Уварова Н.Е., Замолодчиков Д.Г., Коротков В.Н., Гитарский М.Л. Эмиссия углерода от разложения валежа в южнотаежном ельнике // Лесоведение. 2012. № 5. С. 44–49.
- Семенов В.М., Иванникова Л.А., Тулина А.С. Стабилизация органического вещества в почве // Агрохимия. 2009. № 10. С. 77–96.
- Семенюк О.В., Телеснина В.М., Богатырев Л.Г., Бенедиктова А.И. Использование особенностей структурно-функциональной организации подстилок для оценки интенсивности круговорота в городских насаждениях (на примере Москвы) // Почвоведение. 2021. № 5. С. 592–605. https://doi.org/10.31857/S0032180X21050178
- Сморкалов И.А. Изменчивость дыхания почвы: оценка вклада пространства и времени с помощью алгоритма Random Forest // Экология. 2022. № 4. С. 299–311. https://doi.org/10.31857/S0367059722040059
- Сморкалов И.А., Воробейчик Е.Л. Влияние условий крупного промышленного города на почвенное дыхание лесных экосистем // Почвоведение. 2015. № 1. С. 118–126. https://doi.org/10.7868/S0032180X15010141
- Тихонова Е.Н., Менько Е.В., Уланова Р.В., Ли Х., Кравченко И.К. Влияние температуры на таксономическую структуру бактериальных сообществ почв при разложении лесного опада // Микробиология. 2019. Т. 88. № 6. С. 744–748.
- Трефилова О.В. Интенсивность гетеротрофного дыхания в сосняках средней тайги // Хвойные бореальной зоны. 2007. Т. XXIV. № 4–5. С. 467–473.
- Труды Приокско-Террасного заповедника. Вып. 2. Смирнов П.А. Флора Приокско-Террасного государственного заповедника. М., 1958. 247 с.
- Шанин В.Н., Фролов П.В., Коротков В.Н. Всегда ли искусственное лесовосстановление может быть лесоклиматическим проектом // Вопросы лесной науки. 2022. Т. 5. № 2. P. 106. https://doi.org/10.31509/2658-607x-202252-106
- Шанин В.Н., Фролов П.В., Припутина И.В., Чертов О.Г., Быховец С.С., Зубкова Е.В., Портнов А.М., Фролова Г.Г., Стаменов М.Н., Грабарник П.Я. Моделирование динамики лесных экосистем с учетом их структурной неоднородности на разных функциональных и пространственных уровнях // Вопросы лесной науки. 2022. Т. 5. № 3. https://doi.org/10.31509/2658-607x-202252-112
- Abramoff R.Z., Davidson E.A., Finzi A.C. A parsimonious modular approach to building a mechanistic belowground carbon and nitrogen model // J. Geophys. Res. Biogeosci. 2017. V. 122. P. 2418–2434. https://doi.org/10.1002/2017jg003796
- Ahtikoski A., Rämö J., Juutinen A., Shanin V., Mäkipää R. Continuous Cover Forestry and Cost of Carbon Abatement on Mineral Soils and Peatlands // Front. Environ. Sci. 2022. V. 10. https://doi.org/10.3389/fenvs.2022.837878
- Buchmann N. Biotic and abiotic factors controlling soil respiration rates in Picea abies stands // Soil Biol. Biochem. 2000. V. 32. P. 1625–1635. https://doi.org/10.1016/S0038-0717(00)00077-8
- Cameron D.R., Van Oijen M., Werner C., Butterbach-Bahl K., Grote R., Haas E., Heuvelink G.B.M., Kiese R., Kros J., Kuhnert M., Leip A., Reinds G.J., Reuter H.I., Schelhaas M.J., De Vries W., Yeluripati J. Environmental change impacts on the C- and N-cycle of European forests: a model comparison study // Biogeosciences. 2013. V. 10. P. 1751–1773. https://doi.org/10.5194/bg-10-1751-2013
- Chertov O.G., Komarov A.S., Nadporozhskaya M.A., Bykhovets S.S., Zudin S.L. ROMUL – a model of forest soil organic matter dynamics as a substantial tool for forest ecosystem modeling // Ecol Modell. 2001. V. 138. P. 289–308. https://doi.org/10.1016/S0304-3800(00)00409-9
- Chertov O., Komarov A., Shaw C., Bykhovets S., Frolov P., Shanin V., Grabarnik P., Priputina I., Zubkova E., Shashkov M. Romul_Hum — A model of soil organic matter formation coupling with soil biota activity. II. Parameterisation of the soil food web biota activity // Ecol Modell. 2017. V. 345. P. 125–139. https://doi.org/10.1016/j.ecolmodel.2016.10.024
- Didion M., Frey B., Rogiers N., Thürig E. Validating tree litter decomposition in the Yasso07 carbon model // Ecol Modell. 2014. V. 291. P. 58–68. https://doi.org/10.1016/j.ecolmodel.2014.07.028
- Dijkstra J.P.M., Reinds G.J., Kros H., Berg B., de Vries W. Modelling soil carbon sequestration of intensively monitored forest plots in Europe by three different approaches // For. Ecol. Manage. 2009. V. 258. P. 1780–1793. https://doi.org/10.1016/j.foreco.2008.09.011
- Dimassi B., Guenet B., Saby N.P.A., Munoz F., Bardy M., Millet F., Martin M.P. The impacts of CENTURY model initialization scenarios on soil organic carbon dynamics simulation in French long-term experiments // Geoderma. 2018. V. 311. P. 25–36. https://doi.org/10.1016/j.geoderma.2017.09.038
- Ding Y., Leppälammi-Kujansuu J., Helmisaari H.-S. Fine root longevity and below- and aboveground litter production in a boreal Betula pendula forest // For. Ecol. Manage. 2019. V. 431. P. 17–25. https://doi.org/10.1016/j.foreco.2018.02.039
- Ettema C.H., Wardle D.A. Spatial soil ecology // Trends Ecology Evolution. 2002. V. 17. P. 177–183. https://doi.org/10.1016/s0169-5347(02)02496-5
- Falloon P.D., Smith P. Modelling refractory soil organic matter // Biol. Fertil. Soils. 2000. V. 30. P. 388–398. https://doi.org/10.1007/s003740050019
- Falloon P., Smith P., Coleman K., Marshall S. Estimating the size of the inert organic matter pool from total soil organic carbon content for use in the Rothamsted carbon model // Soil Biol. Biochem. 1998. V. 30. P. 1207–1211. https://doi.org/10.1016/S0038-0717(97)00256-3
- Franko U., Kuka K., Romanenko I.A., Romanenkov V.A. Validation of the CANDY model with Russian long-term experiments // Reg Environ Change. 2007. V. 7. P. 79–91. https://doi.org/10.1007/s10113-007-0027-3
- Gordon W.S., Jackson R.B. Nutrient concentrations in fine roots // Ecology. 2000. V. 81. P. 275–280. https://doi.org/10.1890/0012-9658(2000)081[0275:NCIFR] 2.0.CO;2
- Grüneberg E., Ziche D., Wellbrock N. Organic carbon stocks and sequestration rates of forest soils in Germany // Glob Chang Biol. 2014. V. 20. P. 2644–2662. https://doi.org/10.1111/gcb.12558
- He L., Lipson D.A., Mazza Rodrigues J.L., Mayes M., Björk R.G., Glaser B., Xu X. Dynamics of Fungal and Bacterial Biomass Carbon in Natural Ecosystems: Site-level Applications of the CLM-Microbe Model // J. Adv. Model. Earth Syst. 2020. https://doi.org/10.1029/2020ms002283
- Heinemeyer A., Hartley I.P., Carreira de la Fuente J.A., Ineson P. Forest soil CO2 flux: uncovering the contribution and environmental responses of ectomycorrhizas // Glob Chang Biol. 2007. V. 13. P. 1786–1797. https://doi.org/10.1111/j.1365-2486.2007.01383.x
- Herbst M., Welp G., Macdonald A., Jate M., Hädicke A., Scherer H., Gaiser T., Herrmann F., Amelung W., Vanderborght J. Correspondence of measured soil carbon fractions and RothC pools for equilibrium and non-equilibrium states // Geoderma. 2018. V. 314. P. 37–46. https://doi.org/10.1016/j.geoderma.2017.10.047
- Jochheim H., Wirth S., Gartiser V., Paulus S., Haas C., Gerke H.H., Maier M. Dynamics of soil CO2 efflux and vertical CO2 production in a European Beech and a Scots Pine forest // Front. for. glob. change. 2022. V. 5. P. 826298. https://doi.org/10.3389/ffgc.2022.826298
- Komarov A., Chertov O., Zudin S., Nadporozhskaya M., Mikhailov A., Bykhovets S., Zudina E., Zubkova E. EFIMOD 2 – A model of growth and elements cycling of boreal forest ecosystems // Ecol Modell. 2003. V. 170. P. 373–392. https://doi.org/10.1016/S0304-3800(03)00240-0
- Komarov A., Chertov O., Bykhovets S., Shaw C., Nadporozhskaya M., Frolov P., Shashkov M., Shanin V., Grabarnik P., Priputina I., Zubkova E. Romul_Hum model of soil organic matter formation coupled with soil biota activity. I. Problem formulation, model description, and testing // Ecol Modell. 2017. V. 345. P. 113–124. https://doi.org/10.1016/j.ecolmodel.2016.08.007
- Kuka K., Franko U., Rühlmann J. Modelling the impact of pore space distribution on carbon turnover // Ecol Modell. 2007. V. 208. P. 295–306. https://doi.org/10.1016/j.ecolmodel.2007.06.002
- Kurganova I., Lopes de Gerenyu V., Khoroshaev D., Myakshina T., Sapronov D., Zhmurin V. Temperature sensitivity of soil respiration in two temperate forest ecosystems: The synthesis of a 24-year continuous observation // Forests. 2022. V. 13. 1374. https://doi.org/10.3390/f13091374
- Lasch-Born P., Suckow F., Reyer C. P. O., Gutsch M., Kollas C., Badeck F.-W., Bugmann H. K. M., Grote R., Fürstenau F., Lindner M., Schaber J. Description and evaluation of the process-based forest model 4C v2.2 at four European forest sites // Geoscientific Model Development. 2020. V. 13. P. 5311–5343. https://doi.org/10.5194/gmd-13-5311-2020
- Law B.E., Ryan M.G., Anthoni P.M. Seasonal and annual respiration of a ponderosa pine ecosystem // Glob Chang Biol. 1999. V. 5. P. 169–182. https://doi.org/10.1046/j.1365-2486.1999.00214.x
- Liu Y., He N., Wen X., Xu L., Sun X., Yu G., Liang L., Schipper L.A. The optimum temperature of soil microbial respiration: Patterns and controls // Soil Biol. Biochem. 2018. V. 121. P. 35–42. https://doi.org/10.1016/j.soilbio.2018.02.019
- Manzoni S., Čapek P., Porada P., Thurner M., Winterdahl M., Beer C., Brüchert V., Frouz J., Herrmann A.M., Lindahl B.D., Lyon S.W., Šantrůčková H., Vico G., Way D. Reviews and syntheses: Carbon use efficiency from organisms to ecosystems – definitions, theories, and empirical evidence // Biogeosciences. V. 15. P. 5929–5949, 2018.https://doi.org/10.5194/bg-15-5929-2018
- Mason-Jones K., Vrehen P., Koper K., Wang J., Van der Putten W.P., Veen G.F. Short-term temperature history affects mineralization of fresh litter and extant soil organic matter, irrespective of agricultural management // Soil Biol. Biochem. 2020. V. 150. 10895. https://doi.org/10.1016/j.soilbio.2020.107985
- Pan Y., Birdsey R.A., Fang J., Houghton R., Kauppi P.E., Kurz W.A., Phillips O.L. et al. A large and persistent carbon sink in the world’s forests // Science. 2011. V. 333. P. 988–993. https://doi.org/10.1126/science.1201609
- Perveen N., Barot S., Alvarez G., Klumpp K., Martin R., Rapaport A., Herfurth D., Louault F., Fontaine S. Priming effect and microbial diversity in ecosystem functioning and response to global change: a modeling approach using the SYMPHONY model // Glob Chang Biol. 2014. V. 20. P. 1174–1190. https://doi.org/10.1111/gcb.12493
- Qin Q., Wang H., Lei X., Li X., Xie Y., Zheng Y. Spatial variability in the amount of forest litter at the local scale in northeastern China: Kriging and cokriging approaches to interpolation // Ecol. Evol. 2019. V. 10. P. 778–790. https://doi.org/10.1002/ece3.5934
- Rühlmann J. A new approach to estimating the pool of stable organic matter in soil using data from long-term field experiments // Plant Soil. 1999. V. 213. P. 149–160. https://doi.org/10.1023/A:1004552016182
- Sievänen R., Salminen O., Lehtonen A., Ojanen P., Liski J., Ruosteenoja K., Tuomi M. Carbon stock changes of forest land in Finland under different levels of wood use and climate change // Ann. For. Sci. 2013. V. 71. P. 255–265. https://doi.org/10.1007/s13595-013-0295-7
- Shanin V., Chertov O. Simulating the effect of forest fires, cuttings, and increased nitrogen deposition on dynamics of key forest ecosystem properties and processes in Russian North-West // Eur. J. Forest Res. 2020. V. 139. P. 665–683. https://doi.org/10.1007/s10342-020-01277-5
- Shanin V., Juutinen A., Ahtikoski A., Frolov P., Chertov O., Rämö J., Lehtonen A., Laiho R., Mäkiranta P., Nieminen M., Laurén A., Sarkkola S., Penttilä T., Ťupek B., Mäkipää R. Simulation modelling of greenhouse gas balance in continuous-cover forestry of Norway spruce stands on nutrient-rich drained peatlands // For. Ecol. Manage. 2021. V. 496. P. 119479. https://doi.org/10.1016/j.foreco.2021.119479
- Shorohova E., Kapitsa E. Stand and landscape scale variability in the amount and diversity of coarse woody debris in primeval European boreal forests // For. Ecol. Manage. 2015. V. 356. P. 273–284. https://doi.org/10.1016/j.foreco.2015.07.005
- Stevens A., van Wesemael B. Soil organic carbon dynamics at the regional scale as influenced by land use history: a case study in forest soils from southern Belgium // Soil Use Manag. 2008. V. 24. P. 69–79. https://doi.org/10.1111/j.1475-2743.2007.00135.x
- Valentini R., Matteucci G., Dolman A.J., Schulze E.-D., Rebmann C., Moors E.J., Granier A., Gross P. et al. Respiration as the main determinant of carbon balance in European forests // Nature. 2000. V. 404. P. 861–865. https://doi.org/10.1038/35009084
- Van Hees P.A.W., Jones D.L., Finlay R., Godbold D.L., Lundström U.S. The carbon we do not see—the impact of low molecular weight compounds on carbon dynamics and respiration in forest soils: a review // Soil Biol. Biochem. 2005. V. 37. P. 1–13. https://doi.org/10.1016/j.soilbio.2004.06.010
- Xu M., Qi Y. Soil-surface CO2 efflux and its spatial and temporal variations in a young ponderosa pine plantation in northern California // Glob Chang Biol. 2001. V. 7. P. 667–677. https://doi.org/10.1046/j.1354-1013.2001.00435.x
- Zhou X., Peng C., Dang Q.-L., Sun J., Wu H., Hua D. Simulating carbon exchange in Canadian boreal forests. I. Model structure, validation, and sensitivity analysis // Ecol Modell. 2008. V. 219. P. 287–299. https://doi.org/10.1016/j.ecolmodel.2008.07.011
Supplementary files






