Ecological assessment of the content of heavy metals and arsenic in soils and agricultural plants of the Central Black Earth Region
- Authors: Lukin S.V.1,2
-
Affiliations:
- Belgorod Center for Agrochemical Service
- Belgorod State National Research University
- Issue: No 10 (2024)
- Pages: 1414-1423
- Section: AGRICULTURAL CHEMISTRY AND SOIL FERTILITY
- URL: https://medbiosci.ru/0032-180X/article/view/280982
- DOI: https://doi.org/10.31857/S0032180X24100101
- EDN: https://elibrary.ru/JXEOTO
- ID: 280982
Cite item
Full Text
Abstract
The purpose of this work was to carry out an environmental assessment of the content Cr, Pb, Cd, Hg, As in arable soils and agricultural plants of the Central Chernozem economic region of Russia using the example of the Belgorod Region. During the studies, it was found that the average gross content of Cr, Pb, As, Cd, Hg in leached arable chernozem was – 19.8, 10.0, 4.15, 0.22, 0.021, in typical arable chernozems was 20.0, 10.3, 4.18, 0.23, 0.022, in ordinary chernozems – 20.9, 11.2, 5.48, 0.35, 0.023 mg/kg, respectively. The average content of mobile forms of Pb, Cr and Cd in leached arable chernozems was 0.52, 0.14, 0.06, and 0.46, 0.13, 0.05 for the typical arable chernozems, in ordinary chernozem – 0.55, 0.13, 0.04 mg/kg, correspondingly. These elements did not exceed the established UEC and MAC standards in the studied soils. The main source of heavy metals in the arable soils of the Belgorod region is organic fertilizers. The average content of Cr, Pb, As, Cd and Hg in cattle manure is 0.90, 0.78, 0.277, 0.060, 0.0084 mg/kg, respectively. Of the studied crops, sunflower seeds had the highest content of Cd, Pb and Cr, while winter wheat grains had Hg and As. The soy grain has the lowest average content of Pb, Hg and As, and the corn grain has Cr, Cd and As. In the grain of winter wheat, corn, soybeans and sunflower seeds, the content of Pb, Cd, Hg, As did not exceed the maximum permissible concentrations established for products intended for food purposes, and the concentration of Cr did not exceed the maximum permissible level established for feed.
Keywords
Full Text
ВВЕДЕНИЕ
На современном этапе развития общества техногенное воздействие на агроэкосистемы неуклонно возрастает, в том числе за счет загрязнения почв такими широко используемыми в промышленности элементами, как Cr, Pb, Cd, Hg, As [1, 22, 29]. В соответствии с российским законодательством Pb, Cd, Hg и As по степени токсичности относятся к первому классу (высоко опасные вещества), а Cr – ко второму (умеренно опасные) [1, 4, 7].
К элементам Pb, Cd, Hg и Cr часто применяют термин “тяжелые металлы” (ТМ). К этой группе элементов иногда относят и металлоид As [1, 5, 7]. Для содержания ТМ и As в компонентах агроэкосистем характерна высокая пространственная вариабельность, обусловленная как природными, так и антропогенными факторами. Даже кларки элементов (среднее валовое содержание) в почвах, установленные разными авторами, существенно различаются. Например, кларки Pb и Cr по оценкам [3] составляют 10 и 200, а по данным [24] – 27.0 и 59.5 мг/кг соответственно. Поэтому в рамках государственной программы агроэкологического мониторинга земель сельскохозяйственного назначения, проводимого агрохимической службой России, предусмотрено периодическое определение содержания основных ТМ в почвах, удобрениях и сельскохозяйственной продукции [25, 26].
Учитывая высокую токсичность As и ТМ, во многих странах мира нормируется их содержание в почвах [23, 30]. В России для нормирования валового содержания As и основных ТМ в почвах в зависимости от их гранулометрического состава и кислотности установлены уровни ориентировочно допустимых концентраций (ОДК). Например, для тяжелосуглинистых почв с рНKCl более 5.5 ОДК Pb, As и Cd составляет 130, 10 и 2 мг/кг соответственно. Для нормирования валового содержания Hg в почвах установлен уровень предельно допустимой концентрации (ПДК), составляющий 2.1 мг/кг. В России, кроме валового содержания, нормируется концентрация в почвах подвижных форм некоторых ТМ. Например, для содержания подвижных форм Cr и Pb, извлекаемых ацетатно-аммонийным буферным раствором с рН 4.8, ПДК установлены на уровне 6 мг/кг [14].
Соединения Pb, Cd, Hg и As обладают высокой токсичностью для теплокровных, в том числе и человека, поэтому нормируется их содержание в продукции, предназначенной на пищевые цели, и в кормах для сельскохозяйственных животных [17]. Максимальные допустимые уровни (МДУ) содержания Cr регламентированы только для кормовой продукции [2].
Цель работы – экологическая оценка содержания Cr, Pb, Аs, Cd и Hg в пахотных почвах и сельскохозяйственных растениях Центрально-Черноземного экономического района России.
ОБЪЕКТЫ И МЕТОДЫ
Исследования проводили в Белгородской области, которая находится в юго-западной части Центрально-Черноземного экономического района России. Среднемноголетний показатель величины гидротермического коэффициента по Селянинову, который рассчитывается как отношение суммы осадков (мм) за период со среднесуточными температурами воздуха выше 10°С к сумме температур за это же время, уменьшенной в 10 раз, изменяется в пределах 0.9–1.2. В почвенном покрове лесостепной зоны области преобладают черноземы типичные (Haplic Chernozems) (44.8% от общей площади пашни) и выщелоченные (Luvic Сhernozems) (25.7%), а степной – черноземы обыкновенные (Haplic Chernozems) (13.0%) [16].
В среднем за 2016–2020 гг. площадь посева сельскохозяйственных культур в Белгородской области составила 1425 тыс. га. В структуре посевных площадей преобладают: озимая пшеница (26.8% от общей посевной площади), соя (16.6%), подсолнечник (10.3%), кукуруза на зерно (9.2%) [35].
Фоновый мониторинг проводился на участке “Ямская степь” государственного заповедника “Белогорье”, расположенного в лесостепной зоне в муниципальном образовании “Губкинский городской округ”, и территории природного парка “Ровеньский”, находящегося в степной зоне в муниципальном образовании “Ровеньский район”. В верхней части гумусово-аккумулятивного горизонта (10–20 см) целинного чернозема выщелоченного содержание физической глины, Сорг и рНН2О составляло 56.4, 5.63%, 6.3, чернозема типичного – 57.3, 5.86%, 7.0, чернозема обыкновенного – 67.0, 3.77%, 7.1 соответственно.
В работе использованы материалы локального агроэкологического мониторинга, проводимого агрохимической службой России в 2016–2022 гг. Для осуществления этого вида мониторинга на пахотных почвах области заложены реперные объекты (участки поля площадью 4–40 га), с которых при их обследовании отбирается почва для полного агрохимического анализа и ежегодно (перед началом уборки урожая) отбирается основная и побочная продукция сельскохозяйственных культур [8]. Среднее содержание физической глины в пахотном слое (0–25 см) черноземов выщелоченных и типичных реперных объектов в лесостепной зоне составило 56.2 и 56.8%, Сорг – 3.13 и 3.25%, величина рНН2О – 6.3 и 6.7 соответственно. На данных объектах отбирали растениеводческую продукцию для химического анализа. Средняя урожайность изучаемых культур составляла: зерна озимой пшеницы – 5.0, ячменя – 3.7, кукурузы – 7.0, сои – 2.2, семян подсолнечника – 3.0 т/га. На реперных объектах степной зоны в пахотном слое содержание физической глины составляло 72.5%, Сорг – 3.02%, рНН2О 7.8.
Все аналитические исследования проводили в аккредитованной испытательной лаборатории. Содержание кислоторастворимых форм ТМ (экстрагент 5М HNO3) и концентрацию извлекаемых ацетатно-аммонийным буферным раствором с рН 4.8 их подвижных форм в почве определяли методом атомно-эмиссионной спектрометрии. Содержание ТМ в минеральных и органических удобрениях, растениеводческой продукции определялось атомно-абсорбционным методом по общепринятым в агрохимической службе методикам. Содержание As в образцах почвы, растениеводческой продукции и удобрений определяли фотометрическим методом [9].
При статистической обработке данных локального мониторинга рассчитывали доверительный интервал для средних значений ( ± t05s) и коэффициент вариации (V). Математическую обработку данных проводили автоматически с использованием программного комплекса ГИС “Агроэколог Онлайн” [6, 28].
РЕЗУЛЬТАТЫ И ОБСУЖДЕНИЕ
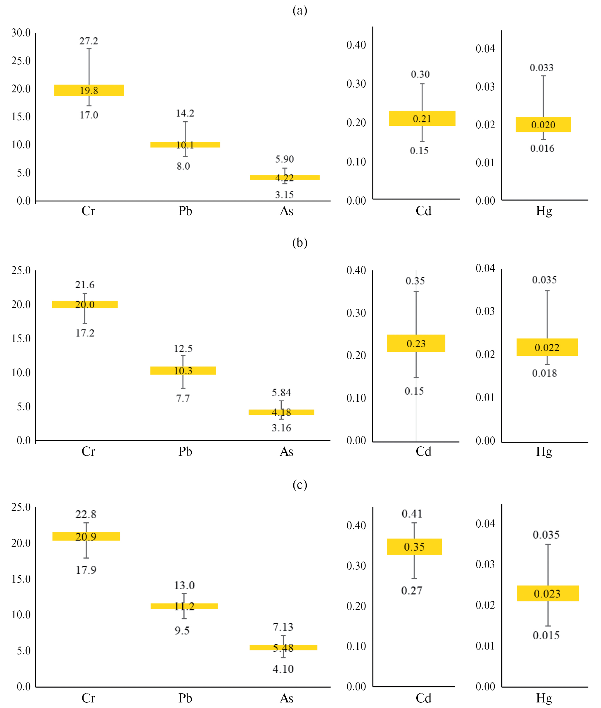
Содержание элементов в почвах. Фоновая концентрация кислоторастворимых форм Cr, Pb, Аs, Cd и Hg в целинном черноземе выщелоченном составляла 19.8, 10.1, 4.45, 0.21, 0.020, в черноземе типичном – 19.9, 10.6, 4.41, 0.22, 0.018, в черноземе обыкновенном – 20.3, 13.9, 5.60, 0.40, 0.026 мг/ кг соответственно. В пахотных почвах средняя величина данного параметра для Cr, Pb, Аs, Cd, Hg в черноземах выщелоченных составляла 19.8, 10.0, 4.15, 0.22, 0.021, в черноземах типичных – 20.0, 10.3, 4.18, 0.23, 0.022, в черноземах обыкновенных – 20.9, 11.2, 5.48, 0.35, 0.023 мг/кг соответственно (рис. 1, табл. 1). В пахотных черноземах обыкновенных содержание кислоторастворимых форм Аs и Cd было существенно выше, чем в черноземах выщелоченных и типичных. В то же время по содержанию Cr, Pb и Hg существенных различий установлено не было, однако наблюдалась тенденция их более высокой концентрации в черноземах обыкновенных, по сравнению с черноземами выщелоченными и типичными. Различия в содержании изучаемых ТМ между черноземами выщелоченными и типичными лесостепной зоны и обыкновенными – степной зоны во многом обусловлены более тяжелым гранулометрическим составом последних. Содержание Cr, Pb, Аs, Cd и Hg было ниже кларков, которые для почв мира составляют 59.5, 27.0, 6.83, 0.41, 0.07 мг/кг соответственно [24].
Рис. 1. Содержание кислоторастворимых форм элементов в черноземах выщелоченных (a), типичных (b) и обыкновенных (c), мг/кг
Таблица 1. Содержание подвижных форм тяжелых металлов в почвах, мг/кг
Элемент | Среднее содержание в целинной почве | Вариационно-статистические показатели содержания ТМ в пахотных почвах | |||
n | lim | ± t05s | V, % | ||
Чернозем выщелоченный | |||||
Pb Cr Сd | 0.70 0.14 0.06 | 21 21 21 | 0.31–0.73 0.12–0.21 0.03–0.08 | 0.52 ± 0.06 0.14 ± 0.01 0.06 ± 0.01 | 23.5 19.8 26.1 |
Чернозем типичный | |||||
Pb Cr Сd | 0.62 0.15 0.05 | 22 22 22 | 0.28–0.63 0.11–0.18 0.02–0.07 | 0.46 ± 0.05 0.13 ± 0.01 0.05 ± 0.01 | 20.1 14.5 25.9 |
Чернозем обыкновенный | |||||
Pb Cr Сd | 0.53 0.16 0.03 | 22 22 22 | 0.37–0.70 0.09–0.17 0.03–0.06 | 0.55 ± 0.05 0.13 ± 0.01 0.04 ± 0.01 | 17.1 19.4 16.2 |
Запасы кислоторастворимых форм Cr, Pb, Аs, Cd и Hg в пахотном слое (массой 3000 т/га) черноземов выщелоченных в среднем составляют 59.4, 30.0, 12.45, 0.66 и 0.063, черноземов типичных – 60.0, 30.9, 12.5, 0.69 и 0.066, черноземов обыкновенных – 62.7, 33.6, 16.4, 1.05 и 0.069 кг/га соответственно.
Установленные уровни содержания изучаемых элементов согласуются с результатами исследований, проведенных в других регионах России. Например, среднее содержание кислоторастворимых Pb, Аs, Cd и Hg в пахотном слое черноземных почв Саратовской области составляет 14.7, 4.5, 0.39 и 0.022 мг/кг соответственно [7]. В различных подтипах черноземов Средней Сибири содержание Hg находится в пределах 0.019–0.029, Липецкой области – 0.02–0.03 мг/кг [10, 13]. Содержание Cr в черноземах выщелоченных Красноярского края в среднем составляет 25.7 мг/кг с колебаниями в пределах 19.8–33.4 мг/кг [11].
Общее содержание элементов не характеризует их доступность для растений, поэтому для Cr, Pb и Cd в почвах определяют концентрацию подвижных форм. В то же время при проведении агроэкологического мониторинга для Аs и Hg определение содержания подвижных форм не используется. Фоновое содержание подвижных форм Pb, Cr и Cd в целинном черноземе выщелоченном составляло 0.70, 0.14, 0.06, в черноземе типичном – 0.62, 0.15, 0.05, в черноземе обыкновенном – 0.53, 0.16, 0.03 мг/кг. Эти значения были в пределах варьирования данных показателей, установленных для пахотных аналогов целинных почв. В пахотных черноземах выщелоченных среднее содержание подвижных форм Pb, Cr и Cd составляло 0.52, 0.14, 0.06, в черноземах типичных – 0.46, 0.13, 0.05, в черноземах обыкновенных – 0.55, 0.13, 0.04 мг/ кг соответственно. Существенных различий по данным параметрам между изучаемыми почвами не выявлено. Однако прослеживалась тенденция более высокого содержания подвижных форм Cd в черноземах выщелоченных, по сравнению с черноземами обыкновенными, что, по-видимому, связано с менее кислой реакцией среды последних. В пахотных почвах в подвижной форме Cr, Pb и Cd находилось 0.62–0.71, 4.23–5.20, 11.4–7.3% от концентрации их кислоторастворимых форм соответственно. Превышений российских нормативов ОДК и ПДК изучаемых элементов в почве не наблюдалось как в данных исследованиях, так и в ходе проведения сплошного эколого-токсикологического обследования, выполненного в более ранний период.
Среднее содержание подвижных форм Cr в черноземах выщелоченных Красноярского края немного выше (0.2 мг/кг), чем в почвах Белгородской области [11]. Среднее содержание подвижных форм Cr, Pb в почвах Саратовской области составляет 0.70, 0.82 мг/кг соответственно [7], что существенно выше, чем в почвах Белгородской области. В пахотных черноземах выщелоченных Липецкой области содержание подвижных форм Сd находится в пределах 0.03–0.08 мг/кг, в черноземах обыкновенных Саратовской области – 0.03–0.07 мг/ кг [7, 13], что хорошо согласуется с данными по Белгородской области.
Многочисленные результаты исследований свидетельствуют о загрязнении почв придорожных экосистем Сd в результате изнашивания автомобильных шин и Pb, который попадал в них до 2002 г., когда было разрешено использование этилированного бензина [20, 34]. Существенное превышение фоновых концентраций Pb и Сd наблюдается в почвах придорожных экосистем Белгородской области на расстоянии до 50 м от автодорожного полотна крупных автотрасс. Однако эти участки, как правило, заняты естественной растительностью и отделены от агроценозов защитными лесными полосами [25, 26].
Содержание элементов в удобрениях. Минеральные удобрения с учетом их химического состава и применяемых доз в России не рассматриваются как важный источник загрязнения почв агроэкосистем ТМ [19, 21, 22]. Однако в некоторых зарубежных странах, в частности Австралии и Китае, содержащийся в фосфорных удобрениях Сd является существенным источником загрязнения почв [24]. Среднее содержание Cr, As, Pb, Сd и Hg в наиболее распространенных минеральных удобрениях, используемых в России, составляет: в аммиачной селитре 1.13, 0.34, 0.16, 0.04 и 0.005 мг/ кг, в азофоске (16 : 16 : 16) – 1.32, 0.94, 0.24, 0.10 и 0.01 мг/ кг соответственно. За 2019–2022 гг. в Белгородской области средняя доза внесения минеральных удобрений составила 114.4 кг действующего вещества/ га, при этом азота, фосфора и калия вносилось соответственно 64.8, 17.3, 17.9% от общего количества. По проведенным расчетам с этой дозой минеральных удобрений будет внесено в почву Cr, As, Pb, Сd и Hg соответсвенно 0.34, 0.18, 0.06, 0.02 и 0.002 г/га.
Важным источником поступления изучаемых элементов в почвы агроценозов, при высоких дозах внесения, являются органические удобрения [31, 32]. В зависимости от вида животных, рациона кормления, технологии содержания, количества и качества подстилки концентрация и соотношение разных элементов в органических удобрениях сильно варьирует. Существенно влияют на химический состав органических удобрений различные технологические способы их удаления и хранения. Среднее содержание Cr, Pb, As, Сd и Hg в навозе крупного рогатого скота составляет 0.90, 0.78, 0.277, 0.060, 0.0084 мг/кг соответственно (табл. 2).
Таблица 2. Содержание элементов в навозе крупного рогатого скота (25% сухого вещества), мг/кг
Элемент | Вариационно-статистические показатели | |||
n | lim | ± t05s | V, % | |
Cr | 20 | 0.56–1.25 | 0.90 ± 0.14 | 28.1 |
Pb | 26 | 0.45–1.27 | 0.78 ± 0.09 | 29.3 |
As | 22 | 0.111–0.394 | 0.277 ± 0.036 | 29.5 |
Сd | 28 | 0.04–0.09 | 0.060 ± 0.006 | 27.1 |
Hg | 26 | 0.0044–0.0125 | 0.0084 ± 0.0010 | 29.8 |
Средняя доза внесения органических удобрений в Белгородской области составила 9.6 т/га. Поступление Cr, Pb, As, Сd и Hg оценивается в 8.64, 7.49, 2.66, 0.58, 0.08 г/га соответственно. Таким образом, среднее поступление в почвы Cr, Pb, As, Сd и Hg с органическими удобрениями выше, чем с минеральными, в 25, 125, 15, 29 и 40 раз соответственно. За счет внесения органических удобрений, без учета выноса элементов с урожаем и потерь в результате эрозии, валовые запасы Cr, Pb, As, Сd и Hg в пахотном слое преобладающих в области черноземов типичных повысятся в среднем за год на 0.014, 0.024, 0.021, 0.084 и 0.12% соответственно.
По различным оценкам, баланс изучаемых элементов в земледелии Белгородской области формируется отрицательным. Вынос элементов с урожаем и потери со смытой почвой превышают суммарные объемы поступления от различных источников [15, 18].
Содержание элементов в сельскохозяйственных культурах. Специфичность химического состава растений во многом определяется агроэкологическими особенностями почв в тех ареалах, где формировался данный вид. Поэтому, содержание и соотношение тяжелых металлов в разных видах растений, вероятно, закрепилось в процессе эволюции и хранит признаки химического состава среды их происхождения [27].
Свинец является облигатным элементом для всех сельскохозяйственных культур, вместе с тем его функциональная роль в метаболизме изучена крайне недостаточно. Концентрация Pb в растениях в пределах 0.5–10 мг/кг считается нормальной (не приводящей к физиологическим нарушениям), а при его содержании в пределах 30–300 мг/ кг у них могут наблюдаться различные токсические симптомы [24]. В репродуктивных органах растений, как правило, наблюдается наименьшее содержание Pb, что объясняется функционированием защитных механизмов, препятствующих поступлению в них этого токсиканта.
Обобщение данных, полученных в разных странах мира, показывает, что в зерне злаковых культур среднее содержание Pb составляет 0.47 мг/ кг [24]. В Центрально-Черноземном экономическом районе России содержание Pb в зерне ячменя находится в пределах 0.22–0.37, озимой пшеницы – 0.26–0.41 мг/кг [15].
По полученным данным среднее содержание Pb в зерне озимой пшеницы составляло 0.34 мг/ кг, что существенно не отличалось от концентрации элемента в зерне кукурузы (0.31 мг/кг). В семенах подсолнечника содержание этого металла (0.36 мг/ кг) было сопоставимо с концентрацией в зерновых культурах. Наименьшее содержание Pb было установлено в зерне сои (0.18 мг/кг). Побочная продукция озимой пшеницы содержала Pb в 1.44, кукурузы – в 1.77, сои – в 1.22, подсолнечника – в 1.61 раза выше, чем основная (табл. 3).
Таблица 3. Вариационно-статистические показатели содержания элементов в сельскохозяйственных культурах, мг/кг абсолютно сухого вещества
Элемент | Вариационно-статистический показатель | Озимая пшеница | Кукуруза | Соя | Подсолнечник | ||||
зерно | солома | зерно | солома | зерно | солома | семена | стебли | ||
Pb | n | 66 | 73 | 20 | 27 | ||||
| 0.34 ± 0.02 | 0.49 ± 0.04 | 0.31 ± 0.02 | 0.55 ± 0.05 | 0.18 ± 0.01 | 0.22 ± 0.02 | 0.36 ± 0.03 | 0.58 ± 0.05 | |
lim | 0.19–0.59 | 0.27–0.77 | 0.18–0.46 | 0.34–0.89 | 0.15–0.24 | 0.18–0.29 | 0.21–0.46 | 0.35–0.95 | |
V, % | 26.3 | 25.4 | 21.1 | 24.1 | 14.7 | 16.5 | 21.6 | 25.2 | |
Сd | n | 69 | 73 | 42 | 25 | ||||
| 0.048 ± 0.003 | 0.060 ± 0.004 | 0.045 ± 0.003 | 0.058 ± 0.004 | 0.072 ± 0.005 | 0.083 ± 0.005 | 0.090 ± 0.009 | 0.070 ± 0.003 | |
lim | 0.025–0.079 | 0.022–0.095 | 0.022–0.062 | 0.049–0.088 | 0.017–0.097 | 0.033–0.106 | 0.073–0.162 | 0.060–0.079 | |
V, % | 29.0 | 29.3 | 26.1 | 16.3 | 25.7 | 19.8 | 21.4 | 8.4 | |
As | n | 70 | 23 | 42 | 22 | ||||
| 0.023 ± 0.002 | 0.029 ± 0.002 | 0.019 ± 0.001 | 0.024 ± 0.001 | 0.019 ± 0.001 | 0.026 ± 0.001 | 0.021 ± 0.001 | 0.025 ± 0.001 | |
lim | 0.011–0.048 | 0.019–0.060 | 0.016–0.024 | 0.021–0.027 | 0.012–0.033 | 0.021–0.034 | 0.018–0.024 | 0.023–0.028 | |
V, % | 29.3 | 29.7 | 11.7 | 7.0 | 22.8 | 9.1 | 9.5 | 6.9 | |
Hg | n | 41 | 22 | 21 | 23 | ||||
| 0.008 ± 0.001 | 0.011 ± 0.001 | 0.004 ± 0.001 | 0.010 ± 0.001 | 0.003 ± 0.0004 | 0.009 ± 0.001 | 0.004 ± 0.0003 | 0.010 ± 0.001 | |
lim | 0.004–0.010 | 0.007–0.018 | 0.002–0.005 | 0.009–0.012 | 0.001–0.005 | 0.008–0.011 | 0.002–0.005 | 0.008–0.012 | |
V, % | 24.9 | 23.5 | 29.9 | 11.0 | 26.5 | 11.5 | 19.7 | 14.1 | |
Cr | n | 20 | 20 | 22 | 22 | ||||
| 0.41 ± 0.02 | 0.51 ± 0.02 | 0.22 ± 0.01 | 0.36 ± 0.02 | 0.41 ± 0.01 | 0.39 ± 0.03 | 0.45 ± 0.02 | 0.42 ± 0.02 | |
lim | 0.33–0.46 | 0.45–0.59 | 0.17–0.29 | 0.23–0.50 | 0.37–0.45 | 0.31–0.43 | 0.39–0.51 | 0.34–0.50 | |
V, % | 8.3 | 9.1 | 11.9 | 14.8 | 5.6 | 14.9 | 8.5 | 9.1 | |
В изучаемой продукции растениеводства содержание Pb было ниже уровня ПДК, который для зерна, используемого на пищевые цели, составляет 0.5 мг/кг, а для семян подсолнечника – 1.0 мг/кг [17].
Кадмий в растениях накапливается преимущественно в корнях, существенно меньше его в надземных и особенно – генеративных органах. Роль Сd в физиологических процессах до сих пор изучена недостаточно. В основном большинство работ посвящено изучению негативного влияния высокого содержания этого элемента на урожайность сельскохозяйственных культур [1, 7].
На территории Средней Сибири содержание Сd в зерне яровой пшеницы находится в пределах 0.020–0.023, сене многолетних бобовых трав – 0.028–0.110 мг/кг [12]. Обобщение данных из разных стран мира позволяет констатировать, что содержание Сd в зерне пшеницы находится в интервале 0.02–0.07 мг/кг, а средняя концентрация элемента в семенах подсолнечника составляет 0.14 мг/кг [24].
Результаты исследований свидетельствуют, что наибольшим средним содержанием Сd (0.090 мг/ кг) характеризуются семена подсолнечника. В основной продукции озимой пшеницы и кукурузы существенных различий по содержанию Сd не выявлено. Зерно этих культур в среднем содержало данного элемента 0.045–0.048 мг/кг, что почти в 2 раза меньше, чем семена подсолнечника. Содержание Сd в зерне сои в среднем составляло 0.072 мг/кг, что в 1.25 раза меньше, чем в семенах подсолнечника, но в 1.50–1.67 раза больше, чем в основной продукции зерновых культур.
В побочной продукции озимой пшеницы, кукурузы и сои содержание этого тяжелого металла было больше, чем в основной, в 1.25, 1.29 и 1.15 раза соответственно. В семенах подсолнечника концентрация Сd в 1.29 раза превышала его содержание в побочной продукции, что, вероятно, обусловлено биологическими особенностями данной культуры.
ПДК этого тяжелого металла для продовольственного зерна установлена на уровне 0.1 мг/кг, а для семян подсолнечника, применяемых на пищевые цели – 0.2 мг/кг [17]. Превышения данных нормативов в настоящей работе установлено не было.
Мышьяк в наибольшей степени накапливается в соломе и стеблях, а не в зерне или семенах сельскохозяйственных растений. По обобщенным данным, содержание этого металлоида в побочной продукции кукурузы выше, чем в основной, в 1.3, сои – 1.4 раза [12, 33]. Среднее содержание As в растениеводческой продукции, произведенной на территории России, варьирует от 0.020 до 0.046 мг/кг [12].
Установлено, что среднее содержание As в зерне озимой пшеницы составляло 0.023, семенах подсолнечника – 0.021 мг/кг. Существенных различий по данному показателю между этими культурами не установлено. В зерне кукурузы и сои содержание As было существенно меньше, чем у отмеченных выше культур, и в среднем составляло 0.019 мг/ кг. Содержание этого элемента в побочной продукции озимой пшеницы, кукурузы, сои и подсолнечника было больше, чем в основной, в 1.26, 1.26, 1.37, 1.19 раза соответственно.
Для зерна пшеницы, ячменя и кукурузы, используемых на пищевые цели, ПДК As установлена на уровне 0.2 мг/кг, а для семян подсолнечника, зерна сои – 0.3 мг/кг [17]. В настоящем исследовании превышения ПДК As не наблюдалось.
Ртуть в сельскохозяйственных культурах в меньшей степени накапливается в генеративных органах растений. Например, ее содержание в побочной продукции кукурузы и сои выше, чем в основной, в 2.9 раза [12, 33]. В агроценозах Средней Сибири содержание Hg в зерне пшеницы в среднем составляет 0.0016, ячменя – 0.002, сене многолетних трав – 0.004 мг/кг [12]. Среднее содержание Hg в растениеводческой продукции в разных федеральных округах России варьирует от 0.0005 до 0.010 мг/кг [12].
Наибольшее среднее содержание этого металла установлено в зерне озимой пшеницы (0.008 мг/ кг). Существенно ниже содержание Hg в семенах подсолнечника (0.004 мг/кг), зерне кукурузы (0.004 мг/ кг) и сои (0.003 мг/кг). Содержание этого ТМ в побочной продукции было выше, чем в основной, у озимой пшеницы в 1.38, кукурузы – 2.5, сои – 3.0, подсолнечника – 2.5 раза.
Для предназначенных на пищевые цели зерна пшеницы, ячменя и кукурузы ПДК Hg установлена на уровне 0.03, семян подсолнечника и зерна сои – 0.05 мг/кг [17]. Фактически установленное содержание Hg в исследуемых культурах было существенно ниже ПДК.
Хром по сравнению с другими изучаемыми ТМ является менее токсичным элементом [18, 19]. По обобщенным данным, его концентрация, не приводящая к нарушению физиологических процессов в растениях, находится на уровне 0.1–0.5 мг/ кг, а токсичная – 5–30 мг/кг [22, 24]. В Красноярском крае содержание Cr в зерне яровой пшеницы находится в пределах 0.10–0.20, ячменя – 0.18–0.22 мг/кг [12].
Наибольшее содержание Cr было установлено в семенах подсолнечника (0.45 мг/кг). Существенно ниже было содержание этого элемента в зерне озимой пшеницы и сои (0.41 мг/кг). Концентрация Cr в зерне кукурузы (0.22 мг/кг) была более чем в два раза ниже, чем в семенах подсолнечника. В побочной продукции озимой пшеницы и кукурузы содержание Cr было выше, чем в основной в 1.24 и 1.64 раза соответственно. Содержание этого ТМ в основной и побочной продукции сои и подсолнечника существенно не различалось.
В России концентрация Cr нормируется только в продукции, предназначенной для кормовых целей. МДУ этого элемента для фуражного зерна установлен на уровне 0.5 мг/кг [2]. Превышения МДУ установлено не было.
ЗАКЛЮЧЕНИЕ
Установлено, что в пахотных черноземах обыкновенных содержание кислоторастворимых форм Аs и Cd было существенно выше, чем в черноземах выщелоченных и типичных. В то же время по содержанию Cr, Pb и Hg значимых различий установлено не было, однако наблюдалась тенденция их более высокой концентрации в черноземах обыкновенных, по сравнению с черноземами выщелоченными и типичными, что обусловлено более легким гранулометрическим составом последних. По содержанию подвижных форм Pb, Cr и Cd в изучаемых почвах существенных различий не установлено, тем не менее прослеживалась тенденция более высокого содержания подвижных форм Cd в черноземах выщелоченных, по сравнению с черноземами обыкновенными, что связано с более щелочной реакцией среды последних. Превышения нормативов ОДК и ПДК изучаемых элементов в почвах не наблюдалось.
Основным источником поступления изучаемых элементов в пахотные почвы Белгородской области являются органические удобрения. Среднее поступление с ними Cr, Pb, As, Сd и Hg выше, чем с минеральными в 25, 125, 15, 29 и 40 раз соответственно.
В семенах подсолнечника было зафиксировано наибольшее содержание Cd, Pb и Cr 0.09, 0.36 и 0.45 мг/кг, а в зерне озимой пшеницы – Hg и Аs – 0.008 и 0.023 мг/кг соответственно. В зерне сои установлено наименьшее среднее содержание Pb, Hg и Аs – 0.18, 0.003 и 0.019 мг/кг, а в зерне кукурузы – Cr, Cd и Аs – 0.22, 0.045 и 0.019 мг/кг соответственно. В побочной продукции по сравнению с основной, содержание элементов было, как правило, выше. Однако в семенах подсолнечника содержание Cd было в 1.29 раза больше, чем в стеблях. Кроме того, у растений подсолнечника и сои содержание Cr в основной и побочной продукции существенно не различалось. В зерне озимой пшеницы, кукурузы, сои и семенах подсолнечника содержание ТМ не превышало значений ПДК, установленных для продукции, предназначенной на пищевые цели, а концентрация Cr не превышала МДУ, установленный для кормов.
ФИНАНСИРОВАНИЕ РАБОТЫ
Исследования выполнены за счет федеральных средств в рамках государственного задания на проведение агроэкологического мониторинга земель сельскохозяйственного назначения.
СОБЛЮДЕНИЕ ЭТИЧЕСКИХ СТАНДАРТОВ
В данной работе отсутствуют исследования человека или животных.
КОНФЛИКТ ИНТЕРЕСОВ
Автор заявляет об отсутствии конфликта интересов.
About the authors
S. V. Lukin
Belgorod Center for Agrochemical Service; Belgorod State National Research University
Author for correspondence.
Email: serg.lukin2010@yandex.ru
ORCID iD: 0000-0003-0986-9995
Russian Federation, Belgorod, 308027; Belgorod, 308015
References
- Алексеев Ю.В. Тяжелые металлы в агроландшафте. СПб.: Изд-во ПИЯФ РАН, 2008. 216 с. EDN: QBSZFJ.
- ВМДУ-87. Временный максимально допустимый уровень содержания некоторых химических элементов и госсипола в кормах для сельскохозяйственных животных и кормовых добавках. М., 1987.
- Виноградов А.П. Геохимия редких и рассеянных химических элементов в почвах. М.: Изд-во АН СССР, 1957. 238 с.
- ГОСТ Р 70281-2022. Охрана окружающей среды. Почвы. Классификация химических веществ для контроля загрязнения.
- Ильин В.Б. Тяжелые металлы и неметаллы в системе почва-растение. Новосибирск: Изд-во Сибирского отд. РАН, 2012. 218 с.
- Костин И.Г. Использование геоинформационных систем для анализа экологического состояния агроландшафтов // Московский экономический журнал. 2023. Т. 8. № 2. https://doi.org/10.55186/2413046X_2023_8_2_54
- Медведев И.Ф., Деревягин С.С. Тяжелые металлы в экосистемах. Саратов: Ракурс, 2017. 178 с.
- Методические указания по проведению комплексного мониторинга плодородия почв земель сельскохозяйственного назначения. М.: МСХ, 2003. 195 с.
- Методические указания по определению тяжелых металлов в почвах сельхозугодий и продукции растениеводства. М.: Типография Московской с.-х. академии им. К.А. Тимирязева, 1992. 61 с.
- Побилат А.Е., Волошин Е.И. Экологическая оценка содержания ртути в агроценозах Средней Сибири // Микроэлементы в медицине. 2019. Т. 20. № 4. С. 57–62. EDN: OVWGTT. https://doi.org/10.19112/2413-6174-2019-20-4-57-62
- Побилат А.Е., Волошин Е.И. Мониторинг хрома в почвах и растениях Красноярского края. Вопросы биологической, медицинской и фармацевтической химии. 2019. Т. 22. № 2. С. 49–54. https://doi.org/10.29296/25877313-2019-02-08
- Побилат А.Е., Волошин Е.И. Микроэлементы в сельскохозяйственных растениях // Микроэлементы в медицине. 2021. Т. 22. № 3. С. 3–14. EDN: LVNNUV.
- Почвы Липецкой области. Липецк: Позитив Л, 2018. 209 с.
- СанПиН 1.2.3685-21. Гигиенические нормативы и требования к обеспечению безопасности и (или) безвредности для человека факторов среды обитания. Утверждены Постановлением Главного государственного санитарного врача РФ от 28.01.2021. № 2.
- Селюкова С.В. Экологическая оценка содержания свинца, кадмия, ртути и мышьяка в агроэкосистемах юго-западной части Центрально-Черноземного района России. Автореф. … канд. дис. М., 2019. 25 с.
- Соловиченко В. Д. Плодородие и рациональное использование почв Белгородской области. Белгород: Отчий дом, 2005. 292 с.
- ТРТС015/2011 Технический регламент Таможенного союза “О безопасности зерна” (с изменениями на 15 сентября 2017 года). Технический регламент Таможенного союза от 09.12.2011 N015/2011. docs.cntd.ru›document/902320395
- Хижняк Р.М. Экологическая оценка содержания микроэлементов (Zn, Cu, Co, Mo, Cr, Ni) в агроэкосистемах лесостепной зоны юго-западной части ЦЧО. Автореф. … канд. дис. М., 2016. 24 с.
- Шеуджен А.Х. Агробиогеохимия чернозема. Майкоп: Полиграф-ЮГ, 2018. 308 с.
- Чеснокова С.М., Савельев О.В. Эколого-геохимическая оценка загрязнения тяжелыми металлами и мышьяком почв городов Владимирской области с различной спецификой промышленного производства // Экологическая безопасность строительства и городского хозяйства. 2019. № 1. С. 43–48.
- Черных Н.А., Сидоренко С.Н. Экологический мониторинг токсикантов в биосфере. М.: Изд-во РУДН, 2003. 403 с.
- Черных Н. А., Овчаренко М.М. Тяжёлые металлы и радионуклиды в биогеоценозах. М.: Агроконсалт, 2003. 200 с.
- Chen Sh., Wang M., Li Sh., Zhao Zh., E W. Overview on current criteria for heavy metals and its hint for the revision of soil environmental quality standards in China // J. Integrative Agriculture. 2018. V. 17. № 4. P. 765–774. https://doi.org/10.1016/S2095-3119(17)61892-6
- Kabata-Pendias A. Trace Elements in Soils and Plants. 2011. 505 р.
- Lukin S.V. Monitoring of the Lead Content in Agroecosystems of the Central Black Earth Region of Russia // Doklady Earth Sciences. 2023. V. 510(2). P. 247–250. https://doi.org/10.1134/S1028334X23600469
- Lukin S.V. Monitoring of the Cadmium Content in Agroecosystems in the Central Black Earth Region of Russia // Doklady Earth Sciences. 2023. V. 511(2). P. 274–279. https://doi.org/10.1134/S1028334X23600822
- Lukin S.V., Selyukova S.V. Ecological Assessment of the Content of Cadmium in Soils and Crops in Southwestern Regions of the Central Chernozemic Zone, Russia // Eurasian Soil Science. 2018. V. 51(12). P. 1547–1553. https://doi.org/10.1134/S1064229318120074
- Malysheva E. S., Malyshev A. V., Kostin I. G. Complex Analysis of Data from Agrochemical and Soil-Erosion Monitoring Using Geoinformation Systems // IOP Conference Series: Earth and Environmental Science, Ussurijsk, 2021. P. 032070. https://doi.org/10.1088/1755-1315/937/3/032070
- Rovira J., Nadal M., Schuhmacher M., Domingo JL. Concentrations of trasse elements and PCDD/Fs around a municipal solid waste in cinerator in Girona (Catolonia, Spain). Human health risks for the population living in the neighborhood // Sci. Total Environ. 2018. V. 630. P. 34–45.
- Semenkov I.N., Koroleva T.V. International environmental legislation on the content of chemical elements in soils: guidelines and schemes // Eurasian Soil Science. 2019. V. 52. P. 1289–1297. https://doi.org/10.1134/S1064229319100107
- Surinov A.V. Fertility dynamics of the forest-steppe zone’s arable soils in the central chernozem region (on the example of the Prokhorovsky district of the Belgorod region) // IOP Conf. Ser.: Earth Environ. Sci. 2022. P. 012014. https://doi.org/10.1088/1755-1315/1043/1/012014
- Surinov A.V. Agro-ecological assessment of the condition of arable soils of the CCR // IOP Conference Series: Earth and Environmental Science. V. 1206. International Scientific and Practical Conference: Food and Environmental Security in Modern Geopolitical Conditions: Problems and Solutions 2023. Kostanay. P. 012011. https://doi.org/10.1088/1755-1315/1206/1/012011
- Toth G., Hermann T., Szatmari G., Pasztor L. Maps of heavy metals in the soils of the European Union priority areas for detailed assessment // Sci. Total Environ. 2016. V. 565. Р. 1054–1062.
- Vlasov D.V., Kukushkina O.V., Kosheleva N.E., Kasimov N.S. Levels and factors of the accumulation of metals and metalloids in roadside soils, road dust, and their pm10 fraction in the Western Okrug of Moscow // Eurasian Soil Science. 2022. V. 55. P. 556–572. https://doi.org/10.1134/S1064229322050118
- ЕМИСС. Государственная статистика. www.fedstat.ru/indicators/stat.do
Supplementary files



