A Fiber Phase-Sensitive Optical Time-Domain Reflectometer for Engineering Geology Application
- Authors: Alekseev A.E.1, Gorshkov B.G.2, Potapov V.T.1, Taranov M.A.1,3, Simikin D.E.1,3
-
Affiliations:
- Fryazino Branch of Kotel’nikov Institute of Radio Engineering and Electronics, Russian Academy of Sciences
- Prokhorov General Physics Institute, Russian Academy of Sciences
- Shirshov Institute of Oceanology, Russian Academy of Sciences
- Issue: No 5 (2023)
- Pages: 146-152
- Section: ФИЗИЧЕСКИЕ ПРИБОРЫ ДЛЯ ЭКОЛОГИИ, МЕДИЦИНЫ, БИОЛОГИИ
- URL: https://medbiosci.ru/0032-8162/article/view/138513
- DOI: https://doi.org/10.31857/S0032816223050026
- EDN: https://elibrary.ru/ZHXJCA
- ID: 138513
Cite item
Full Text
Abstract
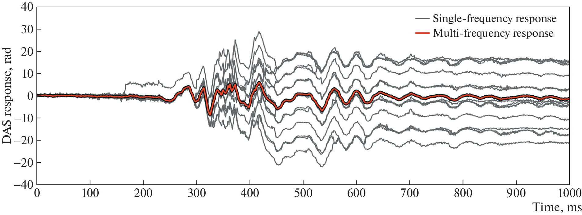
A new architecture of a fiber phase-sensitive optical time-domain reflectometer (φ-OTDR, i.e., a distributed acoustic sensor) suitable for engineering geology application is proposed. The sensor is based on a double-pulse scheme in which a pair of pulses is formed using an unbalanced Michelson interferometer. A symmetrical 3 × 3 coupler built into the Michelson interferometer is used to obtain the phase delay needed for the demodulation of the backscattered light. Using the unbalanced Michelson interferometer in the circuit for dual-pulse probe signal generation, it is possible to reduce the requirements for the degree of coherence of the light source, since the delay line introduced between the dual-pulse parts is compensated in the φ‑OTDR fiber under test. As a result, it is possible to use a laser with a wide spectral line (~1 GHz) and generate short (7-ns-wide) laser pulses by directly modulating the laser-diode injection current. In order to reduce the signal fading in the φ-OTDR and to improve the linearity of its response, responses are averaged over 16 optical frequencies. The efficiency of the proposed distributed acoustic sensor has been demonstrated by detecting a strong impact on a cable that was horizontally buried in the ground as well as by detecting seismic waves using a cable inserted in a well at the sea bottom.
About the authors
A. E. Alekseev
Fryazino Branch of Kotel’nikov Institute of Radio Engineering and Electronics, Russian Academy of Sciences
Email: aleksey.e.alekseev@gmail.com
141190, Fryazino, Moscow oblast, Russia
B. G. Gorshkov
Prokhorov General Physics Institute, Russian Academy of Sciences
Email: aleksey.e.alekseev@gmail.com
119991, Moscow, Russia
V. T. Potapov
Fryazino Branch of Kotel’nikov Institute of Radio Engineering and Electronics, Russian Academy of Sciences
Email: aleksey.e.alekseev@gmail.com
141190, Fryazino, Moscow oblast, Russia
M. A. Taranov
Fryazino Branch of Kotel’nikov Institute of Radio Engineering and Electronics, Russian Academy of Sciences; Shirshov Institute of Oceanology, Russian Academy of Sciences
Email: aleksey.e.alekseev@gmail.com
141190, Fryazino, Moscow oblast, Russia; 117997, Moscow, Russia
D. E. Simikin
Fryazino Branch of Kotel’nikov Institute of Radio Engineering and Electronics, Russian Academy of Sciences; Shirshov Institute of Oceanology, Russian Academy of Sciences
Author for correspondence.
Email: aleksey.e.alekseev@gmail.com
141190, Fryazino, Moscow oblast, Russia; 117997, Moscow, Russia
References
- Mateeva A., Lopez J., Potters H., Mestayer J., Cox B., Kiyashchenko D., Wills P., Grandi S., Hornman K., Kuvshinov B., Berlang W., Yang Zh., Detomo R. // Geophys. Prospect. 2014. V. 62. P. 679. https://www.earthdoc.org/content/journals/10.1111/1365-2478.12116
- Fernández-Ruiz M.R., Soto M.A., Williams E.F., Martin-Lopez S., Zhan Z., Gonzalez-Herraez M., Martins H.F. // APL Photon. 2020. V. 5. P. 030901. https://aip.scitation.org/doi/full/10.1063/1.5139602
- Williams E.F., Fernández-Ruiz M.R., Magalhaes R., Vanthillo R., Zhan Z., González-Herráez M., Martins H.F. // Nature commun. 2019. V. 10. P. 1. https://www.nature.com/articles/s41467-019-13262-7
- Bakulin A., Silvestrov I., Pevzner R. // The Leading Edge. 2020. V. 39. P. 808. https://doi.org/10.1190/tle39110808.1
- Gorshkov B.G., Yüksel K., Fotiadi A.A., Wuilpart M., Korobko D.A., Zhirnov A.A., Konstantin V.S., Turov A.T., Konstantinov Y.A., Lobach I.A. // Sensors. 2022. V. 22. P. 1033. https://www.mdpi.com/1424-8220/22/3/1033/htm
- Alekseev A.E., Gorshkov B.G., Potapov V.T. // Laser Phys. 2019. V. 29. P. 055106. https://iopscience.iop.org/article/10.1088/1555-6611/ab0d15
- Gorshkov B.G., Alekseev A.E., Taranov M.A., Simikin D.E., Potapov V.T., Ilinskiy D.A. // Appl. Opt. 2022. V. 61. P. 8308. https://doi.org/10.1364/AO.468804
- Hartog A.H. An introduction to distributed optical fibre sensors. CRC press. 2017.
- Posey R.Jr, Johnson G.A., Vohra S.T. // Electron. Lett. 2000. V. 36. P. 1688. https://digital-library.theiet.org/content/journals/10.1049/el_20001200
- Masoudi A., Belal M., Newson T.P. // Measurem. Sci. Technol. 2013. V. 24. P. 085204. https://iopscience.iop.org/article/10.1088/0957-0233/24/8/085204/
- Dakin J.P., Lamb C. UK Patent GB2222247A. 1990. https://patents.google.com/patent/GB2222247A/en
- Alekseev A.E., Vdovenko V.S., Gorshkov B.G., Potapov V.T., Simikin D.E. // Laser Phys. 2014. V. 24. 115106. https://iopscience.iop.org/article/10.1088/1054-660X/24/11/115106
- Alekseev A.E., Vdovenko V.S., Gorshkov B.G., Potapov V.T., Simikin D.E. // Laser Phys. 2015. V. 25. P. 065101. https://iopscience.iop.org/article/10.1088/1054-660X/25/6/065101/
- Nikitin S.P., Kuzmenkov A.I., Gorbulenko V.V., Nanii O.E., Treshchikov V.N. // Laser Phys. 2018. V. 28. 085107. https://iopscience.iop.org/article/10.1088/1555-6611/aac714/meta
- Hartog A., Kader K. Distributed fiber optic sensor system with improved linearity, US Patent No. 9.170.149. 2015. https://patents.google.com/patent/US9170149B2/en
- Lu Y., Zhu T., Chen L., Bao X. (2010). // J. Lightwave Technol. 2010. V. 28. P. 3243. https://opg.optica.org/jlt/abstract.cfm?uri=jlt-28-22-3243
- Gorshkov B.G., Alekseev A.E., Simikin D.E., Taranov M.A., Zhukov K.M., Potapov V.T. Sensors. 2022. V. 22. P. 9482. https://doi.org/10.3390/s22239482
- Alekseev A.E., Gorshkov B.G., Bashaev A.V., Potapov V.T., Taranov M.A., Simikin D.E. // Laser Phys. 2021. V. 31. P. 035101. https://iopscience.iop.org/article/10.1088/1555-6611/abd936/meta
- Hartog A.H., Kotov O.I., Liokumovich L.B. In: Second EAGE Workshop on Permanent Reservoir Monitoring 2013 – Current and Future Trends. European Association of Geoscientists & Engineers. 2013 (July). P. 351. https://doi.org/10.3997/2214-4609.20131301
- Alekseev A.E., Gorshkov B.G., Potapov V.T. // Laser Phys. 2019. V. 29. P. 055106. https://iopscience.iop.org/article/10.1088/1555-6611/ ab0d15/meta
- Alekseev A.E., Gorshkov B.G., Potapov V.T., Taranov M.A., Simikin D.E. // Laser Phys. 2020. V. 30. P. 035107. https://iopscience.iop.org/article/10.1088/1555-6611/ab70b0/meta
- Alekseev A.E., Gorshkov B.G., Potapov V.T., Taranov M.A., Simikin D.E. // Appl. Opt. 2022. V. 61. P. 231. https://opg.optica.org/ao/abstract.cfm?uri=ao-61-1-231
- Hartog A.H., Liokumovich LB., Ushakov N.A., Kotov O.I., Dean T., Cuny T., Constantinou A., Englich F.V. // Geophys. Prospect. 2018. V. 66. P. 192. https://doi.org/10.1111/1365-2478.12612
- Ogden H.M., Murray M.J., Murray J.B., Kirkendall C., Redding B. // Scien. Rep. 2021. V. 11. P. 1. https://www.nature.com/articles/s41598-021-97647-z
- Mermelstein M.D., Posey R., Johnson G.A., Vohra S.T. // Opt. Lett. 2001. V. 26. P. 58. https://doi.org/10.1364/OL.26.000058
- Судакова М.С., Белов М.В., Понимаскин А.О., Пирогова А.С., Токарев М.Ю., Колюбакин А.А. // Геофизика 2021. Т. 6. С. 111. https://elibrary.ru/item.asp?id=47926026
Supplementary files







