Аппаратная функция отклика детектора отраженных электронов и контраст химического состава образцов в сканирующей электронной микроскопии
- Authors: Рау Э.И.1, Зайцев С.В.1
-
Affiliations:
- Московский государственный университет им. М.В. Ломоносова
- Issue: No 4 (2024)
- Pages: 143-148
- Section: ОБЩАЯ ЭКСПЕРИМЕНТАЛЬНАЯ ТЕХНИКА
- URL: https://medbiosci.ru/0032-8162/article/view/279066
- DOI: https://doi.org/10.31857/S0032816224040166
- EDN: https://elibrary.ru/NYCJZZ
- ID: 279066
Cite item
Full Text
Abstract
Приводятся формулы для расчета коэффициента отражения обратно рассеянных электронов в зависимости от материала (атомного номера Z), т.е. химического состава образца, и энергии первичных облучающих электронов EB. Приводится расчет детектируемого сигнала обратно рассеянных электронов в зависимости от Z, EB и функции отклика F полупроводниковых детекторов и детекторов на основе микроканальных пластин. Результаты расчетов сравниваются с результатами экспериментальных измерений. Проведен сравнительный анализ контраста изображений состава образцов, получаемого для различных типов детекторов при различных EB.
Full Text
ВВЕДЕНИЕ
Все современные коммерческие сканирующие электронные микроскопы (СЭМ) снабжены детекторами отраженных электронов (ОЭ). Эти детекторы могут быть как полупроводниковыми, так и сцинтилляционными, используются также детекторы на основе микроканальных пластин (МКП). Более популярны и наиболее широко распространены полупроводниковые детекторы, представляющие собой пластины кремния c планарным p–n-переходом. Их фронтальная часть, как правило, разбита на 2 или 4 сектора. Разность сигналов с противоположных относительно оптической оси СЭМ секторов дает топографический контраст, а сумма сигналов – материальный контраст химического состава образца [1]. Вопросам контраста состава образца посвящено большое число публикаций, но отсутствует системный анализ всех аспектов явления обратного рассеяния электронов, учет аппаратной функции отклика детектора. Однако последний фактор играет большую роль при формировании сигнала ОЭ, особенно при работе СЭМ в низковольтном режиме (EB < 5 кэВ). Немногочисленные публикации по определению и учету функции отклика F носят отрывочный фрагментарный характер и не дают полного представления о влиянии этой функции на детектируемый сигнал и на контраст изображений [2–8]. В частности, ошибочно принимают значение энергии отсечки детектора для моноэнергетических электронов, эквивалентным случаю облучения детектора пучком электронов с широким энергетическим распределением. Напомним, что энергия отсечки Eth обусловлена так называемым мертвым слоем детектора (dead layer) с толщиной, равной толщине фронтального слоя p–n-перехода кристалла Si. Попытка учесть этот фактор в работе [6] дает довольно большие погрешности. Поэтому одной из целей настоящей работы является детальное изучение влияния функции отклика на получаемый экспериментальный сигнал в режиме ОЭ. С учетом этого влияния будет оценен контраст состава образца в зависимости от энергии EB и атомного номера Z составляющих элементов. Полученные в настоящей работе результаты призваны облегчить пользователям СЭМ интерпретацию контраста изображений.
РАСЧЕТ КОЭФФИЦИЕНТА ОТРАЖЕНИЯ ЭЛЕКТРОНОВ КАК ФУНКЦИИ АТОМНОГО НОМЕРА МАТЕРИАЛА ОБРАЗЦА Z И ЭНЕРГИИ ПЕРВИЧНЫХ ЭЛЕКТРОНОВ EB
При работе SEM в режиме ОЭ определяющим параметром является коэффициент отражения электронов η. Он определяется в большом количестве работ, но до сих пор нет завершенной картины в этой области. Так, приводимое в статье [9] выражение
(1)
не учитывает зависимости от энергии первичных электронов EB. В работе [10] эта зависимость учтена, но только в области энергии EB > 5 кэВ. Наиболее универсальная формула приведена в работе [11], но в ней присутствует следующий недостаток: в районе средних значений Z функция η(EB) немонотонна, а в области малых значений EB она дает ошибочные результаты. Чтобы устранить указанные недостатки, в настоящей работе предложено новое эмпирическое выражение для η:
(2)
Значение η0 в формулах (1) и (2) следует трансформировать в согласии с экспериментальными значениями η0(10 кэВ) [1, 12] следующим образом:
(3)
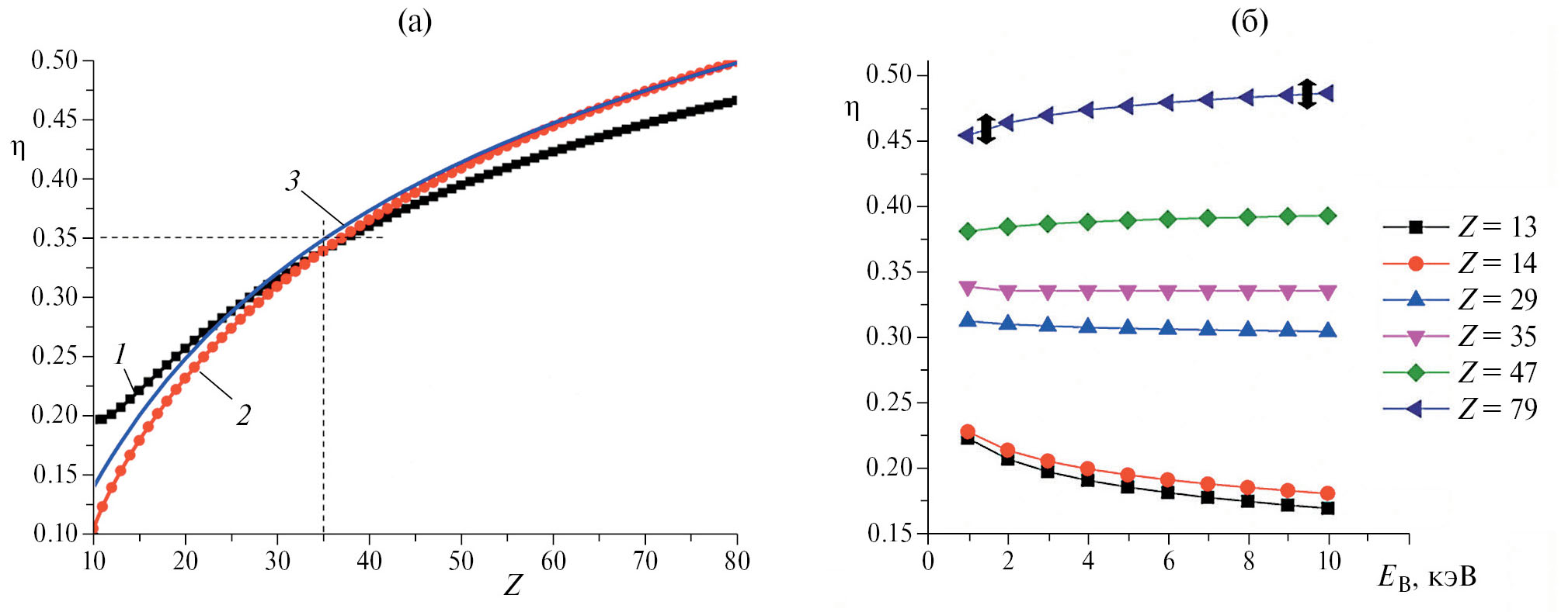
Здесь учитывается, что η(EB) – возрастающая функция при Z > 35, убывающая при Z < 35 и не зависит от EB при Z ≈ 35 [12]. Рассчитанные по соотношению (2) графики для ряда химических элементов приведены на рис. 1.
Рис. 1. a – Коэффициент отражения обратно рассеянных электронов в зависимости от атомного номера Z, рассчитанный по формуле (2) для EB = 2 кэВ (кривая 1) и EB = 20 кэВ (кривая 2), а также по формуле (3) (кривая 3). б –Коэффициент отражения обратно рассеянных электронов в зависимости от энергии EB для различных элементов Z, расчёт выполнен по формуле (2).
Из рис. 1а следует, что в области малых значений Z различие в величине η(EB) очень велико (в 2 раза). На рис. 2б видно, что в окрестности Z = 35 величина η не зависит от EB, а расчетные и экспериментальные значения разнятся не более, чем на 5%.
Зная коэффициент отражения η, легко определить среднюю энергию обратно рассеянных электронов. Для этого воспользуемся уточненной формулой, приведенной в работе [13]:
(4)
которая хорошо удовлетворяет экспериментальным значениям [1, 12].
РАСЧЕТ ФУНКЦИИ ОТКЛИКА ДЕТЕКТОРА И СИГНАЛА ОТРАЖЕННЫХ ЭЛЕКТРОНОВ В СЭМ
В основе настоящих расчетов лежит известная формула для сигнала наведенного тока, возникающего на планарном p–n-переходе при его облучении моноэнергетическим пучком электронов с величиной тока IB и энергией первичных электронов EB [1]:
(5)
где Ei – энергия генерации электронно-дырочных пар в полупроводниковом кристалле. В частности, в Si-кристалле Ei = 3.62 эВ. Eth в формуле (5) обозначает энергию отсечки электронов, при которой Iβ = 0, Eth = EB. Наличие Eth обусловлено тем обстоятельством, что генерируемые носители заряда в фронтальной заземленной части p–n-перехода не вносят вклада в сигнал, регистрируемый с базовой области кристалла. Кроме того, во фронтальной части кристалла толщиной t происходит потеря энергии EB, что дает суммарное уменьшение сигнала IS на величину (1–Eth /EB). Для типичных коммерческих детекторов ОЭ в СЭМ Eth = 0.75кэВ, что соответствует толщине фронтального слоя p–n-перехода t = 21 нм. Сомножитель (1 − ηSi ) в квадратных скобках формулы (5), отвечающий за долю отраженных от Si-детектора (ηD = ηSi) электронов, вычисляется по формуле (2).
Ситуация значительно усложняется, когда на детектор падает поток обратно рассеянных электронов, имеющих распределение по энергиям. В этом случае формула (5) трансформируется, приобретая вид
(6)
Здесь Er есть средняя энергия потока ОЭ от материала образца с атомным номером Z. Она выражается через коэффициент отражения обратных электронов, но с учетом того, что не все ОЭ попадают на детектор. Это демонстрируется на рис. 2, где условно (не в масштабе) приводится схема детектирования ОЭ в СЭМ.
Рис. 2. Схематическое представление геометрии эксперимента при работе СЭМ в режиме детектирования отраженных электронов (ОЭ): Sp – образец, D – полупроводниковый планарный p–n-детектор с толщиной фронтального слоя t.
Исходный пучок первичных электронов с током IB и энергией EB облучает образец Sp. На детектор D попадает только та часть электронов, которая движется в пределах телесного угла ∆Ω, ограниченного двумя конусами с растворами углов Ω1 и Ω2. Эти углы, в свою очередь, определяются расстоянием H от образца до детектора и радиусами r1 и r2 рабочих поверхностей детектора. В наших экспериментах r1 = 2 мм, r2 = 10 мм, H = 15 мм, что типично для стандартных СЭМ. В итоге Ω1 = 0.06 ср, Ω2 = 1.07 ср. С учетом косинусного распределения ОЭ по углам вылета несложные вычисления показывают, что долю регистрируемых ОЭ можно выразить эффективным коэффициентом
(7)
где η определяется формулой (2). Среднее значение отраженной энергии ES определяется по эмпирической формуле:
(8)
Это выражение взято по аналогии с приведенным в работе [13], но откорректировано с учетом экспериментальных значений [1]. Входящий в основное уравнение (6) член Eth(Z) определяется следующим образом. Если при облучении детектора моноэнергетическим пучком сигнал Iβ = 0 при EB = Eth = 0.75 кэВ, то при облучении детектора ОЭ сигнал IS = 0 при Eth = 0.75/Er, где ES – средняя энергия ОЭ при реперной энергии EB = 1кэВ. Эта энергия находится по формуле (8). Результаты расчетов сигнала IS = f(EB) по формуле (6) для ряда элементов приводятся на рис. 3.
Рис. 3. Зависимости сигнала IS от энергии EB для ряда массивных образцов с атомным номером Z при токе первичных электронов IB = 1 нА.
Из пересечений графиков с осью энергий EB видно, что Eth > 0.75 эВ, и эта величина зависит от материала образца. Рассчитанные зависимости функции отклика F = [(1−ηD(ES))(1 − Eth/EB] приводятся на рис. 4. Там же даны аппаратные характеристики МКП-детекторов, сигнал с которых описывается выражением
(9)
где M – коэффициент усиления МКП. Графики на рис. 4 получены при IB = 1.210–2 нА, M = 105.
Рис. 4. Нормированные значения функции отклика F в зависимости от энергии EB для полупроводниковых детекторов и для МКП-детекторов.
Из представленных характеристик видно, какое большое влияние оказывает функция F на сигнал IS , а тем самым и на контраст изображений [14–16].
КОНТРАСТ МАТЕРИАЛЬНОГО СОСТАВА ОБРАЗЦОВ В РЕЖИМЕ ОТРАЖЕННЫХ ЭЛЕКТРОНОВ
Рассмотрим контраст изображений C(Z, EB) как функцию атомного номера Z и энергии первичных электронов EB. Анализ проведем для трех случаев.
- Учет только коэффициента отражения ηS или ηr, что довольно часто употребляется в литературе:
(10)
Здесь η1 и η2 – коэффициенты отражения от элементов с атомными номерами Z1 > Z2.
- Контраст
(11)
определяемый из детектируемых сигналов IS для элементов Z1 и Z2 по формуле (6).
- Контраст, получаемый при использовании МКП-детектора:
(12)
Результаты расчета контраста для всех трех случаев представлены в табл. 1.
Таблица 1
E0 = 2 кэВ | E0 = 3 кэВ | E0 = 5 кэВ | E0 = 7 кэВ | E0 = 10 кэВ | |
Cu-Al | C1 = 0.37 C2 = 0 C3 = 0 | C1 = 0.398 C2 = 0.61 C3 = 0.39 | C1 = 0.43 C2 = 0.53 C3 = 0.39 | C1 = 0.45 C2 = 0.5 C3 = 0.4 | C1 = 0.45 C2 = 0.5 C3 = 0.41 |
Au-Cu | C1 = 0.26 C2 = 0 C3 = 0.23 | C1 = 0.285 C2 = 0.59 C3 = 0.35 | C1 = 0.31 C2 = 0.43 C3 = 0.24 | C1 = 0.34 C2 = 0.43 C3 = 0.31 | C1 = 0.36 C2 = 0.46 C3 = 0.34 |
Au-Al | C1 = 0.54 C2 = 0 C3 = 0.58 | C1 = 0.57 C2 = 0.8 C3 = 0.52 | C1 = 0.6 C2 = 0.73 C3 = 0.54 | C1 = 0.62 C2 = 0.72 C3 = 0.59 | C1 = 0.63 C2 = 0.72 C3 = 0.61 |
Их анализ приводит к ряду интересных практически важных выводов. Первое – для всех Z контраст слегка возрастает с ростом энергии. При энергии первичных электронов EB > 10 кэВ контраст зависит от EB слабо, так как влияние функции отклика F на величину сигнала IS в этом случае незначительно. Второе – контраст выражен более ярко для образцов, имеющих в составе элементы с более низким атомным номером Z. Третье – во всех сочетаниях наименьший контраст от состава образца (Z-контраст) получается при использовании МКП-детектора. Но в последнем случае можно проводить эксперименты при более щадящих дозах облучения (на 2–3 порядка меньших по сравнению с Si-детектором) и при меньших энергиях EB, так как у МКП-детектора значение Eth близко к 0.
Чтобы уверенно различать контраст C > 2% от любых соседних элементов, например от элементов с Z = 13 и Z = 14 или с Z = 78 и Z = 79, необходимо провести калибровку шкалы серого экрана СЭМ [17, 18].
ЗАКЛЮЧЕНИЕ
Функция отклика детектора ОЭ играет большую роль в формировании сигнала и контраста изображений от участков образца, имеющих различный элементный состав. Функция отклика для случая детектирования ОЭ сильно отличается от случая облучения моноэнергетическим пучком электронов. Это различие обусловлено спектральным распределением ОЭ. МКП-детекторы менее чувствительны к различиям в составе образца, но они могут работать в щадящем режиме облучения, что важно при исследовании радиационно-чувствительных материалов, например биомедицинских препаратов. Контраст более чувствителен для разрешения по атомному номеру Z в области легких элементов, чем в области элементов с большим Z. Так, например, если образец содержит Al- и Si-элементы, то контраст от этих участков различается на 10% при детектировании полупроводниковым детектором и на 5% при детектировании МКП-детектором. Учет приведенных результатов призван способствовать лучшему пониманию получаемых изображений операторами и пользователями СЭМ. Дается практическое руководство для оперативного расчета коэффициента отражения обратно рассеянных электронов и сигнала IS в СЭМ.
ФИНАНСИРОВАНИЕ РАБОТЫ
Работа является частью финансируемой из госбюджета научной темы (номер госрегистрации № 1200108676) МГУ.
КОНФЛИКТ ИНТЕРЕСОВ
Авторы заявляют об отсутствии конфликта интересов.
About the authors
Э. И. Рау
Московский государственный университет им. М.В. Ломоносова
Email: rau@phys.msu.ru
Russian Federation, Москва
С. В. Зайцев
Московский государственный университет им. М.В. Ломоносова
Author for correspondence.
Email: zai336@mail.ru
Russian Federation, Москва
References
- Reimer L., Scanning Electron Microscopy. Physics of Image formation and Microanalysis. 2-d ed. Berlin: Springer, 1998.
- Funsten H.O., Suszcynsky D.M., Ritzau S.M., Korde R. //IEEE Transactions on Nuclear Science. 1997. V. 44(6). P. 2561. https://doi.org/10.1109/23.650863
- Рау Э.И., Орликовский Н.А., Иванова Е.С. // Физика и техника полупроводников. 2012. Т. 46(6). С. 829.
- Wall B.L., Amsbaugh J.F., Beglarian A., Bergmann T., Bichsel H.C., Bodine L.I., Wilkerson J.F. // Nuclear Instruments and Methods in Physics Research Section A: Accelerators, Spectrometers, Detectors and Associated Equipment. 2014. V. 744. P. 73. https://doi.org/10.1016/j.nima.2013.12.048
- Зайцев С.В., Купреенко С.Ю., Рау Э.И., Татаринцев А.А. // ПТЭ. 2015. Т. 6. С. 51. https://doi.org/10.31857/S0032816223040092.
- Müller E., Gerthsen D. // Ultramicroscopy. 2017. V. 173. P. 71. https://doi.org/10.1016/j.ultramic.2016.12.003
- Rau E.I., Karaulov V.Y., Zaitsev S.V. // Rev. Sci. Instrum. 2019. V. 90(2). P. 023701. https://doi.org/10.1063/1.5054746
- Chen Z., Hu L., Zhang L., Shen J., Chen C. // IEEE Transactions on Electron Devices. 2023. V. 70(3). P. 1109. http://dx.doi.org/10.1109/TED.2023.3236907
- Arnal F., Verdier P., Vincensini P.D. // Compt. Rend. Acad. Sci. 1969. V. 268. P.1526.
- Hunger H.J., Küchler L. // Phys. Status Solidi (a). 1979. V. 56(1). P. K45. https://doi.org/10.1002/pssa.2210560157
- Staub P.F. // J. Physics D: Appl. Phys. 1994. V. 27(7). P.1533. https://doi.org/10.1088/0022-3727/27/7/030.
- Бронштейн И.М., Фрайман Б.С. Вторичная электронная эмиссия. Москва: Наука, 1969.
- Fitting H.J. // J. Electron Spectroscopy and Related Phenomena. 2004. V. 136(3). P. 265. https://doi.org/10.1016/j.elspec.2004.04.003.
- Орликовский Н.А., Рау Э.И. // Известия РАН. Серия физическая. 2011. Т. 75. №9. С. 1305.
- Cazaux J., Kuwano N., Sato K. // Ultramicroscopy. 2013. V. 135. P. 43. https://doi.org/10.1016/j.ultramic.2013.06.002
- Timisch F., Inoue N. // Ultramicroscopy. 2018. V. 186. P. 82. https://doi.org/10.1016/j.ultramic.2017.12.001
- Sercel P.C., Lebens J.A., Vahala K.J. // Rev. Sci. Instrum. 1989. V. 60(12). P. 3775. https://doi.org/10.1063/1.1140489
- Kim H., Negishi T., Kudo M., Takei H., Yasuda K. // J. Electron Microscopy. 2010. V. 59(5). P. 379. https://doi.org/10.1093/jmicro/dfq012
Supplementary files






