Разработка быстрого монитора положения и интенсивности пучка синхротронного излучения для экспериментов по изучению быстропротекающих процессов
- Authors: Аульченко В.М.1, Винник А.Е.2, Глушак А.А.1,3,4,2,5,6, Зарубин А.Н.2, Корниевский М.А.1,4,6, Скакунов М.С.2, Толбанов О.П.2, Тяжев А.В.2, Шехтман Л.И.1,3,2,6
-
Affiliations:
- Институт ядерной физики имени Г.И. Будкера Сибирского отделения Российской академии наук
- Томский государственный университет
- Новосибирский государственный университет
- Новосибирский государственный технический университет
- Институт катализа им. Г.К. Борескова Сибирского отделения Российской академии наук
- Институт химии твердого тела и механохимии Сибирского отделения Российской академии наук
- Issue: No 5 (2024)
- Pages: 113-125
- Section: ОБЩАЯ ЭКСПЕРИМЕНТАЛЬНАЯ ТЕХНИКА
- URL: https://medbiosci.ru/0032-8162/article/view/285722
- DOI: https://doi.org/10.31857/S0032816224050139
- EDN: https://elibrary.ru/ESQPFQ
- ID: 285722
Cite item
Full Text
Abstract
Представлена предлагаемая концепция конструкции и устройства электроники быстрого монитора положения и интенсивности пучка синхротронного излучения. В качестве возможных детекторов для быстрого монитора пучка в статье исследуются сенсоры на основе радиационно-стойких материалов, лейкосапфира и карбида кремния. Испытания детекторов на основе лейкосапфира и карбида кремния показали, что оба материала подходят в качестве фотодетекторов для регистрации быстрых сигналов от коротких вспышек белого пучка синхротронного излучения от каждого сгустка электронов в накопителе. Токовые импульсы, генерируемые детекторами на основе этих материалов, имеют длительность до 20 нс. При этом сигнал, генерируемый сенсором на основе карбида кремния, превышает соответствующий сигнал от сенсора на основе лейкосапфира в 3.9 раза при условии одинаковой толщины сенсоров.
Full Text
1. ВВЕДЕНИЕ
Изучение быстропротекающих процессов на пучках синхротронного излучения (СИ) в Центре коллективного пользования Сибирский центр синхротронного и терагерцевого излучения в Институте ядерной физики им. Г.И. Будкера СО РАН ведется уже более 20 лет [1–5]. Для этих целей на накопителях ВЭПП3 и ВЭПП4М были созданы экспериментальные станции “Субмикросекундная диагностика” (ВЭПП3) и “Экстремальное состояние вещества” (ВЭПП4) [6, 7]. Быстропротекающим считается процесс, при котором объект исследования движется со скоростью не менее 1 км/с. При проведении экспериментов по изучению таких процессов необходима регистрация синхротронного излучения от отдельных сгустков электронов. Поскольку отдельные сгустки электронов генерируют короткие вспышки СИ (примерно 1 нс в ВЭПП3 и примерно 100 пс в ВЭПП4М), объект исследования за это время сдвигается на 1–10 мкм на станции ВЭПП3 и на 0.1–1 мкм на станции ВЭПП4М. Таким образом, если регистрировать сигналы от отдельных сгустков независимо, не смешивая их, то можно получить серию изображений с высоким пространственным разрешением и временным разрешением, которое определяется длительностью вспышек СИ. При этом детектор должен обеспечивать пространственное разрешение на уровне 10 мкм и обеспечивать регистрацию изображения за время между вспышками СИ от отдельных сгустков. Это время равно 125 нс на ВЭПП3 (режим с двумя сгустками в кольце) и примерно 200 нс на ВЭПП4М (режим с шестью сгустками в кольце). Для работы в таком режиме был создан газовый детектор DIMEX-G (DIMEX – Detector for imaging of explosions, G – газовый) [8–11]. Детектор DIMEX-G представляет собой однокоординатную ионизационную камеру высокого давления с регистрацией сигнала с помощью микрополосковой структуры. Рабочим газом является смесь Xe+25%CO2 при абсолютном давлении 7 атм. Пучок СИ попадает в камеру высокого давления через бериллиевое окно толщиной 1 мм. Электроны первичной ионизации, образованные при поглощении СИ, дрейфуют под действием сильного электрического поля в сторону полосковой структуры с шагом полосок 150 мкм и длиной 30 мм. Полоски считывающей структуры направлены вдоль направления пучка СИ. Полосковая структура экранирована сеткой Фриша, которая исключает регистрацию сигнала от положительных ионов. Каждая полоска считывающей структуры подключена ко входу канала регистрации, который интегрирует заряд, наведенный при дрейфе ионизации, образованной при поглощении СИ, и в течение 100 нс записывает его в аналоговую память в специализированной интегральной схеме регистрации DMXG64B, разработанной для этого проекта. Всего детектор DIMEX-G имеет 330 каналов регистрации и по 100 аналоговых ячеек памяти в каждом канале. Более подробно устройство DIMEX-G и его основные характеристики описаны в работах [8–11]. Важной характеристикой детектора является максимальный поток фотонов, который может быть зарегистрирован в одном канале от одной вспышки СИ, генерируемой отдельным сгустком электронов. Эта величина фактически определяет величину наилучшей относительной точности измерения величины сигнала. Поскольку газовый детектор имеет существенные ограничения по величине максимального регистрируемого потока СИ пространственного и временного разрешения, в настоящее время ведется разработка нового детектора, основанного на кремниевом микрополосковом сенсоре, DIMEX-Si [12–16]. Новый детектор позволит на два порядка повысить максимальный регистрируемый поток фотонов СИ и, соответственно, на порядок повысить точность измерения сигнала. Сравнение основных характеристик детекторов DIMEX-G и DIMEX-Si приведено в табл. 1. Здесь под максимальным регистрируемым потоком имеется в виду поток фотонов, который может быть зарегистрирован детектором в одном канале регистрации в линейном режиме от одной вспышки СИ, генерируемой сгустком электронов в накопителе. При превышении этого потока в детекторе (или в электронике регистрации) возникают нелинейные эффекты и регистрируемый сигнал перестает линейно зависеть от потока фотонов на входе в детектор. Каналы регистрации в детекторе DIMEX-G и DIMEX-Si имеют различную ширину и, соответственно, различный шаг. Под пространственным разрешением детекторов понимается полная ширина на половине высоты функции отклика детектора на тонкий пучок, измеренная методом непрозрачного края (подробное описание методики этих измерений см. в работах [8–11] для DIMEX-G и в работах [12–16] для DIMEX-Si). Число кадров – это число аналоговых ячеек памяти в канале регистрации, в которые записывается измеренный сигнал. В процессе эксперимента детектор совершает 100 измерений, которые записываются в аналоговые ячейки каналов в интегральных схемах регистрации. После окончания эксперимента эта информация оцифровывается и передается в управляющий компьютер. Максимальная частота записи кадров – это максимальная частота, с которой сигнал может записываться в ячейки аналоговой памяти в интегральной схеме регистрации.
Таблица 1. Сравнение основных характеристик детекторов DIMEX-G и DIMEX-Si
DIMEX-G | DIMEX-Si | |
Максимальный регистрируемый поток (фотонов/канал/сгусток) | 2000 | 100000 |
Шаг каналов, мкм | 150 | 50 |
Число каналов | 330 | 1024 |
Пространственное разрешение, мкм | 250 | 70 |
Число кадров | 100 | 100 |
Максимальная частота записи кадров, МГц | 10 | 50 |
Чувствительный материал | Xe + 25%CO2, 7 атм | Кремний |
В настоящее время в Новосибирской области идет строительство нового источника СИ СКИФ. В числе экспериментальных станций первой очереди предполагается создание станции 1–3 “Быстропротекающие процессы” [17, 18], для которой также создаются детекторы DIMEX-G и DIMEX-Si.
Схема экспериментов по изучению быстропротекающих процессов, которая применяется на экспериментальных станциях на ВЭПП3 и ВЭПП4М, показана на рис. 1. Похожая схема планируется также на станции “Быстропротекающие процессы” на источнике СИ СКИФ.
Рис. 1. Схема эксперимента по изучению быстропротекающих процессов на пучке СИ: 1 – источник СИ, 2 – белый пучок СИ, 3 – быстрый затвор, 4 – коллиматор, 5 – взрывная камера, 6 – взрывающийся образец, 7 – детектор.
Синхротронное излучение из вигглера после прохождения через основной затвор канала (не показан на рисунке) попадает на быстрый затвор. Быстрый затвор представляет собой вращающийся диск со щелью, периодически открывающей пучок СИ на время около 100 мкс, которое в несколько раз превышает время проведения эксперимента. При этом средняя мощность в пучке СИ уменьшается примерно в 100 раз. На станциях на ВЭПП3 и ВЭПП4М быстрый затвор установлен после вывода пучка из вакуумной части канала в специальном радиационно-защищенном блоке. На СКИФ мощность в пучке СИ настолько высока, что выведение пучка через окно вакуумной части канала в атмосферу невозможно без его ослабления быстрым затвором, поэтому быстрый затвор будет находиться в вакууме. После быстрого затвора пучок попадает на коллиматор, который задает высоту пучка, проходящего через объект исследования, находящийся во взрывной камере. При взрыве или прохождении ударной волны образец частично поглощает СИ. Теневую картину этого процесса регистрирует детектор. Поскольку вспышки СИ очень короткие (0.1–1 нс), теневое изображение на детекторе не успевает размазаться из-за движения объекта. Детектор успевает записывать сигнал в память за время между вспышками СИ от отдельных сгустков.
Как следует из табл. 1, максимальный регистрируемый поток в детекторе DIMEX-Si достигает величины 105 фотонов/канал/сгусток. Таким образом, этот детектор позволит улучшить относительную точность измерения сигнала примерно до 0.3%. При этом станут существенными систематические погрешности, связанные со смещением пучка СИ и изменением его интенсивности от сгустка к сгустку. Рассмотрим, какие смещения пучка по координате и по углу будут приводить к относительному изменению потока СИ на величину, сравнимую с относительной точностью измерения сигнала 3∙10–3. Поставим ограничение на относительное изменение потока на уровне 10–3.
Пучок СИ в направлении, перпендикулярном плоскости вигглера, имеет форму распределения Гаусса со стандартным отклонением 1/γ (γ – релятивистский фактор, отношение энергии электронов к массе покоя электрона) по углу. На рис. 2а приведена зависимость потока мощности в пучке СИ от координаты в вертикальном направлении перед детектором на станции “Экстремальное состояние вещества” на ВЭПП-4М при полностью разведенном основном коллиматоре. На рис. 1а показан пучок СИ полностью, на рис. 2б показана центральная часть, где выделены границы понижения потока мощности на 0.001 относительно максимума. Видно, что к такому снижению потока мощности приводит смещение пучка СИ по вертикали примерно на 150 мкм или отклонение вертикального угла на 3.5 ∙ 10–6 рад. Отклонения пучка СИ, превышающие эти величины, будут приводить к систематическим погрешностям в измерении величины сигнала, сравнимым со статистической ошибкой. Допустимые отклонения пучка, особенно по углу, очень малы, и с большой вероятностью пучок не удастся стабилизировать с такой точностью, и он будет отклоняться от стандартной орбиты на величины, превышающие установленные ограничения. Для коррекции ошибок в измерении сигнала, возникающих из-за смещения пучка СИ, необходимо создать быстрый монитор положения и интенсивности пучка СИ, который будет установлен перед основным коллиматором станции до или после быстрого затвора. Такой монитор должен обеспечивать измерение сигнала от каждой вспышки СИ, генерируемой отдельным сгустком электронов с относительной точностью не хуже 0.001, и относительного положения пучка СИ по вертикали с точностью не хуже 150 мкм. Поскольку период следования сгустков в кольце СКИФ в специальном режиме для экспериментов по изучению быстропротекающих процессов будет около 50 нс [17, 18], быстродействие чувствительных датчиков монитора и электроники регистрации должно обеспечивать надежную регистрацию сигналов в пределах этого временного интервала.
Рис. 2. Зависимость плотности мощности в пучке СИ от вертикальной координаты на станции “Экстремальное состояние вещества” на ВЭПП-4М. Энергия пучка электронов в накопителе 4.5 ГэВ, расстояние от источника 43 м: а – весь пучок СИ; б – центральная часть пучка, пунктирными линиями обозначены границы, где поток мощности уменьшается на 0.001 относительно максимума.
В настоящей статье описано предлагаемое устройство быстрого монитора положения пучка, анализируется возможная радиационная нагрузка на датчики быстрого монитора. В качестве радиационно-стойких датчиков предлагаются сенсоры на основе лейкосапфира или карбида кремния. Приводятся результаты исследования свойств этих материалов и первые результаты измерений сигналов от белого пучка СИ в сенсорах.
2. УСТРОЙСТВО БЫСТРОГО МОНИТОРА ПОЛОЖЕНИЯ И ИНТЕНСИВНОСТИ ПУЧКА СИ
Блок-схема устройства быстрого монитора положения и интенсивности пучка СИ, который предполагается установить перед основным коллиматором станции на ВЭПП 4М и на СКИФ, показана на рис. 3. Корпус монитора представляет собой раму, на которой на линейных трансляторах закреплены четыре одноканальных сенсора с усилителями, регистрирующие поток СИ на краях прямого пучка сверху, снизу, справа и слева. Центральное отверстие в корпусе должно полностью пропускать белый пучок СИ, который на станции ВЭПП4М имеет размер 60 × 10 мм2, а на станции “Быстропротекающие процессы” СКИФ будет иметь размер 100 × 20 мм2. Импульсы тока от отдельных вспышек СИ, соответствующих пролету сгустков электронов через вигглер, преобразуются усилителями в импульсы напряжения и передаются на входы АЦП для оцифровки. Величины сигналов от сенсоров монитора в цифровом коде записываются в программируемую логическую интегральную схему (ПЛИС) синхронно с пролетом сгустков через вигглер станции. Цикл сбора данных начинается по сигналу запуска детектора, поступающего с блока синхронизации экспериментальной секции, который формируется в соответствии со сценарием эксперимента по сигналам от быстрого затвора станции, синхроимпульсу от накопителя СКИФ, сигналу на инициацию заряда и сигналу от датчика, сигнализирующего о прохождении фронта детонации по заряду. ПЛИС также получает синхроимпульс от накопителя СКИФ, который нужен для синхронизации работы монитора пучка с пролетом сгустков электронов через вигглер. Монитор пучка СИ измеряет сигналы от вспышек СИ за несколько оборотов пучка и для улучшения статистической точности измерений усредняет данные, полученные для каждого сгустка в накопительном кольце. После заданного количества оборотов пучка измерение заканчивается и полученные данные передаются в управляющий компьютер. Таким образом, монитор положения пучка измеряет поток СИ в четырех точках на краях пучка сверху, снизу, справа и слева, регистрируя сигнал от каждой вспышки СИ, соответствующей отдельному сгустку электронов в накопителе. При этом изменение соотношения сигналов от разных сторон пучка свидетельствует о смещении положения пучка, а изменение суммы сигналов говорит об изменении полного потока СИ в пучке.
Рис. 3. Блок-схема быстрого монитора положения и интенсивности пучка СИ: 1 – линейные трансляторы 2 – фотодетекторы 3 – синхронизация СКИФ 4 – запуск детектора 5 – ПЛИС 6 – АЦП 7 – интерфейс Ethernet 8 – связь с управляющим компьютером.
Для того чтобы сигналы от сенсоров зависели от малых перемещений пучка СИ, нужно, чтобы монитор положения пучка был расположен до основного коллиматора. Схема расположения монитора показана на рис. 4.
Рис. 4. Схема расположения монитора пучка СИ: 1 – вигглер 2 – монитор положения пучка СИ 3 – сенсоры монитора положения пучка СИ 4 – основной коллиматор.
На рис. 4 края пучка СИ, где поток мощности излучения снижается, обозначены более светлым оттенком. Сенсоры монитора пучка должны быть расположены на краях пучка СИ (см. рис. 2), для того чтобы при малых смещениях пучка соотношение сигналов в них существенно менялось. Поскольку сенсоры расположены на линейных трансляторах, перед началом работ должна проводиться процедура калибровки, при которой будет измеряться зависимость величины сигнала от положения сенсора и выбираться такое положение, при котором сигнал значительно меняется при смещениях на величину порядка 100 мкм. Это и будет означать, что сенсор находится на краю пучка. Точное положение сенсоров, их конфигурация (форма электродов, толщина, площадь активной поверхности) и материал будут являться предметом дальнейших экспериментальных исследований. Наиболее важным вопросом сейчас является выбор материала сенсоров. Основным фактором, определяющим выбор материала, является радиационная стойкость.
Проведем оценку радиационной нагрузки на сенсоры монитора пучка СИ в предположении об использовании в качестве сенсоров кремниевых пин-диодов. Спектры СИ на станции “Экстремальное состояние вещества” на ВЭПП-4М и на станции “Быстропротекающие процессы” ЦКП СКИФ, рассчитанные программой XOP2.3 [19], показаны на рис. 5. Средняя энергия фотонов в спектре примерно равна 25 кэВ. Для оценки величины плотности потока фотонов в центральной плоскости пучка СИ будем считать, что основной детектор DIMEX-Si регистрирует 105 фотонов в канале шириной 50 мкм от каждой вспышки СИ, генерируемой отдельным сгустком электронов в вигглере. Квантовая эффективность детектора DIMEX-Si для белого пучка на станции ВЭПП-4М составляет около 40% (см. [10] и библиографию в ней). Площадь канала DIMEX-Si равна 0.05 × 1 мм2. Тогда плотность потока фотонов в центральной плоскости пучка СИ, падающего на детектор, составляет 250000 фотонов/(0.05 × 1мм2) от каждого сгустка электронов в накопителе. В СКИФ сгустки будут следовать через 50 нс. Тогда плотность потока фотонов составит 250000/(0.05 ∙ 5 ∙ 10–8) фотонов/(мм2 ∙ с) = 1014 фотонов/(мм2 ∙ с). Для приближенной оценки будем считать, что все фотоны имеют энергию 25 кэВ. Линейный коэффициент поглощения в кремнии при энергии 25 кэВ равен 4.7 см1 (учитывается только фотоэффект). Если считать, что кремниевый сенсор (пин-диод) имеет толщину 1 мм, то в нем поглощается (1exp(–4.7 ∙ 0.1) ≈ 0.37 от падающего на сенсор пучка, что равно 3.7 ∙ 1013 фотонов/(мм2 ∙ с). Умножая на 25000 эВ и на 1.6 ∙ 10–19 Дж/эВ, получаем плотность потока мощности, выделяемую в сенсоре, около 0.15 Вт/мм2. Делением на массу одного кубического миллиметра кремния 2.3 ∙ 10–6 кг получим мощность дозы, равную 65 000 Гр/с. Сенсоры быстрого монитора пучка будут установлены в канале СИ станции до быстрого затвора на краях пучка, как показано на рис. 4. Если предположить, что в каждом измерении пучок будет открыт не более, чем на одну секунду, сенсор монитора получает мощность дозы в 10 раз меньшую, чем основной детектор DIMEX-Si в центре пучка, и для одного эксперимента нужно будет провести не менее 10 измерений с учетом необходимых калибровок, то за один эксперимент сенсоры монитора пучка будут получать до 6.5 ∙ 104 Гр поглощенной дозы. Всего на один год экспериментаторы на станции запрашивают 50 смен по 12 часов. Если в течение одной смены будет проводиться в среднем 10 экспериментов, то за год сенсоры монитора пучка будут получать до 3.3 ∙ 107 Гр. Очевидно, что при такой величине годовой поглощенной дозы, выделяемой в кремниевом сенсоре, пин-диоды не могут быть использованы в качестве сенсоров быстрого монитора положения пучка СИ, поскольку существенная деградация свойств у них наблюдается уже при дозе 10–100 кГр (см., например, обзор [20] и библиографию в нем). Сенсоры для быстрого монитора пучка должны быть изготовлены из материалов, с одной стороны, позволяющих получить достаточный по величине импульс тока от каждой вспышки СИ и, с другой стороны, обладающих исключительно высокой радиационной стойкостью. В качестве возможных вариантов материалов для изготовления таких сенсоров были рассмотрены монокристаллический сапфир (лейкосапфир) и карбид кремния.
Рис. 5. Спектры синхротронного излучения на станции “Быстропротекающие процессы” ЦКП СКИФ (кривая 1) и на станции “Экстремальное состояние вещества” на ВЭПП-4М (кривая 2). СКИФ – энергия пучка 3 ГэВ, ток 5 мА в сгустке, вигглер – 40 полюсов 4.2 Тл, расстояние до детектора 100 м. ВЭПП-4М – энергия пучка 4.5 ГэВ, ток 10 мА в сгустке, вигглер 9 полюсов (2 полюса 1.2 Тл, 7 полюсов 2 Тл), расстояние до детектора 43 м. Материалы в канале – 6.7 мм Ве и 2 м воздуха. Площадь канала детектора 0.5 × 0.05 мм2.
3. РЕЗУЛЬТАТЫ ИЗМЕРЕНИЙ ФОТОТОКА СЕНСОРОВ ИЗ САПФИРА И КАРБИДА КРЕМНИЯ
Для предварительной оценки свойств карбида кремния и сапфира было решено измерить и сравнить фототок в тестовых образцах, изготовленных из этих материалов. Экспериментальные образцы SiC и сапфировых сенсоров были изготовлены из пластин диаметром 50 мм толщиной 320 мкм (SiC), 150 мкм и 100 мкм (сапфир). Для неразрушающего контроля распределения фоточувствительности по пластинам объемного нелегированного карбида кремния (SiC) и монокристаллического сапфира (лейкосапфира) обе поверхности пластин были металлизированы. Между противоположными поверхностями пластин с помощью пружинных контактов прикладывалось напряжение 500 В. Измерение распределения фототока проводилось при облучении потоком рентгеновских квантов через отверстие диаметром 5 мм и 25 мм при напряжении и токе рентгеновской трубки 60 кВ и 500 мкА соответственно. При этом сначала на контакт подавалось напряжение, а затем (после стабилизации темнового тока) подавалось напряжение на рентгеновскую трубку. В пределах поля облучения поток рентгеновских фотонов был однородным. Ток через образец измерялся с помощью источника-измерителя Keithly 2410. После каждого измерения напряжение на рентгеновской трубке и на исследуемой пластине выключалось, пластина смещалась и измерение проводилось на новой позиции. Результаты измерений распределения фототока для SiC и сапфировых сенсоров приведены на рис. 6, 7 соответственно.
Рис. 6. Величина фототока при облучении SiC-сенсоров, диаметр облучаемой области 25 мм (а) и 5 мм (б). Пластина SiC имеет толщину 320 мкм. Напряжение на сенсоре 500 В, ток трубки 500 мкА: 1 – центр пластины, 2 – 10 мм выше от центра, 3 – 10 мм справа от центра, 4 – 10 мм ниже от центра, 5 – 10 мм слева от центра.
Рис. 7. Величина фототока при облучении сапфировых сенсоров, диаметр облучаемой области 25 мм (а) и 5 мм (б). Пластина сапфира имеет толщину 150 мкм. Напряжение на сенсоре 500 В, ток трубки 500 мкА: 1 – центр пластины, 2 – 10 мм выше от центра, 3 – 10 мм справа от центра, 4 – 10 мм ниже от центра, 5 – 10 мм слева от центра.
Анализ данных на рис. 6, 7 позволяет сделать выводы, что при напряжении 500 В и облучении катода средняя плотность фототока для SiC-сенсоров толщиной 320 мкм составляет (28 ± 1) пА/мм2 при облучении пучком с диаметром поперечного сечения 25 мм и (23 ± 1) пА/мм2 при облучении пучком с диаметром поперечного сечения 5 мм. Для сапфировых сенсоров толщиной 150 мкм средняя плотность фототока составляет (6.60 ± 0.66) пА/мм2 при облучении пучком с диаметром поперечного сечения 25 мм и (6.62 ± 0.66) пА/мм2 при облучении пучком с диаметром поперечного сечения 5 мм.
На рис. 6, 7 также видно, что имеется неоднородность фототока по пластине, которая составляет от 10% для пластины карбида кремния до 25% для пластины лейкосапфира.
3. ИЗМЕРЕНИЯ СИГНАЛОВ ОТ БЕЛОГО ПУЧКА СИ В СЕНСОРАХ НА ОСНОВЕ ЛЕЙКОСАПФИРА И КАРБИДА КРЕМНИЯ
Для проведения измерений на прямом пучке СИ были подготовлены сенсоры на основе лейкосапфира толщиной 150 мкм и карбида кремния толщиной 320 мкм. Основной целью экспериментов на прямом пучке СИ являлось измерение формы импульса фототока от отдельной вспышки СИ. Для использования карбида кремния или сапфира в качестве материалов для изготовления сенсоров для быстрого монитора надо убедиться в том, что в сигнале отсутствуют медленные компоненты и что он полностью укладывается внутри промежутка времени 50 нс, необходимого для работы на СКИФ. Для этого, в частности, необходимо, чтобы емкость сенсора была достаточно малой. С этой целью для измерений на прямом пучке СИ были изготовлены микрополосковые сенсоры.
Для этого металлические контакты пластин, использовавшихся для измерения однородности фототока, стравливались и на пластинах изготавливалась микрополосковая структура. На каждую из сторон пластин методом магнетронного распыления были нанесены пленки из алюминия толщиной 1 мкм. Затем на одну из сторон пластин наносилась фоторезистивная маска с последующим травлением слоя алюминия для формирования заданной топологии контактов: микрополосковых сенсоров и pad-сенсоров, имеющих контакт в виде квадрата с размерами 4.7 × 4.7 мм2 и 2.5 × 2.5 мм2 для SiC-сенсоров и сапфировых соответственно. На заключительном этапе пластины разрезались дисковой резкой на отдельные кристаллы: pad-сенсоров с размерами 6.0 × 6.0 мм2 (SiC) и 3.0 × 3.0 мм2 (сапфир), а также микрополосковых сенсоров (рис. 8). Параметры микрополосковых сенсоров следующие: количество полосок –20 шт., длина полоски – 12 мм, ее ширина – 0.7 мм, шаг полосок – 1 мм, толщина металла на полосках и общем контакте – 1.2 мкм.
Рис. 8. a – Схема расположения сенсоров на пластине: 1 – микрополосковые сенсоры, 2 – pad-сенсоры, 3 – линии разреза; б – фотография пластины карбида кремния с микрополосковыми и pad-сенсорами.
Сенсор приклеивался к печатной плате проводящей эпоксидной смолой так, чтобы сторона с общим электродом находилась в контакте с соответствующим электродом печатной платы, а полосковая структура – сверху. Схема присоединения электродов к источнику высокого напряжения и к осциллографу показана на рис. 9. Общий электрод через защитный резистор номиналом 10 кОм через высоковольтный разъем присоединен к стабилизированному источнику высокого напряжения. Одна из центральных полосок через гасящий резистор величиной 500 Ом соединена со входом осциллографа с нагрузкой 50 Ом. Соседние полоски с центральной соединены заземленным контактом.
Рис. 9. Схема присоединения сенсора из лейкосапфира или карбида кремния к источнику высокого напряжения и к осциллографу: 1 – корпус сенсора, 2 – осциллограф.
Гасящий резистор, включенный последовательно с сенсором, необходим для подавления колебательного переходного процесса, возникающего после импульса тока от вспышки СИ из-за паразитной индуктивности и достаточно большой емкости сенсора. Измерения проводились на станции “Субмикросекундная диагностика” Сибирского центра синхротронного и терагерцевого излучения ИЯФ СО РАН на накопителе ВЭПП-3. Облучение проводилось белым пучком СИ, который в сечении имеет форму прямоугольника 0.9 × 20 мм2. Размер области облучения в одном направлении ограничивался размером пучка 0.9 мм, а в другом направлении – длиной полоски 1.2 мм. Площадь облучения составляла 0.9 × 12 мм2. Плоскость сенсора перпендикулярна плоскости пучка СИ, полоски расположены параллельно пучку, облучалась только одна полоска, подключенная к осциллографу. Для измерений использовался осциллограф Keysight DSOS054A с полосой пропускания 500 МГц. На рис. 10 показан спектр излучения в белом пучке СИ из 2Т-шифтера ВЭПП-3, рассчитанный с помощью программы XOP2.3.
Рис.10. Спектр излучения в белом пучке СИ ВЭПП-3. Энергия электронов 2 ГэВ, магнитное поле 2 Тл, ток пучка 100 мА.
На рис. 11, 12 показаны результаты измерений сигналов с сенсора из лейкосапфира от последовательных вспышек СИ без гасящего резистора (рис. 11) и с гасящим резистором (рис. 12).
Рис. 11. Сигнал от вспышек СИ с сенсора из лейкосапфира без гасящего резистора. Напряжение на сенсоре 500 В, ток в меньшем сгустке 36.4 мА.
Рис. 12. Сигнал от вспышек СИ с сенсора из лейкосапфира с гасящим резистором 500 Ом. Напряжение на сенсоре 500 В, ток в меньшем сгустке 29.3 мА.
В кольце ВЭПП-3 циркулирует два сгустка через 125 нс. На рис. 11, 12 видны сигналы от трех вспышек СИ. Токи в сгустках различаются, на рисунках указан ток в меньшем сгустке. Включение в измерительную цепь гасящего резистора сопротивлением 500 Ом приводит к подавлению колебательного процесса ценой небольшого замедления сигнала и соответствующего уменьшения значения сигнала в пике. Более подробно форма сигнала с сенсора из лейкосапфира показана на рис. 13 для двух значений напряжения на сенсоре.
Рис. 13. Сигналы от сенсора из лейкосапфира при различных значениях напряжения на сенсоре.
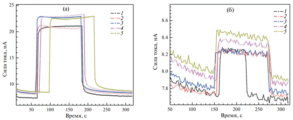
На рис. 13 видно, что с увеличением напряжения на сенсоре форма сигнала не меняется, а его величина растет. Результаты аналогичных измерений для сенсора из карбида кремния приведены на рис. 14.
Рис. 14. Сигналы от сенсора из карбида кремния при различных значениях напряжения на сенсоре.
Из сравнения рис. 14, 13 следует, что сигнал от сенсора из карбида кремния существенно быстрее, чем сигнал от сенсора из лейкосапфира. Длительность переднего фронта сигнала от лейкосапфира равна примерно 5 нс, тогда как для карбида кремния эта величина составляет около 2 нс. В последнем случае нужно учесть возможное влияние полосы пропускания осциллографа 500 МГц, так что длительность переднего фронта в случае карбида кремния может быть меньше 2 нс. Длительность заднего фронта для сенсора из карбида кремния равна 10 нс, тогда как для сапфира эта величина составляет более 20 нс. Следует отметить, что различие временных характеристик сигналов от двух сенсоров, по-видимому, связано с различием в емкости полоски, подключенной к измерительной цепи. Действительно, толщина сенсора из лейкосапфира в 2.1 раза меньше, чем толщина сенсора из карбида кремния, а диэлектрическая проницаемость лейкосапфира на 15% больше, чем у карбида кремния. Это приводит к тому, что емкость полоски в случае лейкосапфира в 2.5 раза выше, чем для карбида кремния.
Зависимость величины сигнала от полоски сенсора из лейкосапфира и карбида кремния от напряжения на сенсоре приведена на рис. 15. Зависимости для двух материалов сенсора ведут себя практически одинаково, при этом отношение величин сигнала в пике равно примерно 12.
Рис. 15. Величина сигнала от полоски в пике для сенсора из лейкосапфира толщиной 150 мкм (кривая 1, левая шкала) и карбида кремния толщиной 320 мкм (кривая 2, правая шкала). Ток электронного сгустка в ВЭПП-3 составляет 35.4 мА, площадь облучения равна 0.9 × 12 мм2.
Однако, поскольку форма сигналов от сенсоров из разных материалов разная, правильнее сравнивать полный заряд, образовавшийся от вспышки СИ в сенсоре. Интегрируя зависимость сигнала от времени для обоих сенсоров и учитывая, что сигнал измеряется на нагрузке 50 Ом, можно получить зависимость полного заряда, образовавшегося в сенсоре, от напряжения (рис. 16).
Рис. 16. Зависимость полного заряда, образующегося в сенсоре из лейкосапфира (кривая 1, левая шкала) и карбида кремния (кривая 2, правая шкала), от напряжения на сенсоре.
Ход зависимости образующегося заряда от напряжения на сенсоре для двух различных материалов существенно различается, что свидетельствует об изменении формы сигнала с увеличением напряжения на сенсоре из карбида кремния. Отношение величины образовавшегося заряда в сенсоре из карбида кремния к соответствующей величине в сенсоре из лейкосапфира для максимального приложенного напряжения 1000 В составляет примерно 5.5. При этом отношение величины выделенной энергии в карбиде кремния толщиной 320 мкм к соответствующей величине в сапфире толщиной 150 мкм, рассчитанное для спектра, приведенного на рис. 10, равно 1.4. Таким образом, при одинаковой толщине сенсоров заряд, собираемый на одну полоску в сенсоре из карбида кремния, превышает соответствующую величину для сенсора из лейкосапфира в 3.9 раза.
4. ЗАКЛЮЧЕНИЕ
На станции 1–3 “Быстропротекающие процессы” ЦКП СКИФ будет установлен быстрый монитор положения и интенсивности пучка СИ, необходимый для коррекции погрешностей измерения сигнала детекторами DIMEX в экспериментах по изучению быстропротекающих процессов. Поскольку фотодетекторы быстрого монитора будут подвергаться воздействию значительной радиационной нагрузки, которая составит по грубой оценке до 3∙107 Гр/год, необходимо применение радиационно-стойких материалов для изготовления детекторов монитора. Испытания детекторов на основе лейкосапфира и карбида кремния показали, что оба материала подходят в качестве фотодетекторов для регистрации быстрых сигналов от коротких вспышек белого пучка СИ от каждого сгустка электронов в накопителе. Токовые импульсы, генерируемые детекторами на основе этих материалов, имеют длительность до 20 нс. При этом сигнал, генерируемый сенсором на основе карбида кремния, превышает соответствующий сигнал от сенсора на основе лейкосапфира в 3.9 раза при условии одинаковой толщины сенсоров. В дальнейшем планируется продолжить изучение факторов, влияющих на величину сигнала в карбиде кремния и сапфире, также как и радиационную стойкость этих материалов, однако уже сейчас понятно, что карбид кремния может быть успешно применен для детекторов быстрого монитора положения и интенсивности пучка СИ.
ФИНАНСИРОВАНИЕ РАБОТЫ
Работа по созданию электроники быстрого монитора положения и интенсивности пучка СИ выполнена при частичной поддержке Российского научного фонда (грант 23-72-00060). Подготовка сенсоров на основе лейкосапфира и карбида кремния, планирование и проведение измерений на пучке СИ выполнены при частичной поддержке Правительства Российской Федерации (постановление № 220 от 09 апреля 2010 г., соглашение 075-15-2022-1132 от 01.07.2022 г.).
About the authors
В. М. Аульченко
Институт ядерной физики имени Г.И. Будкера Сибирского отделения Российской академии наук
Email: L.I.Shekhtman@inp.nsk.su
Russian Federation, 630090, Новосибирск, просп. Лаврентьева, 11
А. Е. Винник
Томский государственный университет
Email: L.I.Shekhtman@inp.nsk.su
Russian Federation, 634050, Томск, пр. Ленина, 36
А. А. Глушак
Институт ядерной физики имени Г.И. Будкера Сибирского отделения Российской академии наук; Новосибирский государственный университет; Новосибирский государственный технический университет; Томский государственный университет; Институт катализа им. Г.К. Борескова Сибирского отделения Российской академии наук; Институт химии твердого тела и механохимии Сибирского отделения Российской академии наук
Email: L.I.Shekhtman@inp.nsk.su
Центр коллективного пользования “Сибирский кольцевой источник фотонов” Института катализа им. Г.К. Борескова Сибирского отделения Российской академии наук
Russian Federation, 630090, Новосибирск, просп. Лаврентьева, 11; 630090, Новосибирск, ул. Пирогова, 2; 630073, Новосибирск, пр. Карла Маркса, 20; 634050, Томск, пр. Ленина, 36; 630559, Новосибирская обл., р.п. Кольцово, пр. Никольский, 1; 630090, Новосибирск, ул. Кутателадзе, 18А. Н. Зарубин
Томский государственный университет
Email: L.I.Shekhtman@inp.nsk.su
Russian Federation, 634050, Томск, пр. Ленина, 36
М. А. Корниевский
Институт ядерной физики имени Г.И. Будкера Сибирского отделения Российской академии наук; Новосибирский государственный технический университет; Институт химии твердого тела и механохимии Сибирского отделения Российской академии наук
Email: L.I.Shekhtman@inp.nsk.su
Russian Federation, 630090, Новосибирск, просп. Лаврентьева, 11; 630073, Новосибирск, пр. Карла Маркса, 20; 630090, Новосибирск, ул. Кутателадзе, 18
М. С. Скакунов
Томский государственный университет
Email: L.I.Shekhtman@inp.nsk.su
Russian Federation, 634050, Томск, пр. Ленина, 36
О. П. Толбанов
Томский государственный университет
Email: L.I.Shekhtman@inp.nsk.su
Russian Federation, 634050, Томск, пр. Ленина, 36
А. В. Тяжев
Томский государственный университет
Email: L.I.Shekhtman@inp.nsk.su
Russian Federation, 634050, Томск, пр. Ленина, 36
Л. И. Шехтман
Институт ядерной физики имени Г.И. Будкера Сибирского отделения Российской академии наук; Новосибирский государственный университет; Томский государственный университет; Институт химии твердого тела и механохимии Сибирского отделения Российской академии наук
Author for correspondence.
Email: L.I.Shekhtman@inp.nsk.su
Russian Federation, 630090, Новосибирск, просп. Лаврентьева, 11; 630090, Новосибирск, ул. Пирогова, 2; 634050, Томск, пр. Ленина, 36; 630090, Новосибирск, ул. Кутателадзе, 18
References
- Аульченко В.М., Жуланов В.В., Кулипанов Г.Н. и др. // УФН. 2018.Т. 188. № 6. С. 577. https://doi.org/10.3367/UFNr.2018.01.038339
- Aulchenko V.M., Baru S.E., Evdokov O.V. et al. // Nucl. Instrum. Methods. Phys. Res. A. 2010. V. 623. P. 600. http://doi.org/10.1016/j.nima.2010.03.083
- Aulchenko V., Ponomarev S., Shekhtman L. et al. // Nucl. Instrum. Methods. Phys. Res. A. 2003. V. 513. P. 388. http://doi.org/10.1016/j.nima.2003.08.067
- Shekhtman1 L.I., Aulchenko1 V.M., Bondar A.E. et al. // J. Instrum. 2012. V. 7. P. C03021. http://doi.org/10.1088/1748-0221/7/03/C03021
- Aulchenko V., Papushev P., Ponomarev S., Shekhtman L., Zhulanov V. // J. Synchrotron Rad. 2003. V. 10. P. 361. http://doi.org/10.1107/S0909049503009142
- Tolochko B.P., Kosov A.V., Evdokov O.V. et al. // Physics Procedia. 2016. V. 84. P. 427. http://doi.org/10.1016/j.phpro.2016.11.072
- Piminov P.A., Baranov G.N., Bogomyagkov A.V. et al. // Physics Procedia. 2016. V. 84. P. 19. https://doi.org/10.1016/J.PHPRO.2016.11.005
- Aulchenko A., Zhulanov V., Shekhtman L. et al. // Nucl. Instrum. Methods. Phys. Res. A. 2005. V. 543. P. 350. http://doi.org/10.1016/j.nima.2005.01.254
- Aulchenko V.M., Evdokov O.V., Shekhtman L.I. et al. // J. Instrum. 2008. V. 3. P05005. http://doi.org/10.1088/1748-0221/3/05/P05005
- Aulchenko V.M., Evdokov O.V., Shekhtman L.I. et al. // Nucl. Instrum. Methods. Phys. Res. A. 2009. V. 603. P. 73. http://doi.org/10.1016/j.nima.2008.12.163
- Аульченко В.М., О.В. Евдоков, Жогин И.Л. и др. // ПТЭ. 2010. № 3. С. 20. http://doi.org/10.1134/S0020441210030036
- Shekhtman L.I., Aulchenko V.M., Kudryavtsev V.N. et al. // Physics Procedia. 2016. V. 84. P. 189. http://doi.org/10.1016/j.phpro.2016.11.033
- Aulchenko V.M., Pruuel E.R., Shekhtman L.I. et al. // Nucl. Instrum. Methods. Phys. Res. A. 2017. V. 845. P. 169. http://doi.org/10.1016/j.nima.2016.05.096
- Шехтман Л.И., Аульченко В.М., Жуланов В.В. и др.// Известия РАН. Серия Физическая. 2019. Т. 83. № 2. С. 269 http://doi.org/10.3103/S1062873819020254
- Shekhtman L.I., Aulchenko V.M., Kudryavtsev V.N. et al. // AIP Conf. Proc. 2020. V. 2299. P. 050004. http://doi.org/10.1063/5.0030393
- Shekhtman L., Aulchenko V., Kudashkin D. et al. // Nucl. Instrum. Methods. Phys. Res. A. 2020. V. 958. P. 162655. http://doi.org/10.1016/j.nima.2019.162655
- Рубцов И.А., Зубавичус Я.В.., Тен К.А.и др. // Известия РАН. Серия Физическая. 2023. Т. 87. № 5. С. 680. http://dx.doi.org/10.3103/S1062873822701751
- https://srf-skif.ru/index.php
- http://www.esrf.eu/Instrumentation/software/data-analysis/xop2.4.
- Зебрев Г.И. Радиационные эффекты в кремниевых интегральных схемах высокой степени интеграции. НИЯУ МИФИ. 2010. http://www.нано-е.рф/uploads/files/Zebrev_Radiacionnye_effekty.pdf?ysclid=lrpzxtxbdy 14794400
Supplementary files

















