Determination of 137Сs in natural water and waste streams using ferrocyanide sorbents based on various supports: a comparative analysis
- Authors: Voronina A.V.1, Suetina A.K.1
-
Affiliations:
- Yeltsin Ural Federal University
- Issue: Vol 66, No 4 (2024)
- Pages: 352-363
- Section: Articles
- URL: https://medbiosci.ru/0033-8311/article/view/279429
- DOI: https://doi.org/10.31857/S0033831124040074
- ID: 279429
Cite item
Full Text
Abstract
The possibility of using ferrocyanide sorbents NPF-HTD, NPF-C, and T-35 for cesium concentration in the method of determination of 137Cs in natural and waste waters has been investigated. Differences in sorption characteristics of sorbents and conditions of cesium concentration to achieve a chemical yield of 98–99% in the concentrate have been revealed. A variable method for determination of 137Cs in natural and waste waters has been developed, taking into account the ratio of sample volume and sorbent mass in the column, the efficiency of 137Cs detection, and the time of concentrate measurement to achieve the minimum detectable activity of 137Cs in the sample of 0.001–0.01 Bq/L. The method was tested for determination of 137Cs in waters of natural reservoirs and rivers in the territories of Sverdlovsk and Chelyabinsk regions, as well as waters of monitoring wells in the territories of long-term storage and disposal of radioactive waste. The data on the composition of river and reservoir waters are presented, and the dependence of the cesium chemical yield in the concentrate on the concentration of macrocomponents in samples is shown.
Full Text
Проблема мониторинга искусственных радионуклидов в поверхностных и подземных водах является актуальной в связи с растущим загрязнением окружающей среды. Испытания ядерного оружия, штатная деятельность предприятий атомной отрасли, крупные радиационные аварии на Чернобыльской АЭС, АЭС Dai-Ichi, ПО «Маяк» привели к загрязнению природных вод цезием-137.
Активность 137Сs в природных водах измеряется от тысячных до сотых долей Бк/л. В районах воздействия радиационно-опасных предприятий может повышаться до десятков Бк/л. Например, в воде открытых водоёмов на территории Свердловской области максимальная удельная активность 137Сs составляла 0.010 Бк/л [1], среднегодовая объемная активность 137Cs в 2021 г. в воде р. Теча в районе Муслюмова (зона влияния ПО «Маяк») – 0.16 Бк/л, в воде р. Исеть – менее 0.03 Бк/л [2]. Активность 137Cs в прибрежных водах Фукусимы доходит до десятков Бк/м3 [3], в водах Северного и Балтийского морей достигла 0.042 Бк/л из-за работы перерабатывающих заводов в Селлафилде и Ла-Гааге [4].
При работе предприятий ядерно-топливного цикла образуются радиоактивные отходы (РАО), которые после переработки размещают в пунктах хранения и захоронения РАО. Для радиационно-опасных предприятий необходимым является контроль выноса 137Cs в воды контрольно-наблюдательных скважин на территории и в санитарно-защитной зоне предприятий. Так, требуемый предел обнаружения 137Cs в водах контрольно-наблюдательных скважин пунктов захоронения радиоактивных отходов составляет 0.001 Бк/л. Обеспечение столь низкого предела обнаружения при определении требует эффективного концентрирования 137Сs из природных вод.
При проведении рутинного радиоэкологического мониторинга для определения содержания 137Cs в образцах окружающей среды используют гамма-спектрометрию на полупроводниковых спектрометрах с высокой эффективностью регистрации. Так, гамма-анализатор фирмы Caпberra-Packard с германиевым полупроводниковым детектором позволяет регистрировать 137Cs с эффективностью 25 %, низкофоновый полупроводниковый γ-спектрометр Dspec-jr фирмы Ortec (США) с детектором из высокоочищенного германия – 40% [5–7]. Предел обнаружения 137Cs методом гамма-спектрометрии составляет 1 Бк/кг [6].
В водных растворах с низкой активностью 137Сs концентрируют. В качестве методов концентрирования применяют упаривание пробы, концентрирование цезия фосфоромолибдатом аммония или ферроцианидными сорбентами. В отчёте МАГАТЭ за 2021 г. «Determination of Radionuclides in Seawater, Sediment and Fish Marine Monitoring» приведены данные мониторинга прибрежных вод префектуры Фукусима. Основной методикой, используемой лабораториями для определения изотопов 137Сs и 134Сs в морской воде, являлось концентрирование цезия фосфоромолибдатом аммония, одна лаборатория использовала методику с применением ферроцинианида никеля-калия на основе полиакрилонитрила KNiFC-PAN [7]. Сорбент KNiFC-PAN был предложен и исследован для анализа в работах [8–10]. В работе [11] представлен метод определения 137Cs в морской воде, основанный на концентрировании цезия резорцин-формальдегидной смолой.
Интерес для определения цезия в природных водах представляют ферроцианидные сорбенты, так как по своим сорбционным характеристикам они превосходят фосфоромолибдат аммония и органические смолы, методики с их использованием более просты в применении. В работе [12] рассмотрено применение сорбента АНФЕЖ (ферроцианид железа-калия на основе целлюлозы) для определения 137Сs в воде Белоярского водохранилища – водоёма-охладителя Белоярской АЭС, в работе [13] – в водах Тихого океана вблизи завода по переработке отработавшего ядерного топлива компании Japan Nuclear Fuel Ltd в деревне Rokkasho, префектура Aomori, Япония, в работах [14, 15] – для анализа морской и пресных вод. В работах [16, 17] показана возможность применения ферроцианидных сорбентов НКФ-ГДТ, Термоксид-35 для анализа морских и пресных вод, в работе [18] – Термоксид-35 для анализа морской воды.
В методах определения 137Сs, основанных на концентрировании и описанных в литературных источниках, не приводятся данные по пределам обнаружения, хотя очевидно, что предел обнаружения будет зависеть от объёма воды, взятой на концентрирование, выхода 137Сs в концентрат, эффективности регистрации концентрата сорбента определённой массы. Необходимо определить оптимальное соотношение между объёмом пробы и массой используемого сорбента для концентрирования. В условиях контроля вод наблюдательных скважин пунктов хранения и захоронения РАО и ограниченного объёма проб для достижения требуемого предела обнаружения большую роль будет играть эффективность регистрации концентрата.
В настоящей работе проведён сравнительный анализ применения ферроцианидных сорбентов на основе природных и искусственных носителей для определения 137Cs в природных и сточных водах, предложен и апробирован метод определения с пределом обнаружения 0.001 Бк/л, основанный на концентрировании 137Cs ферроцианидными сорбентами.
ЭКСПЕРИМЕНТАЛЬНАЯ ЧАСТЬ
Для разработки метода определения 137Cs в природных и сточных водах с низким пределом обнаружения было выбрано три ферроцианидных сорбента. Два сорбента были получены на кафедре радиохимии и прикладной экологии УрФУ – НКФ-ГДТ и НКФ-Ц, один сорбент был использован производства АО «Неорганические сорбенты» марки Термоксид-35 (Т-35). В основе получения ферроцианидных сорбентов лежат 3 различных метода модифицирования, защищённые патентами и авторскими свидетельствами.
Получение ферроцианидных сорбентов
Сорбенты НКФ-ГДТ и Т-35 получены методами поверхностного модифицирования, включающими сорбцию никеля гидратированными диоксидами титана (Т-5) или циркония (Т-3), полученными золь–гель-методом с последующим модифицированием гексацианоферратом калия K4Fe(CN)6.
Сорбент Т-35 – смешанный ферроцианид никеля-калия на основе гидратированного ZrO2 [19]. НКФ-ГДТ – смешанный ферроцианид никеля-калия на основе гидратированного диоксида титана. Получение НКФ-ГДТ включало термическое и химическое модифицирование гидратированного диоксида титана и получение сорбирующей фазы смешанного ферроцианида никеля-калия на поверхности и в поровом пространстве гидратированного диоксида титана марки Т-5 [20] по уравнениям (1), (2):
≡Ti–OH + Ni2+ + H2O → ≡Ti–O–Ni–OH + 2H+, (1)
(2)
Сорбент НКФ-Ц – смешанный ферроцианид никеля-калия на основе целлюлозы. Метод получения сорбента НКФ-Ц – это тонкослойное модифицирование, включающее гомогенное осаждение на поверхность целлюлозы (Ц) основного карбоната никеля при термическом гидролизе мочевины с последующим модифицированием сформированной фазы в смешанный ферроцианид никеля-калия [уравнения (3), (4)]:
Ц + 2NiSO4 + 5H2O + 2NH4NCO → Ц–Ni(OH)2·NiCO3 + 2(NH4)2SO4 + CO2, (3)
Ц–Ni(OH)2·NiCO3 + 2K4Fe(CN)6 + 4HCl = 2K2NiFe(CN)6 + 4KCl + 3H2O + CO2. (4)
Исследование статики сорбции цезия
Сорбционные характеристики сорбентов исследовали в условиях статики сорбции. Изотермы сорбции цезия получали из предварительно отстоянной, отфильтрованной водопроводной воды с рН = 7.0, меченой радионуклидом 137Cs с удельной активностью 104 Бк/л. Концентрации элементов в водопроводной воде определяли методом масс-спектрометрии с индуктивно-связанной плазмой. Концентрация натрия составляла 23.38, калия –1.44, кальция – 33.05, магния – 12.92, железа – 2.3 мг/л. Концентрацию цезия в растворе устанавливали добавлением раствора СsCl. Соотношение объёма раствора и массы сорбента составляло 50 мл/20 мг. Время контакта растворов с сорбентом – 1 неделя, пробу периодически перемешивали. Измерение проб проводили на полупроводниковом альфа-бета-радиометре УМФ-2000 (производство Доза, Россия).
Влияние концентрации натрия в растворе на специфичность сорбентов исследовали, используя дистиллированную воду, меченную радионуклидом 137Cs, с добавлением изотопного носителя в виде раствора CsCl. Концентрацию ионов натрия в растворе от 10–6 до 1 моль/л задавали раствором NaCl. Масса сорбента составляла 20 мг, объем пробы – 50 мл. Время контакта фаз составляло 1 неделю.
Концентрирование 137Сs в динамических условиях
Для разработки метода определения 137Cs концентрирование цезия проводили в динамических условиях из проб водопроводной воды объемом 10, 20, 50 и 100 л с последующим измерением высушенного концентрата на гамма-спектрометре Атомтех. Пробу воды пропускали через хроматографическую колонку, заполненную сорбентами различной массы. Пробы воды объёмом 10 и 20 л пропускали через сорбенты со скорость 2 л/ч, пробы объёмом 50 и 100 л – 5 л/ч. Естественное значение рН воды в разных экспериментах изменялось в интервале рН 7.0–8.3.
Для определения выхода цезия в концентрат (сорбент, содержащий цезий, после стадии концентрирования) в пробу объёмом 10 л вносили радиоактивный отметчик 137Cs, в часть проб объёмом 10 л и пробы объёмом 20, 50 и 100 л добавляли раствор CsCl, задавая концентрацию цезия в пробе 10–2 мг/л. Для контроля выхода цезия в концентрат проводили гамма-спектрометрию пробы в геометрии сосуда Маринелли на гамма-спектрометре Атомтех АТ-1315 и/или количественный анализ цезия в пробах методом масс-спектрометрии с индуктивно-связанной плазмой.
Выход цезия в концентрат на стадии сорбции по результатам гамма-спектрометрии рассчитывали по формуле (5):
(5)
где В1 – выход на стадии сорбции, Iисх – исходная скорость счета раствора, Iр – скорость счёта фильтрата.
При количественном анализе методом масс-спектрометрии для расчёта выхода использовали концентрацию цезия в исходном растворе и растворе после сорбции.
Концентрирование проводили с оптимизацией для каждого сорбента выхода в концентрат 98–99%. По полученным результатам был предложен вариативный метод определения 137Сs в природных и сточных водах, основанный на концентрировании цезия различными ферроцианидными сорбентами, проведена оценка достигаемой минимально определяемой активности 137Сs при различных вариантах концентрирования, а также времени измерения для достижения различной относительной погрешности определения активности 137Сs.
Подготовка эталонов и определение эффективности регистрации 137Сs в концентрате при различной геометрии измерения
Для определения эффективности регистрации использовали эталоны 137Cs для определенной массы каждого сорбента. В качестве раствора для приготовления эталонов использовали отстоянную водопроводную воду объемом 5 л, в которую вносили раствор ОРР 137Cs и стабильный носитель цезия в виде CsCl с концентрацией 10–2 мг/л. Раствор концентрировали, пропуская через хроматографическую колонку, заполненную выбранным сорбентом с массой, для которой был определен выход по методике. Скорость пропускания раствора составляла 2 л/ч. Полученный концентрат высушивали при комнатной температуре и измеряли на гамма-спектрометре Атомтех АТ-1315 в различных геометриях, оценивая эффективность регистрации. Активность раствора до и после сорбции также измеряли на гамма-спектрометре в сосуде Маринелли. Расчет активности исходного раствора и эффективности регистрации Сs-137 в концентрате производили по формулам (6) и (7).
(6)
где I – скорость счета исходной пробы раствора, имп/с; ε – эффективность регистрации для сосуда Маринелли, равная 0.024 имп/расп; γ – выход гамма-квантов на распад 137Cs, равный 0.85;
(7)
где I – средняя скорость счета полученного концентрата, имп/с; AЭ –активность эталонного раствора объёмом 5 л, Бк; B – выход 137Cs в концентрат.
Эталон измеряли 5 раз и рассчитывали погрешность определения эффективности.
Апробация разработанного метода и оценка зависимости выхода 137Сs в концентрат от концентрации макрокомпонентов природных вод
Апробация разработанного метода, основанного на концентрировании 137Сs сорбентом НКФ-ГДТ, была проведена при определении 137Cs в природных водах, отобранных на территориях Свердловской и Челябинской областей, а также водах контрольно-наблюдательных скважин пункта хранения радиоактивных отходов ФГУП «Федеральный экологический оператор» и пункта приповерхностного захоронения радиоактивных отходов ФГУП «Национальный оператор по обращению с радиоактивными отходами». В результате мониторинга была проанализирована 31 пробa воды, в том числе 19 проб из рек и водоёмов и 12 проб из контрольно-наблюдательных скважин.
По результатам мониторинга проб природных и сточных вод определяли зависимость выхода 137Сs в концентрат от концентрации химических элементов в пробе. Концентрации химических элементов в пробах природных и сточных вод до и после фильтрации через сорбент измеряли на масс-спектрометре NexION 350X (Perkin Elmer, США)
РЕЗУЛЬТАТЫ И ОБСУЖДЕНИЕ
Оценка сорбционных характеристик ферроцианидных сорбентов в условиях статики
На рис. 1 представлены изотермы сорбции цезия сорбентами Т-35, НКФ-Ц и НКФ-ГДТ из водопроводной воды. Сорбенты Т-35 и НКФ-Ц имеют сорбционные центры одного типа, тогда как сложный вид изотермы сорбции цезия НКФ-ГДТ указывает на его полифункциональность. В табл. 1 приведены коэффициенты распределения цезия Kd, рассчитанные по результатам математической обработки линейных участков изотерм, и статическая обменная ёмкость (СОЕ) сорбентов. Коэффициенты распределения цезия приведены для сорбентов Т-35 и НКФ-Ц в области выполнения закона Генри, для сорбента НКФ-ГДТ – для двух областей концентраций цезия в растворе в связи с полифункциональностью сорбента.
Рис. 1. Изотермы сорбции цезия из слабоминерализованной воды сорбентами Т-35 (а), НКФ-Ц (б) и НКФ-ГДТ (в). Концентрация цезия: Cт – в твердой фазе, Cр – в растворе.
Таблица 1. Удельное содержание никеля в фазе сорбента и их сорбционные характеристики
Сорбент | Содержание Ni в фазе сорбента, мг/г | Область концентраций цезия, мг/л | Kd, мл/г | СОЕ, мг/г |
НКФ-ГДТ | 17 | 10–6–5·10–4 | (3.4 ± 0.6)·105 | 234 |
10–3–10 | (4.4 ± 0.3)·104 | |||
Т-35 | 60 | 10–6–10 | (3.5 ± 0.7)·104 | 75 |
НКФ-Ц | 80 | 10–6–1 | (7.5 ± 1.7)·104 | 70 |
Самое большое содержание Ni определено в сорбенте НКФ-Ц и составляет 80 мг/г, наименьшее содержание – 17 мг/г в НКФ-ГДТ. Коэффициенты распределения цезия всеми ферроцианидными сорбентами близки в области концентраций цезия, характерных для природных вод – 10–3–10–6 мг/л.
Наибольшая статическая обменная емкость 234 мг/г характерна для сорбента НКФ-ГДТ. Такое различие в сорбционной ёмкости связано с присутствием в сорбенте НКФ-ГДТ двух различных ферроцианидных фаз, а также особенностями химизма сорбции цезия при различных концентрациях цезия в растворе. При концентрациях цезия в растворе до 5·10–4 мг/л цезий сорбируется фазой смешанного ферроцианида никеля-калия:
(8)
При концентрациях цезия в растворе 5·10–4–50 мг/л цезий сорбируется и фазой смешанного ферроцианида никеля-калия, и фазой ферроцианида калия-титанила:
K2(TiO)[Fe(CN)6] + 2Cs+ → Cs2(TiO)[Fe(CN)6] + 2K+. (9)
В области высоких концентраций цезия в растворе >50 мг/л поглощение цезия сорбентом НКФ-ГДТ происходит за счёт осаждения в порах сорбента малорастворимого ферроцианида никеля-цезия [21].
Различие в сорбционной ёмкости может проявляться при концентрировании 137Сs из подземных, морских и высокосолевых сточных вод, содержащих большое количество элементов – химических аналогов цезия, особенно в условиях анализа проб вод большого объёма 50–100 л.
Ион Na+ может выступать конкурентом при сорбции Cs+ из природных вод. На рис. 2 представлены зависимости коэффициентов распределения цезия ферроцианидными сорбентами Т-35, НКФ-Ц и НКФ-ГДТ от концентрации натрия в растворе. Экспериментальные данные показывают, что на всем интервале концентраций натрия коэффициенты распределения цезия остаются постоянными для всех исследованных сорбентов, не зависят от концентрации натрия в растворе и составляют: для НКФ-ГДТ – (6.3 ± 0.3)·104, для Т-35 – (4.0 ± 0.2) 104 и для НКФ-Ц – (1.58 ± 0.03) 105 мл/г.
Рис. 2. Зависимости коэффициента распределения цезия сорбентами Т-35 (а), НКФ-Ц (б), НКФ-ГДТ (в) от концентрации натрия в растворе.
Определение выхода 137Cs в концентрат на стадии сорбции
В хроматографическую колонку загружали различные массы сорбента и оценивали зависимость выхода цезия в концентрат от соотношения массы сорбента в колонке и объёма пробы воды. По результатам проведённых экспериментов выбирали оптимальную массу сорбента для каждого объёма пробы для достижения выхода 98–99%. В табл. 2 представлены значения выхода цезия в концентрат для оптимизированного соотношения объема пробы и массы сорбента. высота слоя сорбента в колонке.
Таблица 2. Выход цезия в концентрат на стадии сорбции
Объем пробы, л | Сорбент | |||||
НКФ-ГДТ | Т-35 | НКФ-Ц | ||||
Масса сорбента, г | ||||||
2 | 3 | 3 | 5 | 0.5 | 1 | |
Высота слоя в колонке, см | ||||||
3.3 | 5.0 | 5.4 | 9.0 | 6.7 | 13.3 | |
10 | 99.3 | – | 98.7 | – | 99.6 | – |
20 | 99.1 | – | 98.2 | – | 99.4 | – |
50 | – | 98.4 | 90.0 | 98.5 | – | 99.5 |
100 | – | 98.6 | 90.7 | 97.9 | – | 98.8 |
Самая минимальная масса для достижения выхода в 98–99% показана для сорбента НКФ-Ц, далее – для сорбента НКФ-ГДТ и самая большая масса из всех трех выбранных сорбентов требуется для сорбента Т-35. Для НКФ-Ц наблюдается более выгодная геометрия за счет того, что он имеет очень маленькую плотность и значительно большую высоту слоя в колонке по сравнению с остальными сорбентами.
Выбранные условия концентрирования (скорость пропускания воды, масса сорбента) позволяют достичь высоких выходов цезия в концентрат, и для данных объемов проб можно использовать любой из предложенных сорбентов при учете установленного соотношения объема пробы и массы сорбента в колонке. Объём пробы воды для анализа выбирается с учётом требуемого предела обнаружения 137Сs в пробе. Также при выборе варианта реализации анализа следует учитывать доступность и стоимость сорбента. Для контроля выноса 137Сs с территорий ПХРО и ППЗРО предприятий ГК Росатом удобно использовать сорбент Т-35, производимый также на предприятии АО «Неорганические сорбенты», входящем в структуру ГК Росатом.
С учётом полученных результатов разработан вариативный метод определения 137Сs в природных и сточных водах, основанный на концентрировании 137Сs ферроцианидными сорбентами НКФ-ГДТ, НКФ-Ц или Т-35.
Определение эффективности регистрации 137Cs в концентрате
В табл. 3 представлены полученные значения эффективности регистрации 137Cs в концентрате для разных масс сорбентов при измерении на гамма-спектрометре Атомтех АТ-1315 в различных геометриях.
Таблица 3. Эффективность регистрации 137Cs в концентрате на гамма-спектрометре Атомтех АТ-1315
Геометрия измерения | Т-35 | НКФ-Ц | НКФ-ГДТ | |||
3 г | 5 г | 0,5 г | 1 г | 2 г | 3 г | |
Пластиковая банка, d = 30 мм | 0.070 ± 0.002 | 0.062 ± 0.001 | 0.068 ± 0.003 | 0.068 ± 0.004 | 0.072 ± 0.003 | 0.070 ± 0.002 |
Cосуд Дента, / d = 70 мм | – | 0.053 ± 0.001 | – | 0.061 ± 0.002 | – | – |
Чашка Петри, / d = 92 мм | – | 0.052 ± 0.001 | – | – | – | – |
Оптимальной геометрией для измерения, дающей наибольшую эффективность регистрации, является пластиковая банка диаметром d = 30 мм с высотой равномерно распределённого слоя сорбента НКФ-ГДТ 2 мм.
Эффективность регистрации можно повысить, используя полупроводниковые спектрометры с детектором из особо чистого германия, но требуемый предел обнаружения 137Сs в пробе может быть достигнут и с эффективностью регистрации, которую обеспечивает более доступный гамма-спектрометр Атомтех АТ-1315.
Оценка минимально определяемой активности 137Cs в пробах природных и сточных вод по разработанному методу
Для разработанного метода рассчитывали минимально определяемую активность 137Cs в природных и сточных водах при использовании разных вариантов анализа с учетом скорости счета фона, эффективности регистрации 137Cs для каждого сорбента и массы, использованной для концентрирования, значения экспериментально полученного выхода, объёма пробы. Полученные результаты приведены в табл. 4.
Таблица 4. Минимально определяемая активность 137Cs в пробе в зависимости от объема, Бк/л
Геометрия измерения | Т-35 | НКФ-Ц | НКФ-ГДТ | |||
3 г | 5 г | 0.5 г | 1 г | 2 г | 3 г | |
10 л | ||||||
Пластиковая банка, d = 30 мм | 0.01057 | – | 0.010842 | – | 0.01034 | – |
20 л | ||||||
Пластиковая банка, d = 30 мм | 0.00531 | – | 0.005432 | – | 0.00517 | – |
50 л | ||||||
Пластиковая банка, d = 30 мм | 0.00232 | 0.00242 | – | 0.00217 | – | 0.00214 |
Cосуд Дента, d = 70 мм | – | 0.00281 | – | 0.00240 | – | – |
Чашка Петри, d = 92 мм | – | 0.00287 | – | – | – | – |
100 л | ||||||
Пластиковая банка, d = 30 мм | 0.00115 | 0.00122 | – | 0.00109 | – | 0.00107 |
Cосуд Дента, d = 70 мм | – | 0.00142 | – | 0.00122 | – | – |
Чашка Петри, d = 92 мм | – | 0.00144 | – | – | – | – |
Очевидно, что для достижения минимально определяемой активности МОА 0.01 Бк/л необходимо взять пробу объёмом 10 л и сорбент Т-35 массой 3 г, НКФ-Ц – 0.5 г, НКФ-ГДТ – 2 г. Анализ пробы воды объемом 20 л позволяет достичь МОА 0.005 Бк/л. Для сорбента НКФ-ГДТ значение МОА достигается лучше всего. Использование пробы воды объемом 50 л позволяет достигать МОА 0.002 Бк/л, пробы объемом 100 л – 0.001 Бк/л; наиболее близкое к требуемому значение МОА получено при использовании сорбента НКФ-ГДТ массой 3 г.
С учетом выполненных расчётов можно предположить, что достижение МОА 0.001 Бк/л из объёма пробы 100 л при использовании хорошо зарекомендовавшего себя в радиохимическом анализе сорбента Анфеж будет невозможно в связи с использованием для анализа 95–150 г сорбента, более низким выходом цезия в концентрат [12, 15] и соответственно более низкой эффективностью регистрации сорбента такой массы при гамма-спектрометрии.
Выбор времени измерения счётных образцов
Необходимое время измерения пробы выбирали с учетом требуемой погрешности определения активности 137Cs в пробе. Погрешность определения активности 137Cs будет зависеть от удельной активности, эффективности регистрации, выхода цезия в концентрат, объема пробы и времени измерения. Предполагаемую относительную погрешность определения удельной активности можно рассчитать по формуле (10):
(10)
где Ауд – удельная активность в пробе, Бк/л; Kр – коэффициент регистрации, имп/(с·Бк); В – выход в образец для измерения по методике; V – объем пробы, л; t – время измерения, с.
На рис. 3, 4 представлены соотношения между объемом пробы, временем измерения концентрата и относительной погрешностью результата измерения концентрата при определении удельной активности 137Cs с МОА 0.01 и 0.001 Бк/л. Объем пробы 10 л позволяет определять концентрацию 0.01 Бк/л с погрешностью δ = 10% для всех сорбентов за время измерения 14–16 ч. Объем пробы, равный 100 л, позволяет достичь предел обнаружения 0.001 Бк/л с 10%-ной погрешностью для времени измерения для Т-35 (m = 5 г) 17.5 ч, для НКФ-Ц (m = 1 г) – 16 ч, для НКФ-ГДТ (m = 3 г) – 15 ч.
Рис. 3. Соотношение объемов пробы, времени измерения концентрата и относительной погрешности результата измерения концентрата при определении удельной активности 137Cs с МОА = 0.01 Бк/л: а – сорбент Т-35, mс = 3 г; б – сорбент НКФ-Ц, mс = 0.5 г; в – сорбент НКФ-ГДТ, mс = 2 г.
Рис. 4. Соотношение объемов пробы, времени измерения концентрата и относительной погрешности результата измерения концентрата при определении удельной активности 137Cs с МОА = 0.001 Бк/л: а – сорбент Т-35, mс = 5 г; б – сорбент НКФ-Ц, mс = 1 г; в – сорбент НКФ-ГДТ, mс = 3 г.
Результаты апробации разработанного метода
В табл. 5 приведено содержание щелочных, щелочно-земельных элементов и железа в пробах вод, отобранных на территориях Свердловской и Челябинской областей.
Таблица 5. Состав проб природных вод
Проба вод | Концентрация, мг/л | |||||||
Na | K | Сa | Mg | Fe | Cs | Sr | ||
Белоярское вдхр. | 16.04 | 3.99 | 33.67 | 17.38 | 0.13 | 6.08 × 10–6 | 0.23 | |
Центральный городской пруд (г. Екатеринбург) | – | 3.02 | 53.54 | 19.38 | 0.15 | 4.63 × 10–6 | 0.28 | |
оз. Сунгуль | 19.78 | 4.25 | 15.37 | 11.14 | 0.14 | 1.06 × 10–5 | 0.26 | |
оз. Большие Касли | 17.34 | 4.65 | 21.75 | 16.55 | 0.01 | 2.46 × 10–6 | 0.27 | |
р. Теча | – | 5.61 | 33.25 | 40.07 | 0.01 | 5.39 × 10–6 | 0.62 | |
р. Теча (д. Муслюмово) | – | 20.33 | 20.37 | 54.47 | 0.31 | 3.16 × 10–4 | 0.27 | |
р. Исеть (г. Каменск-Уральский) | 31.57 | 6.24 | 28.46 | 17.99 | 0.29 | 2.15 × 10–4 | 0.22 | |
Верх–Исетский пруд (г. Екатеринбург) | 12.24 | – | 25.98 | 8.30 | 0.26 | 1.08 × 10–4 | 0.15 | |
Волчихинское вдхр. | 5.75 | – | 26.34 | 9.76 | 0.23 | 2.80 × 10–6 | 0.09 | |
р. Каква (в черте г. Серов) | 5.67 | – | 26.96 | 5.24 | 0.12 | 9.79 × 10–6 | 0.08 | |
р. Реж | 6.32 | 1.02 | 39.02 | 17.88 | 0.74 | 3.23 × 10–5 | 0.20 | |
р. Ивдель (в черте г. Ивдель) | май | 1.54 | – | 12.18 | 2.97 | 0.79 | 5.03 × 10–5 | 0.03 |
сентябрь | 2.41 | – | 27.76 | 4.42 | 0.15 | 2.04 × 10–6 | 0.05 | |
Нижне–Исетский пруд (г. Екатеринбург) | ноябрь | 19.67 | 2.61 | 27.29 | 17.69 | 0.27 | 1.14 × 10–4 | 0.25 |
март | 16.88 | – | 19.47 | 9.61 | 0.24 | – | 0.17 | |
июнь | 17.52 | – | 33.16 | 10.23 | 0.27 | 5.80 × 10–5 | 0.19 | |
сентябрь | 28.75 | – | 41.42 | 17.13 | 0.33 | 6.09 × 10–5 | 0.25 | |
оз. Шарташ | 15.92 | – | 28.72 | 9.12 | 0.38 | 1.55 × 10–5 | 0.21 | |
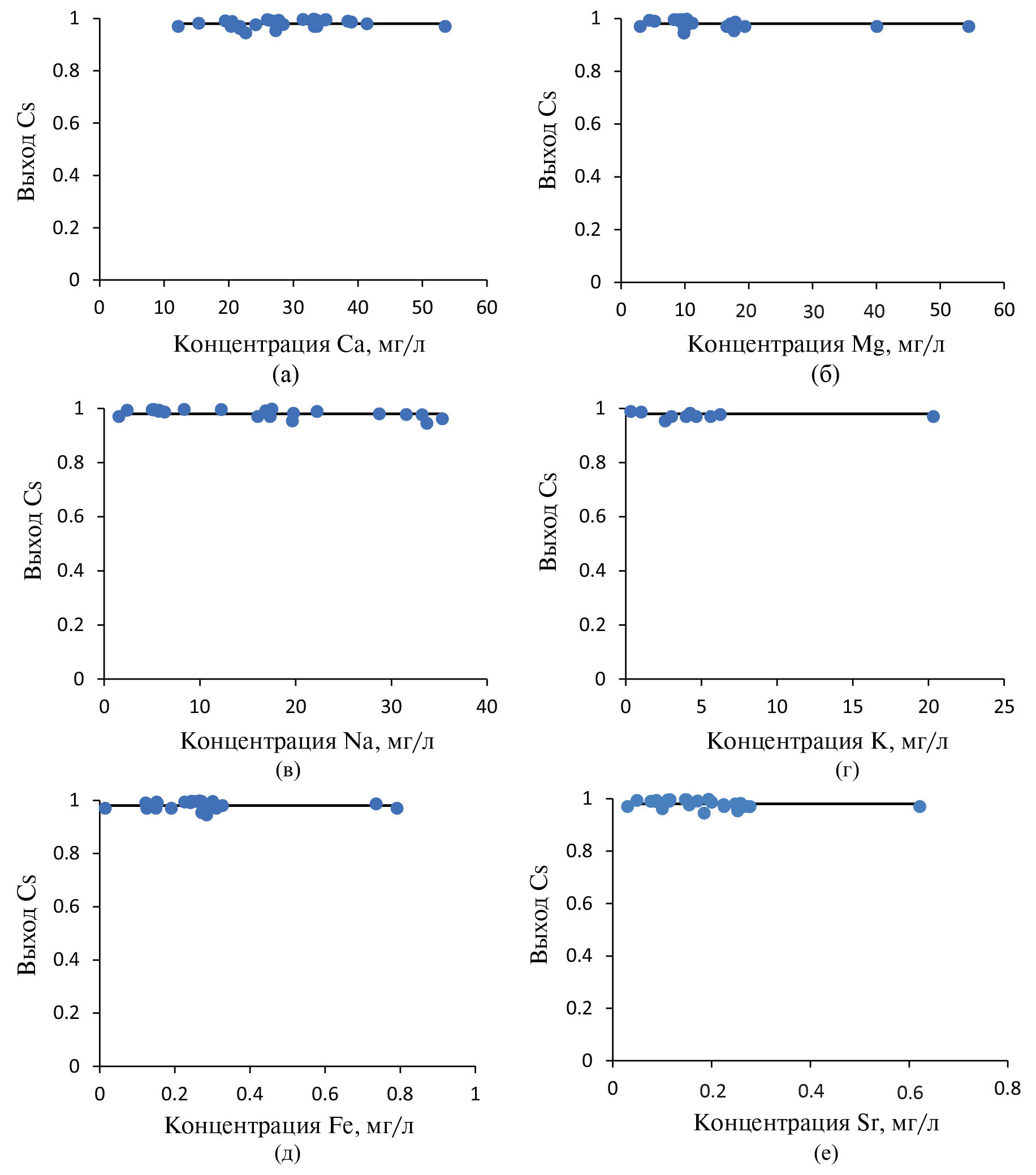
На рис. 5 представлены зависимости выхода цезия в концентрат сорбента НКФ-ГДТ от концентрации в природных водах кальция, магния, натрия, калия, железа и стронция, установленные для 31 исследованной пробе вод. Исследованные природные воды характеризуются содержанием Ca от 12 до 50 мг/л, Mg в пределах 3–54 мг/л, Na содержится в интервалах от 1.5 до 32 мг/л, K – 3–6 мг/л. Наибольшее содержание калия 20 мг/л было характерно для вод р. Теча у села Муслюмово. При таком содержании калия в пробе выход цезия в концентрат сохранялся на постоянном уровне. Содержание Fe колеблется в пределах десятых долей мг/л. Очевидно, что сорбция цезия является селективной, не зависит от концентрации указанных элементов в природных водах. Следовательно, указанные ранее в таблице выходы цезия в концентрат сорбента будут актуальными для вод любого состава и любой жесткости. Сорбент НКФ-ГДТ проявляет высокую специфичность к иону Cs+ в присутствии одно- и двухзарядных катионов Na+, K+, Ca2+, Mg2+, также в присутствии ионов железа. Он может быть эффективно использован для переработки высокосолевых жидких радиоактивных отходов.
Рис. 5. Зависимости выхода цезия от концентрации кальция (а), магния (б), натрия (в), калия (г), железа (д) и стронция (е) в природных водах.
По данных мониторинга показано, что загрязнение рек и озёр на территориях Свердловской и Челябинской областей изменяется в интервале от 0.009 ± 0.002 до 0.61 ± 0.02 Бк/л и не превышает уровень вмешательства для питьевой воды УВ = 11 Бк/л [22]. Результаты проведённого мониторинга вод подробно представлены в работе [23]. Наибольшее содержание 137Cs было характерно для вод Нижне-Исетского пруда (г. Екатеринбург) в зимний период и предположительно связано со стоком из почв, загрязнённых в результате атмосферных выпадений после аварии на Чернобыльской АЭС в 1986 г. В водах исследованных контрольно-наблюдательных скважин пункта хранения РАО и пункта захоронения РАО удельная активность 137Сs не превышает контрольный уровень.
ЗАКЛЮЧЕНИЕ
Оценена возможность применения ферроцианидных сорбентов на различных носителях НКФ-ГДТ, НКФ-Ц и Т-35 для определения 137Cs в природных и сточных водах. Проведено сравнение сорбционных характеристик сорбентов и условий концентрирования 137Cs из проб природных вод объемом 10–100 л для достижения выхода цезия в концентрат 98–99%.
Разработан вариативный метод определения 137Cs в природных водах с концентрированием 137Сs ферроцианидными сорбентами и пределом обнаружения 0.001–0.01 Бк/л. Показано, что для определения 137Сs и достижения требуемого предела обнаружения 137Сs в природных водах может быть использован любой из исследованных сорбентов, но с учётом установленного соотношения объема пробы и массы сорбента в колонке, эффективности регистрации 137Сs и времени измерения концентрата.
Разработанный метод апробирован при проведении радиоэкологического мониторинга природных вод, отобранных на территориях Свердловской и Челябинской областей, а также вод контрольно-наблюдательных скважин пункта хранения радиоактивных отходов ФГУП «Федеральный экологический оператор» и пункта приповерхностного захоронения радиоактивных отходов ФГУП «Национальный оператор по обращению с радиоактивными отходами». Показано, что выход 137Cs в концентрат сорбента не зависит от концентрации макрокомпонентов природных вод.
ФОНДОВАЯ ПОДДЕРЖКА
Работа выполнена в рамках гранта РФФИ и Правительства Свердловской области № 20-43-660055 и при частичной финансовой поддержке Министерства науки и высшего образования РФ (базовая часть государственного задания, проект № FEUZ-2023-0013).
БЛАГОДАРНОСТИ
Авторы благодарят доцента кафедры редких металлов и наноматериалов УрФУ, к.т.н. С.М. Титову за проведение масс-спектрометрического анализа проб вод.
КОНФЛИКТ ИНТЕРЕСОВ
Авторы заявляют об отсутствии конфликта интересов.
About the authors
A. V. Voronina
Yeltsin Ural Federal University
Author for correspondence.
Email: av.voronina@mail.ru
Russian Federation, Yekaterinburg, 620002
A. K. Suetina
Yeltsin Ural Federal University
Email: av.voronina@mail.ru
Russian Federation, Yekaterinburg, 620002
References
- Трапезникова В.Н., Коржавин А.В., Трапезников А.В., Платаев А.П. // Медико-биологические и социально-психологические проблемы безопасности в чрезвычайных ситуациях. 2017. № 1. С. 84–94.
- Радиационная обстановка на территории России и сопредельных государств в 2021 году. Ежегодник. Обнинск: НПО «Тайфун», Росгидромет, 2022. 342 с.
- Duran E.B., Povinec P.P., Fowler S.W., Airey P.L., Hong G.H. // J. Environ. Radioact. 2004. Vol. 76. P. 139–160.
- Daraoui A., Tosch L., Gorny M., Michel R., Goroncy I., Herrmann J., Nies H., Synal H.-A., Alfimov V., Walther C. // J. Environ. Radioact. 2016. Vol. 162–163. P. 289–299.
- Трапезников А.В., Коржавин А.В., Трапезникова В.Н. // Вопр. радиац. безопасности. 2010. № 3(59). С. 34–47.
- Трапезников А.В., Коржавин А.В.,. Трапезникова В.Н., Николкин В.Н. // Радиац. биология. Радиоэкология. 2016. Т. 56. № 2. С. 197–207.
- IAEA Preliminary Report 2021: Interlaboratory Comparisons 2017–2020: Determination of Radionuclides in Seawater, Sediment and Fish Marine Monitoring: Confidence Building and Data Quality Assurance. https://www.iaea.org/sites/default/files/21/07/preliminary-report-2021-interlaboratory-comparison-2017-2020-determination-of-radionuclides-in-seawater-sediment-and-fish.pdf
- Pike S.M., Buesseler K.O., Breier C.F., Dulaiova H., Stastna K., Sebesta F. // J. Radioanal. Nucl. Chem. 2013. Vol. 296. P. 369–374.
- Pike S.M., Buesseler K.O., Breier C.F., Dulaiova H., Stastna K., Sebesta F. // J. Radioanal. Nucl. Chem. 2013. Vol. 296. P. 369–374.
- Kamenik J., Dulaiova H., Sebesta F., St’astna K. // J. Radioanal. Nucl. Chem. 2013. Vol. 296. P. 841–846.
- Egorin A., Palamarchuk M., Tokar E., Tutov M., Marinin D., Avramenko V. // Radiochim. Acta. 2017. Vol. 105. N 2. P. 121–127.
- Лисовских В.Г., Трапезников А.В. // Вестн. НЦБЖД. 2012. С. 105–108.
- Nakanishi T., Aono T., Yamada M., Kusakabe M. // J. Radioanal. Nucl. Chem. 2010. Vol. 283. P. 831–838.
- Johnson B.E., Santschi P.H., Addleman R.S., Douglas M, Davidson J., Fryxell G.E., Schwantes J.M. // Anal. Chim. Acta. 2011. Vol. 708. P. 52–60. https://doi.org/10.1016/j.aca.2011.08.017.
- Bandong B.B., Volpe A.M., Esser B.K., Bianchini G.M. // Appl. Radiat. Isot. 2001. Vol. 55. P. 653–665.
- Ноговицына Е.В., Воронина А.В., Бетенеков Н.Д., Никифоров А.Ф. // Водное хозяйство России. 2015. № 3. С. 98.
- Semenishchev V.S., Voronina A.V., Gupta D.K. // J. Radioanal. Nucl. Chem. 2019. Vol. 321. P. 133. https://doi.org/10.1007/s10967-019-06555-0
- Бежин Н.А., Тананаев И.Г. // Вопр. радиац. безопасности. 2022. № 4 (108). С. 30–38.
- Шарыгин Л.М., Моисеев В.Е., Муромский А.Ю., Барыбин В.И. Пат. RU 2113024. Заявл. 20.02.1996; опубл. 10.06.1998.
- Воронина А.В., Ноговицына Е.В., Семенищев В.С., Блинова М.О. Пат. RU 2746194. Заявл. 12.07.2019; опубл. 08.04.2021.
- Voronina A.V., Semenischev V.S., Nogovitsyna E.V., Betenekov N.D. J. Radioanal. Nucl. Chem. 2013. Vol. 298. P. 67–75.
- СанПин 2.6.1.2523-09. Нормы радиационной безопасности (НРБ-99/2009): Санитарно-эпидемиологические правила и нормативы // М.: Федеральный центр гигиены и эпидемиологии Роспотребнадзора, 2009. 225 с.
- Суетина А.К., Воронина А.В. // Бутлеровские сообщения. 2024. Т. 7. № 2. ID 5. https://doi.org/10.37952/ROI-jbc-01/24-78-4-103/ROI-jbc-RB/24-7-2-5
Supplementary files









