Статика сорбции кислородных анионов Cr(VI), Mo(VI), W(VI), Se(IV) наноструктурированным композитом Al2O3||C
- Авторы: Поляков Е.В.1, Красильников В.Н.1, Волков И.В.1, Иошин А.А.1
-
Учреждения:
- Институт химии твердого тела Уральского отделения РАН
- Выпуск: Том 66, № 5 (2024)
- Страницы: 484-492
- Раздел: Статьи
- URL: https://medbiosci.ru/0033-8311/article/view/287833
- DOI: https://doi.org/10.31857/S0033831124050081
- ID: 287833
Цитировать
Полный текст
Аннотация
Методами термодинамического моделирования, сорбционной диагностики, анализа зета-потенциала частиц и спектрофотометрии раствора проанализированы равновесные условия сорбционного взаимодействия группы кислородных анионов CrO4 2–, MoO4 2–, WO4 2–, SeO3 2– в области химической устойчивости композита Al2O3||C. Показано, что изотермы сорбции анионов соответствуют модели Ленгмюра для моноэнергетического сорбента. Область Генри наблюдается при концентрациях менее 1 мкмоль/л. Согласно установленному механизму поверхностного комплексообразования, величина константы протонирования (K1) анионов в исследованном диапазоне рН определяет сорбционную активность композита к этим анионам. Это объясняет найденную корреляцию между соотношением параметров кислотно-основных центров {Al–O–}, {Al–HO0} и {Al–OH2+} композита KM(1,2) и константой протонирования аниона K1. Показано, что композит Al2O3||C проявляет свойства сорбента коллективного действия, концентрируя из разбавленных растворов как катионы d-, f-элементов, так и кислородные анионы d-элементов с величиной lgKd [мл/г] > 4.
Ключевые слова
Полный текст
ВВЕДЕНИЕ
Анионные формы радионуклидов, возникая в качестве химических продуктов деления и активации, существенно влияют на радиационную обстановку действующих АЭС. В растворах теплоносителя фиксируются анионные формы радионуклидов 93,99mMo, 187W, 99mTc. В газово-аэрозольных выбросах АЭС присутствуют анион-образующие формы таких радиотоксичных элементов, как 129,131I, 95Nb, 99Mo [1]. Радионуклиды 99Tc и 79Se, обнаруженные в высокоактивных радиоактивных отходах в качестве продуктов деления 235U, обладают высокой радиоактивностью, большим периодом полураспада, слабой адсорбцией и повышенной миграцией в минеральных средах. Радионуклиды Mo представляет особый интерес в связи с тем, что 99Mo используется в качестве прекурсора 99mTc, а 93Mo является продуктом активации отработавшего ядерного топлива [1, 2]. На выделение этих радионуклидов обращают внимание при оценке безопасности геологического захоронения высокоактивных радиоактивных отходов [3]. Среди радионуклидов, рекомендованных МАГАТЭ для применения в качестве радиофармпрепаратов, значительное место занимают анион-образующие радионуклиды – 71As(71Ge), 71Ge, 77Br, 80mBr, 103Ru(103mRh), 119Sb, 119mTe(119Sb) [4]. Некоторые элементы, такие как вольфрам в форме вольфрамат-ионов, обладают высокой токсичностью при попадании в почву и воду на уровне микроконцентраций [5]. Извлечение этих элементов из водных растворов в форме анионов и их иммобилизация требуют использования сорбентов с высокой специфичностью к анионам в реакциях соосаждения, ионного обмена, поверхностного комплексообразования, экстракции [6].
К сорбентам широкого спектра действия, способным извлекать группы радионуклидов-анионов, относят активированные угли [7]. Созданные в качестве универсальных адсорбентов газов, активированные угли используют в качестве структурного мотива во многих нанодисперсных сорбентах очистки водных растворов от ионов тяжелых металлов: Cr(VI), Pb(II), Cd(II), Ni(II), Eu(III), Cm(III), U(VI) и др. [8–13]. Специальные сорта активированного угля обнаруживают сильное сродство к анионам 75Se, 129I, 99Tc, 79Se, 36Cl, 93Mo, причем наибольшим сродством обладают анионы Cr(VI) [14]. Эффективными сорбентами для анионов SeO3 2–, SeO4 2–, CrO4 2–, AsO4 3– являются оксигидраты Fe2O3·nH2O, Al2O3·nH2O [15], а ионы Cr(VI), Mo(VI), W(VI), IO3 –, S2O3 2– с высоким коэффициентом распределения сорбируются оксидами марганца(IV) [16]. Отмечается селективность в сорбции анионов разной валентности. Так, анионы SeO3 2– адсорбируются многими оксидами d-, f-металлов сильнее, чем SeO4 2–. Анионы As(III) адсорбируются на оксиде железа слабее, чем As(V) [17]. Алюмосиликаты способны реагировать как с катионами, так и с анионами микроэлементов в растворах. Их сорбционные свойства по отношению к анионным формам на порядки слабее в сравнении с катионами [18]. Тем не менее, алюмосиликаты и природные глины способны быть естественными сорбционными барьерами и регуляторами миграции анионных форм радионуклидов в водных растворах [19].
Большой интерес в ряду неорганических сорбционных материалов представляют оксиды алюминия благодаря своей высокой сорбционной специфичности (высоким коэффициентам распределения, Kd) к многозарядным ионам в растворах и своим амфотерным свойствам. Сорбенты на основе оксида алюминия применяют для выделения из растворов как катионов, так и анионов. Высокая удельная поверхность и сродство к анионам As(III,V), P(V), Se(IV,VI), F–, низкая себестоимость и простота применения делает оксид алюминия одним из привлекательных сорбентов в своем классе для выделения токсичных микроэлементов из водных сред [20], иммобилизации делящихся и радиоактивных материалов для последующей долговременной выдержки [21]. В обзоре [22] изложены результаты исследования сорбентов на основе нанодисперсных форм оксида алюминия, оценен потенциал и перспективы их использования для очистки воды от различных загрязнителей, приводятся сведения о составе, условиях синтеза сорбентов и механизмах сорбции катионов и анионов. Авторы работы [22] подчеркивают отсутствие в настоящее время обобщающих представлений о реакционной способности оксида алюминия в нанодисперсном состоянии. Примеры использования ультрадисперсного оксида алюминия в качестве сорбента можно найти в работах [23–26].
Переход к созданию ультрадисперсных сорбционных материалов позволяет объединять сорбционные свойства графеноподобного углерода и оксида алюминия в одном композите [27–29]. Этот подход реализован в работах [30, 31], где представлен новый способ синтеза композитного материалов Al2O3||C, обладающий преимуществами технологической простоты, экономичности и возможностью масштабирования. Сорбционные характеристики такого композита по отношению к катионам лантанидов и актинидов показали существенные преимущества в сравнении с известными оксидными и углеродными сорбентами по величине Kd и диапазону рН использования композита при сорбции катионов [27–33]. С учетом литературных данных по анионной сорбционной функции оксидов алюминия и экономического интереса к сорбентам коллективного действия, способным извлекать как катионы, так и анионы радионуклидов/микроэлементов из технологических и природных водных растворов, интересно оценить характеристики композита Al2O3||C в качестве сорбента анионных форм микроэлементов/радионуклидов. Цель исследования состояла в установлении методами статики сорбции равновесных сорбционных характеристик композита Al2O3||C по отношению к представительной группе кислородных анионов Cr(VI), Mo(VI), W(VI), Se(IV) в области химической устойчивости композита, оценке механизма сорбции анионов и перспектив применения данного композита в качестве сорбента коллективного действия для дезактивации водных сред от токсичных микроэлементов/радионуклидов.
ЭКСПЕРИМЕНТАЛЬНАЯ ЧАСТЬ
Синтез композита Al2O3||C осуществляли термическим разложением прекурсора – продукта термообработки раствора нитрата алюминия Al(NO3)3·9H2O в этиленгликоле [30, 31]. Полученный раствор нагревали при 120°C до образования сначала вязкой массы, а затем белого порошка прекурсора. Композит общего состава Al2O3||C получали нагревом прекурсора в атмосфере гелия при 700°C в течение часа. Согласно данным элементного и термогравиметрического анализа, полученный композит содержит 23.6 мас% свободного углерода. По данным сканирующей электронной микроскопии, продукт состоял из сферических агрегатов с размером 100–150 нм. Агрегаты собраны из однородных частиц без выраженных границ раздела фаз [32]. Удельная поверхность синтезированного композита составляла 40.0 м2/г (БЭТ), кумулятивный объем пор с диаметром от 17.0 до 3000.0 Å – 0.37 см³/г, средний размер пор по данным БЭТ – 401 Å, что характерно для мезопористых сорбентов.
Статику и кинетику сорбции анионов Cr(VI), Mo(VI), W(VI), Se(IV) изучали на образцах рентгеноаморфного композита, нагретого в атмосфере гелия до 700°C в течение часа. В экспериментах варьировали рН и равновесную концентрацию аниона в растворе. Зета-потенциал композита в суспензии раствора при различных значениях рН измеряли методом лазерного допплеровского электрофореза на анализаторе Zetasizer Nano ZS (Malvern Panalytical Ltd.).
Сорбционную активность синтезированного материала исследовали методом ограниченного объема по отношению к выбранной группе анионов, химические свойства которых позволяли моделировать условия выделения микроколичеств ионов в радиоактивных технологических и природных растворах низкой активности. Использовали деионизированную воду, поученную на установке Millipore Simplicity. Электролитом служил раствор 0.01 моль/л аналитически чистого NaCl. Выбор рабочего диапазона рН при исследовании сорбции полностью определялся данными по растворимости сорбента [30, 32]. Рабочие растворы с концентрацией элемента 100 мг/л из ГСО готовили внесением в мерную колбу объемом 50 мл аликвоты 5 мл ГСО 7340-96 для Se(IV), ГСО 7834-2000 для Cr(VI), ГСО 9117-2008 для W(VI) и ГСО 7768-2000 для Mo(VI). Затем доводили раствор до метки дистиллированной водой при перемешивании. В стеклянный стакан объемом 200 мл вносили 67 мл 0.01 моль/л NaCl, 3 мл рабочего раствора с концентрацией определяемого элемента 100 мг/л. При скорости перемешивания на магнитной мешалке 500 1/мин в исследуемых растворах устанавливали рН добавлением раствора 0.1 моль/л HCl или 1.9%-ного аммиака с помощью рН-метра И-150 МИ. Отбирали 60 мл раствора для эксперимента. Остальной объем раствора использовали для определения начальной концентрации исследуемого аниона в растворе.
В экспериментах по статике сорбции в серию пластиковых герметичных контейнеров с винтовой пробкой вносили навески 50 мг Al2O3||C и аликвоты 60 мл исследуемого раствора. После перемешивания растворы с сорбентом выдерживали 21 сут для достижения равновесных значений сорбции. Затем растворы фильтровали через бумажный фильтр “синяя лента”, в фильтрате определили массовую концентрацию одного из определяемых микроэлементов [Cr(VI), W(VI), Se(IV), Mo(VI)] методом атомно-эмиссионной спектроскопии (ИСП–АЭС) на спектрометре Optima 8000 (Perkin Elmer). Затем измеряли равновесное значение рН исследуемых растворов.
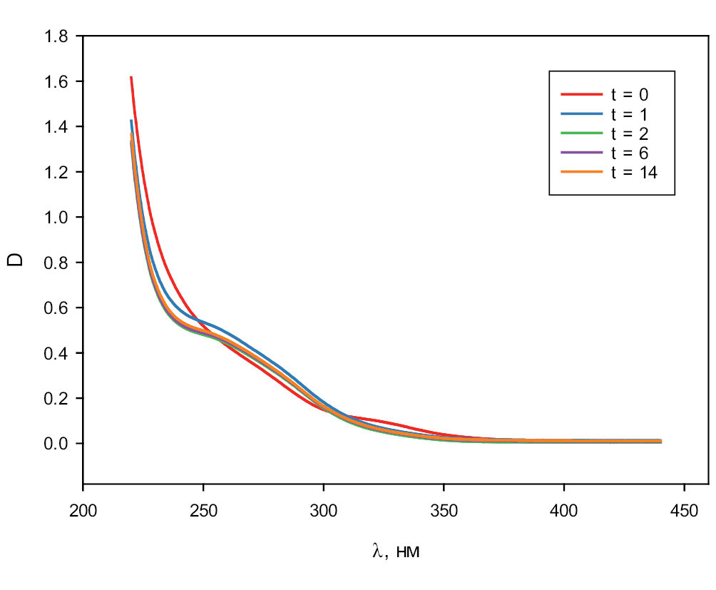
Контроль стабильности физико-химического состояния анионов в растворе вели с помощью записи спектров поглощения и определения оптической плотности исследуемых растворов в области поглощения анионов на спектрофотометре UV-1900i (Shimadzu). Было экспериментально отмечено, что длительная выдержка рабочих растворов в пластиковых контейнерах на свету приводила к слабому изменению спектров поглощения анионов Cr(VI), W(VI). На рис. 1 показан пример спектров поглощения раствора вольфрамата натрия измеренных при разном времени время экспозиции (t) в условиях естественного лабораторного освещения. Полосу поглощения при 300–325 нм относят к переносу заряда в цепочках W–O–W изополивольфрамат-иона(VI) и вместе с полосами при 220 и 264 нм отмечают в растворах как свидетельство образования декавольфрамат-аниона [34–36]. Низкая интенсивность этих полос поглощения при общей концентрации вольфрама в диапазоне 1–10 мкмоль/л говорит об отсутствии заметной доли изополивольфрамат-анионов в исследуемых рабочих растворах в диапазоне рН 6–11 [35–37]. Это согласуется с выводами работы [37] о том, что в водных растворах с концентрацией вольфрамата менее 30 мкмоль/л возможно присутствие только частиц состава HWO4 –, H2WO4, W4O14(OH)2 4–. Учитывая полученные данные и сведения о влиянии внешнего светового облучения растворов вольфраматов на его химическое состояние, мы провели сорбционные эксперименты в двух сериях – при лабораторном освещении (на свету) и без доступа видимого света (в темноте). В случае незначимых (менее 10% измеряемой величины) различий в спектрах поглощения данные двух серий результаты измерения аналитической концентрации металла аниона объединяли в общую статистическую выборку.
Рис. 1. Спектры поглощения раствора Na2WO4–HCl, полученные в процессе хранении раствора на свету в воздушно-сухой атмосфере при разном времени экспозиции t (сут). рН 6.02, начальная концентрация W(VI) 1.0 ммоль/л, NaCl – 0.01 моль/л, температура 23°C, спектры сняты относительно дистиллированной воды.
Для установления закона распределения в экспериментах с переменной концентрацией аниона в растворе в серию пластиковых герметичных контейнеров с пробкой вносили объем V = 60 мл исследуемого раствора, содержащего отдельно анионы Cr(VI), W(VI), Se(IV), Mo(VI) с различной концентрацией при начальном рН раствора 5.0. Затем в контейнеры вносили навески m = 50.0 мг сорбента. Полученные суспензии раствора с сорбента выдерживали на свету/в темноте в течение 21 сут. Затем контейнеры вскрывали, растворы фильтровали через бумажный фильтр, определяли рН раствора и массовую концентрацию элемента аниона методом ИСП–АЭС. По результатам экспериментов вычисляли равновесную концентрацию аниона в растворе (Caq, ммоль/л) и в сорбенте (Cs, ммоль/г), находили их отношение, соответствующее коэффициенту распределения Kd (мл/г) в условиях выполнения закона Генри (степень реализации сорбционной емкости близка к нулю):
. (1)
На рис. 2 приведены изотермы сорбции анионов в исследуемых растворах. В связи с сильным влиянием химической растворимости композитов в кислых средах мы ограничили диапазон изменения кислотности равновесными рН 6.5–7.5.
Рис. 2. Изотермы сорбции анионов композитом Al2O3||C, полученные при переменной концентрации аниона в растворе, уравнения (1), (2). Время экспозиции t = 21 сут. рН 6.5–9.05. 23°С. Посуда – стеклянные стаканы из темного стекла.
РЕЗУЛЬТАТЫ И ИХ ОБСУЖДЕНИЕ
Мы использовали уравнение изотермы Лэнгмюра для монофункционального сорбента в виде
, (2)
где B – параметр сорбционной специфичности (л/ммоль), связанный с сорбционной емкостью композита (Q, ммоль/г). Логарифмическая форма уравнения (2) позволяла оценить область концентрации отдельных анионов, отвечающих закону Генри (1) в условиях эксперимента. Как следует из данных рис. 2, эти условия выполняются, когда концентрация анионов в равновесном растворе менее 1–10 мкмоль/л, справедлива гипотеза о неизменной емкости сорбента в процессе эксперимента и можно вести речь о поверхностном комплексообразовании с участием оксида алюминия без учета его растворимости [38–40].
Влияние химического состава раствора на изменение равновесного состояния ионных и коллоидных частиц из анионов CrO4 2–, MoO4 2–, WO4 2–, SeO3 2– мы оценивали с помощью программы HSC Chemistry 8. Из рассчитанных диаграмм ионных равновесий (рис. 4) следует, что в области химической устойчивости аморфного оксида алюминия композита (pH > 5 [32]) основное участие в сорбции анионов и формировании общего коэффициента распределения (Kd) принимают частицы простого и протонированного анионов. Для W(VI) вклад в общий набор анионов вносят изополианионы состава HW10O21 5–, доминирующие в узком диапазоне рН 4.5–5.5. По другим данным, в выбранной области рН возможно присутствие частиц HWO4 –, H2WO4, W4O14(OH)2 4– [37].
Для моделирования сорбционных процессов мы использовали 2-рK модели поверхностного комплексообразования анионов. Это позволяло учесть весь состав сорбционных центров Al–O–, Al–HO0 и Al–OH2 + с участием молекул химически сорбированной воды [39–47] в предположении нерастворимого сорбента, неизменной структуры, степени заполнения и состава двойного электрического слоя поверхности композита. Изотермы сорбции аниона MOn 2– (CrO4 2–, MoO4 2–, WO4 2–, SeO3 2–) с переменным рН формировали, используя следующие гетерогенные равновесия с образованием внешнесферного комплекса аниона:
, (3)
, (4)
, (5)
,(6)
, (7)
(8)
(9)
Здесь в квадратных скобках указаны мольные концентрации химических компонентов в растворе и в композите (черта сверху), KH,OH – константы протонирования и протолиза функциональных групп композита, KM(1,2) – константы поверхностного комплексообразования анионов, G – сорбционная емкость композита по аниону, K1 – первая константа протонирования аниона в растворе электролита, Mtot – общая концентрация аниона в сорбционной системе, H+ – концентрация водородных ионов в растворе, символы MOn 2–, HMOn– означают состав анионов в растворе, n = 4 (Cr, Mo, W) или 3 (Se). Используя логарифмическую форму уравнения (9), мы оценили параметры модели сорбционного взаимодействия анионов с учетом реакции протонирования. Результаты оценки по методу наименьших квадратов приведены в табл. 1. Линии на рис. 3 у точек представляют собой регрессионные кривые, построенные по результатам моделирования.
Таблица 1. Параметры модели (9) сорбции анионов композитом Al2O3||C по механизму поверхностного комплексообразования. Абсолютная погрешность коэффициентов <45% логарифмической величины. SEE – стандартная погрешность определения, F – отношение дисперсий. lg(KH) = 6.9, log(KOH) = –9.7 [48, 49]
Анион | G,* ммоль/г | lgKM(1) [л/моль] | lgKM(2) [л/моль] | lgKH | lgKOH | F* | lgK1 [л/моль] | lgK1,T [л/моль] | SEE* |
CrO4 2– | 0.355 | 11.8 | 14.8 | 7.9 | –12.0 | 5 | 6.9 | 6.50 | 0.31 |
MoO4 2– | 0.099 | 12.3 | 16.9 | 7.3 | –13.8 | 40 | 4.5 | 3.70 | 0.13 |
WO4 2– | 0.077 | 11.5 | 14.5 | 6.0 | –9.5 | 93 | 0.8 | 4.60 | 0.24 |
SeO3 2– | 0.290 | 15.5 | 13.3 | 9.9 | –5.8 | 22 | 7.90 | 8.50 | 0.34 |
b[0] = 0.88 ± 1.10 | b[1] = 0.94 ± 0.20 | 1.28 | |||||||
Значком (*) отмечены абсолютные значения величин.
Рис. 3. Изотермы сорбции анионов композитом Al2O3||C, полученные на свету и в темноте при переменной концентрации ионов водорода в растворе. Время экспозиции t = 21 сут. 23°С. Посуда – пластиковые герметичные контейнеры.
Рис. 4. Результаты моделирования термодинамических равновесий в исследуемых растворов анионов (программа HSC Chemistry 8). Оси абсцисс – рН, ось ординат – lg(A), где А – равновесная концентрация простых кислородных анионов Cr(VI), Mo(VI), W(VI), Se(IV) в растворе, мкмоль/кг. Равновесные концентрация в сорбционных экспериментах составляли (мкмоль/л): Cr(VI) 0.1–10, Mo(VI) 10–60, W(VI) 0.1–10, Se(IV) 0.01–1.0. Температура 23C.
Подтверждением правильности выбранной модели можно считать совпадение найденных из эксперимента (Y) и термодинамических (X) величин первой константы протонирования аниона K1 по уравнениям (8), (9), рис. 5 и табл. 1.
Рис. 5. Сравнение найденных по уравнению (9) констант протонирования (8) кислородных анионов CrO4 2–, MoO4 2–, WO4 2–, SeO3 2– K1 с термодинамическими величинами первой константы протонирования аниона K1,T [51]. Темная линия – уравнение регрессии, пунктир – границы 90%-ного доверительного интервала.
Из данных табл. 1, 2 мы видим, что константы протонирования и протолиза функциональных групп композита с учетом статистической погрешности оценивания не одинаковы для сорбционных систем с разными по своей природе кислородными анионами. Как отмечено в работе [50], причиной этого может быть присутствие в сорбционной системе фонового электролита, конкурентная сорбция которого изменяет поверхностный потенциал сорбента. Вследствие этого адсорбция противоиона способна влиять на адсорбцию коионов, увеличивая адсорбцию за счет образования ионных пар [50]. При этом вычисленные средние значения констант протонирования и протолиза для анионов с литературными данными для кристаллической g-Al2O3 различаются в значительно меньшей степени (табл. 2).
Таблица 2. Сравнение кислотно-основных параметров модели (9) сорбции анионов композитом Al2O3||C по механизму поверхностного комплексообразования. SEE – стандартная погрешность определения
Оценка по (9) | Среднее | SEE | |
lg(KH) | 8.0 | 1.3 | 6.9 |
lg(KOH) | –10.7 | 3.9 | –9.7 |
Приведенные выше результаты позволяют заключить, что выбранное в экспериментах время экспозиции обеспечивает установление сорбционного равновесия в системе и модель (9) адекватна полученным экспериментальным данным. Влияние степени освещенности раствора на состояние ионов в первом приближении можно не учитывать. Результаты моделирования говорят о том, что механизм сорбционного взаимодействия анионов с сорбционными центрами композита осуществляется при участии протона в виде протонированного аниона (рис. 6). Это взаимодействие определяется соотношением кислотно-основных свойств центра и аниона (рис. 6, 7). На нейтральных центрах {–SOH0} константы поверхностного комплексообразования анионов возрастают по мере ослабления силы кислоты сорбируемого аниона и увеличения константы протонирования аниона K1 (рис. 6). На основных центрах {–SO–} наблюдается противоположная картина: наибольшее сродство к центру проявляют анионы с наименьшей константой протонирования аниона K1, т.е. анионы более сильных кислот: MoO4 2–, WO4 2–.
Рис. 6. Соотношение кислотно-основных свойств сорбционных центров (–SOH0), (–SO–) композита KM(1,2) и константы протонирования аниона K1.
Рис. 7. а – Пример соотношения кислотно-основных центров (–SOHn) композита Al2O3||C в зависимости от рН по результатам моделирования сорбции анионов CrO4 2– с концентрацией 0.1–10 мкмоль/л, t = 21 сут. б – Зависимость ζ-потенциала суспензии композит Al2O3||C–раствор NaCl от рН при 23°С. pH(in) – начальный рН раствора, pH(f) – рН раствора к времени t.
Одним из показателей коллоидно-химической активности частиц композита, характеризующих его кислотно-основные свойства, служит величина поверхностного заряда частиц и ее изменение с рН. Поверхностный заряд для всех кристаллических форм оксида алюминия изменяется с рН единообразно [44, 46]: ниже рН изоэлектрической точки (α-Al2O3 8.4–9.4, g-Al2O3 7.8–9.7) наблюдается компенсация поверхностного заряда за счет адсорбции протонов, и эти процессы сопровождаются началом растворения поверхности оксида алюминия [30, 39, 40]. На рис. 7 приведены изотермы зависимости z-потенциала частиц композита от рН раствора электролита, полученные для различного времени экспозиции суспензии. Видно, что время контакта раствор–сорбент играет существенную роль как в величине электрокинетического потенциала, так и зависимости его от рН. Из данных рис. 7 следует, что процессы установления гетерогенных равновесий с участием поверхности композита завершаются на 21-е сутки, и z-потенциал приближается к нулю в области рН преобладания нейтральных сорбционных центров Al–OH0.
В целом полученные результаты показывают высокое сорбционное сродство композита ко всей группе исследуемых анионов. Наибольшее значение Kd обнаружено для анионов Se(IV) и W(VI) (рис. 2, 3). Область сорбции Генри для этих анионов находится при концентрациях менее 1 мкмоль/л. Особое поведение W(VI) проявляется в стремлении к образованию анионов изополикислот даже при предельно низких концентрациях. Это способствует увеличению коэффициента распределения W(VI) в области рН 5–6 (рис. 2), а также росту времени, необходимого для установления зарядового и сорбционного равновесия в системе. При сравнении величины Kd для сорбции W(VI) исследуемым композитом с данными для кристаллов g-Al2O3 [33] видно, что композит проявляет на порядок большее сорбционное сродство к анионам MOn 2– (CrO4 2–, MoO4 2–, WO4 2–, SeO3 2–). Таким образом, данный композит можно отнести к сорбентам коллективного действия, способным эффективно концентрировать из разбавленных растворов как катионы d-, f-элементов [13, 32], так и кислородные анионы d-элементов.
ФИНАНСИРОВАНИЕ РАБОТЫ
Работа выполнена по планам бюджетных тем 124020600007-8 и FUWF-2024-0012.
КОНФЛИКТ ИНТЕРЕСОВ
Авторы заявляют об отсутствии конфликта интересов.
Об авторах
Е. В. Поляков
Институт химии твердого тела Уральского отделения РАН
Автор, ответственный за переписку.
Email: polyakov@ihim.uran.ru
Россия, 620108, Екатеринбург, ул. Первомайская, д. 91
В. Н. Красильников
Институт химии твердого тела Уральского отделения РАН
Email: polyakov@ihim.uran.ru
Россия, 620108, Екатеринбург, ул. Первомайская, д. 91
И. В. Волков
Институт химии твердого тела Уральского отделения РАН
Email: polyakov@ihim.uran.ru
Россия, 620108, Екатеринбург, ул. Первомайская, д. 91
А. А. Иошин
Институт химии твердого тела Уральского отделения РАН
Email: polyakov@ihim.uran.ru
Россия, 620108, Екатеринбург, ул. Первомайская, д. 91
Список литературы
- Москвин Л.Н., Гумеров М.Ф., Ефимов А.А., Красноперов В.М., Леорнтьев Г.Г., Мельников В.А. // Методы химического и радиохимического контроля в ядерной энергетике. Сб. статей / Под ред. Л.Н. Москвина. М.: Энергоатомиздат, 1989. С. 264.
- Marty N.C.M., Grangeon S., Elkaïm E., Tournassat Ch., Fauchet C., Claret F. // Sci. Rep. 2018. Vol. 8. P. 7943.
- Zhang H., Wang J., Wu W., Luo M., Hua R., Zhou Zh., Ling H. // J. Radioanal. Nucl. Chem. 2024. Vol. 333. P. 2273.
- Tárkányi F., Hermanne A., Ignatyuk A.V., Ditrói F., Takács S., Capote Noy R. // J. Radioanal. Nucl. Chem. 2024. Vol. 333. P. 717.
- Koutsospyros A., Braida W., Christodoulatos C., Dermatas D., Strigul N. // J. Hazard. Mater. 2006. Vol. 136. P. 1.
- Вольхин В.В., Егоров Ю.В., Белинская Ф.А., Бойчинова Е.С., Малофеев Г.Н. // Неорганические сорбенты: Сб. статей / Под ред. М.М. Сенявина. М.: Наука, 1981. 271 с.
- Зелинский Н.Д., Садиков В.С. Уголь, как средство борьбы с удушающими и ядовитыми газами: Экспериментальное исследование 1915–1916 гг. М.: АН СССР, 1941. 131 с.
- Wei X., Huang T., Yang J.H., Zhang N., Wang Y., Zhou Z.W. // J. Hazard. Mater. 2017. Vol. 335. P. 28.
- Erto A., Giraldo L., Lancia A., Moreno-Pirajan J.C. // Water Air Soil Pollut. 2013. Vol. 224. P. 1531.
- Abdel Salam O.E., Reiad N.A., ElShafei M.M. // J. Adv. Res. 2011. Vol. 2. P. 297.
- Salam M.A. // Int. J. Environ. Sci. Technol. 2013. Vol. 10. P. 677–688.
- Yamaguchi D., Furukawa K., Takasuga M., Watanabe K. // Sci. Rep. 2014. Vol. 4. P. 6053.
- Krasil’nikov V.N., Linnikov O.D., Gyrdasova О.I., Rodina I.V., Tyutyunnik А.P., Baklanova I.V., Polyakov E.V., Khlebnikov N.А., Tarakina N.V. // Solid State Sci. 2020. Vol. 108. ID 106429.
- Elgazzar A.H., Mahmoud M.S.A., El Sayed A.A., Saad E.A. // J. Radioanal. Nucl. Chem. 2020. Vol. 326. P. 1733–1748.
- Benjamin M.M., Bloom N.S. // Adsorption from Aqueous Solutions / Ed. P.H. Tewari. New York: Plenum, 1981. P. 41.
- Bhutani M.M., Mitra A.K., Kumari R. // Microchim. Acta. 1992. Vol. 107. P. 19.
- Yu T., Liu B., Liu J. // J. Anal. Test. 2017. Vol. 1. P. 2.
- Hou Z., Shi K., Wang X., Ye Y., Guo Zh., Wangsuo W. // J. Radioanal. Nucl. Chem. 2015. Vol. 303. P. 25.
- Fan Q., Li P., Pan D. // Interface Sci. Technol. 2020. Vol. 29. P. 1.
- Kumar E., Bhatnagar A., Hogland W., Marques M., Sillanpää M. // Chem. Eng. J. 2014. Vol. 241. P. 443.
- Кулемин В.В., Красавина Е.П., Горбачева М.П., Румер И.А., Бессонов А.А., Крапухин В.Б., Кулюхин С.А. // Радиохимия. 2021. Т. 63. № 5. С. 484.
- Islam M.A., Morton D.W., Johnson B.B., Pramanik B.K., Mainali B., Angove M.J. // J. Environ. Chem. Eng. 2018. Vol. 6. P. 6853.
- Poursani A.S., Nilchi A., Hassani A.H., Shariat M., Nouri J. // Int. J. Environ. Sci. Technol. 2015. Vol. 12. P. 2003.
- Tabesh S., Davar F., Loghman-Estarki M.R. // J. Alloys Compd. 2018. Vol. 730. P. 441.
- Yu J., Bai H., Wang J., Li Z., Jiao C., Liu Q., Zhanga M., Liu L. // New J. Chem. 2013. Vol. 37. P. 366.
- Huang S., Pang H., Li L., Jiang S., Wen T., Zhuang L., Hu B., Wang X. // Chem. Eng. J. 2018. Vol. 353. P. 157.
- Yang W., Tang Q., Wei J., Ran Y., Chai L., Wang H. // Appl. Surf. Sci. 2016. Vol. 396. P. 215.
- Chen H., Luo J., Wang X., Liang X., Zhao Y., Yang C., Baikenov M.I., Su X. // Micropor. Mesopor. Mater. 2018. Vol. 255. P. 69.
- Yao W., Wang X., Liang Y., Yu S., Gu P., Sun Y., Xu C., Chen J., Hayat T., Alsaedi A., Wang X. // Chem. Eng. 2018. Vol. 332. P. 775–786.
- Krasil’nikov V.N., Baklanova I.V., Polyakov E.V., Volkov I.V., Khlebnikov A.N., Tyutyunnik A.P., Tarakina N.V. // Inorg. Chem. Commun. 2022. Vol. 138. ID 109313.
- Поляков Е.В., Красильников В.Н., Волков И.В. Патент RU 2774876 C1, приоритет от 12.08.2021. Опубл. 23.06.2022 // Б.И. 2022. № 18.
- Поляков Е.В., Волков И.В., Красильников В.Н., Иошин А.А. // Радиохимия. 2023. Т. 65. № 1. С. 70.
- Khalid M., Mushtaq A., Iqbal M.Z. // Sep. Sci. Technol. 2001. Vol. 36. N 2. P. 283.
- Kantcheva M., Koz C. // J. Mater. Sci. 2007. Vol. 42. P. 6074.
- Chemseddine A., Sanchez C., Livage J., Launay J.P., Fournieric M. // Inorg. Chem. 1984. Vol. 23. N 17. P. 2609.
- Пойманова Е.Ю., Розанцев Г.М., Белоусова Е.Е., Чунтук Е.С. // Вісн. Донецьк. нац. унів. Сер. А: Природн. науки. 2014. Т. 2. С. 126.
- Загальская Е.Ю., Розанцев Г.М., Радио С.В. // Наук. праці ДонНТУ. Сер.: Хімія і хім. технологія. 2010. Т. 14. С. 40.
- Goldberg S. // Soil Sci. 2010. Vol. 175. № 3. P. 105.
- Davis J.A., James R.O., Leckie J.O. // J. Colloid Interface Sci. 1978. Vol. 63. № 3. P. 480.
- Davis J.A., Leckie J.O. // J. Colloid Interface Sci. 1978. Vol. 67. N 1. P. 90.
- Zhang L., Li Y., Guo H., Zhang H., Zhang N., Hayat T., Sun Y. // Environ. Pollut. 2019. Vol. 248. P. 332.
- Bolt G.H., De Beodt M.F., Hayes M.H.B., McBride M.B. Interactions at the Soil Colloid–Soil Solution Interface. Ghent: Springer Science + Business Media, 1991. 602 p.
- Marmier N., Dumonceau J., Fromage F. // J. Contam. Hydrol. 1997. Vol. 26. P. 159–167.
- Huang Sh., Pang H., Li L., Jiang Sh., Wang X. // Chem. Eng. J. 2018. Vol. 3531. P. 157.
- Tan X., Ren X., Li J., Wang X. // Surfaces. RSC Adv. 2013. Vol. 3. P. 19551.
- Kasprzyk-Hordern B. // Adv. Colloid Interface Sci. 2004. Vol. 110. P. 19.
- Yiacoumi S., Tien Ch. Kinetics of Metal Ion Adsorption from Aqueous Solutions. Models, Algorithms, and Applications. New York: Springer Science + Business Media, 1995. 221 p.
- Missana T., Garcıa-Gutierrez M. // Phys. Chem. Earth. 2007. Vol. 32. P. 559.
- Mayordomo N., Alonso U., Missana T. // Appl. Geochem. 2019. Vol. 100. P. 121.
- Tewari P.H. Proc. Symp. on Adsorption from Aqueous Solutions. Meet. of the Am. Chem. Soc., Division of Colloid and Surface Chemistry (Houston, Texas). New York: Plenum, 1980. 248 p.
- Kotrly S., Sucha L. Handbook of Chemical Equilibria in Analytical Chemistry. Chichester: Horwood, 1985. 252 p.
Дополнительные файлы









