Investigation of superconducting transmission lines and tunnel junctions for detecting signals at frequencies above 1 THz.
- Authors: Kinev N.V.1, Chekushkin A.M.1, Khan F.V.1, Rudakov K.I.2
-
Affiliations:
- Kotelnikov Institute of Radioengineering and Electronics, Russian Academy of Sciences
- Editorial Ofice of the journal “Radio Engineering and Electronics”
- Issue: Vol 68, No 9 (2023)
- Pages: 858-863
- Section: К 70-ЛЕТИЮ ИРЭ ИМ. В.А. КОТЕЛЬНИКОВА РАН
- URL: https://medbiosci.ru/0033-8494/article/view/138401
- DOI: https://doi.org/10.31857/S0033849423090127
- EDN: https://elibrary.ru/SCRCTR
- ID: 138401
Cite item
Full Text
Abstract
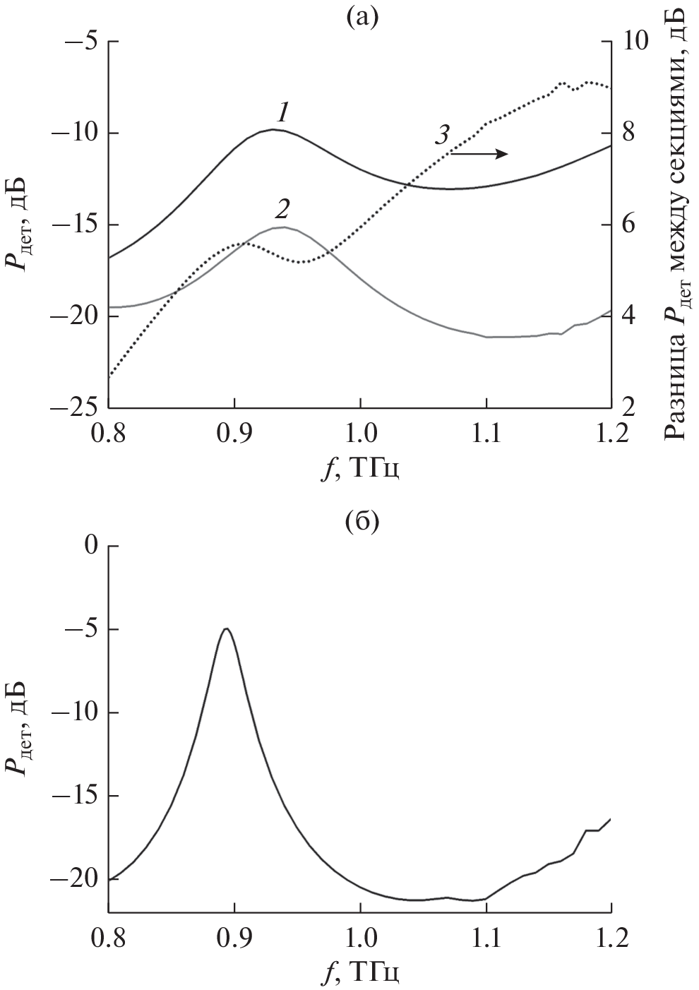
Superconducting integrated circuits based on NbTiN/Al transmission lines at frequencies up to 1.1 THz have been developed and experimentally studied. Numerical modeling of two microcircuit topologies with an operating frequency range of 0.9…1.2 THz, containing a slot antenna, made in a thin NbTiN film and matched in output to a microstrip transmission line, and a tunnel junction of the “superconductor–insulator–superconductor” (SIS) type with an area of the order of 1 μm^2, acting as a terahertz detector. Experimental samples of the microcircuit were manufactured and tested; in the experimental setup, a backward wave lamp (BWL) with an output frequency of up to 1.1 THz was used as a source. A powerful pumping of the SIS detector was obtained, thereby demonstrating the applicability of the manufactured NbTiN/Al transmission lines for operation in superconducting circuits at frequencies above 750 GHz, where traditionally used Nb/Nb transmission lines do not operate due to high attenuation.
About the authors
N. V. Kinev
Kotelnikov Institute of Radioengineering and Electronics, Russian Academy of Sciences
Email: nickolay@hitech.cplire.ru
Moscow, 125009 Russia
A. M. Chekushkin
Kotelnikov Institute of Radioengineering and Electronics, Russian Academy of Sciences
Email: nickolay@hitech.cplire.ru
Moscow, 125009 Russia
F. V. Khan
Kotelnikov Institute of Radioengineering and Electronics, Russian Academy of Sciences
Email: nickolay@hitech.cplire.ru
Moscow, 125009 Russia
K. I. Rudakov
Editorial Ofice of the journal “Radio Engineering and Electronics”
Author for correspondence.
Email: nickolay@hitech.cplire.ru
Moscow, 125009 Russia
References
- Terahertz Spectroscopy: Principles and Applications / Ed. by S.L. Dexheimer. Boca Raton: CRC Press, 2008. https://doi.org/10.1201/9781420007701
- Plusquellic D.F., Siegrist K., Heilweil E.J., Esenturk O. // ChemPhysChem. 2007. V. 8. № 17. P. 2412. https://doi.org/10.1002/cphc.200700332
- Davies A.G., Burnett A.D., Fan W. et al. // Mater. Today. 2008. V. 11. № 3. P. 18. https://doi.org/10.1016/S1369-7021(08)70016-6
- Tucker J.R., Feldman M.J. // Rev. Mod. Phys. 1985. V. 57. № 4. P. 1055. https://doi.org/10.1103/RevModPhys.57.1055
- Vettoliere A., Satariano R., Ferraiuolo R. et al. // Nanomaterials. 2022. V. 12. № 23. P. 4155. https://doi.org/10.3390/nano12234155
- Mattis D.C., Bardeen J. // Phys. Rev. 1958. V. 111. № 2. P. 412. https://doi.org/10.1103/PhysRev.111.412
- Kooi J.W., Stern J.A., Chattopadhyay G. et al. // Int. J. Infrared and Millimeter Waves. 1998. V. 19. № 3. P. 373. https://doi.org/10.1023/A:1022595223782
- Jackson B.D. et al. // IEEE Trans. 2001. V. AS-11. № 1. P. 653. https://doi.org/10.1109/77.919429
- Kerr A.R., Pan S.K. // Int. J. Infrared and Millimeter Waves. 1990. V. 11. № 10. P. 1169. https://doi.org/10.1007/BF01014738
- Belitsky V., Risacher C., Pantaleev M., Vassilev V. // Int. J. Infrared and Millimeter Waves. 2006. V. 27. № 1. P. 809. https://doi.org/10.1007/s10762-006-9116-5
- Khudchenko A., Lap B.N.R., Rudakov K.I. et al. // IEEE Trans. 2022. V. AS-32. № 4. P. 1500506. https://doi.org/10.1109/TASC.2022.3147736
- Dmitriev P.N., Lapitskaya I.L., Filippenko L.V. et al. // IEEE Trans. 2003. V. AS-13. № 2. P. 107. https://doi.org/10.1109/TASC.2003.813657
- Khudchenko A., Baryshev A.M., Rudakov K.I. et al. // IEEE Trans. 2016. V. TST-6. № 1. P. 127. https://doi.org/10.1109/TTHZ.2015.2504783
- Fominsky M.Yu., Filippenko L.V., Chekushkin A.M. et al. // Electronics. 2021. V. 10. № 23. P. 2944. https://doi.org/10.3390/electronics10232944
- Чекушкин А.М., Филиппенко Л.В., Фоминский М.Ю., Кошелец В.П. // ФТТ. 2022. Т. 64. № 10. С. 1399.
- Grimes C.C., Shapiro S. // Phys. Rev. 1968. V. 169. № 2. P. 397. https://doi.org/10.1103/PhysRev.169.397
Supplementary files








