Спиновое магнетосопротивление тонкопленочных структур из манганита и материала с сильным спин-орбитальным взаимодействием
- Авторы: Ульев Г.Д.1,2, Константинян К.И.1, Москаль И.Е.2, Овсянников Г.А.1, Шадрин А.В.1,3
-
Учреждения:
- Институт радиотехники и электроники им. В.А. Котельникова РАН
- Национальный исследовательский университет “Высшая школа экономики”
- Московский физико-технический институт (национальный исследовательский университет)
- Выпуск: Том 68, № 10 (2023)
- Страницы: 984-988
- Раздел: НАНОЭЛЕКТРОНИКА
- URL: https://medbiosci.ru/0033-8494/article/view/232582
- DOI: https://doi.org/10.31857/S0033849423100194
- EDN: https://elibrary.ru/DMYCRX
- ID: 232582
Цитировать
Полный текст
Аннотация
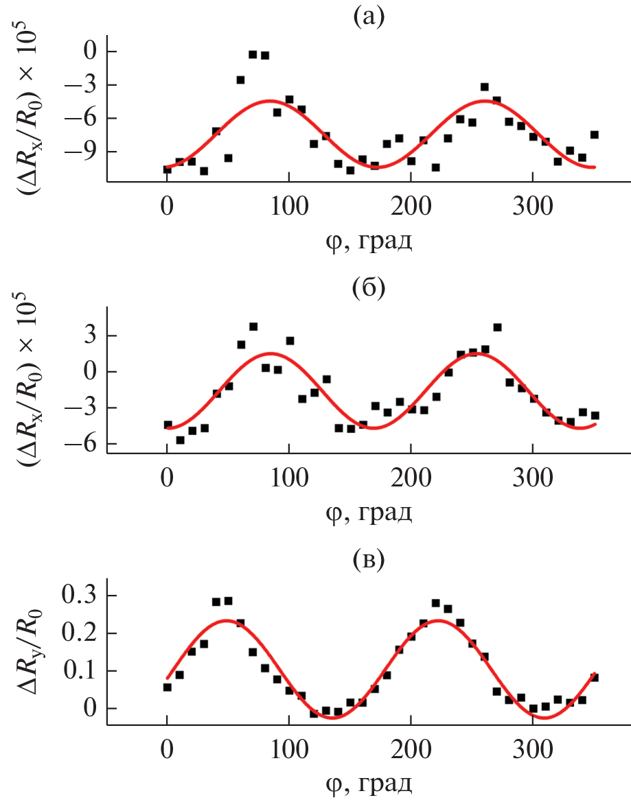
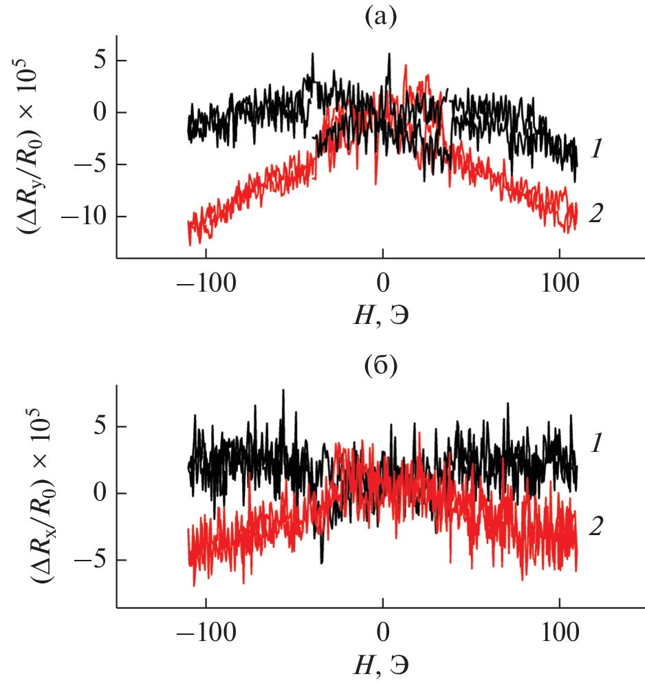
Представлены результаты экспериментального определения спинового угла Холла в двухслойной структуре металл/ферромагнетик Pt/La0.7Sr0.3MnO3, полученные из угловых зависимостей продольного и поперечного спинового магнетосопротивления в конфигурации планарного эффекта Холла. Определенная из продольного магнетосопротивления величина спинового угла Холла составила θHx ≈ 0.016, а из поперечного θHy ≈ 0.018, в то время как для гетероструктур SrIrO3/La0.7Sr0.3MnO3 отношение величин поперечного спинового угла Холла к продольному оказалось значительно выше, θHy/θHx ≈ 9, что вызвано, скорее всего, образованием слоя с высокой проводимостью на границе SrIrO3/La0.7Sr0.3MnO3.
Об авторах
Г. Д. Ульев
Институт радиотехники и электроники им. В.А. Котельникова РАН; Национальный исследовательский университет “Высшая школа экономики”
Email: gdulev@edu.hse.ru
Российская Федерация, 125009, Москва, ул. Моховая, 11, стр. 7; Российская Федерация, 101000, Москва, ул. Мясницкая, 20
К. И. Константинян
Институт радиотехники и электроники им. В.А. Котельникова РАН
Email: gdulev@edu.hse.ru
Российская Федерация, 125009, Москва, ул. Моховая, 11, стр. 7
И. Е. Москаль
Национальный исследовательский университет “Высшая школа экономики”
Email: gdulev@edu.hse.ru
Российская Федерация, 101000, Москва, ул. Мясницкая, 20
Г. А. Овсянников
Институт радиотехники и электроники им. В.А. Котельникова РАН
Email: gdulev@edu.hse.ru
Российская Федерация, 125009, Москва, ул. Моховая, 11, стр. 7
А. В. Шадрин
Институт радиотехники и электроники им. В.А. Котельникова РАН; Московский физико-технический институт (национальный исследовательский университет)
Автор, ответственный за переписку.
Email: gdulev@edu.hse.ru
Российская Федерация, 125009, Москва, ул. Моховая, 11, стр. 7; Российская Федерация, 141701, Московской обл., Долгопрудный, Институтский пер., 9
Список литературы
- Hirsch J.E. // Phys. Rev. Lett. 1999. V. 83. № 9. P. 1834.
- Zhang S.F. // Phys. Rev. Lett. 2000. V. 85. № 2. P. 393.
- Miron I.M., Garello K., Gaudin G. et al. // Nature. 2011. V. 476. P. 189.
- Jungwirth T., Wunderlich J., Olejn K. et al. // Nat. Mater. 2012. V. 11. P. 382.
- Sinova J., Valenzuela S.O., Wunderlich J. et al. // Rev. Mod. Phys. 2015. V. 87. P. 1213.
- Chen Y.-T., Takahashi S., Nakayama H. et al. // J. Phys.: Condens. Matt. 2016. V. 28. № 10. Article No. 103004.
- Saitoh E., Ueda M., Miyajima H., Tatara S. // Appl. Phys. Let. 2006. V. 88. № 18. Article No. 182509.
- Константинян К.И., Овсянников Г.А., Шадрин А.В. и др. // ФТТ. 2022. Т. 64. № 10. С. 1429.
- Huang X., Sayed S., Mittelstaedt J. et al. // Adv. Mater. 2021. V. 33. Article No. 2008269.
- Yoo M.-W., Tornos J., Sander A. et al. // Nature Comm. 2021. V. 12. P. 3283.
- Perna P., Maccariello D., Ajejas F. et al. //Adv. Funct. Mater. 2017. V. 27. № 17. Article No. 1700664.
- Ovsyannikov G.A., Shaikhulov T.A., Stankevich K.L. et al. // Phys. Rev. B 2020. V. 102. № 14. Article No. 144401.
- Lee H.K., Barsukov I., Swartz A.G. et al. // AIP Advances. 2016. V. 6. № 5. Article No. 055212.
- Овсянников Г.А., Константинян К.И, Калачев Е.А., Климов А.А. // Письма в ЖТФ. 2022. Т. 48. № 12. С. 44.
- Tserkovnyak Ya., Brataas A., Bauer G.E.W. // Phys. Rev. Lett. 2002. V. 88. № 11. Article No. 117601.
- Dubowik J., Graczyk P., Krysztofik A. et al. // Phys. Rev. Appl. 2020. V. 13. № 5. Article No. 054011.
- Wang Y., Deorani P., Qiu X. et al. // Appl. Phys. Lett. 2014. V. 105. № 15. Article No. 152412.
- Nan T., Anderson T.J., Gibbons J. et al. // Proc. Nat. Acad. Sci. USA. 2019. V. 116. P. 6186.
- Marmion S.R., Ali M., McLaren M. et al. // Phys. Rev. B. 2014. V. 89. № 22. Article No. 220404(R).
- Константинян К.И., Ульев Г.Д., Овсянников Г.А. и др. // Труды XXVII Междунар. cимп. “Нанофизика и наноэлектроника”. Н. Новгород: ИПФ РАН, 2023. Т. 1. С. 221.
Дополнительные файлы








