Эмпирическая оценка переходной характеристики апертурной антенны при ее возбуждении видеоимпульсом
- Авторы: Осташев В.Е.1, Ульянов А.В.1
-
Учреждения:
- Объединенный институт высоких температур РАН
- Выпуск: Том 68, № 12 (2023)
- Страницы: 1149-1158
- Раздел: ЭЛЕКТРОДИНАМИКА И РАСПРОСТРАНЕНИЕ РАДИОВОЛН
- URL: https://medbiosci.ru/0033-8494/article/view/243605
- DOI: https://doi.org/10.31857/S0033849423110074
- EDN: https://elibrary.ru/AWCBYE
- ID: 243605
Цитировать
Полный текст
Аннотация
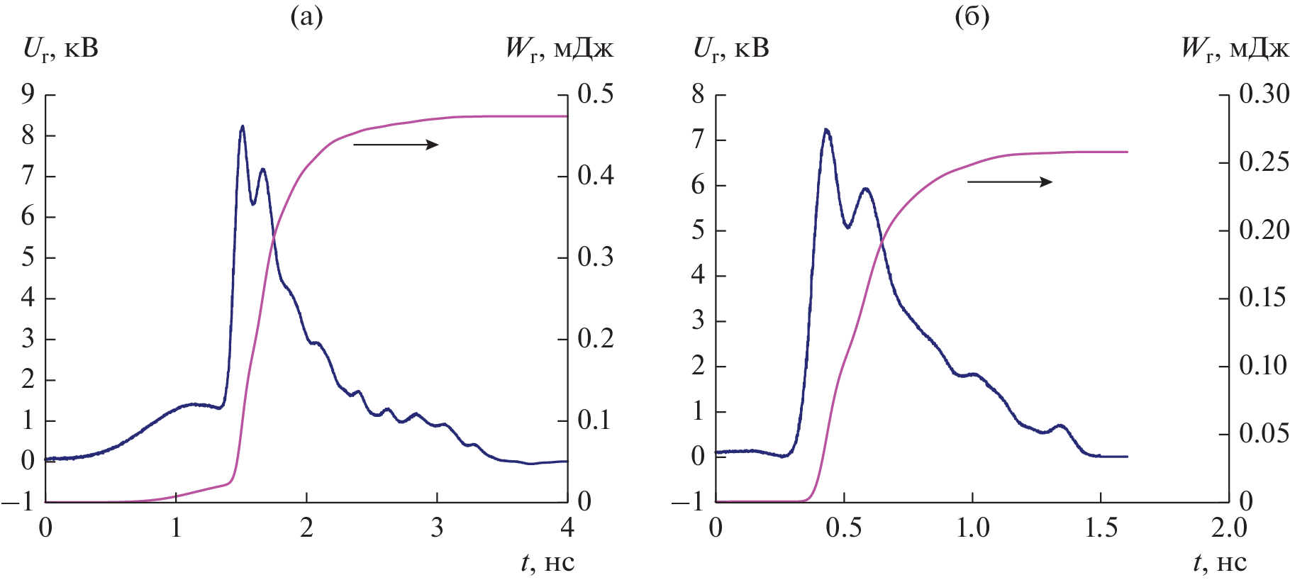
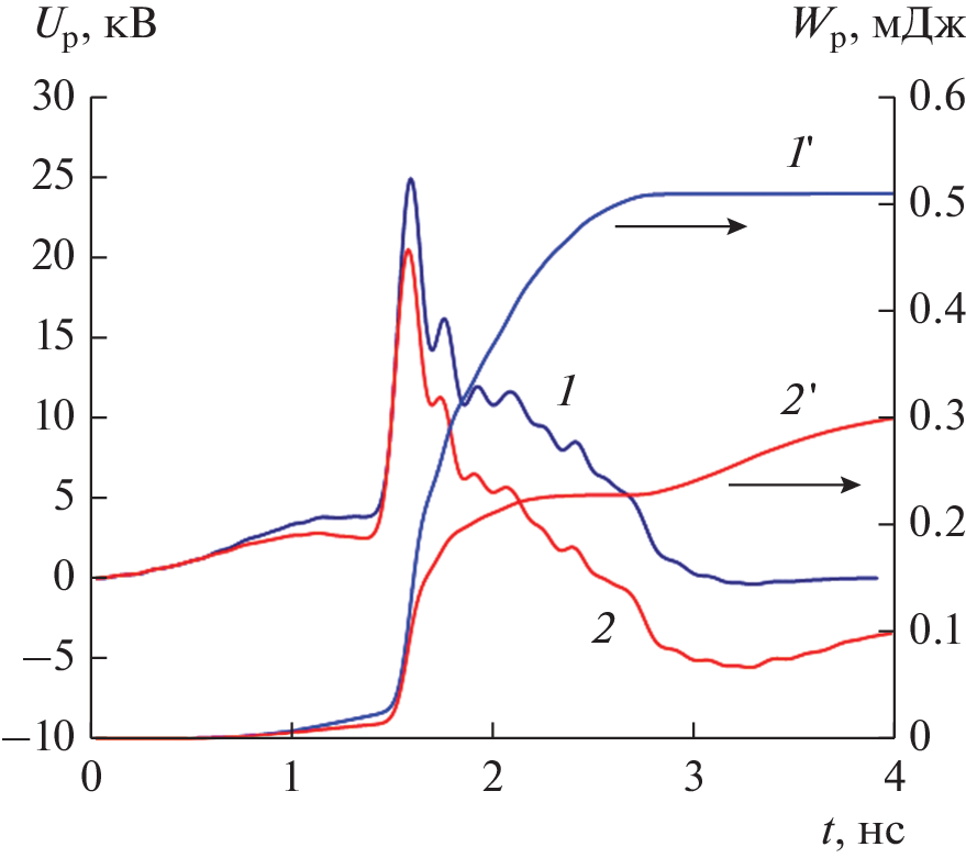
Предложена методика эмпирической оценки переходной характеристики антенны апертурного типа при ее возбуждении видеоимпульсом. Оценка проведена на основе сравнения напряжения возбуждения антенны и напряжения возбуждения излучающего раскрыва, которое вычислено по параметрам излученного импульса. Дана оценка энергетической эффективности заданной антенны как преобразователя электрической энергии в энергию излучения при вариации длины антенны, длительности и формы импульса ее возбуждения.
Об авторах
В. Е. Осташев
Объединенный институт высоких температур РАН
Автор, ответственный за переписку.
Email: ostashev@ihed.ras.ru
Российская Федерация, 125412, Москва, Ижорская ул., 13, стр. 2
А. В. Ульянов
Объединенный институт высоких температур РАН
Email: ostashev@ihed.ras.ru
Российская Федерация, 125412, Москва, Ижорская ул., 13, стр. 2
Список литературы
- Марков Г.Т., Сазонов Д.М. Антенны. М.: Энергия, 1975.
- Бобрешов А.М., Мещеряков И.И., Усков Г.К. // РЭ. 2012. Т. 57. № 3. С. 320.
- Бобрешов А.М., Мещеряков И.И., Усков Г.К. // РЭ. 2013. Т. 58. № 3. С. 233.
- Ефимова Н.А., Калошин В.А. // РЭ. 2014. Т. 59. № 1. С. 60.
- Калошин В.А., Нгуен К.З., Нгуен Х.Ш. // Журн. радиоэлектроники. 2015. Т. 60. № 10. http://jre.cplire.ru/jre/oct15/2/text.pdf.
- Осташев В.Е., Ульянов А.В., Федоров В.М. // РЭ. 2020. Т. 65. № 3. С. 234.
- Вайнштейн Л.А. Теория дифракции и метод факторизации. М.: Сов. радио, 1966.
- Kaloshin V.A. // Russian J. Math. Phys. 2009. V. 16. № 2. P. 246.
- Lee R.T., Smith G.S. // IEEE Antennas and Propagation Magazine. 2004. V. 46. № 1. P. 86.
- Fedorov V.M., Efanov M.V., Ostashev V.Ye. et al. // Electronics. 2021.10.1011 https://doi.org/10.3390/electronics10091011
- Подосенов С.А., Свекис Я.Г., Соколов А.А. // Измерит. техника. 1994. № 4. С. 45.
- Беличенко В.П., Буянов Ю.И., Кошелев В.И. Сверхширокополосные импульсные радиосистемы. Новосибирск: Наука, 2015.
- Milligan T.A. Modern Antenna Design. Hoboken: John Wiley & Sons, Inc., 2005.
Дополнительные файлы

















