Фононная спектроскопия и особенности низкотемпературной теплоемкости твердых растворов электролитов
- Авторы: Саламатов Е.И.1, Таранов А.В.2, Хазанов Е.Н.2
-
Учреждения:
- Физико-технический институт УдмФИЦ УрО РАН
- Институт радиотехники и электроники им. В.А. Котельникова РАН
- Выпуск: Том 69, № 2 (2024)
- Страницы: 180-186
- Раздел: РАДИОФИЗИЧЕСКИЕ ЯВЛЕНИЯ В ТВЕРДОМ ТЕЛЕ И ПЛАЗМЕ
- URL: https://medbiosci.ru/0033-8494/article/view/265596
- DOI: https://doi.org/10.31857/S0033849424020091
- EDN: https://elibrary.ru/KMIQVQ
- ID: 265596
Цитировать
Полный текст
Аннотация
Исследованы кинетические характеристики фононов тепловых частот в области гелиевых температур в образцах керамики твердого раствора электролита Ce1–xGdxO2–y. Для объяснения температурной зависимости длины свободного пробега фононов использованы выполненные ранее результаты расчетов энергии образования вакансий в анионной подрешетке твердого раствора диоксида циркония, стабилизированного иттрием ZrO2:Y2O3 (YSZ) с аналогичной кристаллической структурой. Показано, что в исследуемой системе Ce1–xGdxO2–y возможно образование структурных дефектов, связанных с наличием вакансий в анионной подрешетке с энергией Δ = 8.53 K. Установлено, что анализ температурных зависимостей теплоемкости YSZ позволяет проследить степень неупорядоченности (аморфизации) твердого раствора в зависимости от уровня его стабилизации.
Полный текст
ВВЕДЕНИЕ
В настоящее время известен широкий спектр кристаллических материалов, особенностью которых является преимущественно ионная проводимость [1, 2]. Функциональные свойства ионных проводников или твердых электролитов (ТЭ) широко используются в различных областях науки и техники, таких как энергетика (твердотельные топливные элементы), медицина, полупроводниковая техника (получение полупроводников с заданными составом и свойствами), изучение термодинамических свойств нестехиометрических соединений.
Метод фононной спектроскопии в области гелиевых (Не) температур позволяет получать информацию как о структуре неупорядоченных систем, так и о релаксационных процессах, когда энергия релаксации сопоставима с энергией фононов. Так, например, характер взаимодействия фононов тепловых частот с низкоэнергетическими возбуждениями в модели низкоэнергетических шоткиподобных двухуровневых систем (ДУС), обусловленных парамагнитной природой редкоземельных ионов иттриевого ряда, рассмотрен в [3] на примере твердых растворов иттрий-редкоземельных алюминиевых гранатов Y3–xRexAl5O12 (Re = Lu, Yb, Tm, Er).
Исследования показали, что эффективность взаимодействия и транспортные характеристики фононов в области гелиевых температур зависят от типа редкоземельного иона, энергии ДУС, величины магнитного момента на 4f-оболочке, спин-решеточной релаксации.
Сложность подобных соединений, как монокристаллов, так и керамики на их основе, обусловлена природой и составом структурных дефектов. Важным микроскопическим параметром твердых растворов электролитов, определяющим наряду с ионной проводимостью и их стабильность, является распределение вакансий по неэквивалентным узлам анионной подрешетки.
Согласно условию электронейтральности в системах Re(4+)-O:Re(3+)-O (Re – редкоземельный металл в степени окисления 4+ или 3+) на каждые два катиона в степени окисления 3+ приходится одна вакансия в анионной подрешетке. Если разница энергий двух конфигураций оказывается близка к энергии инжектируемых фононов и переходы между ними влияют на транспортные свойства фононов, то из анализа транспортных характеристик фононов можно делать выводы об энергетических характеристиках дефектов в системе.
Данной проблеме посвящено много как экспериментальных, так и теоретических работ, большинство из которых выполнено на образцах диоксида циркония, стабилизированного иттрием ZrO2:Y2O3 (YSZ) [1, 2, 4–7], который, обладая уникальными прочностными характеристиками, широко применяется в различных областях науки и техники. Экспериментальные же исследования других систем в литературе либо ограничены, либо отмечены лишь высокотемпературными свойствами [8–10], а спектроскопические, которые дают надежные данные для теории, представлены недостаточно.
Экспериментальные исследования керамических образцов на основе твердых растворов электролитов дополнительно затруднены зависимостью их физических свойств от структуры керамического материала.
Цель данной работы – анализ общих закономерностей кинетических и термодинамических характеристик в монокристаллах твердых растворов электролитов.
1. МЕТОДИКА И РЕЗУЛЬТАТЫ ЭКСПЕРИМЕНТОВ
Особенности методики эксперимента подробно изложены в [3]. Экспериментально измеряемой величиной являлось время регистрации максимума сигнала tм(Т) слабо неравновесных фононов (НФ), инжектированных в исследуемый образец, распространяющихся в режиме диффузии и регистрируемых болометром на основе Sn на его противоположной грани
где L – размер образца, D(T) = lv/3 – коэффициент диффузии (l – длина свободного пробега НФ, v – средняя по поляризациям скорость звука).
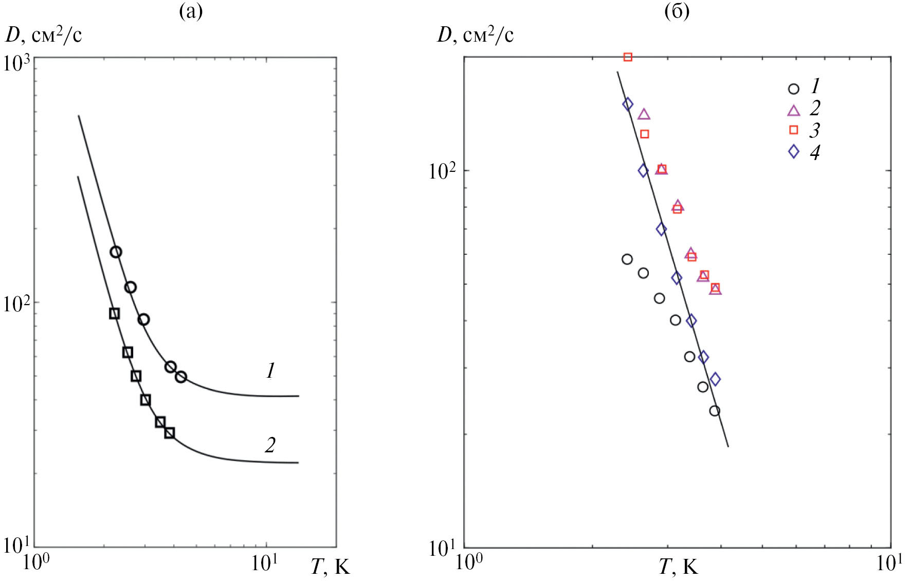
На рис. 1 представлены экспериментальные и теоретические зависимости l(T) для образцов со средним размером зерен (R ≈ 200 нм) и различной концентрацией примеси. На вставке представлены регистрируемые болометром сигналы НФ для ряда температур в образце керамики состава Ce0.909Gd0.091O2–y с размером зерна R = 200 нм. По мере роста температуры (энергии) НФ наблюдается уменьшение времени прихода максимума tм (рост коэффициента диффузии НФ). Абсолютные значения длины свободного пробега НФ при T = 3.76 K составляли l = 4.6 × 106 см и уменьшались по мере уменьшения энергии НФ. В плотных диэлектрических керамиках на основе оксидов значение коэффициента диффузии НФ при T = 3.8 K и R ≈ 200 нм [11] было, как правило, D ≈ 10 см2/с, что соответствует l ≥ 10–4 см. То есть для всех температур выполнялось условие R >> l, что свидетельствовало об интенсивном рассеянии НФ внутри зерна. Следовательно, рассеяние фононов на структурных особенностях керамики, – межзеренных границах (МГ) и кристаллитах (зернах) не могло быть ответственным за наблюдаемый эффект.
Рис. 1. Зависимость l от температуры для образцов одного размера (R ≈ 200 нм) с различным содержанием примеси: х = 0.091 (1), 0.126 (2), 0.20 (3) и 0.30 (4); сплошными линиями изображены расчетные теоретические зависимости. На вставке – регистрируемые сигналы в образце керамики ТЭ состава Ce0.909Gd0.091O2–y при различных температурах термостата: T = 3.76 (1), 3.64 (2), 3.44 (3), 3.13 (4) и 2.81 K (5).
В условиях эксперимента qR >> 1. То есть можно предположить, что фононный спектр керамики аналогичен спектру материала зерна, поэтому средняя по поляризациям скорость акустических волн определялась согласно выражению
Продольная vl и сдвиговая vt скорости рассчитывались на основании данных [12] по измерению упругих модулей с учетом изменений плотности и пористости в образцах состава CeO2:10 и 20% Gd2O3 пролонгацией зависимостей v (x) до x = 0.3.
Согласно теоретическим расчетам [6, 7] энергетических характеристик вакансий в анионной подрешетке YSZ – твердого электролита с той же кристаллической структурой, что и Ce1–xGdxO2–y, энергия образования вакансии в кислородной позиции зависит от ее расположения относительно примесных ионов иттрия. В работе [7] для ряда концентраций оксида иттрия в YSZ были рассчитаны энергии образования вакансии для всех возможных конфигураций. Оказалось, что наиболее энергетически выгодной конфигурацией (основное состояние с энергией E0) является та, в которой два иона иттрия находятся во второй координационной сфере от вакансии. Энергия всех остальных конфигураций, отделенных друг от друга энергетическим барьером высотой порядка Eb ≈ 1 эВ, больше E0 на 200...300 K. Ближайшая к основному состоянию конфигурация с энергией E1, содержащая по одному примесному иону в первой и второй координационной сфере, возникает при перескоке вакансии из основного состояния E0 в одно из соседних положений. В работе [7] предполагалось, что переходы вакансии между двумя этими положениями дают малый вклад в макроскопическую диффузию, т.е. после перехода в высокоэнергетическую конфигурацию E1 наиболее вероятным является возвращение вакансии назад. Это приводит к тому, что время жизни такого комплекса достаточно большое и поэтому его можно рассматривать как двухуровневую систему с Δ = E1 – E0 ≈ 200 K. Вычисленные в работе [7] значения теплоемкости находились в хорошем соответствии с экспериментальными результатами [1]. Однако столь большое значение (Δ ≈ 200 K) не могло эффективно влиять на распространение фононов тепловых частот в области Не-температур, что и наблюдалось в образцах керамики YSZ, синтезированных в условиях различных технологических режимов, при R ≥ 200 нм, l >> R и определялось только рассеянием НФ на межзеренных границах [13].
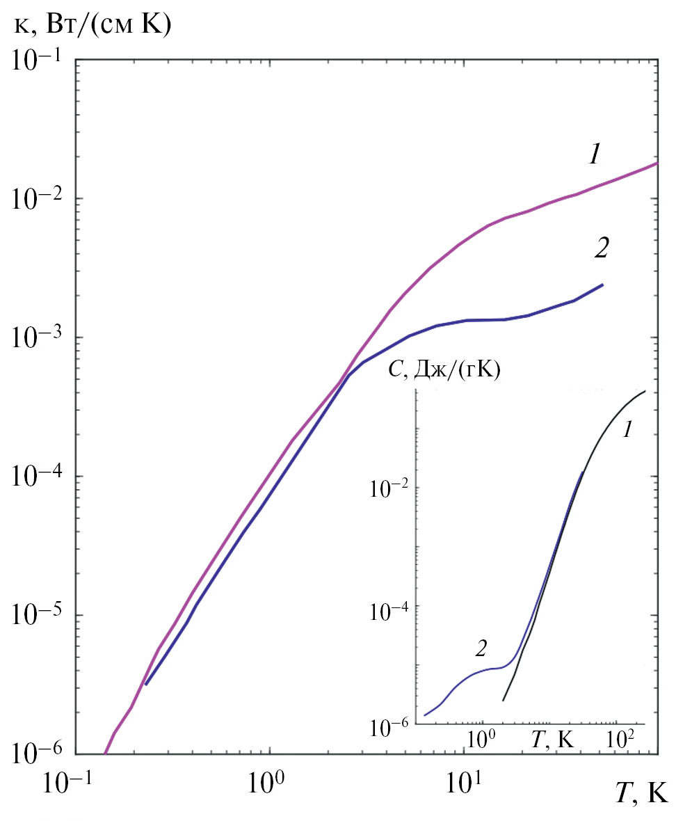
На рис. 2 приведены температурные зависимости теплопроводности κ(Т) для монокристалла твердого раствора YSZ, содержащего 4.5 мол. % Y2O3 и сегнетоэлектрика-релаксора PbMg1/3Nb2/3O3 (PMN) из работы [14], имеющие, по мнению авторов указанной работы, стеклоподобный характер. Данное утверждение не является безосновательным, так как для того же образца YSZ (5 % Y2O3) зависимость теплоемкости в области Т ≤ 1 K имеет вид C(Т)∝Т (см. вставку на рис. 2). Там же приведены результаты C(Т) на основании данных работы [15]. В работе [16] также отмечалось, что составы YSZ можно рассматривать как монокристаллы только условно. Однако в работе [15] было показано, что в монокристаллах твердого раствора YSZ природа термодинамических зависимостей C(Т) и κ(Т) в основном определяется процессами, характерными для кристаллического состояния. А именно, в монокристаллах YSZ в исследуемом диапазоне температур наблюдалось геометрическое рассеяние фононов тепловых частот (рис. 3а), когда температурная зависимость D(T) в длинноволновом пределе стремится к D(T)∝Т–4. При этом абсолютные значения D(T), а значит, и длина свободного пробега НФ в YSZ, на два порядка превышали аналогичные в материалах со стеклоподобным характером рассеяния НФ [3].
Рис. 2. Зависимости теплопроводности в монокристаллах YSZ 4.5 % (кривая 1) и PMN (2) от температуры, на вставке – зависимости теплоемкости в YSZ 4.5 % [14] (кривая 1) и 5 % (2) от температуры.
Геометрическое рассеяние НФ может означать присутствие в твердом растворе YSZ наноразмерных фрагментов, сопоставимых с длиной волны фононов. Аналогичные особенности, в частности геометрическое рассеяние, когда длина волны фонона меньше или сопоставима с размером неоднородности, наблюдались нами при кластеризации в монокристаллах твердых растворов моноалюминатов [17]. По-видимому, характер теплопроводности κ(T) монокристалла YSZ, наблюдавшийся в виде уплощения в области температур, характерных для стеклоподобного поведения на рис. 2, являлся отражением подобной неупорядоченности твердого раствора. Данные о размере включений в образцах YSZ с 5 % Y2O3 (области моноклинной фазы ~10...15 нм в тетрагональной матрице) приведены в работе [18].
На рис. 3б представлены температурные зависимости коэффициента диффузии в образцах разной длины твердого раствора YSZ 5 и 20 % состава на основании данных работы [15]. Зависимость от длины образца наблюдалась только для 5 %-ного состава твердого раствора, что свидетельствует о наличии дополнительного вклада в рассеяние НФ на длине образцов с L ≥ 0.05 см.
Рис. 3. Экспериментальные (точки) и расчетные (кривые) зависимости коэффициента диффузии D от температуры (а) в образцах YSZ длиной 0.1 см с концентрацией 12 (1) и 20 мол. % Y2O3 (2). Зависимости коэффициента диффузии от температуры в YSZ (б): сплошная линия – D ~ T–4 ; кривая 1 – 5 % Y2O3, L = 0.08 см; кривая 2 – 20 %, L = 0.085; кривая 3 – 20 %, L = 0.04; кривая 4 – 5 %, L = 0.05.
В работе [7] было показано, что по мере увеличения стабилизации (содержание Y2O3 от 5 до 20 %) отношение концентрации ДУС к количеству вакансий в анионной подрешетке твердого раствора YSZ уменьшается на порядок. Наличие наноструктурных фрагментов в твердом растворе способствует увеличению плотности колебательных состояний по сравнению с дебаевской моделью [19], а также трансформации фононного спектра монокристалла за счет формирования дополнительных низкочастотных локальных мод. Об этом может свидетельствовать сдвиг максимума теплоемкости в координатах C(Т)/Т3 в область низких температур (рис. 4) при уменьшении степени стабилизации твердого раствора YSZ с содержанием Y2O3 от 20 до 5 % [1, 14, 15].
Рис. 4. Зависимости величины C/T3 от температуры для образцов YSZ: 4.5 % [14] (1), 5 % [15] (2), 20 % [15] (3), 7.76 % [1] (4).
Подобный характер поведения зависимости C(Т)/Т3 наблюдался при переходе от кристаллического состояния в аморфную фазу (стекло) в редкоземельных пентафосфатах [20].
Предположим, что в системе Ce1–xGdxO2–y, обладающей той же структурой, что и YSZ, в тех же условиях эксперимента может реализоваться ситуация с другим значением Δ, когда взаимодействие фононов с ДУС будет определяющим. Обратимся к модели диффузионного распространения фононов в системе с ДУС, которая была предложена в работах [21, 22] для объяснения аномалий температурных и концентрационных зависимостей при регистрации НФ в иттрий-алюминиевых гранатах с парамагнитными примесями. Согласно результатам этих работ ДУС являются центрами захвата неравновесных фононов и в уравнении теплопроводности (температуропроводности) могут быть формально описаны как равномерно распределенные в пространстве точечные источники, знак которых меняется в зависимости от координаты и времени. При достижении тепловым импульсом данной точки источник имеет отрицательный знак, отбирая энергию из фононной подсистемы, а после прохождения теплового импульса – положительный, отдавая накопленную энергию фононам. При этом сигнал на болометре формируется из двух групп фононов. Первую (быстрый процесс) формируют фононы, которые в процессе распространения только упруго взаимодействовали с дефектами структуры. Вторую (медленный процесс) формируют фононы, которые успели провзаимодействовать с подсистемой ДУС. Значение регистрируемого сигнала в этих точках определяется отношением времен
где t0 – время прихода максимума сигнала в отсутствии ДУС, а τ – время энергообмена между подсистемой ДУС и фононами.
При α << 1 подсистема ДУС не успевает взаимодействовать с тепловым импульсом, болометр регистрирует только быстрый процесс. С ростом α возрастает доля фононов, успевших взаимодействовать с ДУС. При α >> 1 регистрируемый сигнал несет информацию только о медленном процессе и определяется отношением теплоемкостей подсистемы ДУС и фононов:
(1)
где cДУС, cф – теплоемкости ДУС и фононов соответственно, n – количество ДУС; D0 – коэффициент диффузии в отсутствие ДУС. Физический смысл этого выражения заключается в том, что при большей теплоемкости подсистемы ДУС фонон в процессе диффузионного распространения в образце с коэффициентом диффузии D0 = 1/3l0v может многократно провзаимодействовать с ДУС, накопив тем самым время задержки.
Из анализа рис. 1 следует, что в системе Ce1–xGdxO2–y регистрируется информация только об одном процессе и, согласно проведенным оценкам, этот процесс медленный. Таким образом, для описания эксперимента можно воспользоваться приведенным выше выражением (1). Зная фононную теплоемкость одного моля вещества
(Rg – универсальная газовая постоянная, θ – температура Дебая) и теплоемкость ДУС
,
можно подобрать остальные параметры (Δ, n и l0); постоянная Больцмана.
При расчетах температуру Дебая для образцов с различной концентрацией примеси вычисляли по формуле [10]
где a – постоянная решетки, N – число атомов в элементарной ячейке. Было найдено, что значение Δ = 8.53 K позволяет получить лучшее для всех образцов соответствие теоретических зависимостей с экспериментом. При этом для всех образцов l0 ≈ 1.5 × 10–4 см, а концентрация ДУС пропорциональна концентрации атомов гадолиния, но примерно на порядок меньше (n = 0.08x), что представляется вполне разумным значением с учетом присутствия в рассматриваемой системе ионов церия с различной степенью окисления.
Модель, рассмотренная в работах [21, 22], является феноменологическим обобщением микроскопической модели [23] и позволяет получить выражение для коэффициента диффузии в системе с ДУС в самом общем виде, которое может быть использовано для центров захвата любой природы. В частности, в работе [24] в качестве центров захвата были рассмотрены мелкие металлические включения в диэлектрической матрице.
ЗАКЛЮЧЕНИЕ
Таким образом, в работе проанализированы кинетические характеристики субтерагерцовых фононов в образцах керамики твердых растворов электролита Ce1–xGdxO2–y и YSZ. Для объяснения характера температурной зависимости и малой длины свободного пробега фононов использованы результаты расчетов энергии образования вакансий в анионной подрешетке твердого раствора YSZ с аналогичной кристаллической структурой. Анализ экспериментальных результатов показал, что если в исследуемой системе Ce1–xGdxO2–y, так же как и в системе YSZ, образуются структурные дефекты, связанные наличием вакансий, то в модели ДУС их энергия равна Δ = 8.53 K.
Показано, что анализ температурных зависимостей коэффициента диффузии НФ и теплоемкости YSZ позволяет проследить степень “аморфизации” твердого раствора в зависимости от его стабилизации.
Авторы заявляют об отсутствии конфликта интересов.
ФИНАНСИРОВАНИЕ РАБОТЫ
Работа выполнена в рамках государственного задания Института радиотехники и электроники им. В.А. Котельникова РАН (2023 г.).
Об авторах
Е. И. Саламатов
Физико-технический институт УдмФИЦ УрО РАН
Email: taranov@cplire.ru
Россия, Ижевск
А. В. Таранов
Институт радиотехники и электроники им. В.А. Котельникова РАН
Автор, ответственный за переписку.
Email: taranov@cplire.ru
Россия, Москва
Е. Н. Хазанов
Институт радиотехники и электроники им. В.А. Котельникова РАН
Email: taranov@cplire.ru
Россия, Москва
Список литературы
- Tojo T., Atake T., Mori T., Yamamura H. // J. Thermal Analysis and Calorimetry. 1999. V. 57. № 1.P. 447.
- Vlachos D., Craven A.J., McComb D.W. // J. Phys.: Cond. Matt. 2001. V.13. № 10. P. 799.
- Саламатов Е.И., Таранов А.В., Хазанов Е.Н. // РЭ. 2022. Т. 67. № 6. С. 523.
- Degueldre C., Tissot P., Lartigue H., Pouchon M. // Thermochimica Acta. 2003. V. 403. № 2. P. 267.
- Ostanin S.A., Salamatov E.I. // Письма в ЖЭТФ. 2001. Т. 74. № 11. С. 625.
- Ostanin S., Craven A.J., McComb D.W. et al // Phys. Rev. B. 2002. V. 65. № 22. P. 224109.
- Ostanin S., Salamatov E. // Phys. Rev. B. 2003. V. 68. № 17. P. 172106.
- Hayashi H., Kanoh M., Ch. Ji Quan et al. // SolidState Ionics. 2000. V. 132. № 3–4. P. 227.
- Hisashige T., Yamamura Y., Tsuji T. // J. Alloys and Compounds. 2006. V. 408–412. P. 1153.
- Wang Y., Duncan K., Wachsman E.D., Ebrahimi F. // Solid State Ionics. 2007. V.178. № 1–2. P. 53.
- Хазанов Е.Н., Таранов А.В. // РЭ. 2013. Т. 58. № 9. С. 874.
- Atkinson A., Selcuk A. // Solid State Ionics. 2000. V. 134. №1–2. P. 59.
- Барабаненков Ю.Н., Иванов В.В., Иванов С.Н. и др. // ЖЭТФ. 2006. Т. 129. № 1. С. 131.
- Ackеrman D.A., Moy D., Potter R.C., Anderson A.C. // Phys. Rev. B. 1981. V. 23. № 8. P. 3886.
- Саламатов Е.И., Таранов А.В., Хазанов Е.Н. и др. // ЖЭТФ. 2017. Т. 152. № 5. С. 910.
- Иванов С.Н., Егоров Г.В., Попов П.А. // ФТТ. 1992. Т. 34. № 11. С. 3599.
- Лезова И.E., Карбань О.В., Таранов A.В. и др. // ЖЭТФ. 2020. Т. 157. № 1. С. 90.
- Борик М.А., Бублик В.Т., Кулебякин А.В. и др. // ФТТ. 2013. Т. 55. № 8. С. 1578.
- Малиновский В.К., Новиков В.Н., Соколов А.П. // Успехи физ. наук. 1993. Т. 163. № 5. С. 119.
- Лезова И.E., Саламатов Е.И., Таранов A.В. и др. // ЖЭТФ. 2019. Т. 156. № 5. С. 918.
- Саламатов Е.И. // ФТТ. 2002. Т. 44. № 5. С. 935.
- Саламатов Е.И. // ФТТ. 2003. Т. 45. № 4. С. 691.
- Козорезов А.Г. // ЖЭТФ. 1991. Т. 100. № 5. С. 1577.
- Карбань О.В., Саламатов Е.И., Таранов А.В. и др. // ЖЭТФ. 2009. Т. 135. № 4. С. 758.
Дополнительные файлы






