Investigation of optical fiber line with a positive transmission ratio of analog microwave signal
- Authors: Tatsenko I.Y.1, Ustinov A.B.1
-
Affiliations:
- Saint Petersburg Electrotechnical University “LETI”
- Issue: Vol 69, No 3 (2024)
- Pages: 299-304
- Section: NEW ELECTRONIC SYSTEMS AND ELEMENTS
- URL: https://medbiosci.ru/0033-8494/article/view/266090
- DOI: https://doi.org/10.31857/S0033849424030093
- EDN: https://elibrary.ru/JUFCKK
- ID: 266090
Cite item
Full Text
Abstract
The influence of optical radiation power on the one-decibel compression point, harmonic distortion and dynamic range due to interference in a fiber-optic transmission line of an ultra-high frequency (microwave) signal has been studied. The line had a positive microwave signal transmission coefficient, and there were no amplification elements between the input and output. The amplification effect was achieved through the use of increased power of the carrier optical radiation and a photodetector with a high photocurrent. It has been shown that an increase in optical radiation power leads to a decrease in one-dB compression power and an increase in harmonic distortion, but an increase in optical radiation power does not lead to a change in the dynamic range of interference. It was found that the dynamic range free from interference was about 85…87 dB.
Full Text
1. Постановка задачи
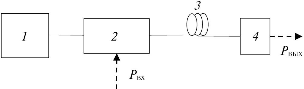
В последние годы все больший интерес вызывает передача аналоговых и цифровых сверхвысокочастотных (СВЧ) сигналов по оптоволоконной линии передачи (ОВЛП) [1–6]. К основным преимуществам ОВЛП можно отнести малые размеры и вес устройств, низкие потери оптического излучения в оптоволокне, а также возможность реализации широких полос пропускания каналов (десятки-сотни гигагерц). Блок-схема стандартной ОВЛП (рис. 1) содержит следующие компоненты: лазер, электрооптический модулятор, одномодовое оптоволокно и фотодетектор. Входной СВЧ-сигнал, подаваемый на управляющий вход электрооптического модулятора, модулирует по амплитуде оптическую несущую. Модулированный оптический сигнал распространяется в оптоволоконной линии задержки и приходит на фотодетектор. Фотодетектор преобразует оптический сигнал в электрический. ОВЛП является пассивным устройством, так как оптическая несущая модулируется непосредственно СВЧ-сигналом и в схеме ОВЛП не используются элементы усиления сигнала. За счет низких потерь в оптоволокне передача радиосигналов по оптоволокну является более предпочтительной по сравнению с коаксиальными кабелями.
Важной задачей при создании ОВЛП является повышение коэффициента передачи СВЧ-сигнала. В работе [1] был предложен метод повышения коэффициента передачи за счет управления рабочей точкой модулятора, а также исследовано изменение коэффициента нелинейных искажений при смещении рабочей точки модулятора из квадратуры. Другим возможным способом повышения коэффициента передачи является использование в схеме ОВЛП лазера со сравнительно высокой мощностью оптического излучения и фотодетектора с высоким фототоком [4]. Коэффициент передачи ОВЛП можно рассчитать с помощью известного выражения
Рис. 1. Блок-схема экспериментального макета ОВЛП: 1 — лазер, 2 — электрооптический модулятор, 3 — оптоволокно, 4 — фотодетектор.
Здесь Рвх — мощность СВЧ-сигнала, подаваемого на управляющий вход электрооптического модулятора, а Рвых — мощность СВЧ-сигнала на выходе фотодетектора, которая рассчитывается следующим образом:
(1)
где R — сопротивление нагрузки фотодетектора, Pлаз — мощность лазера, S — чувствительность фотодетектора, J1(x) — функция Бесселя первого рода первого порядка, V0 — амплитуда модулирующего СВЧ-сигнала, подаваемого на вход электрооптического модулятора, Vсм — напряжение смещения рабочей точки модулятора, Vπ — полуволновое напряжение электрооптического модулятора. Из формулы (1) видно, что при фиксированном значении мощности Рвх, увеличение мощности лазера Pлаз будет приводить к увеличению мощности СВЧ-сигнала на выходе фотодетектора Pвых и к увеличению коэффициента передачи ОВЛП НР.
Кроме повышения коэффициента передачи ОВЛП, важной задачей является передача сигнала на большие расстояния без искажений. Известно, что если амплитуда СВЧ-сигнала, подаваемого на вход электрооптического модулятора, приближается к полуволновому напряжению модулятора, то из-за нелинейности передаточной характеристики модулятора на выходе ОВЛП могут появляться гармонические искажения и компрессия одночастотного сигнала, а также интермодуляционные искажения. Основными параметрами, описывающими искажения в ОВЛП, являются коэффициент гармонических искажений, динамический диапазон по помехам (SFDR), точка однодецибельной компрессии и выходная точка пересечения третьего порядка (OIP3).
Первые широкополосные ОВЛП с положительным коэффициентом передачи были продемонстрированы в работах, посвященных разработке оптоэлектронных СВЧ-генераторов [7, 8]. Влияние же мощности лазерного излучения на нелинейные искажения СВЧ-сигнала, передаваемого через ОВЛП, до сих пор остается неизученным.
Цель данной работы — исследовать влияние мощности оптического излучения на компрессию, гармонические искажения и интермодуляционные искажения СВЧ-сигнала, передаваемого в ОВЛП с положительным коэффициентом передачи.
2. Измерение амплитудно-частотных характеристик ОВЛП
Экспериментальный макет ОВЛП (см. рис. 1) состоит из лазера 1 с регулируемой мощностью до 1 Вт на длине волны излучения 1550 нм, электрооптического модулятора Маха–Цендера 2 с полуволновым напряжением 1.6 В и оптическими потерями около 5 дБ, оптоволокна 3 длиной 1 км и фотодетектора 4 c номинальной чувствительностью 0.8 А/Вт в диапазоне 0…10 ГГц и максимальным фототоком 90 мА.
На первом этапе работы было исследовано влияние мощности лазера на амплитудно-частотную характеристику (АЧХ) ОВЛП. Измерение проводили с помощью векторного анализатора цепей. На рис. 2 показаны результаты измерений АЧХ при различной мощности оптического излучения, подаваемого на оптический вход электрооптического модулятора.
Рис. 2. Амплитудно-частотные характеристики ОВЛП при различной мощности лазера, Рлаз = 14.8 (1), 20.4 (2), 22.7 (3), 23.6 (4), 25.4 дБм (5); вертикальными линиями отмечены частоты 1, 6 и 10 ГГц.
Видно, что с увеличением мощности лазера потери в ОВЛП уменьшаются. Это находится в хорошем соответствии с результатами, которые были показаны в работе [4]. При увеличении мощности лазера до 25.4 дБм коэффициент передачи ОВЛП становится положительным в диапазоне частот 0…10 ГГц. Спад АЧХ по частоте обусловлен частотной зависимостью чувствительности фотодетектора, которая была рассмотрена в работе [4]. Неравномерность АЧХ вызвана плохим согласованием фотодетектора с последующим СВЧ-трактом на некоторых частотах.
3. Измерение однодецибельной компрессии в ОВЛП
На следующем этапе работы проводились исследования, направленные на определение входной мощности, при которой возникает однодецибельная компрессия выходного СВЧ-сигнала. Для этого измеряли АЧХ ОВЛП, по которым на разных частотах определяли вносимые потери HP. Мощность СВЧ-сигнала Рвх, подаваемого на СВЧ-вход ОВЛП, задавалась векторным анализатором цепей. Мощность СВЧ-сигнала на выходе ОВЛП рассчитывалась по выражению
(2)
Измерения проводили при мощности оптического излучения 20.4 и 25.4 дБм, что соответствовало коэффициенту передачи ОВЛП около –10 и 0 дБ соответственно. Результаты измерений представлены на рис. 3.
Рис. 3. Передаточные характеристики по мощности ОВЛП при f = 1, 6 и 10 ГГц: (а) Рлаз = 20.4 дБм, Р1дБ = 13.2 (1), 11.1 (2), 10 дБм (3), (б) Рлаз = 25.4 дБм, Р1дБ = 11.2 (1), 10.5 (2), 9.6 дБм (3).
Из рис. 3 видно, что с увеличением частоты входного СВЧ-сигнала происходит сдвиг точки однодецибельной компрессии в сторону более высоких значений входной мощности. Так, при частоте входного СВЧ-сигнала 1 ГГц однодецибельная компрессия сигнала возникает при входной мощности СВЧ-сигнала, равной 10 дБм, а при частоте 10 ГГц значение мощности СВЧ-сигнала, при которой возникает однодецибельная компрессия, увеличивается до 13.2 дБм. Это обусловлено тем, что с увеличением частоты передаваемого сигнала происходит увеличение полуволнового напряжения электрооптического модулятора. Следует отметить, что основная компрессия СВЧ-сигнала возникает из-за синусоидальной характеристики коэффициента передачи электрооптического модулятора.
Как показано на рис. 3б, увеличение мощности лазера до 25.4 дБм приводит к небольшому уменьшению мощности однодецибельной компрессии, т. е. к дополнительной компрессии СВЧ-сигнала. Однодецибельная компрессия СВЧ-сигнала на частотах 1, 6 и 10 ГГц возникает при мощностях входного СВЧ-сигнала 9.6, 10.5 и 11.2 дБм соответственно. Связано это с тем, что при высокой мощности оптического излучения, падающего на фотодетектор, происходит компрессия чувствительности фотодетектора [9, 10]. Полученные результаты позволяют сделать вывод о том, что повышение мощности лазера помимо увеличения коэффициента передачи ОВЛП приводит к уменьшению значения точки однодецибельной компрессии, что необходимо учитывать при проектировании ОВЛП.
4. Исследование гармонических искажений в ОВЛП
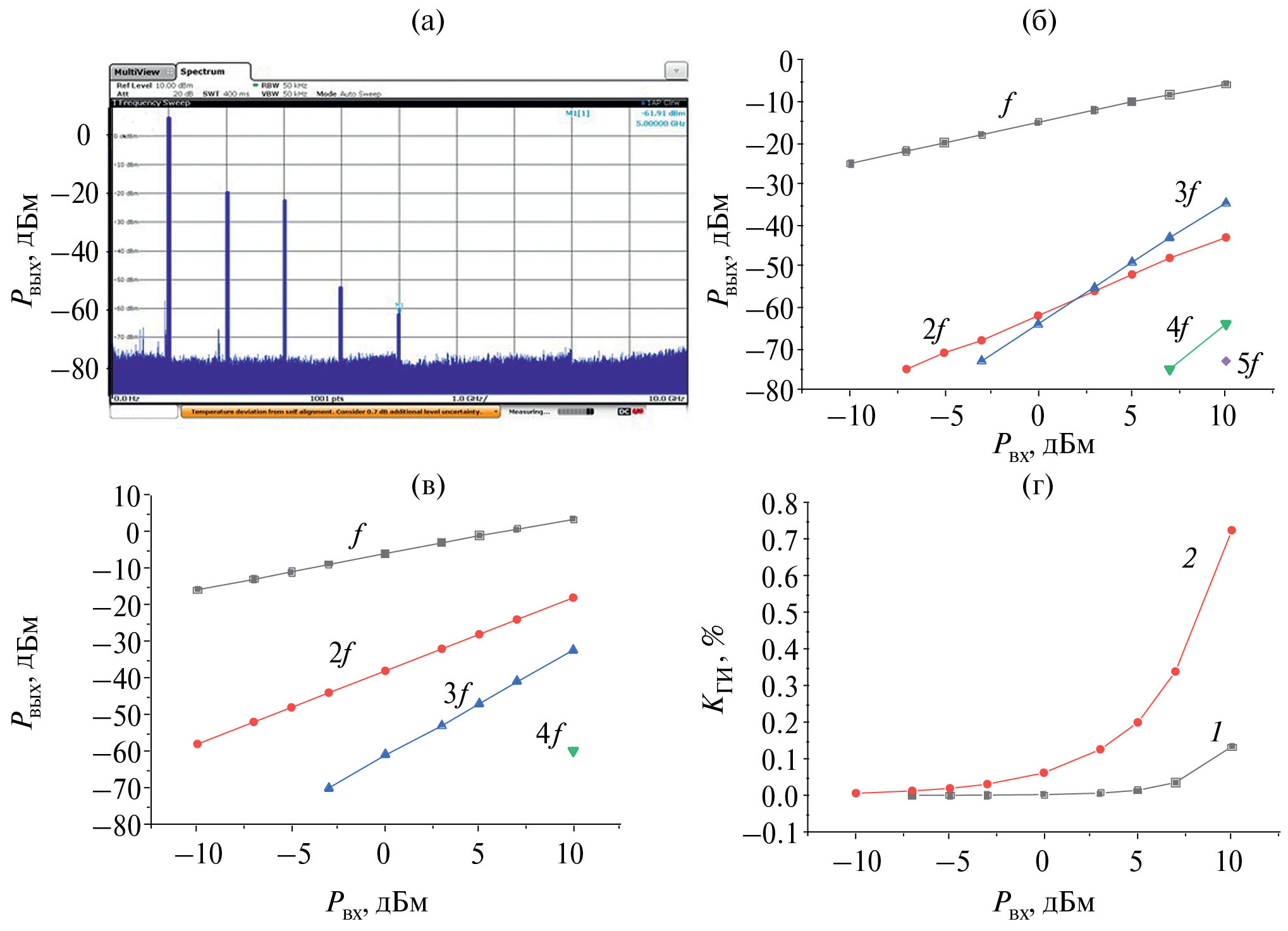
Блок-схема экспериментального макета для измерения гармонических искажений в ОВЛП представлена на рис. 4. Методика измерений заключалась в следующем. От СВЧ-генератора 5 на СВЧ-вход электрооптического модулятора подавался синусоидальный сигнал на частоте f1 = 1 ГГц. Выход фотодетектора был подключен к анализатору спектра 6, с помощью которого измеряли амплитуды основной и кратных гармоник.
Рис. 4. Блок-схема экспериментального макета для измерений гармонических искажений в ОВЛП: 1 — лазер, 2 — электрооптический модулятора, 3 — оптоволокно, 4 — фотодетектор, 5 — генератор СВЧ-сигнала, 6 — анализатор спектра.
Спектр СВЧ-сигнала с гармоническими искажениями (ГИ) показан на рис. 5а. На вход ОВЛП был подан сигнал мощностью 10 дБм на частоте 1 ГГц, а на выходе наблюдались кратные гармоники вплоть до 5 ГГц. На рис. 5б, 5в представлены результаты измерения ГИ в ОВЛП. Из полученных результатов видно, что увеличение мощности оптического излучения приводит к значительному увеличению мощности гармоники на удвоенной частоте. При высокой мощности оптического излучения ватт-амперная характеристика фотодетектора переходит от линейного участка к участку насыщения, и из-за этого возникают дополнительные искажения передаваемого СВЧ-сигнала [11].
Коэффициент ГИ был рассчитан следующим образом:
КГИ (3)
Рис. 5. Типичный спектр выходного сигнала с гармоническими искажениями (а); результаты измерения гармонических искажений в ОВЛП при Рлаз = 20.4 (б) и 25.4 дБм (в); зависимость коэффициента гармонических искажений от мощности входного СВЧ-сигнала (г): Рлаз = 20.4 (1) и 25.4 дБм (2).
где Pi — мощность i гармоники сигнала. На рис. 5г показана зависимость коэффициента ГИ от мощности входного СВЧ-сигнала. Как видно из рисунка, при мощности лазера 20.4 дБм коэффициент ГИ составляет около 0.1%. Увеличение мощности лазера до 25.4 дБм приводит к более сильному росту коэффициента ГИ (см. рис. 5г, кружочки). Максимальное значение коэффициента ГИ составило 0.72%.
Сопоставим коэффициенты ГИ, полученные в данной работе при различных мощностях СВЧ-сигнала, с результатами, опубликованными в [1]. В работе [1] коэффициент ГИ составил 0.5%, при этом частота СВЧ-сигнала составила 97 МГц, Pвх = 7 дБм, HP = –3 дБ. Кроме того, необходимо отметить, что в конструкции ОВЛП между электрооптическим модулятором и фотодетектором был использован оптический усилитель. В данной работе коэффициент ГИ для Pвх = 7 дБм составил 0.34% на частоте сигнала 1 ГГц, а HP = +2 дБ.
5. Исследование интер-модуляционных искажений в ОВЛП
Исследование интермодуляционных искажений является важным этапом исследований ОВЛП, так как эти искажения определяют параметры SFDR и OIP3. Блок-схема экспериментального макета для измерений интермодуляционных искажений показана на рис. 6. На вход электрооптического модулятора через сумматор 7 подавались два синусоидальных сигнала с одинаковой амплитудой на частотах f1 и f2 = f1 + Δf. На выходе ОВЛП с помощью анализатора спектра измерялась мощность основных гармоник и гармоник интермодуляции (2f1 — f2, 2f2 — f1, 3f1–2f2, 3f2–2f1). При проведении измерений расстояние между частотами f1 и f2 выбирали равным 200 и 500 МГц.
Типичные зависимости выходной мощности основных и интермодуляционных гармоник от мощности входных СВЧ-сигналов на частотах f1 = 2 ГГц, f2 = 2.5 ГГц при мощности лазера 20.4 и 25.4 дБм представлены на рис. 7. При мощности оптического излучения 20.4 дБм SFDR составил около 85.5 дБ, при увеличении мощности лазера до 25.4 дБм значение SFDR практически не изменилось, это обусловлено тем, что с ростом мощности оптического излучения увеличивается вклад RIN-шума в общий уровень шума в ОВЛП.
Рис. 6. Блок-схема экспериментального макета для измерения интермодуляционных искажений: 1 — лазер, 2 — электрооптический модулятор, 3 — оптоволокно, 4 — фотодетектор, 5 — генератор СВЧ-сигнала, 6 — анализатор спектра, 7 — сумматор.
Рис. 7. Зависимости выходной мощности основных и интермодуляционных гармоник от входной мощности СВЧ-сигнала при f 2 — f 1 = 500 МГц: (а) Рлаз = 20.4, уровень шума –124 дБм, SFDR = 85 дБ; (б) Рлаз = 25.4 дБм, уровень шума –114 дБм, SFDR = 86.5 дБ; точки — эксперимент, сплошная линия — линейная экстраполяция экспериментальных данных для определения OIP3.
Таблица 1. Значения OIP3 и SFDR при Рлаз = 20.4 и 25.4 дБм, Δf = 200 и 500 МГц
f, ГГц | OIP3, дБм | SFDR, дБ | ||
200 МГц | 500 МГц | 200 МГц | 500 МГц | |
Рлаз = 20.4 дБм | ||||
2 | 3.89 | 3.29 | 85.5 | 85 |
4 | 4.7 | 3.25 | 85.7 | 84.8 |
6 | 6.54 | 6 | 87 | 86.5 |
8 | 5.13 | 5.27 | 86.3 | 86.3 |
10 | 1.9 | 3.2 | 84.1 | 84.9 |
Рлаз = 25.4 дБм | ||||
2 | 15.54 | 13.1 | 86.5 | 84.7 |
4 | 16.27 | 14.46 | 86.8 | 85.6 |
6 | 16.51 | 15.41 | 87.1 | 86.3 |
8 | 16.17 | 13.82 | 87.1 | 85.4 |
10 | 15.1 | 11.82 | 86 | 84 |
Такие же измерения были проведены и на других частотах, вплоть до 10 ГГц, значения показателей SFDR и ОIP3 приведены в табл. 1.
Анализируя полученные результаты, можно сделать вывод, что увеличение расстояния между частотами f1 и f2 не влияет на динамический диапазон по помехам и на показатель OIP3. При мощности оптического излучения 20.4 дБм показатель OIP3 имеет значения порядка 3…5 дБм. Повышение мощности лазера улучшает параметр OIP3, увеличивая его до значений порядка 13…15 дБм. Увеличение мощности лазера не приводит к изменениям параметра SFDR, который равен приблизительно 85…87 дБ. Для сравнения отметим, что ОВЛП, представленная в работе [3], имеет SFDR около 66 дБ при уровне шума системы –125 дБм.
Заключение
Таким образом, полученные результаты дают возможность оценить влияние мощности лазера на нелинейные искажения СВЧ-сигнала в ОВЛП. Показано, что увеличение мощности лазера позволяет увеличить коэффициент передачи ОВЛП, но при этом уменьшается значение точки однодецибельной компрессии и увеличиваются гармонические искажения. Поэтому при проектировании ОВЛП необходимо учитывать влияние мощности лазера, для того чтобы получить необходимый коэффициент передачи с нужным уровнем гармонических искажений и компрессии сигнала.
Исследование влияния мощности лазера на интермодуляционные искажения СВЧ-сигнала в ОВЛП показало, что при увеличении мощности лазера динамический диапазон по помехам практически не изменяется. Таким образом, за счет использования лазера с относительно высокой мощностью оптического излучения можно увеличить коэффициент передачи ОВЛП без ухудшения динамического диапазона по помехам.
Одним из возможных способов улучшения характеристик ОВЛП является использование фотодетектора с более высоким фототоком, что позволит уменьшить гармонические искажения и дополнительно увеличить коэффициент передачи ОВЛП. Кроме того, использование лазера с более низким RIN-шумом позволит увеличить динамический диапазон по помехам за счет уменьшения уровня выходного шума.
Авторы данной работы заявляют об отсутствии конфликта интересов.
Финансирование работы
Работа выполнена при частичной финансовой поддержке Министерства науки и высшего образования Российской Федерации (в рамках госзадания, проект FSEE-2020-0005).
About the authors
I. Yu. Tatsenko
Saint Petersburg Electrotechnical University “LETI”
Author for correspondence.
Email: abitur.tatsenko@mail.ru
Russian Federation, Prof. Popov Str., 5, Saint-Petersburg, 197022
A. B. Ustinov
Saint Petersburg Electrotechnical University “LETI”
Email: abitur.tatsenko@mail.ru
Russian Federation, Prof. Popov Str., 5, Saint-Petersburg, 197022
References
- Петров А.Н., Тронев А.В., Лебедев В.В. и др. // ЖТФ. 2015. Т. 85. № 5. С. 131.
- Muniz A.L.M., Noque D.F., Borges R.M. et al. // Microwave Opt. Technol. Lett. 2017. V.59. № 9. P. 2185. https://doi.org/10.1002/mop.30704
- Noque D.F., Borges R.M., Muniz A.L.M. et al. // Opt. Commun. 2018. V. 414. P. 191.https://doi.org/10.1016/j.optcom.2018.01.015
- Таценко И.Ю., Легкова Т.К., Иванов А.В., Устинов А.Б. // Изв. вузов России. Радиоэлектроника. 2020. Т. 23. № 4. С. 48.https://doi.org/10.32603/1993-8985-2020-23-4-48-56
- Sánchez E., Pérez-López D., dasMahapatra P., Capmany J. // Optics Express. 2021. V. 29. № 10. P. 14757.https://doi.org/10.1364/OE.423613
- Li P., Dai Z., Yan L., Yao J. // Opt. Express. 2022. V. 30. № 5. P. 6690.https://doi.org/10.1364/OE.449274
- Ackerman E.I., Betts G.E., Burns W.K. et al. // Proc. IEEE/MTT-S International Microwave Symposium, Honolulu, HI, USA 03–08 June. 2007. N.Y.: IEEE, 2007. P. 51.
- Roussell H.V., Regan M.D., Prince J.L. et al. // Proc. Intern. Topical Meeting on Microwave Photonics. Victoria, BC, Canada, 03–05 Oct. 2007. N.Y.: IEEE, 2007. P. 84.https://doi.org/10.1109/MWP.2007.4378142
- Williams K.J., Esman R.D. // Electron. Lett. 1992. V. 8. № 28. P. 731.https://doi.org/10.1049/el:19920463
- Урик В.Дж., МакКинни Дж.Д., Вилльямс К.Дж. Основы микроволновой фотоники. М.: Техносфера, 2016.
- Hayes R.R., Persechini D.L. // IEEE Photonics Technol. Lett. 1993. V. 5. № 1. P. 70.https://doi.org/10.1109/68.185064
Supplementary files









