Study of the Efficiency of Heat Transfer in a Stirred Tank with Nonuniform Movement of the Impeller
- Authors: Prikhodko A.A.1, Gerasimenko E.O.1
-
Affiliations:
- Kuban State Technological University
- Issue: Vol 57, No 2 (2023)
- Pages: 228-237
- Section: Articles
- Published: 01.03.2023
- URL: https://medbiosci.ru/0040-3571/article/view/138452
- DOI: https://doi.org/10.31857/S0040357123020094
- EDN: https://elibrary.ru/EJLQYF
- ID: 138452
Cite item
Full Text
Abstract
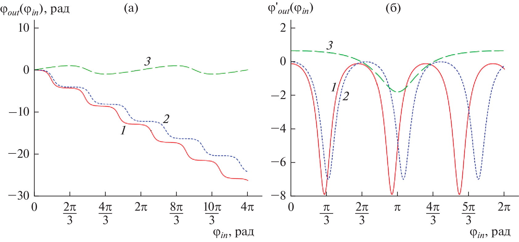
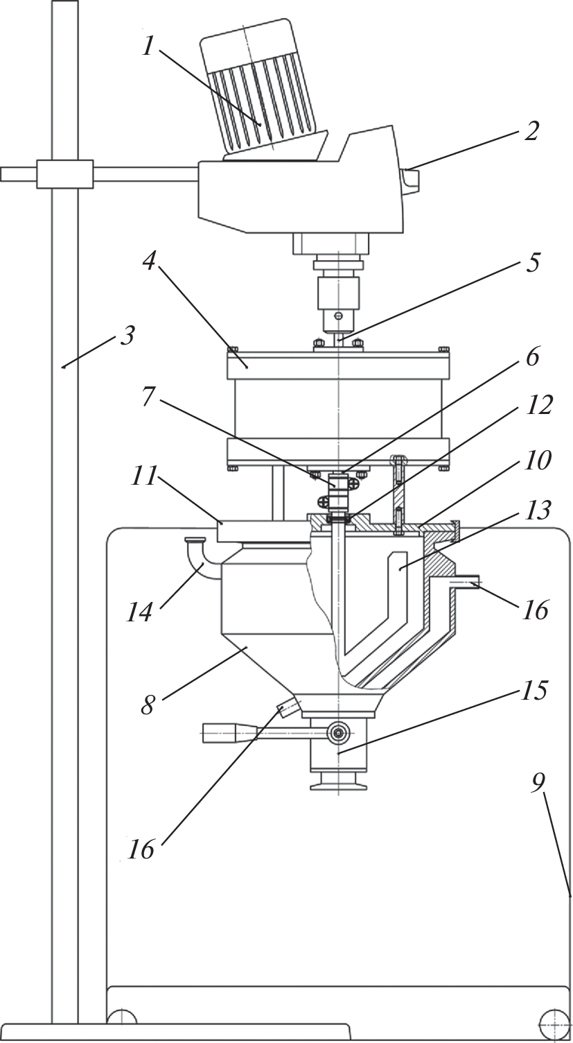
Mixing is one of the most common processes in various branches of the chemical industry: food, construction, oil refining, pharmaceuticals, and others. Increasing the intensity of mixing can be achieved by changing the speed or direction of movement of the impeller, which is confirmed by studies of domestic and foreign authors. In this paper, a planetary drive of a stirred tank is considered, which makes it possible to implement various types of uneven movement of the impeller. The advantages of the proposed mechanism over existing analogues are compactness, reliability, and ease of setting the coefficient of uneven rotation of the agitator. On the basis of the IKA laboratory reactor, an experimental setup is constructed, with the help of which comparative tests of the heat-transfer intensity in a traditional mixing device with a constant rotational speed and using the proposed planetary mechanism are carried out. As a result of the experiment, it is found that the transmission to the impeller of uneven movement can reduce the mixing time, as well as increase the energy efficiency of the apparatus.
About the authors
A. A. Prikhodko
Kuban State Technological University
Email: sannic92@gmail.com
Krasnodar, Russia
E. O. Gerasimenko
Kuban State Technological University
Author for correspondence.
Email: sannic92@gmail.com
Krasnodar, Russia
References
- Barabash V.M., Abiev R.S., Kulov N.N. Theory and practice of mixing: A review // Theor. Found. Chem. Eng. 2018. V. 52. № 4. P. 473. [Барабаш В.М., Абиев Р.Ш., Кулов Н.Н. Обзор работ по теории и практике перемешивания // Теорет. основы хим. технологии. 2018. Т. 52. № 4. С. 367.]
- Брагинский Л.Н., Бегачев В.И., Барабаш В.М. Перемешивание в жидких средах: Физические основы и инженерные методы расчета. Л.: Химия, 1984.
- Поникаров И.И., Перелыгин О.А., Доронин В.Н., Гайнуллин М.Г. Машины и аппараты химических производств. М.: Машиностроение, 1989.
- Сташевская О.В., Марцулевич Н.А., Федотов В.В. Расчет пусковых гидродинамических нагрузок на трехлопастные мешалки и их прочностной расчет // Известия Санкт-Петербургского государственного технологического института (технического университета). 2018. № 46. С. 93.
- Синявский Ю.В. Усовершенствованный метод расчета мощности перемешивающего устройства // Научный журнал НИУ ИТМО. Серия: Процессы и аппараты пищевых производств. 2018. № 4. С. 3.
- Григорьева А.Н., Абиев Р.Ш. Сравнительный анализ влияния геометрической формы рабочих колес перемешивающих устройств на эффективность суспендирования в системе жидкость–твердое // Известия Санкт-Петербургского государственного технологического института (технического университета). 2018. № 45. С. 94.
- Григорьева А.Н., Абиев Р.Ш. К выбору типа и частоты вращения мешалки для эффективного перемешивания флокулянтов в воде // Вода и экология: проблемы и решения. 2020. № 2(82). С. 27.
- Коган В.В. Определение влияния динамических характеристик смесителей на структурно-механические свойства рыбных кулинарных фаршей // Вестник Астраханского государственного технического университета. Серия: Рыбное хозяйство. 2020. № 1. С. 138.
- Kumaresan T., Joshi J.B. Effect of impeller design on the flow pattern and mixing in stirred tanks // Chem. Eng. J. 2006. V. 115. № 3. P. 173.
- Wójtowicz R., Lipin A.A., Talaga J. On the possibility of using of different turbulence models for modeling flow hydrodynamics and power consumption in mixing vessels with turbine impellers // Theor. Found. Chem. Eng. 2014. V. 48. № 4. P. 360. [Войтович Р., Липин A.A., Талага Я. О возможности использования различных моделей турбулентности для расчета гидродинамических и энергетических характеристик аппаратов с турбинными мешалками // Теорет. основы хим. технологии. 2014. Т. 48. № 4. С. 386.]
- Войтович Р., Липин А.Г. Математическое моделирование гидродинамики смесителя с эксцентрически расположенной мешалкой // Изв. вузов. Химия и хим. технология. 2015. Т. 58. № 11. С. 83.
- Vakili M.H., Esfahany M.N. CFD analysis of turbulence in a baffled stirred tank, a three-compartment model // Chem. Eng. Sci. 2009. V. 64. № 2. P. 351.
- Бакланов Н.А. Перемешивание жидкостей. Л.: Химия, 1979.
- Galletti C., Brunazzi E. On the main flow features and instabilities in an unbaffled vessel agitated with an eccentrically located impeller. Chem. Eng. Sci. 2008. V. 63. № 18. P. 4494.
- Torubarov N.N., Malyshev R.M., Serov M.V. Apparatus with intracyclic variation of the velocity of the anchor agitator // Chem. Petrol. Eng. 2016. V. 52. № 5–6. P. 379. [Торубаров Н.Н., Малышев Р.М., Серов М.В. Аппараты с внутрицикловым изменением скорости движения якорной мешалки // Химическое и нефтегазовое машиностроение. 2016. № 6. С. 8.]
- Wójtowicz R. Flow pattern and power consumption in a vibromixer // Chem. Eng. Sci. 2017. V. 172. P. 622.
- Date T., Komoda Y., Suzuki H., Hidema R., Suzuki K. Application of a rotationally reciprocating plate impeller on crystallization process // J. Chem. Eng. Jpn. 2018. V. 51. № 2. P. 159.
- Hiseman M.J.P., Laurent B.F.C., Bridgwater J., Wilson D.I., Parker D.J., North N., Merrifield D.R. Granular flow in a planetary mixer // Chem. Eng. Res. Des. 2002. V. 80. № 5. P. 432.
- Мудров А.Г. Разработка пространственных перемешивающих устройств нового поколения, применяемых в сельском хозяйстве и промышленности (Том 1). Дис. … докт. техн. наук. Казань: КГСХА, 1999.
- Kawano Y., Kiyoyama S., Shiomori K., Baba Y., Hano T. Hydrolysis of olive oil with lipase in a “VibroMixer” // J. Ferment. Bioeng. 1994. V. 78. № 4. P. 293.
- Kamieński J., Wójtowicz R. Dispersion of liquid–liquid systems in a mixer with a reciprocating agitator // Chem. Eng. Process. 2003. V. 42. № 12. P. 1007.
- Torubarov N.N., Malyshev R.M. Mixer with complex law governing agitator motion // Chem. Petrol. Eng. 2013. V. 49. № 3. P. 167. [Торубаров Н.Н., Малышев Р.М. Перемешивающие устройства со сложным законом движения мешалок // Химическое и нефтегазовое машиностроение. 2013. № 3. С. 19.]
- Мудров А.Г. Конструкции и модель смешения в аппаратах с мешалкой // Известия КГАСУ. 2018. № 1. P. 226.
- Torubarov N.N., Serov M.V., Malyshev R.M., Torubarov S.N. Design of actuator of the drives of nonstationary mixers // Chem. Petrol. Eng. 2018. V. 54. № 7–8. P. 552. [Торубаров Н.Н., Серов М.В., Малышев Р.М., Торубаров С.Н. Синтез исполнительных механизмов приводов нестационарных смесителей // Химическое и нефтегазовое машиностроение. 2018. № 8. С. 6.]
- Prikhodko A.A. Experimental kinematic analysis of an intermittent motion planetary mechanism with elliptical gears // J. Meas. Eng. 2020. V. 8. № 3. P. 122.
- Корн Г. Корн Т. Справочник по математике для научных работников и инженеров. М.: Наука, 1974.
- Борисов А.В. Интенсификация перемешивания в аппаратах с использованием решетки крыловых профилей. Дис. … канд. техн. наук. М.: МГУИЭ, 2003.
Supplementary files











