Equation of State for Aluminum at High Pressures
- Authors: Khishchenko K.V.1,2,3,4
-
Affiliations:
- Joint Institute for High Temperatures of the Russian Academy of Sciences
- Moscow Institute of Physics and Technology
- South Ural State University
- Federal Research Center of Problems of Chemical Physics and Medicinal Chemistry of the Russian Academy of Sciences
- Issue: Vol 61, No 3 (2023)
- Pages: 477-480
- Section: Articles
- URL: https://medbiosci.ru/0040-3644/article/view/232688
- DOI: https://doi.org/10.31857/S0040364423030134
- ID: 232688
Cite item
Full Text
Abstract
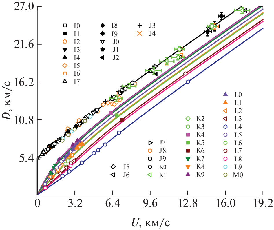
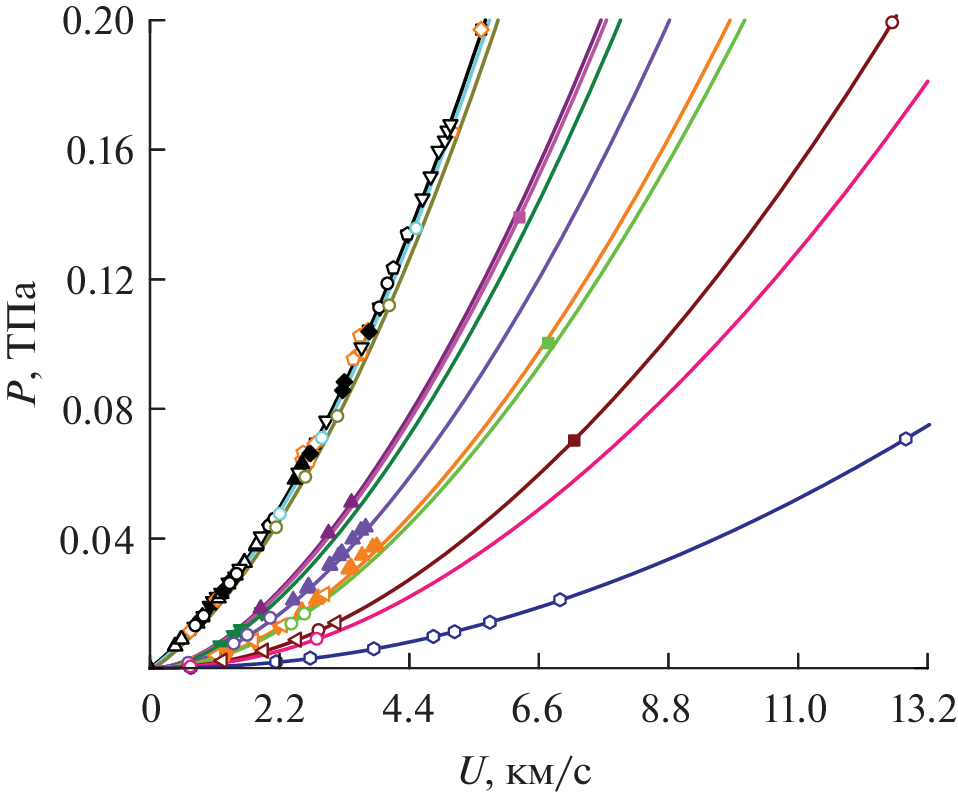
The study describes the thermodynamic properties of aluminum in a wide range of high-energy states. The form of the functional relationship between the pressure, specific volume, and specific internal energy of the condensed phase is proposed for the metal. The calculated adiabats of shock compression of aluminum are compared with the available data from shock-wave experiments. The constructed equation of state can be used to simulate the processes of intense pulse action on metal.
About the authors
K. V. Khishchenko
Joint Institute for High Temperatures of the Russian Academy of Sciences; Moscow Institute of Physics and Technology; South Ural State University; Federal Research Center of Problems of Chemical Physics and Medicinal Chemistry of the Russian Academy of Sciences
Author for correspondence.
Email: konst@ihed.ras.ru
Moscow, Russia; Dolgoprudny, Russia; Chelyabinsk, Russia; Chernogolovka, Russia
References
- Зельдович Я.Б., Райзер Ю.П. Физика ударных волн и высокотемпературных гидродинамических явлений. М.: Наука, 1966.
- Бушман А.В., Фортов В.Е. Модели уравнения состояния вещества // УФН. 1983. Т. 140. № 2. С. 177.
- Бушман А.В., Канель Г.И., Ни А.Л., Фортов В.Е. Теплофизика и динамика интенсивных импульсных воздействий. Черноголовка: ОИХФ АН СССР, 1988.
- Агурейкин В.А., Анисимов С.И., Бушман А.В., Канель Г.И., Карягин В.П., Константинов А.Б., Крюков Б.П. и др. Теплофизические и газодинамические проблемы противометеоритной защиты космического аппарата “Вега” // ТВТ. 1984. Т. 22. № 5. С. 964.
- Kanel G.I., Fortov V.E., Khishchenko K.V., Utkin A.V., Razorenov S.V., Lomonosov I.V., Mehlhorn T. et al. Thin Foil Acceleration Method for Measuring the Unloading Isentropes of Shock-compressed Matter // AIP Conf. Proc. 2000. V. 505. P. 1179.
- Кинеловский С.А., Маевский К.К. Модель поведения алюминия и смесей на его основе при ударно-волновом воздействии // ТВТ. 2014. Т. 52. № 6. С. 843.
- Popova T.V., Mayer A.E., Khishchenko K.V. Evolution of Shock Compression Pulses in Polymethylmethacrylate and Aluminum // J. Appl. Phys. 2018. V. 123. № 23. P. 235902.
- Александров В.В., Браницкий А.В., Грабовский Е.В., Лаухин Я.Н., Олейник Г.М., Ткаченко С.И., Фролов И.Н., Хищенко К.В. Исследование удара дюралюминиевого флаера по вольфрамовой мишени на установке Ангара-5-1 // Физика плазмы. 2019. Т. 45. № 5. С. 406.
- Khishchenko K.V., Mayer A.E. High- and Low-entropy Layers in Solids Behind Shock and Ramp Compression Waves // Int. J. Mech. Sci. 2021. V. 189. P. 105971.
- Николаев Д.Н., Кулиш М.И., Дудин С.В., Минцев В.Б., Ломоносов И.В., Фортов В.Е. Ударная сжимаемость монокристаллического кремния в диапазоне давлений 280–510 ГПа // ТВТ. 2021. Т. 59. № 6. С. 860.
- Андреев Н.Е., Вейсман М.Е., Костин В.В., Фортов В.Е. Формирование ударной волны под действием ультракоротких лазерных импульсов // ТВТ. 1996. Т. 34. № 3. С. 379.
- Povarnitsyn M.E., Itina T.E., Khishchenko K.V., Levashov P.R. Simulation of Double-pulse Laser Ablation // AIP Conf. Proc. 2010. V. 1278. P. 635.
- Абросимов С.А., Бажулин А.П., Воронов В.В., Красюк И.К., Пашинин П.П., Семенов А.Ю., Стучебрюхов И.А., Хищенко К.В., Черномырдин В.И. Исследование механических свойств алюминия, сплава АМг6М и полиметилметакрилата при высоких скоростях деформирования под действием лазерного излучения пикосекундной длительности // ДАН. 2012. Т. 442. № 6. С. 752.
- Иногамов Н.А., Петров Ю.В., Хохлов В.А., Жаховский В.В. Лазерная абляция: физические представления и приложения (обзор) // ТВТ. 2020. Т. 58. № 4. С. 689.
- Струлёва Е.В., Комаров П.С., Ашитков С.И. Поведение тантала вблизи критической точки при фемтосекундном лазерном нагреве // ТВТ. 2021. Т. 59. № 1. С. 148.
- Semenov A.Yu., Stuchebryukhov I.A., Khishchenko K.V. Modeling of Shock-wave Processes in Aluminum under the Action of a Short Laser Pulse // Math. Montis. 2021. V. 50. P. 108.
- Ашитков С.И., Иногамов Н.А., Комаров П.С., Петров Ю.В., Ромашевский С.А., Ситников Д.С., Струлёва Е.В., Хохлов В.А. Сверхбыстрый перенос энергии в металлах в сильно неравновесном состоянии, индуцируемом фемтосекундными лазерными импульсами субтераваттной интенсивности // ТВТ. 2022. Т. 60. № 2. С. 218.
- Ткаченко С.И., Хищенко К.В., Воробьев В.С., Левашов П.Р., Ломоносов И.В., Фортов В.Е. Метастабильные состояния жидкого металла при электрическом взрыве // ТВТ. 2001. Т. 39. № 5. С. 728.
- Tkachenko S.I., Levashov P.R., Khishchenko K.V. Analysis of Electrical Conductivity Measurements in Strongly Coupled Tungsten and Aluminum Plasmas // Czech. J. Phys. 2006. V. 56. Suppl. 2. P. B419.
- Oreshkin V.I., Baksht R.B., Ratakhin N.A., Labetsky A.Yu., Rousskikh A.G., Shishlov A.V., Levashov P.R. et al. Effect of the Thermal Instabilities on Electrical Explosion of Thin Metal Wires // AIP Conf. Proc. 2006. V. 849. P. 262.
- Barengolts S.A., Uimanov I.V., Oreshkin V.I., Khishchenko K.V., Oreshkin E.V. Plasma–Liquid Interaction During a Pulsed Vacuum Breakdown // J. Appl. Phys. 2021. V. 129. P. 133301.
- Савватимский А.И. Теплоемкость и электросопротивление металлов Ta и W от точки плавления до 7000 К при импульсном нагреве током // ТВТ. 2021. Т. 59. № 5. С. 686.
- Barengolts S.A., Uimanov I.V., Oreshkin V.I., Khishchenko K.V., Oreshkin E.V. Effect of the Temperature of an Electrode Microprotrusion on the Microcrater Formation on the Electrode Surface upon Pulsed and Radiofrequency Vacuum Breakdowns // Vacuum. 2022. V. 204. P. 111364.
- Савватимский А.И., Онуфриев С.В., Седегов А.С., Юдин С.Н., Московских Д.О. Теплофизические свойства высокоэнтропийного карбида (HfTaTiNbZr)C при температурах от 2500 до 5500 К // ТВТ. 2022. Т. 60. № 5. С. 672.
- Бельхеева Р.К. Уравнение состояния для сильнопористого вещества // ТВТ. 2015. Т. 53. № 3. С. 367.
- Ломоносов И.В., Фортова С.В. Широкодиапазонные полуэмпирические уравнения состояния вещества для численного моделирования высокоэнергетических процессов // ТВТ. 2017. Т. 55. № 4. С. 596.
- Гилев С.Д. Малопараметрическое уравнение состояния алюминия // ТВТ. 2020. Т. 58. № 2. С. 179.
- Бельхеева Р.К. Модель коэффициента Грюнайзена для широкого диапазона плотностей на примере меди // ТВТ. 2021. Т. 59. № 4. С. 514.
- Маевский К.К. Численное моделирование термодинамических параметров углерода // ТВТ. 2021. Т. 59. № 5. С. 701.
- Апфельбаум Е.М., Воробьев В.С. Универсальное уравнение состояния для критической и сверхкритических областей // ТВТ. 2021. Т. 59. № 6. С. 852.
- Маевский К.К. Численное моделирование термодинамических параметров германия // ТВТ. 2022. Т. 60. № 6. С. 837.
- Бушман А.В., Ефремов В.П., Ломоносов И.В., Уткин А.В., Фортов В.Е. Ударная сжимаемость и уравнение состояния углепластика при высоких плотностях энергии // ТВТ. 1990. Т. 28. № 6. С. 1232.
- Бушман А.В., Жерноклетов М.В., Ломоносов И.В., Сутулов Ю.Н., Фортов В.Е., Хищенко К.В. Ударная сжимаемость и уравнение состояния полиимида // Письма в ЖЭТФ. 1993. Т. 58. № 8. С. 640.
- Бушман А.В., Ломоносов И.В., Фортов В.Е., Хищенко К.В. Уравнения состояния полимерных материалов при высоких давлениях // Хим. физика. 1994. Т. 13. № 1. С. 64.
- Бушман А.В., Ломоносов И.В., Фортов В.Е., Хищенко К.В. Уравнения состояния насыщенных органических соединений при высоких давлениях // Хим. физика. 1994. Т. 13. № 5. С. 97.
- Хищенко К.В., Жерноклетов М.В., Ломоносов И.В., Сутулов Ю.Н. Динамическая сжимаемость, адиабаты разгрузки и уравнение состояния стильбена при высоких плотностях энергии // ЖТФ. 2005. Т. 75. № 2. С. 57.
- Khishchenko K.V. Equation of State for Bismuth at High Energy Densities // Energies. 2022. V. 15. № 19. P. 7067.
- Khishchenko K.V. Equation of State of Hafnium at High Pressures in Shock Waves // Phys. Wave Phenom. 2023. V. 31. № 2. P. 123.
- Альтшулер Л.В., Кормер С.Б., Баканова А.А., Трунин Р.Ф. Уравнения состояния алюминия, меди и свинца для области высоких давлений // ЖЭТФ. 1960. Т. 38. № 3. С. 790.
- Кормер С.Б., Фунтиков А.И., Урлин В.Д., Колесникова А.Н. Динамическое сжатие пористых металлов и уравнение состояния с переменной теплоемкостью при высоких температурах // ЖЭТФ. 1962. Т. 42. № 3. С. 686.
- Skidmore I.C., Morris E. Experimental Equation-of-state Data for Uranium and Its Interpretation in the Critical Region // Thermodynamics of Nuclear Materials. Vienna: IAEA, 1962. P. 173.
- Morgan D.T., Rockowitz M., Atkinson A.L. Measurement of the Grueneisen Parameter and the Internal Energy Dependence of the Solid Equation of State for Aluminum and Teflon. Tech. Rep. AFWL-TR-65-117. Kirtland Air Force Base, NM: Air Force Weapons Laboratory, 1965.
- Anderson G.D., Doran D.G., Fahrenbruch A.L. Equation of State of Solids: Aluminum and Teflon. Tech. Rep. AFWL-TR-65-147. Kirtland Air Force Base, NM: Air Force Weapons Laboratory, 1965.
- Альтшулер Л.В., Чекин Б.С. Метрология высоких импульсных давлений // Докл. I Всес. cимп. по импульсным давлениям. М.: ВНИИФТРИ, 1974. Т. 1. С. 5.
- Альтшулер Л.В., Калиткин Н.Н., Кузьмина Л.В., Чекин Б.С. Ударные адиабаты при сверхвысоких давлениях // ЖЭТФ. 1977. Т. 72. № 1. С. 317.
- LASL Shock Hugoniot Data / Ed. Marsh S.P. Berkeley: Univ. of California Press, 1980.
- Волков Л.П., Волошин Н.П., Владимиров А.С., Ногин В.Н., Симоненко В.А. Ударная сжимаемость алюминия при давлении 10 Мбар // Письма в ЖЭТФ. 1980. Т. 31. № 11. С. 623.
- Альтшулер Л.В., Баканова А.А., Дудоладов И.П., Дынин Е.А., Трунин Р.Ф., Чекин Б.С. Ударные адиабаты металлов. Новые данные, статистический анализ и общие закономерности // ПМТФ. 1981. № 2. С. 3.
- Mitchell A.C., Nellis W.J. Shock Compression of Aluminum, Copper, and Tantalum // J. Appl. Phys. 1981. V. 52. № 5. P. 3363.
- Симоненко В.А., Волошин Н.П., Владимиров А.С., Нагибин А.П., Ногин В.Н., Попов В.А., Сальников В.А., Шойдин Ю.А. Абсолютные измерения ударной сжимаемости алюминия при давлениях p ≥ 1 ТПа // ЖЭТФ. 1985. Т. 88. № 4. С. 1452.
- Трунин Р.Ф. Сжимаемость различных веществ при высоких давлениях ударных волн. Обзор // Изв. АН СССР. Сер. Физика Земли. 1986. № 2. С. 26.
- Глушак Б.Л., Жарков А.П., Жерноклетов М.В., Терновой В.Я., Филимонов А.С., Фортов В.Е. Экспериментальное изучение плотной плазмы металлов при высоких концентрациях энергии // ЖЭТФ. 1989. Т. 96. № 4. С. 1301.
- Трунин Р.Ф., Панов Н.В., Медведев А.Б. Ударная сжимаемость железа, алюминия и тантала при терапаскальных давлениях // Хим. физика. 1995. Т. 14. № 2–3. С. 97.
- Трунин Р.Ф., Панов Н.В., Медведев А.Б. Ударная сжимаемость железа, алюминия и тантала при терапаскальных давлениях, полученных в лабораторных условиях // ТВТ. 1995. Т. 33. № 2. С. 329.
- Аврорин Е.Н., Водолага Б.К., Волошин Н.П., Коваленко Г.В., Куропатенко В.Ф., Симоненко В.А., Черноволюк Б.Т. Экспериментальное изучение оболочечных эффектов на ударных адиабатах конденсированных веществ // ЖЭТФ. 1987. Т. 93. № 2. С. 613.
- Трунин Р.Ф., Подурец М.А., Симаков Г.В., Попов Л.В., Севастьянов А.Г. Новые данные по сжимаемости алюминия, плексигласа и кварца, полученные в условиях сильной ударной волны подземного ядерного взрыва // ЖЭТФ. 1995. Т. 108. № 3. С. 581.
- Трунин Р.Ф., Панов Н.В., Медведев А.Б. Сжимаемость железа, алюминия, молибдена, титана и тантала при давлениях ударных волн 1–2.5 ТПа // Письма в ЖЭТФ. 1995. Т. 62. № 7. С. 572.
- Knudson M.D., Lemke R.W., Hayes D.B., Hall C.A., Deeney C., Asay J.R. Near-absolute Hugoniot Measurements in Aluminum to 500 GPa Using a Magnetically Accelerated Flyer Plate Technique // J. Appl. Phys. 2003. V. 94. № 7. P. 4420.
- Трунин Р.Ф., Гударенко Л.Ф., Жерноклетов М.В., Симаков Г.В. Экспериментальные данные по ударно-волновому сжатию и адиабатическому расширению конденсированных веществ. Саров: РФЯЦ–ВНИИЭФ, 2006.
- Orlov N.Yu., Kadatskiy M.A., Denisov O.B., Khishchenko K.V. Application of Quantum-statistical Methods to Studies of Thermodynamic and Radiative Processes in Hot Dense Plasmas // Matter Radiat. Extremes. 2019. V. 4. № 5. P. 054403.
- Баканова А.А., Дудоладов И.П., Сутулов Ю.Н. Ударная сжимаемость пористых вольфрама, молибдена, меди и алюминия в области низких давлений // ПМТФ. 1974. № 2. С. 117.
- Трунин Р.Ф., Симаков Г.В., Панов Н.В. Ударное сжатие пористого алюминия и никеля при мегабарных давлениях // ТВТ. 2001. Т. 39. № 3. С. 430.
- Song P., Cai L., Wang Q., Zhou X., Li X., Zhang Y., Yuan S., Weng J., Li J. Sound Velocity, Temperature, Melting along the Hugoniot and Equation of State for Two Porosity Aluminums // J. Appl. Phys. 2011. V. 110. P. 103522.
Supplementary files





