Size Dependences of the Thermal Physical Properties of Nanoparticles: Entropy and Heat of Melting
- Authors: Kuzamishev A.G.1, Shebzukhova M.A.1, Bzhikhatlov K.C.1
-
Affiliations:
- Berbekov Kabardino-Balkarian State University
- Issue: Vol 61, No 5 (2023)
- Pages: 700-705
- Section: Thermophysical Properties of Materials
- URL: https://medbiosci.ru/0040-3644/article/view/252362
- DOI: https://doi.org/10.31857/S0040364423050095
- ID: 252362
Cite item
Full Text
Abstract
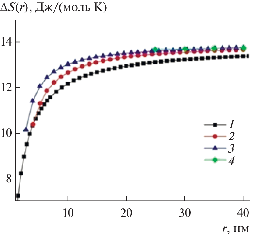
In the thermodynamic theory of phase equilibria in disperse systems, the size dependences of jumps in entropy and the heat of fusion of particles (including those in the nanometer range) are obtained with strict and consistent consideration of surface phenomena in the approach with separating surfaces. The consideration is carried out taking into account the dimensional dependences of the molar volume, melting temperature, and interfacial tension. Using the obtained relations, calculations were performed for spherical sodium and tin nanoparticles. This implies a decrease in the entropy and heat of fusion with decreasing nanoparticle size. The results are in close agreement with the experimental and calculated data available in the literature.
About the authors
A. G. Kuzamishev
Berbekov Kabardino-Balkarian State University
Email: sh-madina@mail.ru
Nalchik, Russia
M. A. Shebzukhova
Berbekov Kabardino-Balkarian State University
Email: sh-madina@mail.ru
Nalchik, Russia
K. Ch. Bzhikhatlov
Berbekov Kabardino-Balkarian State University
Author for correspondence.
Email: sh-madina@mail.ru
Nalchik, Russia
References
- Радунер Э. Размерные эффекты в наноматериалах. М.: Техносфера, 2010. 367 с.
- Jiang Q., Shi F.G. Entropy for Solid–Liquid Transition in Nanocrystals // Mater. Lett. 1998. V. 37. P. 79.
- Jiang Q., Yang C.C., Li J.C. Melting Enthalpy Depression of Nanocrystals // Mater. Lett. 2002. V. 56. P. 1019.
- Shandiz M.A., Safaci A. Melting Entropy and Enthalpy of Metallic Nanoparticles // Mater. Lett. 2008. V. 62. P. 3954.
- Сумм Б.Д. Основы коллоидной химии. М.: Академия, 2006. 240 с.
- Андриевский Р.А. Основы наноструктурного материаловедения. М.: Бином, 2012. 252 с.
- Singh M., Taele B.M., Patel G. Effect of Shape and Size on Curie Temperature, Debye Frequency, Melting Entropy and Enthalpy of Nanosolids // Orient. J. Chem. 2018. V. 34. № 5. P. 2282.
- Regel A.R., Glazov V.M. Entropy of Melting of Semiconductors // Semiconductors. 1995. V. 29. P. 405.
- Qi W.H., Wang M.P., Liu Q.H. Shape Factor of Nonspherical Nanoparticles // Mater. Sci. 2005. V. 40. P. 2737.
- Цю Я., Лью В., Чжан В., Чжай Ч. Теоретическое изучение влияния размерного фактора на энтропию и энтальпию плавления для наночастиц олова, серебра, меди и индия // ФММ. 2019. Т. 120. № 5. С. 451.
- Kumar R., Sharma G., Kumar M. Effect of Size and Shape on the Vibrational and Thermodynamic Properties of Nanomaterials // J. Thermodyn. 2013. V. 5. P. 5.
- Сдобняков Н.Ю., Комаров П.В., Колосов А.Ю., Новожилов Н.В., Соколов Д.Н., Кульпин Д.А. Расчет размерных зависимостей теплоты плавления наночастиц металлов // Конденсированные среды и межфазные границы. 2013. Т. 15. № 3. С. 337.
- Сдобняков Н.Ю., Соколов Д.Н., Мясниченко В.С., Базулев А.Н. Расчет размерных зависимостей теплот плавления и кристаллизации наночастиц металлов В сб.: Физико-химические аспекты изучения кластеров, наноструктур и наноматериалов / Под ред. Самсонова В.М. Тверь: ТГУ, 2014. Вып. 6. С. 342.
- Самсонов В.М., Сдобняков Н.Ю., Васильев С.А., Соколов Д.Н. О размерной зависимости теплоты плавления металлических нанокластеров // Изв. РАН. Сер. физическая. 2016. Т. 80. № 5. С. 547.
- Кузамишев А.Г., Шебзухова М.А., Бжихатлов К.Ч., Шебзухов А.А. Размерные зависимости теплофизических свойств наночастиц. Поверхностное натяжение // ТВТ. 2022. Т. 60. № 3. С. 343.
- Русанов А.И. Фазовые равновесия и поверхностные явления. Л.: Химия, 1967. 388 с.
- Шебзухова М.А., Шебзухов А.А. Размерные зависимости межфазного натяжения на границе твердое‒жидкость и температуры плавления металлических наночастиц // Изв. РАН. Сер. физическая. 2012. Т. 76. № 7. С. 863.
- Шебзухов З.А., Шебзухова М.А., Шебзухов А.А. Поверхностное натяжение и поверхностная энергия металлических наночастиц // Изв. Каб.-Балк. ун-та. 2010. № 7. С. 17.
- Скрипов В.П., Файзуллин М.З. Фазовые переходы кристалл‒жидкость‒пар и термодинамическое подобие. М.: Физматлит, 2003. 160 с.
- Vogelsberger W.J., Marx G. Zur Krümmungsabhängigkeit der Oberflächenspannung kleiner Tröpfchen // Z. Phys. Chem. 1976. Bd. 257. № 3. S. 580.
- Vogelsberger W.J., Sonnefeld J., Rudakoff G. Thermodynamic Considerations on the Stability of Colloidal Dispersions with Ionizable Surface Groups Like Silica Sols // Z. Phys. Chem. 1985. V. 226. P. 225.
- Скрипов В.П., Файзуллин М.З. Поведение скачков объема и энтропии на линии плавления и на ее низкотемпературном продолжении // Фазовые превращения в метастабильных системах. Екатеринбург: УНЦ АН СССР, 1983. С. 18.
- Глазов В.М., Лазарев В.Б., Жаров В.В. Фазовые диаграммы простых веществ. М.: Наука, 1980. 271 с.
- Станкус С.В., Хайрулин Р.А. Плотность сплавов системы олово–свинец в твердом и жидком состояниях // ТВТ. 2006. Т. 44. № 3. С. 393.
- Safaei A., Shandiz M.A. Size-dependent Thermal Stability and the Smallest Nanocrystal // Phys. E. 2009. V. 41. P. 359.
- Lai S.L., Guo J.V., Petrova V., Ramanathal G., Allen L.H. Size-dependent Melting Properties of Small Tin Particles: Nanocalorimetric Measurements // Phys. Rev. Lett. 1996. V. 77. P. 99.
Supplementary files



