Excitation of Stationary Cross-Flow Instability Modes Using a Plasma Actuator Based on Dielectric Barrier Discharge
- Authors: Kotvitsky A.Y.1, Moralev I.A.1, Ustinov M.V.2, Abdullaev A.A.3
-
Affiliations:
- Joint Institute for High Temperatures, Russian Academy of Sciences
- Central Aerohydrodynamic Institute
- Moscow Institute of Physics and Technology
- Issue: Vol 61, No 6 (2023)
- Pages: 830-835
- Section: Исследование плазмы
- URL: https://medbiosci.ru/0040-3644/article/view/252381
- DOI: https://doi.org/10.31857/S004036442306008X
- ID: 252381
Cite item
Full Text
Abstract
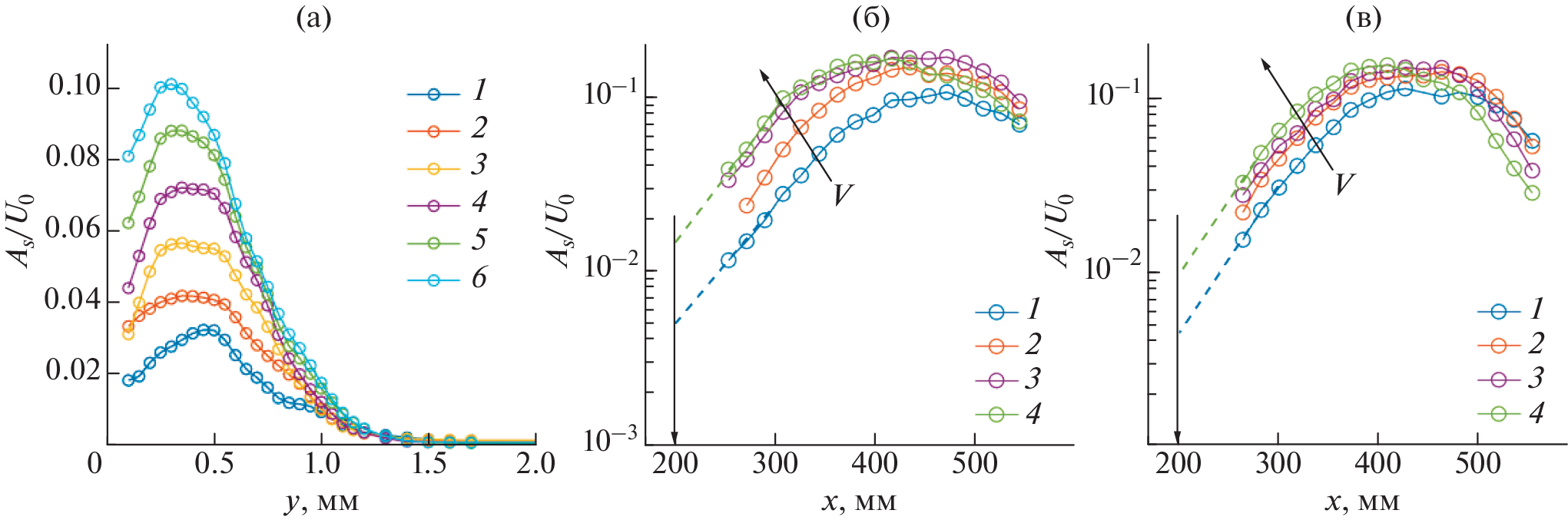
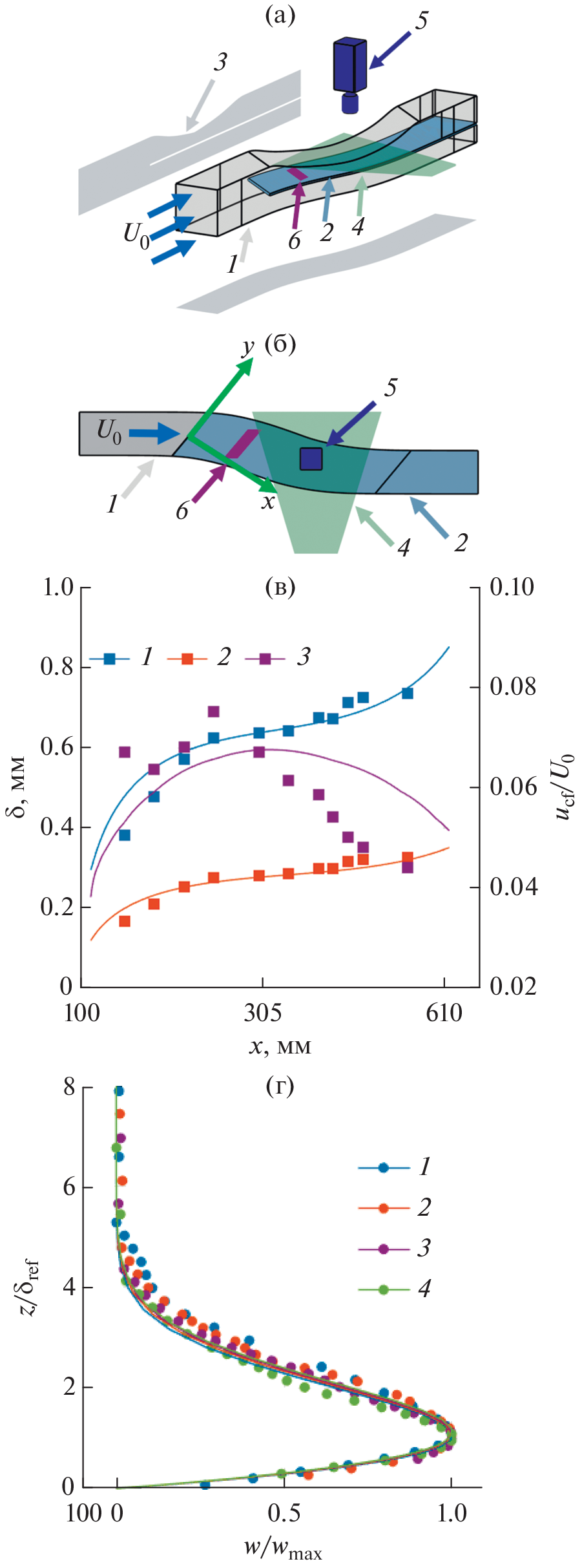
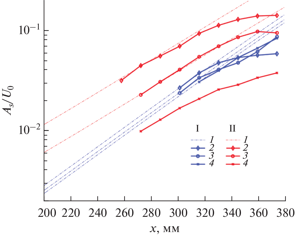
The article presents the results of studying the stationary mode of cross-flow instability excited by a plasma actuator based on dielectric barrier discharge in a three-dimensional boundary layer on a swept plate with an induced pressure gradient. It is shown that the actuator generates an instability mode of a given wavelength with an initial amplitude of up to 2% of the free-stream velocity, while the signal-to-noise ratio is no greater than 15%. As a result of a parametric study, a family of growth curves of the excited instability mode was obtained as a function of the parameters of the voltage supplying the discharge. It is shown that the initial amplitude of stationary cross-flow vortices generated by the actuator in the studied range of parameters depends quadratically on the overvoltage at the electrodes and linearly on frequency, which coincides with a similar dependence for the actuator thrust.
About the authors
A. Ya. Kotvitsky
Joint Institute for High Temperatures, Russian Academy of Sciences
Email: alex.kotvitsky00@gmail.com
Moscow, Russia
I. A. Moralev
Joint Institute for High Temperatures, Russian Academy of Sciences
Email: alex.kotvitsky00@gmail.com
Moscow, Russia
M. V. Ustinov
Central Aerohydrodynamic Institute
Email: alex.kotvitsky00@gmail.com
Zhukovsky, Russia
A. A. Abdullaev
Moscow Institute of Physics and Technology
Author for correspondence.
Email: alex.kotvitsky00@gmail.com
Dolgoprudny, Russia
References
- Saric W., Reed H., White E. Stability and Transition of Three-dimensional Boundary Layers // Annu. Rev. Fluid Mech. 2003. V. 35. № 1. P. 413.
- Устинов М.В. Ламинарно-турбулентный переход в пограничном слое (обзор). Ч. 1. Основные виды ламинарно-турбулентного перехода на стреловидном крыле // Уч. зап. ЦАГИ. 2013. Т. 44. № 1. С. 3.
- Bippes H. Basic Experiments on Transition in Three-dimensional Boundary Layers Dominated by Crossflow Instability // Progress in Aerospace Sciences. 1999. V. 5. № 4. P. 363.
- Borodulin V.I., Ivanov A.V., Kachanov Y.S. Swept-wing Boundary-layer Transition at Various External Perturbations: Scenarios, Criteria, and Problems of Prediction // Phys. Fluids. 2017. V. 29. № 9. P. 094101.
- Messing R., Kloker M. Investigation of Suction for Laminar Flow Control of Three-dimensional Boundary Layers // J. Fluid Mech. 2010. V. 658. P. 117.
- Wassermann P., Kloker M. Mechanisms and Passive Control of Crossflow-vortex-induced Transition in a Three-dimensional Boundary Layer // J. Fluid Mech. 2002. V. 456. P. 49.
- Messing R., Kloker M. Effect of Suction Through Arrays of Holes in a 3-D Boundary Layer Investigated by Spatial Direct Numerical Simulation in Laminar-turbulent Transition // Proc. IUTAM Symposia “Laminar-Turbulent Transition”. Sedona: Springer, 1999. P. 235.
- Dörr P., Kloker M. Stabilization of a Three-dimensional Boundary Layer by Base-flow Manipulation Using Plasma Actuators // J. Phys. D: Appl. Phys. 2015. V. 48. № 28. P. 285205.
- Saric W., Carrillo R.B., Reibert M. Leading-edge Roughness as a Transition Control Mechanism // 36th AIAA Aerospace Sciences Meeting and Exhibit. Reno, 1998. P. 781.
- Kotsonis M., Ghaemi S., Veldhuis L., Scarano F. Measurement of the Body Force Field of Plasma Actuators // J. Phys. D: Appl. Phys. 2011. V. 44. № 4. P. 452204.
- Голуб В.В., Савельев А.С., Сеченов В.А., Сон Э.Е., Терешонок Д.В. Плазменная аэродинамика в сверхзвуковом потоке газа // ТВТ. 2010. Т. 48. № 6. С. 948.
- Стариковский А.Ю., Александров Н.Л. Управление газодинамическими потоками с помощью сверхбыстрого локального нагрева в сильнонеравновесной импульсной плазме // Физика плазмы. 2021. Т. 47. № 2. С. 126.
- Устинов М.В., Попов И.М., Селивонин И.В., Моралев И.А. Локализованное возбуждение двумерного пограничного слоя единичными микроразрядами в плазменном актуаторе // ПМТФ. 2022. Т. 63. № 4. С. 3.
- Yadala S., Hehner M., Serpieri J., Benard N., Dörr P., Kloker M., Kotsonis M. Experimental Control of Swept-wing Transition through Base-flow Modification by Plasma Actuators // J. Fluid Mech. 2018. V. 844. P. R2.
- Baranov S.A., Chernyshev S.L., Khomich V.Yu. et al. Experimental Cross-flow Control in a 3D Boundary Layer by Multi-discharge Plasma Actuators // Aerosp. Sci. Technol. 2021. V. 112. P. 106643.
- Баранов С.А., Киселёв А.Ф., Моралев И.А., Сбоев Д.С., Толкачёв С.Н., Чернышев С.Л. Управление ламинарно-турбулентным переходом в трехмерном пограничном слое при повышенной внешней турбулентности с помощью диэлектрического барьерного разряда // Докл. РАН. 2019. Т. 486. № 6. С. 668.
- Selivonin I.V., Lazukin A.V., Moravel I.A., Krivov S.A. Effect of Electrode Degradation on the Electrical Characteristics of Surface Dielectric Barrier Discharge // Plasma Sources Sci. Technol. 2018. V. 27. № 8. P. 850003.
- Moralev I., Bityurin V., Firsov A., Sherbakova V., Selivonin I., Ustinov M. Localized Micro-discharges Group Dielectric Barrier Discharge Vortex Generators: Disturbances Source for Active Transition Control // J. Aerosp. Eng. 2020. V. 234. № 1. P. 42.
- Moralev I., Sherbakova V., Selivonin I., Bityurin V., Ustinov M. Effect of the Discharge Constriction in DBD Plasma Actuator on the Laminar Boundary Layer // Int. J. Heat Mass Transfer. 2018. V. 116. P. 1326.
Supplementary files








