High-Temperature Deformation of a Granulated Nickel Alloy
- Authors: Abashev D.R.1, Bondar V.S.1, Dikovitskyi P.O.1, Morozov S.V.1, Larionova O.E.1
-
Affiliations:
- Moscow Polytechnic University
- Issue: Vol 61, No 6 (2023)
- Pages: 886-890
- Section: Thermophysical Properties of Materials
- URL: https://medbiosci.ru/0040-3644/article/view/252388
- DOI: https://doi.org/10.31857/S0040364423060017
- ID: 252388
Cite item
Full Text
Abstract
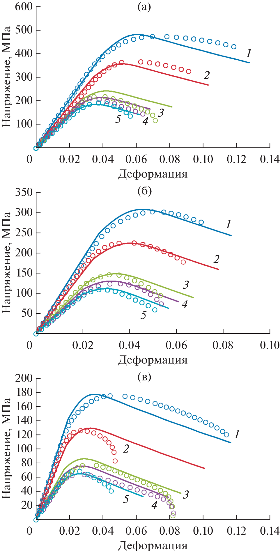
A variant of thermoviscoplasticity theory is proposed, by mathematical modeling of the viscoplastic behavior of a granulated nickel alloy under high-temperature conditions and based on flow theory with combined hardening. The variant of thermoviscoplasticity theory is generalized to nonisothermal loading and the dependence of the loading process on the strain rate. The results of experiments on uniaxial tension for cylindrical samples of a granulated nickel alloy at high temperatures and various strain rates are presented. The calculated viscoplastic strain diagrams are compared with experimental ones. Satisfactory agreement between the calculated and experimental results is observed, which indicates the adequacy of this variant thermoviscoplasticity theory and the method for identifying the material parameters.
About the authors
D. R. Abashev
Moscow Polytechnic University
Email: tm@mospolytech.ru
Moscow, Russia
V. S. Bondar
Moscow Polytechnic University
Email: tm@mospolytech.ru
Moscow, Russia
P. O. Dikovitskyi
Moscow Polytechnic University
Email: tm@mospolytech.ru
Moscow, Russia
S. V. Morozov
Moscow Polytechnic University
Email: tm@mospolytech.ru
Moscow, Russia
O. E. Larionova
Moscow Polytechnic University
Author for correspondence.
Email: tm@mospolytech.ru
Moscow, Russia
References
- Бурлаков И.А., Морозов С.В., Боровских И.А. Расчет технологических параметров изотермической раскатки дисков газотурбинных двигателей // Заготовительные производства в машиностроении. 2010. № 2. С. 28.
- Бурлаков И.А., Морозов С.В., Морозов С.В. Автоматическая линия для изотермической раскатки заготовок дисков газотурбинных двигателей // Заготовительные производства в машиностроении. 2012. № 5. С. 26.
- Целиков А.И., Казанская И.Л., Сафронов А.С. и др. Поперечно-клиновая прокатка в машиностроении. М.: Машиностроение, 1982. 192 с.
- Новожилов В.В., Кадашевич Ю.И. Микронапряжения в конструкционных материалах. Л.: Машиностроение, 1990. 224 с.
- Термопрочность деталей машин. Спр. / Под ред. Биргера И.А., Шорра Б.Ф. М.: Машиностроение, 1975. 455 с.
- Бондарь В.С. Неупругое поведение и разрушение материалов и конструкции при сложном неизотермическом нагружении. Дис. … докт. физ.-мат. наук. М.: Изд-во МАМИ, 1990. 314 с.
- Bondar V.S. Inelasticity. Variants of the Theory. N.Y.: Begell House, 2013. 194 p.
- Бондарь В.С., Горячева И.Г., Матвиенко Ю.Г. и др. Ресурс материалов и конструкций / Под общ. ред. Бондаря В.С. М.: Изд-во Моск. Политеха, 2019. 192 с.
- Волков И.А., Коротких Ю.Г. Уравнения состояния вязкоупругопластических сред с повреждениями. М.: Физматлит, 2008. 424 с.
- Темис Ю.М. Моделирование пластичности и ползучести конструкционных материалов ГТД // Матер. 49-й Междун. науч.-техн. конф. ААИ “Приоритеты развития отечественного автотракторостроения и подготовки инженерных научных кадров”. Школа-семинар “Современные модели термовязкопластичности”. Ч. 2. М.: МАМИ, 2005. С. 25.
- Armstrong P.J., Frederick C.O. A Mathematical Representation of the Multiaxial Bauscinger Effect. CEGB Rep. № RD/B/N/ 731. 1966.
- Кадашевич Ю.И. О различных тензорно-линейных соотношениях в теории пластичности // Исследования по упругости и пластичности. Сб. ст. Л.: Изд-во ЛГУ, 1967. Вып. 6. С. 39.
- Chaboche J.-L. A Rreview of Some Plasticity and Viscoplasticity Constitutive Theories // Int. J. Plasticity. 2008. V. 24. P. 1642.
- Bondar V.S., Abashev D.R. Nonisothermic Cyclic Deformation of 12Cr18Ni10Ti Steel under High Temperatures // Hihg Temp. 2022. V. 60. № 1. P. 134.
- Кибардин В.Ю., Кукуджанов В.Н. Численное моделирование локализации пластической деформации и разрушения упругопластических материалов // Изв. РАН. МТТ. 2000. № 1. С. 109.
- Кукуджанов В.Н., Кибардин В.Ю. Численное моделирование локализации деформаций и разрушения упруговязкопластических материалов // Изв. РАН. МТТ. 2001. № 1. С. 113.
- Пэжина П. Основные вопросы вязкопластичности. М.: Мир, 1968. 176 с.
Supplementary files



