Влияние внешнего потока на характеристики поверхностного барьерного разряда
- Authors: Селивонин И.В.1, Моралев И.А.1
-
Affiliations:
- Объединенный институт высоких температур РАН
- Issue: Vol 62, No 1 (2024)
- Pages: 3-11
- Section: Plasma Investigations
- URL: https://medbiosci.ru/0040-3644/article/view/272360
- DOI: https://doi.org/10.31857/S0040364424010013
- ID: 272360
Cite item
Full Text
Abstract
Проведено исследование влияния вынужденной конвекции газа в разрядной области на рассеиваемую в поверхностном барьерном разряде мощность и динамику зарядки поверхности барьера ионным током. Продемонстрировано, что вследствие конвективного охлаждения разрядной области наблюдается снижение рассеиваемой в разряде мощности, которое может достигать 50% от значений в неподвижном воздухе. Показано, что вследствие переноса облака ионов потоком происходит зарядка дальних областей поверхности барьера конвективным ионным током, что приводит к изменению распределения плотности среднего заряда поверхности.
Full Text
ВВЕДЕНИЕ
Поверхностный барьерный разряд (ПБР) – это импульсно-периодический разряд, питаемый низкочастотным напряжением поля, который развивается в газе вдоль поверхности диэлектрического барьера. В большинстве исследований электрическое поле создается парой электродов, один из них имеет острую кромку и расположен в плазмообразующей среде, а второй находится под поверхностью диэлектрика. Интерес к этому типу разряда обусловлен перспективами его применения для задач плазменной аэродинамики [1–3], плазменного воспламенения и управления горением [4, 5], обработки поверхностей [6, 7], для конверсии различных газов [8], генерации озона [9, 10] и т.д.
Разряд развивается от кромки открытого электрода вдоль диэлектрической поверхности, заряжая ее. Зарядка поверхности барьера и накопление объемного ионного заряда приводят к снижению напряженности поля в зазоре, в результате чего ток разряда прекращается. При дальнейшем росте потенциала электрода вновь создаются условия для возникновения разряда. Таким образом, разряд существует в виде последовательности слабых токовых импульсов, соответствующих отдельным микроразрядам различных поколений [11, 12]. Следует отметить, что зарядка поверхности приводит к искажению структуры электрического поля у кромки, что также влияет на развитие барьерного разряда [13]. Поверхностный заряд накапливается как в течение токового импульса, так и после него в результате дрейфа ионного облака.
При движении газа как целого на зарядку влияют как дрейф, так и конвекция ионов. Распределение заряда по поверхности может влиять на скорость и структуру индуцированного разрядом ионного ветра, что может быть важно в ряде приложений. В некоторых работах было продемонстрировано, что вследствие конвективного переноса ионного заряда внешним потоком наблюдаются существенные изменения напряжения зажигания и тока разряда, а также характеристик отдельных микроразрядов [14], распределения интенсивности свечения разряда [15] и индуцируемой им объемной силы [16].
Кроме того, внешний поток влияет на температуру газа в зоне горения разряда. Было продемонстрировано [17], что под действием внешнего потока происходит изменение распределения температуры газа и барьера, что должно влиять на структуру разряда и его электрические характеристики. Конвективное охлаждение разрядной области может приводить к заметному снижению рассеиваемой в разряде мощности, что снижает эффективность устройств на основе ПБР вплоть до 30% [18].
Исследование влияния течения газа в газоразрядной области на свойства разряда и эксплуатационные характеристики устройств на его основе является актуальной задачей для плазменной аэродинамики, решение которой позволит более точно предсказывать поведение ПБР-актуаторов при условиях работы, максимально приближенных к реальным.
ОПИСАНИЕ ЭКСПЕРИМЕНТА
Барьерный разряд исследовался в асимметричной конфигурации кромка-плоскость (рис. 1). В качестве диэлектрического барьера использовалась алундовая керамика толщиной 1 мм с диэлектрической проницаемостью 10.4. Электродами служила самоклеящаяся алюминиевая фольга толщиной 20 мкм. На коронирующий электрод подавалось высокое напряжение, ответный электрод был изготовлен в виде полос шириной 1 мм и подключался к земле через измерительные емкости номиналом 470 пФ. Для предотвращения развития барьерного разряда вдоль нижней поверхности барьера ответный электрод изолировался с помощью силиконового заливочного компаунда. Измерения перенесенного заряда могли осуществляться как со всей площади ответного электрода, так и с каждой измерительной секции по отдельности с помощью физического коммутатора, что позволяло получить одномерные распределения плотности поверхностного заряда барьера.
Рис. 1. Схема разрядной ячейки: 1 – коронирующий электрод, 2 – поверхностный барьерный разряд, 3 – диэлектрический барьер, 4 – подстилающий секционированный электрод, 5 – силиконовый компаунд, 6 – коммутатор, 7 – измерительные емкости.
Питание разряда осуществлялось синусоидальным напряжением с частотой f = 200 кГц и амплитудой Ua от 3.2 до 5 кВ. Для получения зависимостей мощности от амплитуды напряжения разряд запитывался в режиме радиоимпульсов длительностью 300 мс, в течение которых амплитуда питающего напряжения Ua менялась с 3.2 до 5 кВ (рис. 2). Рассеиваемая в разряде мощность при максимальном значении амплитуды приложенного напряжения составляла около 25 Вт или 0.8 Вт с 1 мм кромки.
Рис. 2. Осциллограммы приложенного напряжения (а) и переносимого в барьерном разряде заряда (б) при питании разряда в режиме радиоимпульсов: 1 – огибающие осциллограмм, показывающие амплитудные значения величин; 2 – среднее значение перенесенного заряда за период питающего напряжения.
Параметры высокого напряжения измерялись с помощью высоковольтного щупа Tektronix P6015A с полосой пропускания 75 МГц и погрешностью 2%. Для регистрации токовых сигналов использовался цифровой запоминающий осциллограф Tektronix DPO7054C с полосой пропускания 500 МГц, частотой дискретизации до 2 × 1010 выборок в секунду и длиной записи до 5 × 107 точек.
Исследования проводились в воздухе атмосферного давления при комнатной температуре. Нагрев модели и влажность воздуха не контролировались.
Влияние внешнего потока на разряд исследовалось путем установки актуатора в турбулентный пограничный слой у обтекаемой плоской пластины. Эксперимент проводился при скоростях набегающего потока 10–60 м/с и числах Рейнольдса до 60 000. Для фиксации условий в пограничном слое на передней кромке пластины устанавливался турбулизатор. В качестве него использовалась наждачная бумага с зерном 200 мкм. Турбулизатор располагался на расстоянии 10 мм от передней кромки модели, расстояние от турбулизатора до электрода – 200 мм. В эксперименте сравнивалось влияние потока в трех вариантах расположения разряда в нем: поперек потока, вдоль навстречу потоку и вдоль по потоку.
Профили скорости в пограничном слое при скоростях набегающего потока 20–60 м/с, полученные с помощью термоанемометра (пространственное разрешение – 10 мкм, погрешность – 5%), представлены на рис. 3. Предполагая, что объемный заряд сосредоточен в слое не более 500 мкм от поверхности барьера, можно сделать вывод, что при скорости газа в ядре потока 20, 40 и 60 м/с скорость газа в разрядной области составляет около 7, 15, 25 м/с соответственно.
Рис. 3. Профили скорости потока в пограничном слое в точке установки электродов: 1 – 20 м/с, 2 – 40, 3 – 60.
МЕТОДЫ ОБРАБОТКИ ДАННЫХ
Основной измеряемой величиной являлся переносимый заряд (плотность поверхностного заряда барьера). Рассеиваемая в разряде мощность вычислялась методом вольт-кулонных циклограмм (ВКЦ) [19–23]. Суть метода заключается в анализе циклической зависимости заряда q измерительной емкости Cm = Ci (или суммарной емкости к которой подключается ответный электрод, см. рис. 1) от мгновенного значения разности потенциалов между электродами u (рис. 4). Энергию, рассеиваемую в разряде за один период приложенного напряжения, можно определить, оценив площадь ВКЦ:
где f – частота приложенного напряжения.
Рис. 4. Осциллограммы приложенного напряжения – 1 и перенесенного заряда – 2 (а) и вольт-кулонная характеристика разряда (б): заштрихованная область – энерговклад в разряд за период приложенного напряжения.
Зависимость Ua(t) вычислялась как огибающая осциллограммы U(t). Изменения среднего значения переносимого заряда были определены наложением фильтра низких частот с частотой среза fc = 10f на исходную осциллограмму заряда.
Распределения плотности поверхностного заряда получены методом секционированного электрода на основе эквивалентной электротехнической схемы замещения поверхностного барьерного разряда [24, 25].
Измеряемый на емкостях Ci заряд создается током разряда, а также паразитным током смещения через емкость электродной системы. Для компенсации паразитного тока смещения при обработке данных переносимый барьерным разрядом заряд вычислялся как qi = CiUсi – aiU, где Uсi – напряжение на измерительной емкости, ai – заряд на измерительной секции при приложенном напряжении 1 кВ, недостаточном для развития разряда, U – приложенное напряжение в кВ. Погрешность метода измерения заряда при цифровом методе компенсации составляет около 10%. Реализация этого метода детально описана в [26–28].
РЕЗУЛЬТАТЫ
Влияние внешнего потока на рассеиваемую в разряде мощность. Зависимость мощности от амплитуды приложенного напряжения изучалась для трех ориентаций разряда: при распространении каналов разряда по потоку, навстречу потоку и для случая, когда кромка электрода была ориентирована вдоль направления внешнего течения.
На рис. 5 представлены зависимости рассеиваемой в разряде мощности от амплитуды Ua приложенного напряжения и ориентации разряда. Результаты приведены для радиоимпульса питающего напряжения, в котором амплитуда напряжения сначала растет, затем падает (см. рис. 2), поэтому представляют собой замкнутые кривые. Можно видеть, что внешняя конвекция приводит к снижению мощности ПБР. Эффект сильнее проявляется при увеличении амплитуды приложенного напряжения и наиболее заметен при распространении разряда поперек потока. Снижение мощности при скорости потока 60 м/с может достигать 50% от мощности разряда, зажигаемого в неподвижном воздухе. При распространении разряда вдоль потока вниз по течению влияние потока наименее значительно и при скорости 60 м/с мощность снижается не более чем на 25%. Кроме того, на графиках можно отметить особенности в виде гистерезиса и изломов, которые свидетельствуют о смене режимов горения разряда. При постепенном росте амплитуды приложенного напряжения в разряде возникают тепловые неустойчивости в виде филаментов с высокой плотностью тока и проводимостью. При постепенном снижении энерговклада в разряд распад филаментов происходит при меньших значениях амплитуды напряжения, и наблюдается тепловой гистерезис: зависимости P(Ua) не совпадают при росте и падении Ua [29, 30].
Рис. 5. Зависимость рассеиваемой в разряде мощности от амплитуды Ua приложенного напряжения при различных скоростях потока (1 – 0 м/с, 2 – 20, 3 – 40, 4 – 60) и ориентациях разряда в нем: (а) – по течению, (б) – против течения, (в) – поперек течения.
Влияние потока на динамику зарядки поверхности. Важным параметром, отвечающим за величину и структуру объемной силы, создаваемую ПБР, является плотность заряда, который оседает на поверхности барьера. В данной работе анализировалась величина среднего за период питающего напряжения заряда.
Необходимо отметить, что поскольку измерения в данном разделе проводятся in situ, измеренные значения заряда включают как заряд поверхности диэлектрика, так и объемный заряд, сосредоточенный в разрядной области.
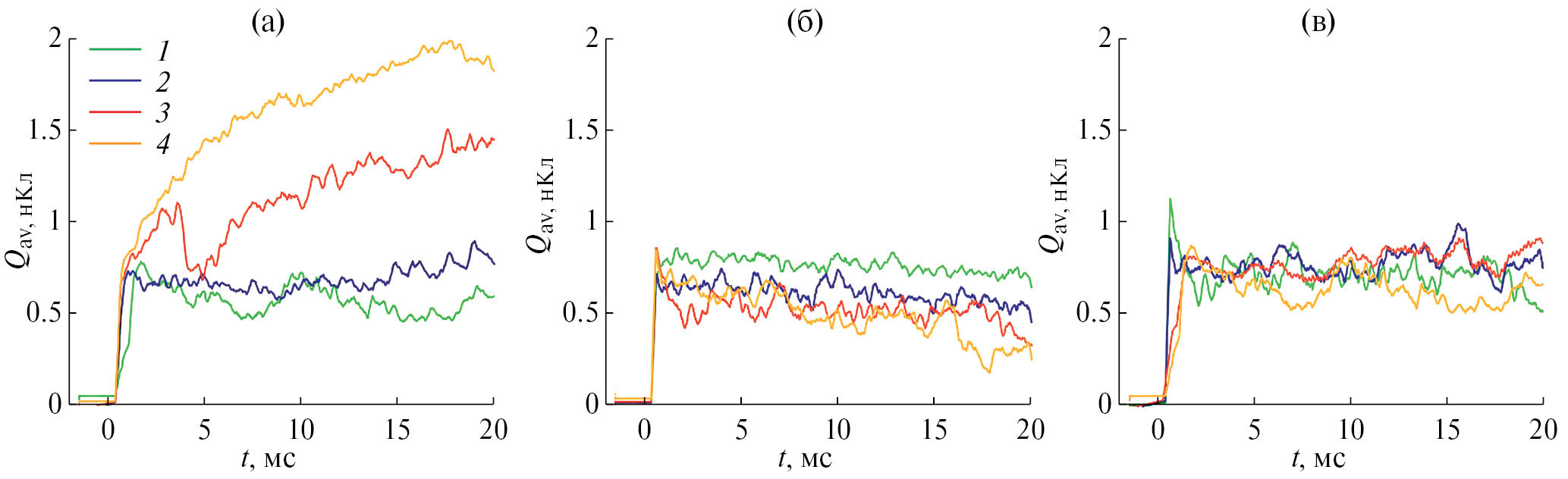
На рис. 6 представлены зависимости среднего заряда барьера от времени. Общий заряд поверхности всегда положительный. Можно видеть, что зарядка диэлектрика до некоторого значения происходит быстро, в течение нескольких периодов питающего напряжения, независимо от ориентации разряда по отношению к потоку.
Рис. 6. Динамика среднего по периоду заряда Qav поверхности барьера при различных скоростях потока (1 – 0 м/с, 2 – 20, 3 – 40, 4 – 60) и ориентациях разряда в нем: (а) – по течению, (б) – против течения, (в) – поперек течения; момент t = 0 мс соответствует включению разряда; амплитуда питающего напряжения – 5 кВ.
Динамика зарядки на временах, много больших периода питающего напряжения, зависит от ориентации внешнего течения. В случае развития разряда по потоку наблюдается постепенный рост среднего заряда за времена порядка десятков миллисекунд. Эффект проявляется сильнее при увеличении скорости потока. При распространении разряда навстречу потоку либо поперек потока влияния скорости течения на зарядку поверхности не выявлено.
Влияние потока на структуру распределения поверхностного заряда. С использованием метода секционированного электрода (см. рис. 1) также было получено одномерное распределение среднего заряда по поверхности диэлектрика. Зависимость плотности заряда поверхности от расстояния до кромки электрода (x = 0) в различные моменты времени приведено на рис. 7а, изображение разряда показано на рис. 7б. Наиболее близкие к кромке области оказываются в среднем практически незаряженными. На небольших удалениях от кромки происходит быстрая перезарядка поверхности в результате пробоя между кромкой электрода и диэлектриком, в связи с чем долгоживущего ионного заряда в этих областях не формируется. Подобные особенности распределений плотности поверхностного заряда были также продемонстрированы другими исследователями при помощи методов электростатических зондов [31, 32] и электрографии [33]. Далее плотность среднего заряда сначала резко возрастает при удалении от электрода, затем плавно снижается до нуля. Распределение устанавливается за время порядка 100 мкс и практически не меняется со временем.
Рис. 7. Распределение заряда, индуцированного на поверхности диэлектрика, в различные моменты времени после инициации разряда (1 – 50 мкс, 2 – 100, 3 – 150, 4 – 250, 5 – 30 мс) при амплитуде приложенного напряжения 5 кВ в неподвижном воздухе (а); (б) – изображение разряда при этих параметрах, полученное с экспозицией 30 мс.
На рис. 8а показано распределение заряда по поверхности в различные моменты времени при скорости в ядре потока 60 м/с при зажигании разряда по потоку. В приэлектродных областях установление распределения происходит по-прежнему за времена менее 10 мс. Однако для расстояний, удаленных от кромки более чем на 5 мм, наблюдается рост среднего заряда поверхности в течение более 25‒30 мс.
Рис. 8. Распределение заряда, индуцированного на поверхности диэлектрика, в различные моменты времени (1 – 50 мкс, 2 – 10 мс, 3 – 15, 4 – 25, 5 – 30) при скорости набегающего потока 60 м/с (а) и при различных скоростях потока (1 – 0 м/с, 2 – 20, 3 – 40, 4 – 60) в момент времени 30 мс после зажигания разряда (б): разряд ориентирован вниз по потоку, амплитуда приложенного напряжения – 5 кВ.
Распределение заряда на момент 30 мс по поверхности при различных скоростях набегающего потока показаны на рис. 8б. При увеличении скорости внешнего потока наблюдается процесс постепенной зарядки удаленных от кромки коронирующего электрода областей.
При зажигании разряда против и поперек потока полученные распределения плотности заряда не имеют видимых отличий от полученных для случая разряда в неподвижном газе.
ОБСУЖДЕНИЕ РЕЗУЛЬТАТОВ
Конвективное охлаждение разрядной области. Как уже упоминалось ранее, ПБР существует в виде последовательности индивидуальных микроразрядов, соответствующих токовым импульсам с амплитудой порядка 1–100 мА и длительностью 10–100 нс. Токовые импульсы следуют со скважностью, которая при неизменных условиях зажигания разряда определяется инкрементом разности потенциалов на электродах и приблизительно линейно зависит от частоты и амплитуды приложенного напряжения. При параметрах питающего напряжения Ua = 5 кВ и f = 200 кГц наблюдается около 30–50 токовых импульсов за полупериод питающего напряжения [34]. Микроразряды существуют в течение активной фазы разряда, которая длится примерно 1/4 периода питающего напряжения, что составляет 1.25 мкс. Таким образом, задержка между последовательными токовыми импульсами составляет около 40 нс, что сравнимо с длительностью протекания тока в импульсе. Тепловая релаксация области нагретого микроразрядом газа, очевидно, происходит за существенно бόльшие времена, вследствие чего каждый последующий микроразряд в течение активной фазы развивается при большей температуре.
На основании полученных результатов можно предположить, что одним из основных механизмов воздействия потока на разряд является охлаждение разрядной области в результате вынужденной конвекции. Нагрев газа в разрядной области ведет к локальному росту его проводимости и соответствующему увеличению плотности тока что в свою очередь приводит к еще большему нагреву, т.е. возникает перегревная неустойчивость [29]. Кроме того, вследствие снижения плотности газа при нагреве происходит увеличение приведенного поля E/n, что может снижать необходимую для инициации микроразряда напряженность электрического поля у электродной кромки и способствовать росту количества микроразрядов при тех же параметрах приложенного напряжения [35].
В случае размещения разряда во внешнем потоке включается механизм вынужденной конвекции. В течение активной фазы разряда нагретый микроразрядами газ успевает сместиться потоком со скоростью 60 м/с (25 м/с в разрядной области) на расстояние около 30 мкм, что сравнимо с диаметром канала микроразряда. Таким образом, при зажигании разряда поперек потока нагретый микроразрядом первого поколения газ успевает полностью покинуть область, занимаемую первыми микроразрядами в активной фазе разряда.
При развитии разряда вдоль потока нагретый газ не покидает области развития канала микроразряда, и разряд развивается в собственном тепловом следе, вследствие чего механизм конвективного охлаждения разрядной области работает не столь эффективно.
Также следует отметить тот факт, что при поперечном расположении относительно потока разряд на длительных временах более однороден, чем в случае продольного расположения. Это приводит к ослаблению положительной обратной связи между нагревом газа разрядом и плотностью энерговклада в нем, что также отражается на снижении рассеиваемой в разряде мощности.
Конвективный перенос заряда и ионный ток. Поскольку внешний поток очевидным образом влияет на распределения среднего заряда, логично предположить, что за формирование заряда ответственны ионы. При наличии внешнего потока в процессе зарядки поверхности участвует не только дрейфовый, но и конвективный механизм переноса ионов. При этом механизмами релаксации ионного заряда на поверхности барьера можно пренебречь ввиду малой ее проводимости и, соответственно, большой длительности протекания процессов релаксации (порядка 0.1–1 c).
При напряженности электрического поля E = 5 кВ/см скорость дрейфа положительных ионов N2+ и O2+ имеет верхнюю оценку 6 × 104 см/с [36]. Очевидно, что скорость дрейфа ионов в этом случае оказывается существенно выше скорости потока в разрядной области. В первом приближении можно принять, что , тогда в случае потока со скоростью в ядре 60 м/с (25 м/с в разрядной области) получаем .
Рассчитаем ионный ток зарядки поверхности как i(t) = dq(t)/dt. Полученный для скорости потока 60 м/с результат показан на рис. 9 красным цветом.
Рис. 9. Динамика осредненного по периоду приложенного напряжения заряда поверхности барьера и ток зарядки при скорости потока 60 м/с: разряд ориентирован по потоку, амплитуда приложенного напряжения – 5 кВ; начало отчета – момент включения разряда; 1 – заряд, 2 – ионный ток (dq/dt), 3 – ионный ток (сглажено).
Можно видеть, что зарядка поверхности на больших временах представляет собой двухфазный процесс. Первая фаза соответствует относительно быстрой (менее 1 мс) зарядке поверхности барьера ионным током при дрейфе ионов в электрическом поле у кромки электрода и поверхности барьера. В данном эксперименте дрейфовый ионный ток мог достигать значений 140 мкА. Вторая фаза соответствует длительной зарядке поверхности барьера (более 10 мс) конвективным ионным током, величина которого в среднем приблизительно равна 7 мкА. Таким образом, можно оценить полученное в эксперименте отношение вкладов дрейфового и конвективного механизмов зарядки поверхности ионным током, которое составляет около 20, что хорошо согласуется с результатами теоретической оценки.
Следует отметить, дрейфовый и конвективный механизмы переноса ионов являются согласованными процессами: унос заряда внешним потоком приводит к изменению структуры электрического поля и, как следствие, изменению скорости дрейфа ионов.
Влияние конвективного механизма переноса ионов наиболее заметно при зарядке удаленных от кромки областей барьера, которые практически не заряжаются дрейфовым ионным током (7–9 мм от кромки, см. рис. 8). При инициировании разряда в неподвижном воздухе плотность заряда в этих областях мала. Поэтому предполагаемого дополнительного снижения плотности заряда при развитии разряда против течения газа не наблюдается вследствие погрешностей используемых в работе методов. По этой причине заметные искажения распределения плотности поверхностного заряда имеют место только при развитии разряда по направлению течения.
В [31] было отмечено увеличение среднего заряда поверхности, формируемого положительными ионами при длительном горении разряда и в неподвижном воздухе. В этом случае физическим механизмом, ответственным за накопление заряда на поверхности, является положительная обратная связь между плотностью заряда поверхности и напряженностью результирующего электрического поля в различные полупериоды приложенного напряжения. Положительный заряд поверхности дополнительно увеличивает напряженность поля в зазоре в отрицательную фазу приложенного напряжения и снижает в положительную. Этот эффект также приводит к увеличению тяги, создаваемой разрядом. Однако характерное время протекания этих процессов составляет порядка 105 периодов приложенного напряжения, что на два порядка превышает наблюдаемый в случае конвективного переноса ионов эффект.
ЗАКЛЮЧЕНИЕ
Проведено исследование влияния внешнего потока на рассеиваемую в ПБР мощность и динамику зарядки поверхности барьера ионным током. Выявлено, что существует два основных механизма воздействия потока на разряд: конвективное охлаждение разрядной зоны и конвективный перенос ионов.
Вследствие конвективного охлаждения разрядной области наблюдается снижение рассеиваемой в разряде мощности во всем исследуемом диапазоне напряжений. Эффект сильнее проявляется при увеличении амплитуды приложенного напряжения и наиболее заметен при ориентации разряда поперек потока. Снижение мощности при скорости потока 60 м/с может достигать 50% от мощности разряда, зажигаемого в неподвижном воздухе. Влияние ориентации разряда в потоке на интенсивность вынужденной конвекции объясняется тем, что зажигаемый вдоль потока разряд развивается в собственном тепловом следе, а в случае поперечного расположения нагретый газ в течение полупериода приложенного напряжения успевает покинуть занимаемую каналами микроразрядов область.
В результате конвективного ионного тока, возникающего при зажигании разряда вдоль направления потока, происходит зарядка дальних областей поверхности диэлектрика. При этом процесс зарядки явным образом разделяется на две фазы: фазу дрейфового ионного тока, которая длится менее 1 мс, и фазу конвективного ионного тока, которая длится более 20 мс. Отношение скоростей дрейфа и конвекции ионов совпадает с отношением величин дрейфового ионного тока и конвективного, что подтверждает гипотезу о конвективном переносе заряда потоком. При зажигании разряда поперек потока либо навстречу потоку заметного влияния скорости течения на динамику зарядки и структуру распределений плотности заряда не выявлено.
Работа выполнена при финансовой поддержке Министерства науки и высшего образования РФ (госзадание № 075-01129-23-00).
About the authors
И. В. Селивонин
Объединенный институт высоких температур РАН
Author for correspondence.
Email: inock691@ya.ru
Russian Federation, Москва
И. А. Моралев
Объединенный институт высоких температур РАН
Email: inock691@ya.ru
Russian Federation, Москва
References
- Corke T.C., Jumper E.J., Post M.L., Orlov D., McLaughlin T.E. Application of Weakly-ionized Plasmas as Wing Flow-control Devices // 40th AIAA Aerosp. Sci. Meet. Exhib. 2002. P. 0350.
- Moreau E. Airflow Control by Non-thermal Plasma Actuators // J. Phys. D. Appl. Phys. 2007. V. 40. № 3. P. 605.
- Kriegseis J., Simon B., Grundmann S. Towards In-flight Applications? A Review on Dielectric Barrier Discharge-based Boundary-layer Control // Appl. Mech. Rev. 2016. V. 68. № 2. P. 020802.
- Starikovskiy A., Aleksandrov N. Plasma-assisted Ignition and Combustion // Prog. Energy Combust. Sci. 2013. V. 39. № 1. P. 61.
- Starikovskaia S.M. Plasma Assisted Ignition and Combustion // J. Phys. D. Appl. Phys. 2006. V. 39. № 16. P. 265.
- Gherardi N., Gouda G., Gat E., Ricard A., Massines F. Transition from Glow Silent Discharge to Micro-discharges in Nitrogen Gas // Plasma Sources Sci. Technol. 2000. V. 9. № 3. P. 340.
- Massines F., Rabehi A., Decomps P., Gadri R.B., Ségur P., Mayoux C. Experimental and Theoretical Study of a Glow Discharge at Atmospheric Pressure Controlled by Dielectric Barrier // J. Appl. Phys. 1998. V. 83. № 6. P. 2950.
- Маланичев В.Е., Малашин М.В., Хомич В.Ю. Конверсия природного газа импульсным барьерным разрядом при атмосферном давлении // ТВТ. 2020. Т. 58. № 1. С. 25.
- Yagi S., Tanaka M. Mechanism of Ozone Generation in Air-fed Ozonisers // J. Phys. D. Appl. Phys. 1979. V. 12. № 9. P. 1509.
- Eliasson B., Hirth M., Kogelschatz U. Ozone Synthesis from Oxygen in Dielectric Barrier Discharges // J. Phys. D. Appl. Phys. 1987. V. 20. № 11. P. 1421.
- Brandenburg R. Dielectric Barrier Discharges: Progress on Plasma Sources and on the Understanding of Regimes and Single Filaments // Plasma Sources Sci. Technol. 2017. V. 26. № 5. P. 053001.
- Kogelschatz U., Eliasson B., Egli W. Dielectric-barrier Discharges. Principle and Applications // J. Phys. IV Fr. 1997. V. 7. P. C4–47.
- Кривов С.А., Ларин В.С., Соколова М.В., Черненский Л.Л., Егорова М.А. О распределении электрического поля у края электрода при поверхностном разряде // ПЖТФ. 2010. Т. 36. № 3. С. 68.
- Höft H., Becker M.M., Kettlitz M. Impact of Gas Flow Rate on Breakdown of Filamentary Dielectric Barrier Discharges // Phys. Plasmas. 2016. V. 23. № 3. P. 033504.
- Pereira R., Ragni D., Kotsonis M. Effect of External Flow Velocity on Momentum Transfer of Dielectric Barrier Discharge Plasma Actuators // J. Appl. Phys. 2014. V. 116. № 10. P. 103301.
- Поливанов П.А., Вишняков О.И., Кисловский В.А., Сидоренко А.А. Исследование влияния скорости набегающего потока на течение, индуцируемое диэлектрическим барьерным разрядом // ЖЭТФ. 2023. Т. 163. № 5. С. 717.
- Rodrigues F.F., Pascoa J.C., Trancossi M. Experimental Analysis of Dielectric Barrier Discharge Plasma Actuators Thermal Characteristics under External Flow Influence // J. Heat Transfer. 2018. V. 140. № 10. P. 1.
- Kriegseis J., Grundmann S., Tropea C. Airflow Influence on the Discharge Performance of Dielectric Barrier Discharge Plasma Actuators // Phys. Plasmas. 2012. V. 19. № 7. P. 073509.
- Kriegseis J., Grundmann S., Tropea C. Power Consumption, Discharge Capacitance and Light Emission as Measures for Thrust Production of Dielectric Barrier Discharge Plasma Actuators // J. Phys. D. Appl. Phys. 2011. V. 110. P. 013305.
- Kriegseis J., Möller B., Grundmann S., Tropea C. Capacitance and Power Consumption Quantification of Dielectric Barrier Discharge (DBD) Plasma Actuators // J. Electrostat. 2011. V. 69. № 4. P. 302.
- Manley T.C. The Electric Characteristics of the Ozonator Discharge // J. Electrochem. Soc. 1943. V. 84. P. 83.
- Pipa A.V., Koskulics J., Brandenburg R., Hoder T. The Simplest Equivalent Circuit of a Pulsed Dielectric Barrier Discharge and the Determination of the Gas Gap Charge Transfer // Rev. Sci. Instrum. 2012. V. 83. № 11. P. 115112.
- Пашин М.М., Лысов Н.Ю. Измерение энергозатрат в озонаторах с объемным барьерным разрядом // Электричество. 2011. № 12. С. 21.
- Orlov D.M., Font G.I., Edelstein D. Characterization of Discharge Modes of Plasma Actuators // AIAA J. 2008. V. 46. № 12. P. 3142.
- Orlov D.M. Modelling and Simulation of Single Dielectric Barrier Discharge Plasma Actuators. Dis. ... by Graduate Program in Aerospace and Mechanical Engineering. Notre Dame, Indiana, 2006. 205 p.
- Selivonin I., Lazukin A., Moralev I., Krivov S., Roslyakov I. Erosion of the Sputtered Electrodes in the Surface Barrier Discharge // J. Phys. Conf. Ser. 2019. V. 1394. P. 012027.
- Селивонин И.В. Влияние деградации коронирующего электрода на характеристики поверхностного барьерного разряда. Дис. …канд. физ.-мат. наук. М.: ОИВТ РАН, 2022. 162 с.
- Selivonin I.V., Lazukin A.V., Moralev I.A., Krivov S.A. Effect of Electrode Degradation on the Electrical Characteristics of Surface Dielectric Barrier Discharge // Plasma Sources Sci. Technol. 2018. V. 27. № 8. P. 085003.
- Akishev Y., Aponin G., Balakirev A. et al. Stepwise Expansion of a Surface Dielectric Barrier Discharge as a Result of Alternation in Formation of Streamers and Leaders // J. Phys. D. Appl. Phys. 2013. V. 46. P. 135204.
- Moralev I., Sherbakova V., Selivonin I., Bityurin V., Ustinov M. Effect of the Discharge Constriction in DBD Plasma Actuator on the Laminar Boundary Layer // Int. J. Heat Mass Transfer. 2018. V. 116. P. 1326.
- Cristofolini A., Borghi C., Neretti G. Charge Distribution on the Surface of a Dielectric Barrier Discharge Actuator for the Fluid-dynamic Control // J. Appl. Phys. 2013. V. 113. № 14. P. 143307.
- Cristofolini A., Neretti G., Borghi C. Effect of the Charge Surface Distribution on the Flow Field Induced by a Dielectric Barrier Discharge Actuator // J. Appl. Phys. 2013. V. 114. № 7. P. 073303.
- Gibalov V.I., Pietsch G.J. The Development of Dielectric Barrier Discharges in Gas Gaps and on Surfaces // J. Phys. D. Appl. Phys. 2000. V. 33. № 20. P. 2618.
- Selivonin I.V., Moralev I.A. Microdischarges Properties in SDBD: the Role of the Exposed Electrode Oxidation // Plasma Sources Sci. Technol. 2021. V. 30. № 3. P. 035005.
- Соколова М.В., Кривов С.А., Скуратов М.В. Поверхностный разряд при повышенных температурах воздуха // ПЖТФ. 2010. Т. 36. № 11. С. 24.
- Райзер Ю.П. Физика газового разряда. М.: Интеллект, 2009. 736 с.
Supplementary files











