Местное ускорение ламинарного потока и аномальная интенсификация теплообмена в канале с двумя рядами наклонных канавок
- Autores: Исаев С.А.1,2, Никущенко Д.В.1, Михеев Н.И.3, Душин Н.С.3, Мильман О.О.4, Клюс А.А.2, Осиюк Е.А.2
-
Afiliações:
- Санкт-Петербургский государственный морской технический университет
- Санкт-Петербургский государственный университет гражданской авиации им. Главного Маршала авиации А.А. Новикова
- ФИЦ КазНЦ РАН
- ЗАО НПВП Турбокон
- Edição: Volume 62, Nº 4 (2024)
- Páginas: 524-535
- Seção: Heat and Mass Transfer and Physical Gasdynamics
- URL: https://medbiosci.ru/0040-3644/article/view/276888
- DOI: https://doi.org/10.31857/S0040364424040073
- ID: 276888
Citar
Texto integral
Resumo
Проведено экспериментальное и численное исследование аномальной интенсификации ламинарного отрывного течения и теплообмена в канале с двумя рядами из 26 плотно расположенных канавок под углом наклона ±135° при равномерном потоке на входе и изменении чисел Re от 1000 до 5500. Обоснованы локальное ускорение потока с достижением максимальной скорости порядка 1.8 и утончение пристеночного слоя с ростом продольной скорости, доходящей до величины 1.4 на расстоянии y = 0.005 от стенки при Re = 2500, над входными сферическими сегментами канавок. Установлена корреляция ускорения и аномальной интенсификации ламинарного отрывного течения и теплообмена. Отмечено, что при Re = 2500 минимальная величина относительного отрицательного трения доходит до –7, а относительная теплоотдача от структурированного участка канала при Re = 5500 достигает 4.6.
Texto integral
ВВЕДЕНИЕ
Интенсификация ламинарного теплообмена имеет важное значение для систем охлаждения объектов микроэлектроники, таких как микрочипы компьютеров [1] и энергетических устройств, например воздушных конденсаторов [2]. В качестве инструментов интенсификации часто выступают мультимасштабные элементы дискретной шероховатости: упорядоченные выступы [3] и впадины [4]. Как правило, выступы, в частности оребрение или обвальцовка [3], способны обеспечить высокую тепловую эффективность структурированных поверхностей, однако при этом потери полного давления в каналах и трубах увеличиваются преобладающими темпами. Нанесение впадин, лунок, канавок [4] на стенки проточных трактов позволяет кардинально уменьшить гидравлические потери в них по сравнению со случаем нанесения выступов, но теплоотдача от структурированных стенок оказывается заметно меньше при использовании луночных технологий [5].
Сферические лунки получили широкое распространение для интенсификации турбулентного теплообмена около облуненных поверхностей [4, 5] и гораздо реже применяются для интенсификации ламинарных течений и теплообмена в микроканалах [6, 7].
При поиске несимметричных форм лунок, позволяющих повысить тепловую эффективность структурированных поверхностей микроканалов, внимание получили поперечные овальные лунки при шахматном расположении [8], поперечные канавки и невысокие ребра [9]. Также следует отметить комбинированные системы дискретной шероховатости, сочетающие сферические лунки и типичные вихревые генераторы флюгерного типа [10].
Овальные лунки умеренного углубления, наклоненные под углом 45° [11], позволили не только стабилизировать ориентированные под углом к потоку возникающие в сферических лунках смерчеобразные вихревые структуры, но и интенсифицировать вторичное закрученное течение с приближением максимальной поперечной скорости к характерной скорости внешнего потока. Как следствие, относительная теплоотдача от участка плоской стенки с единичной наклонной овальной лункой оказывается значительно выше, чем от участка с эквивалентной по площади пятна сферической лункой [12]. Интенсификация теплообмена в узких мини- и микроканалах с редко расположенными однорядными овальными лунками на нагретой стенке исследовалась на стабилизованном [13] и начальном [14, 15] гидродинамических участках для воздушного и масляного теплоносителей. Следует отметить, что во всех представленных работах рассматривались овальные лунки умеренного удлинения с длиной цилиндрической вставки λ порядка 0.5–1 в долях ширины лунки.
Переход к овально-траншейным лункам (ОТЛ) произошел с увеличением λ свыше 1.5–2, когда длина траншейной части стала преобладающей в сравнении с шириной лунки. С ростом λ в ОТЛ происходят перестройка течения, связанная с сокращением длины зоны возвратных токов во входной части и возрастанием их интенсивности, и интенсификация закрученного потока. Причем максимальная величина поперечной скорости имеет максимум порядка 0.85 при λ ≈ 5. На стабилизированном гидродинамическом участке турбулентного потока (Re = 104) в канале с однорядными редко расположенными (с шагом 8) ОТЛ при изменении угла наклона от 1° до 89° открыта аномальная интенсификация отрывного турбулентного течения воздуха в ОТЛ [16]. При угле наклона 60° максимальная абсолютная величина отрицательного трения в срединном продольном сечении ОТЛ более чем в 2.5 раза превосходит трение в плоскопараллельном канале. В [17–19] рассмотрено ламинарное течение воздуха (при Re = 103) в узком канале с однорядными наклоненными под углом 45° ОТЛ с варьированием глубины лунки в пределах от 0 до 0.39 высоты канала. Открыто явление полуторакратного увеличения максимальной скорости потока в ядре потока в структурированном канале в зоне над входной частью наклонных ОТЛ по сравнению с максимумом скорости в плоскопараллельном аналоге при глубинах ОТЛ свыше 0.25. При анализе ламинарного воздушного течения (Re = 103) и теплообмена на начальном гидродинамическом участке канала с 31 однорядной наклонной ОТЛ при условиях симметрии на боковых границах участка аномальная интенсификация отрывного течения в ОТЛ наблюдается при их плотном расположении [20]. Показано, что по мере удаления от входа минимальная величина относительного отрицательного трения в характерном продольном сечении канала, проходящем через центр сечения стыковки входного сферического сегмента и траншейной части ОТЛ, достигает –4. Раскрыт физический механизм явления аномальной интенсификации отрывного течения и теплообмена, связанный с образованием экстраординарного перепада давления между близко расположенными зонами торможения входящего в ОТЛ потока и низкого отрицательного давления в ядре смерчеобразного вихря, возникающего во входном полусферическом сегменте лунки [21].
Данная статья акцентирует внимание на аномальной интенсификации ламинарного отрывного течения и теплообмена (АИЛОТТ) на начальном гидродинамическом участке в узком микроканале с двухрядными ОТЛ – канавками, плотно расположенными под углом наклона к ламинарному потоку ±135° на нагретой изотермической стенке при размещении входных сферических сегментов вблизи боковых адиабатических стенок. Локальное ускорение потока в ядре канала над входными сегментами канавок и его замедление в середине канала обосновывается экспериментально и численно при числе Рейнольдса 103. Устанавливается корреляция АИЛОТТ и ускорения потока в канале, прогрессирующих с ростом Re от 103 до 5 × 103.
ПОСТАНОВКА ЗАДАЧИ, ЭКСПЕРИМЕНТАЛЬНЫЕ И РАСЧЕТНЫЕ МЕТОДЫ РЕШЕНИЯ
В экспериментальной установке рабочим телом являлся воздух, движение которого создавалось многоступенчатой воздуходувкой, работающей на всасывание. Необходимая средняя скорость течения задавалась набором калиброванных на государственном эталоне ГЭТ 118 сопел при критическом режиме истечения.
Исследования выполнены в оптически прозрачном канале высотой 0.01 м, шириной 0.1 м и длиной 0.8 м (рис. 1а). Нижняя стенка канала представляла собой вкладыш из поликарбоната, на поверхности которого отфрезерованы наклонные канавки. Геометрия поверхности показана на рис. 1б. Количество канавок в одном ряду – 26.
Рис. 1. Экспериментальный стенд КазНЦ РАН (а), структурированная поверхность канала с указанием размеров в мм (б), цифровой аналог (в) и с расчетной сеткой (г).
Для измерения полей скорости течения использовался двумерный оптический метод smoke image velocimetry (SIV) [22]. Световой нож в экспериментах создавался непрерывным DPSS-лазером KLM-532h с выходной мощностью 5 Вт и ориентировался параллельно стенке с канавками. Фокусировка светового ножа осуществлялась таким образом, что толщина светового ножа в области съемки не превышала 0.0005 м. Дальнейшее уменьшение толщины слоя, в котором снимается движение трассеров, осуществлялось объективом скоростной видеокамеры за счет уменьшения глубины резкости.
Съемка течения осуществлялась скоростной камерой Fastec HiSpec при частоте 4000 кадр/с. Такие настройки камеры не позволяли охватить всю канавку и прилегающие к ней области. Поэтому съемка поля течения в одной измерительной плоскости осуществлялась последовательно в нескольких окнах. Для точного позиционирования лазера и камеры использовалось прецизионное трехкоординатное устройство (минимальный шаг смещения оборудования по каждой оси – 12.5 мкм).
Измерения были выполнены в окрестности 22-й канавки от входа при числе Рейнольдса, рассчитанном по среднемассовой скорости и высоте канала, Re = 1000. Указанные параметры приняты в качестве характерных масштабов обезразмеривания. Измерительные плоскости располагались на расстояниях от стенки с канавками y = 0.02, 0.05, 0.08, 0.13, 0.23, 0.33, 0.43, 0.53, 0.63 и 0.73. Размер исходных фрагментов при программной обработке кадров составлял 16 × 16 пкс2. Масштабный коэффициент был равен 12 пкс/мм. Количество обрабатываемых пар кадров в каждом измерении составляло 10000 штук. Ко всем результатам измерений применялась процедура тестирования на предмет выпадающих векторов и коррекции осциллограмм скорости на основе получаемых статистических характеристик для фиксированной точки пространства.
Трассерами при измерениях служили мелкие капли (средний диаметр – 2 мкм) из смеси воды и глицерина с плавучестью, близкой к нулевой. Для создания трассеров использовался генератор тумана Safex. Влияние струи из генератора тумана на условия на входе в канал нивелировалось камерой подготовки тумана. Камера подготовки тумана представляла собой короб объемом 1.4 м3 со стенками из продуваемой ткани. Генератор тумана устанавливался внутри камеры вдалеке от входного сечения канала и направлялся в противоположную к каналу сторону. Кроме того, такой подход позволял создавать равномерный засев трассеров как по пространству, так и по времени.
В цифровом аналоге экспериментального стенда (рис. 1в) рассматривается узкий плоскопараллельный канал, на нижнюю стенку которого нанесены два ряда из 26 последовательных плотно расположенных канавок глубиной 0.25 под углом наклона ±135° к набегающему ламинарному потоку воздуха [21]. На входе в канал низкоскоростной воздушный поток равномерный. Ширина и длина канала составляют 10 и 78.75. Длина входного и выходного участков канала с плоскими стенками – 5 и 5.75 соответственно. Протяженность структурированного участка с двухрядными канавками на рис. 2в, закрашенного зеленым цветом, составляет 68, а его ширина равна 8. Центр декартовых координат – продольной x, вертикальной y и поперечной z, располагается в середине входного поперечного сечения участка с канавками. U, V, W – декартовы составляющие скорости ламинарного течения.
Двухрядные канавки шириной 1, состоящие из двух половин сферической лунки глубиной 0.25 и соединяющей их цилиндрической траншеи длиной 3.5 [21], ориентированы таким образом (угол наклона – ±135°), чтобы их входные сферические сегменты располагались в окрестности боковых стенок канала. Шаг между центрами канавок в плотном пакете выбран равным 2.5 (подобно см. [23]). Радиус скругления кромок канавок принимается равным 0.025.
Стационарное ламинарное течение несжимаемой жидкости в канале со структурированной стенкой описывается системой стационарных уравнений Навье–Стокса. Во входном сечении канала задается соответствующий экспериментальным условиям равномерный поток, т.е. U = 1, V = W = 0. В выходном сечении выполняются мягкие граничные условия (условия продолжения решения). На стенках канала задается условие прилипания. Верхняя стенка рассматривается при комнатной температуре 20°С (293 К), которая выбирается в качестве характерной – безразмерная Т = 1. Нижняя стенка канала с канавками поддерживается при постоянной температуре 30°С (303 К), т.е. безразмерная температура Т = 1.034. Боковые стенки канала теплоизолированные.
Многоблочная сетка (рис. 1г) состоит из разномасштабных фрагментов [24]. Декартовая сетка MG предназначена для отображения канального потока с равномерным профилем продольной составляющей скорости на входном участке. Ее сеточные линии сгущаются по мере приближения к стенкам. Максимальные шаги сетки в продольном и поперечном направлениях составляют 0.15, в вертикальном – 0.05. Пристеночные шаги равны 2.5 × 10-4. Сетка MG содержит порядка 4.2 млн расчетных ячеек. В канальную сетку MG встраивается пристеночная сетка MR, покрывающая структурированный участок размером 68 × 8, с высотой 0.2. Сетка MR согласуется с криволинейной поверхностью нагретой структурированной стенки с двухрядными наклонными канавками при вертикальном сгущении сеточных линий к стенке и предназначена для детального отображения пристеночного отрывного течения. Шаги сетки в продольном и поперечном направлениях равны 0.1. Сетка MG содержит порядка 1.6 млн расчетных ячеек. Каждая из 52 наклонных канавок накрывается кромочной криволинейной сеткой О-типа c шагом по окружной координате вдоль криволинейной кромки порядка 0.05 и сгущением сеточных линий по нормали к кромкам до шага, равного 0.03. В итоге многоблочная сетка содержит 10.8 млн расчетных ячеек.
Система стационарных уравнений Навье–Стокса (NS) для описания движения низкоскоростной воздушной среды и уравнение энергии решаются с помощью факторизованного метода конечного объема второго порядка аппроксимации [24]. Решение тепловой задачи не влияет на решение динамической задачи, поскольку физические свойства теплоносителя не меняются. Разработанная многоблочная вычислительная технология (MBT) базируется на использовании разномасштабных структурированных сеток с перекрытием, согласованных с геометрией канала. Параметры в двух рядах приграничных ячеек каждой из перекрывающихся сеток определяются линейной интерполяцией [24]. Установлено, что такой подход эквивалентен применению адаптивных неструктурированных сеток и не требует чрезмерных вычислительных ресурсов. Его преимущество состоит в обеспечении надлежащей точности прогнозов без измельчения сеток, так как этот метод автоматически разрешает все значимые гидродинамические и теплофизические особенности. Вполне очевидно, что пересчеты с сетки на сетку с помощью линейной интерполяции являются источником ошибок. Однако тестовые расчеты стационарного циркуляционного течения в каверне с подвижной крышкой при Re = 1000 [24] показали приемлемую точность численных прогнозов.
Характерной чертой развитого конечно-объемного алгоритма представляется базирующаяся на концепции расщепления по физическим процессам процедура коррекции давления SIMPLEC [25] с монотонизацией по Рхи–Чоу для центрированного расчетного шаблона [26, 27]. При линеаризации уравнений конвективные члены в их неявной части записываются по схеме против потока с односторонними разностями, что приводит к существенному повышению устойчивости вычислительной процедуры. С целью снижения влияния искусственной диффузии при расчете отрывных течений конвективные члены в явной части исходных уравнений количества движения и энергии аппроксимируются с помощью одномерной квадратичной противопоточной схемы Леонарда [28]. Решение алгебраических уравнений выполняется методом сопряженных градиентов BiCGSTAB [29] с предусловливателем. Разработанный Демидовым алгебраический многосеточный ускоритель AMG из библиотеки (amgcl) [30] применяется в блоке коррекции давления и ILU0-метод используется для других переменных. Основанный на MBT специализированный расчетный код VP2/3 (скорость–давление, 2D/3D) является базовым в данном численном исследовании и реализуется на многоядерных вычислительных системах подобно таким кодам, как, например, OpenFOAM.
Проведенные методом SIV [22] замеры полей скорости в окрестности 22-й канавки (цветная картина приведена на рис. 2) удовлетворительно согласуются с численными решениями уравнений Навье–Стокса, полученными с помощью пакета VP2/3 [24]. Измеренные профили скорости U(y) в трех характерных точках L, C, R канавки при Re = 1000 показывают значительное преобладание U в пристеночных зонах канала, доходящей до величин порядка 1.7 (при у = 0.3) по сравнению с приосевой областью, где U снижается до 1.1 (у = 0.65). Обращает на себя внимание утончение и интенсификация пристеночного течения над входной частью 22-й канавки с достижением U на уровне у, близком к нулю, величины 1.4. В середине канавки и над выходной ее частью на этом уровне U оказываются значительно ниже по величине и составляют 0.65 и 0.4.
Рис. 2. Сравнение расчетных прогнозов (сплошные линии) и экспериментальных замеров (точки) профилей продольной составляющей скорости U в центрах переходных сечений от траншейной части в центрах входного (R) и выходного (L) сферических сегментов, а также в центре 22-й канавки (С); штриховая линия – профиль скорости полностью развитого потока в плоскопараллельном канале; на вставке – векторное поле продольной составляющей скорости U в сечении у = 0.05 при Re = 1000.
АНАЛИЗ РЕЗУЛЬТАТОВ
На рис. 3–10 и в таблице представлены некоторые из полученных результатов.
Влияние общего количества расчетных ячеек N на интегральные и локальные экстремальные характеристики
N, млн ячеек | Numm /Nummpl | ζ / ζpl | –Umin | Wmax |
09.0 | 02.7 | 2.02 | –0.500 | 1.158 |
10.8 | 2.59 | 1.95 | –0.463 | 1.095 |
11.1 | 2.53 | 1.94 | –0.458 | 1.033 |
Рис. 3. Сравнение рассчитанных профилей продольной составляющей скорости U в ядре канального потока в середине 22-й канавки (точка С) при х = 55.5 для различных чисел Рейнольдса: (а) – Re = = 1000, (б) – 1500, (в) – 2000, (г) – 2500, (д) – 3500, (е) – 4500, (ж) – 5500.
Рис. 4. Влияние Re на продольные распределения относительного трения f / fpl (а)–(г) и перепада статического давления P–Ppl (д), (е) в сечении z = –3.245, представленные на различных участках канала: 1 – Re = 1000, 2 – 1500, 3 – 2000, 4 – 2500.
Рис. 5. Распределения скорости U в продольном сечении канала z = –3.245, иллюстрирующие локальное ускорение потока в ядре по мере отхода от входного сечения и проходящего через центры сечений стыковки сферических сегментов и цилиндрических траншей R, при Re = 1000 (а), 2500 (б), 5500 (в) и различных у: 1 – y = 0.005, 2 – 015, 3 – 0.025, 4 – 0.05, 5 – 0.1, 6 – 0.4, 7 – 0.6, 8 – 0.95.
Рис. 6. Влияние Re на ускорение потока в канале при сравнении продольных распределений U-компоненты скорости при у = 0.005 в сечении с координатой точки R (см. рис. 3), z = -3.245 (а)–(в) и поперечных распределений в районе 22-й канавки при x = 55.5 и y = 0.4 (г): 1 – Re = 1000, 2 – 1500, 3 – 2000, 4 – 2500, 5 – 3500, 6 – 4500, 7 – 5500.
Рис. 7. Влияние числа Рейнольдса на экстремальные величины продольной, вертикальной и трансверсальной составляющих скорости: 1 – Umax, 2 – (– Umin), 3 – Vmax, 4 – ( –Vmin), 5 – Wmax.
Рис. 8. Влияние Re на продольное распределение Nu / Nupl(x) в сечении z = –3.245: 1 – Re = 1000, 2 – 1500, 3 – 2000, 4 – 2500.
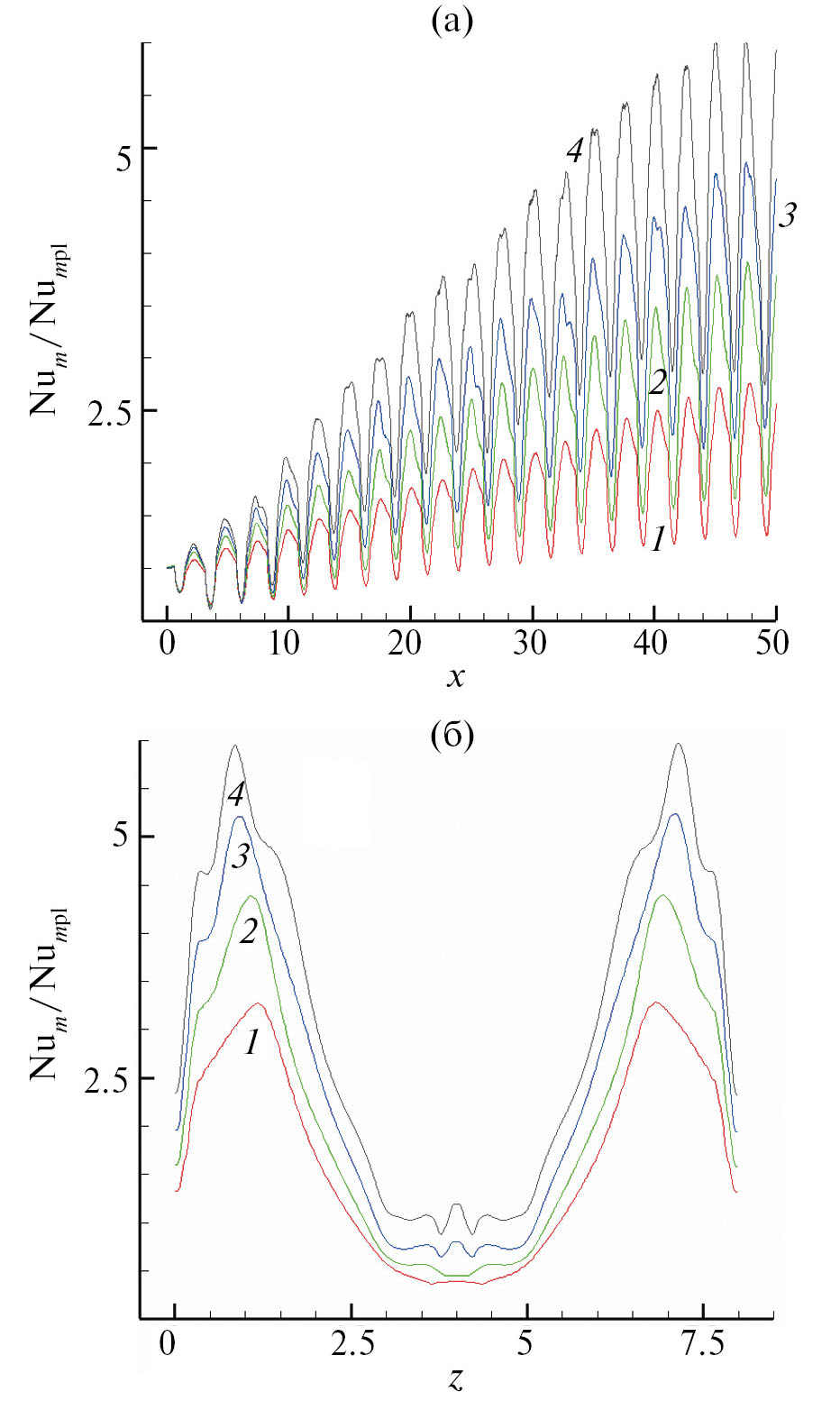
Рис. 9. Зависимости осредненных по поперечным полосам чисел Нуссельта Num / Numpl(x) (а), построенные в различных масштабах, и осредненных по продольным полосам чисел Нуссельта Num / Numpl(z) (б) при удалении от входного сечения с увеличением Re: 1 – Re = 1000, 2 – 1500, 3 – 2000, 4 – 2500.
Рис. 10. Влияние Re на рост относительной теплоотдачи Numm / Nummpl (1) на структурированной стенке канала и увеличение относительных гидравлических потерь ζ / ζpl (2) в канале.
В качестве базовой расчетной сетки выбрана многоблочная сетка, содержащая 10.8 млн ячеек. В таблице приведены результаты анализа сеточной сходимости при сравнении численных прогнозов интегральных и экстремальных локальных характеристик течения и теплообмена, полученных на трех различных сетках с количеством ячеек 9, 10.8 и 11.1 млн. Сетки отличаются высотой прилегающей к канавкам области, которая выбирается равной 0.1, 0.2 (базовая) и 0.3. Относительные величины тепловой эффективности Numm/Nummpl и гидравлических потерь ζ / ζpl выбраны в качестве интегральных характеристик, а –Umin и Wmax – в качестве экстремальных локальных параметров. Сходимость по сеткам удовлетворительная, и в дальнейшем параметрические расчеты проводятся на базовой сетке.
Равномерный поток, входящий в плоскопараллельный длинный канал, по мере удаления от входного сечения ускоряется и трансформируется в сдвиговый поток с нарастающими периферийными максимумами скорости U(z, y) в окрестности боковых стенок канала над входными участками наклонных канавок. В [21] продемонстрировано удовлетворительное согласие измеренных и рассчитанных профилей U(z) в срединном сечении 22-й канавки на высоте y = 0.4 при Re = 1000. На рис. 3 показано влияние числа Re на профили скорости U(z, y) в срединных сечениях 22-й канавки при х = 55.5. Симметричный характер ламинарного течения в ядре канала сохраняется с ростом Re от 1000 до 5500. Как уже отмечалось при анализе профилей U(y) для Re = 1000 на рис. 2, максимум U располагается над входной частью 22-й канавки, а в приосевой зоне наблюдается провал U. Пиковые зоны U(z, y) простираются на довольно продолжительные участки в окрестностях боковых стенок канала. Минимум U(z, y) локализуется вблизи структурированной стенки в районе центральной оси канала. С ростом Re наблюдается постепенное поджатие пиковых зон U с приближением максимумов к боковым стенкам канала. Одновременно приосевая зона ядра канального потока становится все более неоднородной, а при высоких Re в окрестности центральной оси у стенки формируются два локальных минимума.
Аномальное отрывное течение и теплообмен в узком канале со структурированной нагретой стенкой с ростом Re характеризуются многократным увеличением экстремальных величин относительного трения f/fpl, перепадов статического давления P–Ppl, относительной теплоотдачи Nu/Nupl в продольных сечениях канала, проходящих через центр стыковки сферического сегмента и траншейной части (z = –3.245). Параметры с индексами pl определяются в точках на нагретой стенке плоскопараллельного канала с координатами (x, z), соответствующими точкам на структурированной поверхности.
Подобно численному исследованию [20], по мере удаления от начала структурированного участка канала отрывное течение на входных участках наклонных канавок быстро интенсифицируется, причем с ростом Re наблюдается усиление интенсификации возвратных токов (рис. 4а–4г). При Re = 1000 минимальное относительное трение в донной части канавок уменьшается от –1 до –2, а при Re = 2500 – от –2 до –7. При Re = 2500 максимальные величины f/fpl на наветренных кромках канавок увеличиваются от 4 до 28, а в промежутках между канавками уровень относительного трения растет от 1.5 до 6.
Аномальная интенсификация отрывного течения в наклонных канавках, как известно [31], связана с экстраординарным перепадом давления поперек них в месте перехода от сферического сегмента к траншейной части канавки. Особо следует подчеркнуть, что формирование зон отрицательного статического давления в сферическом сегменте обусловлено генерацией интенсивных смерчеобразных вихревых структур. По мере удаления от входного сечения в начале структурированного участка канала перепады давления в канавках (рис. 4е, 4ж) быстро нарастают на первых восьми канавках, причем максимум P–Ppl при Re = 2500 на наветренном склоне восьмой канавки оказывается порядка 0.3, а минимум на дне – –0.13. На удаленных от входа в канал канавках перепады давления стабилизируются.
Зависимости U(x) на разных удалениях от нижней стенки канала в продольном сечении при z = –3.245 и Re = 1000 (рис. 5а) имеют осциллирующий характер с нарастающими быстрым темпом в начале структурированного участка экстремальными величинами по мере удаления наклонных канавок от входа и уменьшением амплитуды колебаний с ростом у, особенно быстрым при у > 0.05. При у = 0.005 амплитуда колебаний U возрастает от 0.4 до 0.8 от первой до 26-й канавки, а при у = 0.05 она составляет от 0.2 до 0.3. При у > 0.1 амплитуды значительно снижаются и не слишком изменяются вдоль канала, находясь в диапазоне 0.03–0.1.
Следует отметить, что минимумы U соответствуют плоским участкам между последовательно расположенными канавками, а максимумы U наблюдаются над серединами канавок. Наибольшая интенсификация течения в ядре потока по сравнению со скоростью на входе происходит при y = 0.4: Umax достигает величин порядка 1.7. При у > 0.4 Umax постепенно снижается, приближаясь к 0.3 при у = 0.95.
С ростом Re до 2500 (рис. 5б) происходит значительное увеличение амплитуды колебаний U и локальных максимумов U над канавками на расстояниях y от 0.005 до 0.1, причем при у = 0.1 Umax достигает 1.75, т.е. превосходит максимум U при у = 0.4 для Re = 1000. Локальные максимумы U(x) при у = 0.4 оказываются меньше, чем для Re = 1000. Также интересно отметить рост U(x) при у = 0.95 по мере развития течения во второй половине канала.
И наконец, для Re = 5500 (рис. 5в) наблюдается существенная трансформация течения во второй половине канала, связанная с довольно резким уменьшением локальных максимумов U. Наибольшие величины Umax отмечаются при у = 0.1, причем на выходе из канала они падают почти до 1 с 1.4 в середине канала. При у = 0.95 U(y) заметно подрастает во второй половине канала, приближаясь к величине 0.9.
На рис. 6 показано влияние Re на распределения U(x) вблизи стенки на высоте у = 0.005 в продольном сечении канала z = -3.245 и на профили U(z) в середине 22-й канавки (х = 55.5) на высоте у = 0.4. Осцилляции продольной составляющей скорости с нарастанием локальных максимумов над канавками по мере удаления от входа в канал сохраняются на всех трех рассмотренных участках канала (рис. 6а–6в). На первом ближайшем к входу участке наблюдается интенсификация ламинарного потока в пристеночном слое канала над входами в канавки, причем локальные максимумы монотонно возрастают с ростом Re. Например, для Re = 5500 к шестой канавке Umax увеличивается с 0.7 до 1. На втором среднем участке канала протяженностью от 30 до 45 происходит трансформация потока с незначительным снижением локальных максимумов по мере роста Re свыше 2500 (кривые 4). При этом Umax для Re = 2500 достигает к концу участка величины 1.4. На третьем, ближайшем к выходу из канала участке протяженностью от 50 до 65 наблюдаются наибольшие величины максимумов U(x) для Re = 2500 порядка 1.45, а также усиливается отмеченное выше снижение Umax с ростом Re. Для Re = 5500 к концу участка Umax уменьшается до 1.
Трансформация профиля скорости U(z) поперек канала в районе 22-й канавки на высоте у = 0.4 (рис. 6г) демонстрирует влияние Re на профиль продольной скорости в ядре канального потока. Равномерный поток на входе в канал по мере приближения к его концу приобретает сдвиговый характер с двумя максимумами скорости вблизи боковых стенок и минимумом в срединной плоскости. Как уже отмечалось при анализе рис. 3, с ростом числа Рейнольдса профиль скорости U(z, y) в поперечном сечении 22-й канавки изменяется в центральной приосевой части канала. Распределения U(z) на высоте у = 0.4 сохраняют симметрию по координате z, но при возрастании Re приобретают локальные максимумы и минимумы (начиная с Re = 1500). При Re < 2500 образуются два максимума и два минимума, а для Re > 3500 их число удваивается. Пристеночные максимумы до Re = 2500 остаются неизменными (порядка 1.7), а в дальнейшем несколько снижаются до 1.6. Протяженность этих максимумов по мере роста Re уменьшается, однако в диапазоне Re от 3500 до 5500 происходит их стабилизация. Короткая зона минимальной (порядка 0.5) скорости U в центре канала практически от числа Re не зависит.
Интенсификация отрывного ламинарного течения в канале со структурированной стенкой с ростом Re иллюстрируется поведением экстремальных величин декартовых составляющих скорости потока в канале Umax, возвратных токов в верховьях канавок (–Umin), восходящих Vmax и нисходящих (–Vmin) потоков во входных частях канавок, вторичных закрученных потоков Wmax, формирующихся внутри канавок (рис. 7). По мере увеличения Re до 2500 Umax остается почти неизменным на уровне 1.85, а в дальнейшем постепенно уменьшается до 1.7 для Re = 5500. Абсолютная скорость возвратных токов (–Umin) монотонно увеличивается от 0.2 до 0.73 с ростом Re от 1000 до 4000. При последующем повышении Re –Umin несколько снижается до уровня 0.67. Максимальная скорость вторичного течения в канавках Wmax довольно быстро и почти линейно возрастает от 0.75 до 1.25 в промежутке Re от 1000 до 2500. С дальнейшим ростом Re Wmax несколько снижается и остается на уровне 1.2. Максимальная скорость восходящих потоков Vmax в канавках растет практически одинаково с –Umin для Re от 1000 до 2500 и достигает 0.55. С дальнейшим увеличением Re Vmax изменяется незначительно и сохраняется на уровне 0.5. Максимальные абсолютные величины нисходящих потоков в канавках растут с повышением Re в промежутке от 1000 до 2500 с меньшим темпом, чем Vmax, достигая значения 0.43 при Re = 2500. С дальнейшим увеличением Re –Vmin нисходящих токов не превышает 0.4.
Локальное число Нуссельта на структурированной нагретой стенке определяется по нормальному градиенту температуры, отнесенному к разнице между температурой стенки и среднемассовой температурой в сечении канала, согласно описанной в [32] методике. Циклическое увеличение относительной теплоотдачи Nu/Nupl по длине канала в продольном сечении входных участков канавок при z = –3.245 значительно усиливается по мере роста Re (на рис. 8 показаны кривые 1–4 для Re = 1000–2500). Максимумы относительной теплоотдачи на наветренных кромках канавок быстро увеличиваются и приближаются к стабилизации в конце канала. Для Re = 2500 (Nu/Nupl)max возрастают от 4 до 28. Внутри канавок на подветренных сторонах наблюдается резкий провал Nu/Nupl до уровня, не превышающего 0.3 в конце канала. В промежутках между канавками относительная теплоотдача уменьшается, но ее средний уровень растет по длине канала, достигая величин порядка 7 для Re = 2500.
Распределения проинтегрированных по поперечным и продольным полосам относительных чисел Нуссельта Num / Numpl характеризуют удельную тепловую эффективность структурированных энергоэффективных поверхностей узкого канала (рис. 9). По длине канала она нарастает от канавки к канавке по мере удаления от входа в канал. Минимумы Num / Numpl приходятся на проекции подветренных склонов канавок, а максимумы – на наветренные склоны и промежутки между канавками. Осцилляции Num / Numpl(х) возрастают по длине канала для чисел Рейнольдса от 1000 до 2000. С выходом Re на 2500 после 18-й канавки наблюдается стабилизация максимумов Num / Numpl на уровне 6 с последующим снижением после 22-й канавки до 5.25 в конце канала. Распределения Num / Numpl по поперечной координате z характеризуются двумя максимумами в окрестностях боковых стенок канала, величины которых существенно возрастают с увеличением Re. Так, (Num / Numpl) max растет почти вдвое при изменении Re от 1000 до 2500, приближаясь к 6. Минимальная удельная тепловая эффективность наблюдается в середине канала, причем с ростом Re она выходит на уровень 1.
Проинтегрированные по поверхности структурированного участка канала кривые Numm / Nummpl определяют тепловую эффективность энергоэффективной стенки, а относительные коэффициенты гидравлических потерь ζ / ζpl, рассчитанные по методике [32], связаны с перепадом полного давления (рис. 10). Обе прогнозируемые характеристики отличаются возрастанием по закону, близкому к квадратичному, с ростом Re в диапазоне до Re = 3000 и по линейному закону для Re свыше 3000. Наблюдается преобладающий рост Numm / Nummpl(Re) по сравнению с ζ / ζpl(Re). Трехкратное увеличение Numm / Nummpl при Re = 2500 сопровождается 2.4-кратным повышением ζ / ζpl. При Re = 5500 Numm / Nummpl достигает наибольшего значения 4.6 при ζ / ζ pl = 3.5.
ЗАКЛЮЧЕНИЕ
Экспериментально обосновано явление локального ускорения ламинарного потока с максимумом продольной скорости в сдвиговом течении порядка 1.8 над входной частью канавок. Измеренные методом SIV профили U(y) в трех точках 22-й наклонной канавки в узком канале с 26 двухрядными канавками на стенке хорошо согласуются с численными прогнозами на основе решения уравнений Навье–Стокса при Re = 1000. Установлена связь локального ускорения потока в ядре канала с аномальной интенсификацией отрывного ламинарного течения в двухрядных канавках с ростом числа Рейнольдса от 1000 до 2500. При Re = 2500 в продольном сечении входных частей удаленных от входа канавок f / fpl снижается до –7, а Umax в сдвиговых слоях над канавками (на высоте у = 0.005) достигает 1.45. Относительная теплоотдача от структурированного участка канала при Re = 5500 достигает 4.6 при 3.5-кратном росте относительных гидравлических потерь.
Исследования выполнены при финансовой поддержке РНФ (гранты № 22-19-00056 (тестирование) и № 23-19-00083 (расчеты)).
Sobre autores
С. Исаев
Санкт-Петербургский государственный морской технический университет; Санкт-Петербургский государственный университет гражданской авиации им. Главного Маршала авиации А.А. Новикова
Autor responsável pela correspondência
Email: isaev3612@yandex.ru
Rússia, Санкт-Петербург; Санкт-Петербург
Д. Никущенко
Санкт-Петербургский государственный морской технический университет
Email: isaev3612@yandex.ru
Rússia, Санкт-Петербург
Н. Михеев
ФИЦ КазНЦ РАН
Email: isaev3612@yandex.ru
Rússia, Казань
Н. Душин
ФИЦ КазНЦ РАН
Email: isaev3612@yandex.ru
Rússia, Казань
О. Мильман
ЗАО НПВП Турбокон
Email: isaev3612@yandex.ru
Rússia, Калуга
А. Клюс
Санкт-Петербургский государственный университет гражданской авиации им. Главного Маршала авиации А.А. Новикова
Email: isaev3612@yandex.ru
Rússia, Санкт-Петербург
Е. Осиюк
Санкт-Петербургский государственный университет гражданской авиации им. Главного Маршала авиации А.А. Новикова
Email: isaev3612@yandex.ru
Rússia, Санкт-Петербург
Bibliografia
- Gao J., Hu Z., Yang Q., Liang X., Wu H. Fluid Flow and Heat Transfer in Microchannel Heat Sinks: Modelling Review and Recent Progress // Therm. Sci. Eng. Progress. 2022. V. 29. P. 101203.
- Мильман О.О., Ананьев П.А. Сухие градирни и воздушно-конденсационные установки (обзор) // Теплоэнергетика. 2016. Т. 63. № 3. С. 3.
- Kalinin E.K., Dreitser G.A., Kopp I.Z., Myakotchin A.S. Efficient Surfaces for Heat Exchangers: Fundamental and Design. Begell House, 2002. 392 p.
- Dzyubenko B., Kuzma-Kichta Yu., Leontiev A., Fedik I., Kholpanov L. Intensification of Heat and Mass Transfer on Macro-, Micro-, and Nanoscales. Begell House, 2016. 630 p.
- Rashidi S., Hormozi F., Sunden B., Mahian O. Energy Saving in Thermal Energy Systems Using Dimpled Surface Technology – A Review on Mechanisms and Applications // Appl. Energy. 2019. V. 259. P. 1491.
- Wei X.J., Joshi Y.K., Ligrani P.M. Numerical Simulation of Laminar Flow and Heat Transfer Inside a Microchannel with One Dimpled Surface // J. Electronic Packaging. 2007. V. 129. P. 63.
- Xu M., Lu H., Gong L., Chai J.C., Duan X. Parametric Numerical Study of the Flow and Heat Transfer in Microchannel with Dimples // Int. Commun. Heat Mass Transfer. 2016. V. 76. P. 348.
- Park D.S. Experimental and Numerical Study of Laminar Forced Convection Heat Transfer for a Dimpled Heat Sink. Thesis of Master of Science. Texas A&M University, 2007. 60 p.
- Bi C., Tang G.H., Tao W.Q. Heat Transfer Enhancement in Mini-channel Heat Sinks with Dimples and Cylindrical Grooves // Appl. Therm. Engng. 2013. V. 55. P. 121.
- Lu G., Zhai X. Analysis on Heat Transfer and Pressure Drop of a Microchannel Heat Sink with Dimples and Vortex Generators // Int. J. Therm. Sci. 2019. V. 145. P. 105986.
- Исаев С.А., Леонтьев А.И., Митяков А.В., Пышный И.А. Интенсификация смерчевого турбулентного теплообмена в асимметричных лунках на плоской стенке // ИФЖ. 2003. Т. 76. № 2. С. 31.
- Isaev S.A., Schelchkov A.V., Leontiev A.I., Gortyshov Yu.F., Baranov P.A., Popov I.A. Tornado-like Heat Transfer Enhancement in the Narrow Plane-parallel Channel with the Oval-trench Dimple of Fixed Depth and Spot Area // Int. J. Heat Mass Transfer. 2017. V. 109. P. 40.
- Isaev S.A., Leonardi E., Timchenko V., Usachov A.E. Vortical Investigation of Heat Transfer in Microchannels with Oval Dimples // Heat Transfer Res. 2010. V. 41. № 4. P. 413.
- Исаев С.А., Леонтьев А.И., Готовский М.А., Усачов А.Е., Жукова Ю.В. Анализ повышения теплогидравлической эффективности при движении трансформаторного масла в миниканале с однорядным пакетом сферических и овальных лунок на нагретой стенке // ТВТ. 2013. Т. 51. № 6. С. 884.
- Исаев С.А., Леонтьев А.И., Корнев Н.В., Хассель Э., Чудновский Я.П. Интенсификация теплообмена при ламинарном и турбулентном течении в узком канале с однорядными овальными лунками // ТВТ. 2015. Т. 53. № 3. С. 390.
- Исаев С.А., Грицкевич М.С., Леонтьев А.И., Попов И.А., Судаков А.Г. Аномальная интенсификация турбулентного отрывного течения в наклоненных однорядных овально-траншейных лунках на стенке узкого канала // ТВТ. 2019. Т. 57. № 5. С. 797.
- Исаев С.А., Баранов П.А., Леонтьев А.И., Попов И.А. Интенсификация ламинарного течения в узком микроканале с однорядными наклоненными овально-траншейными лунками // Письма в ЖТФ. 2018. Т. 44. Вып. 9. С. 73.
- Исаев С.А., Леонтьев А.И., Мильман О.О., Судаков А.Г., Усачов А.Е., Гульцова М.Е. Интенсификация теплообмена при ламинарном вихревом течении воздуха в узком канале с однорядными наклоненными овальными лунками // ИФЖ. 2018. Т. 91. № 4. С. 1022.
- Isaev S.A., Leontiev A.I., Milman O.O., Popov I.A., Sudakov A.G. Influence of the Depth of Single Row Oval-trench Dimples Inclined to Laminar Air Flow on Heat Transfer Enhancement in a Narrow Micro-channel // Int. J. Heat Mass Transfer. 2019. V. 134. P. 338.
- Исаев С.А., Леонтьев А.И., Мильман О.О., Никущенко Д.В., Попов И.А. Энергоэффективные поверхности с многорядными наклонными овально-траншейными лунками для воздушных конденсаторов // Энергетика. 2020. № 4. С. 3.
- Исаев С.А. Генезис аномальной интенсификации отрывного течения и теплообмена в наклонных канавках на структурированных поверхностях // МЖГ. 2022. № 5. С. 13.
- Михеев Н.И., Душин Н.С. Метод измерения динамики векторных полей скорости турбулентного потока по видеосъемке дымовой визуализации // ПТЭ. 2016. № 6. С. 1.
- Isaev S.A., Gritckevich M.S., Leontiev A.I., Milman O.O., Nikushchenko D.V. Vortex Enhancement of Heat Transfer and Flow in the Narrow Channel with a Dense Packing of Inclined One-row Oval-trench Dimples // Int. J. Heat Mass Transfer. 2019. V. 145. 118737.
- Исаев С.А., Баранов П.А., Усачов А.Е. Многоблочные вычислительные технологии в пакете VP2/3 по аэротермодинамике. Саарбрюкен: LAP Lambert Acad. Publ., 2013. 316 с.
- Van Doormaal J.P., Raithby G.D. Enhancement of the SIMPLE Method for Predicting Incompressible Fluid Flow // Numerical Heat Transfer. 1984. V. 7. № 2. P. 147.
- Rhie C.M., Chow W.L. A Numerical Study of the Turbulent Flow Past an Isolated Airfoil with Trailing Edge Separation // AIAA J. 1983. V. 21. P. 1525.
- Pascau A., Garcia N. Consistency of SIMPLEC Scheme in Collocated Grids // Proc. V European Conf. on Computational Fluid Dynamics ECCOMAS CFD 2010. Lisbon, Portugal, 2010. 12 p.
- Leonard B.P. A Stable and Accurate Convective Modeling Procedure Based on Quadratic Upstream Interpolation // Comp. Meth. Appl. Mech. Eng. 1979. V. 19. № 1. P. 59.
- Saad Y. Iterative Methods for Sparse Linear Systems. 2nd ed. Society for Industrial and Applied Mathematics. Philadelphia, 2003. 567 p.
- Demidov D. AMGCL: C++ Library for Solving Large Sparse Linear Systems with Algebraic Multigrid Method. http://amgcl.readthedocs.org/
- Исаев С.А., Гувернюк С.В., Никущенко Д.В., Судаков А.Г., Синявин А.А., Дубко Е.Б. Взаимосвязь аномальной интенсификации отрывного течения и экстраординарных перепадов давления в канавке на пластине при изменении угла наклона от 0 до 90° // Письма в ЖТФ. 2023. Т. 49. Вып. 15. С. 39.
- Isaev S.A., Kornev N.V., Leontiev A.I., Hassel E. Influence of the Reynolds Number and the Spherical Dimple Depth on the Turbulent Heat Transfer and Hydraulic Loss in a Narrow Channel // Int. J. Heat Mass Transfer. 2010. V. 53. № 1–3. P. 178.
Arquivos suplementares











