Scale-Based Study of Linear Growth Rate of Pink Salmon Oncorhynchus gorbuscha (Salmonidae)
- Authors: Kaev A.M.1, Romasenko L.V.1, Kaev D.A.2
-
Affiliations:
- Sakhalin Branch of the Federal Research Institute of Fisheries and Oceanography (SakhNIRO), Yuzhno-Sakhalinsk, Russia
- Far Eastern Federal University, Vladivostok, Russia
- Issue: Vol 63, No 1 (2023)
- Pages: 50-60
- Section: Articles
- URL: https://medbiosci.ru/0042-8752/article/view/135153
- DOI: https://doi.org/10.31857/S004287522301006X
- EDN: https://elibrary.ru/CZBIPY
- ID: 135153
Cite item
Full Text
Abstract
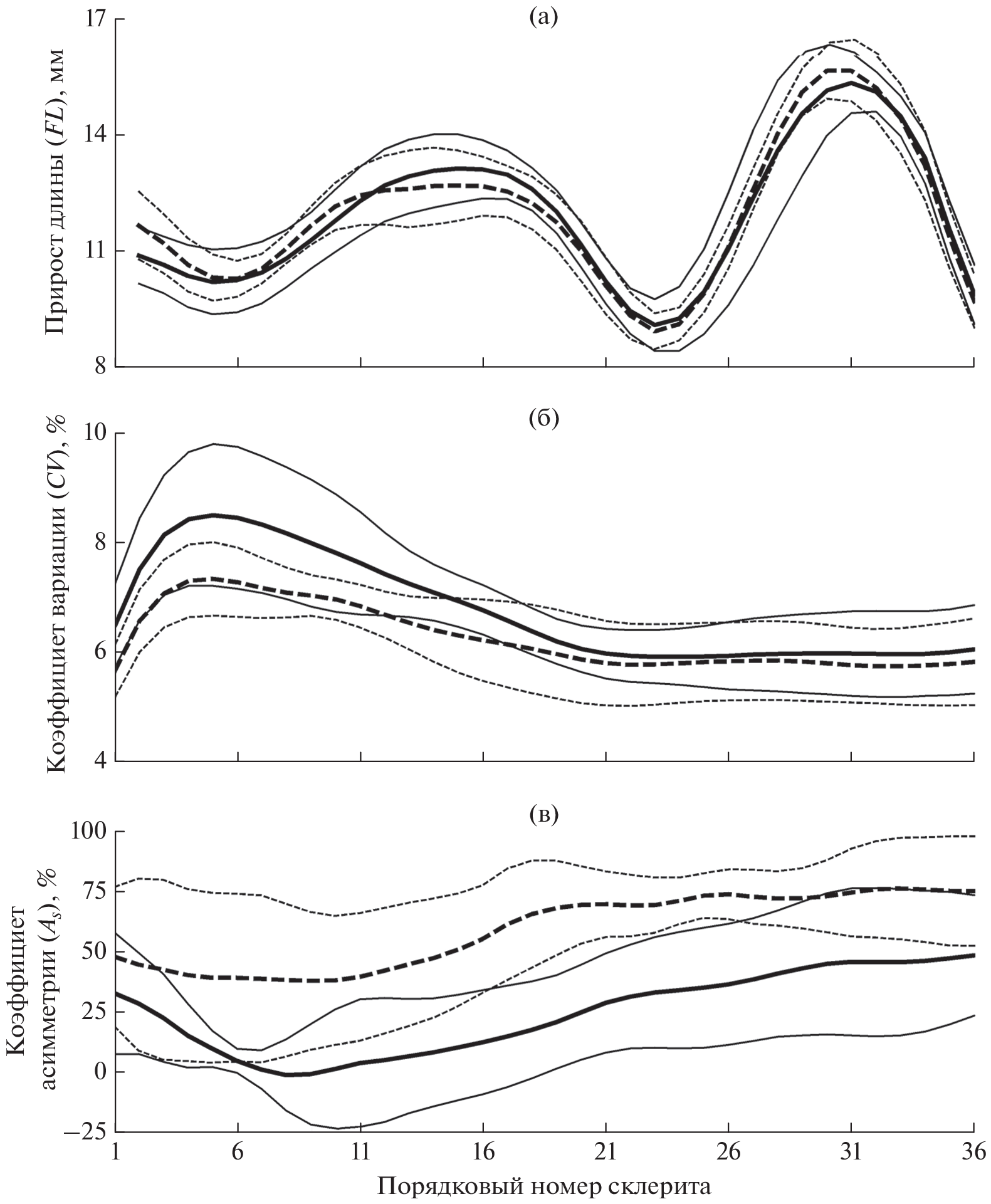
The retrospective study of the linear growth of pink salmon Oncorhynchus gorbuscha based on measurements of the scales of the fish returned to spawn has been performed at the southeastern coast of Sakhalin Island in 2005–2020. Growth characteristics, such as the increase in its length during sclerite formation, variability and asymmetry of the size composition during growth, are compared with the survival rate of the corresponding generations. Correlation of growth rate with the survival rate of the corresponding generations is observed only during the early marine period of life. The changes in the calculated size composition in surviving fish are similar to some extent to those traced for establishing generations. This phenomenon increases the share of uncertainty in the estimates of size-selective mortality when comparing the body length of underyearlings calculated from the scales with actually observed ones.
About the authors
A. M. Kaev
Sakhalin Branch of the Federal Research Institute of Fisheries and Oceanography (SakhNIRO), Yuzhno-Sakhalinsk, Russia
Email: kaev@outlook.com
Россия, Южно-Сахалинск
L. V. Romasenko
Sakhalin Branch of the Federal Research Institute of Fisheries and Oceanography (SakhNIRO), Yuzhno-Sakhalinsk, Russia
Email: kaev@outlook.com
Россия, Южно-Сахалинск
D. A. Kaev
Far Eastern Federal University, Vladivostok, Russia
Author for correspondence.
Email: kaev@outlook.com
Россия, Владивосток
References
- Волков А.Ф. 2008. Среднемноголетние характеристики зоопланктона Охотского и Берингова морей и СЗТО (межгодовые и сезонные значения биомассы, доминирование) // Изв. ТИНРО. Т. 152. С. 253–270.
- Волков А.Ф. 2016. Элементарная трофология тихоокеанских лососей в Беринговом море. Видовые и региональные отличия. Обеспеченность пищей при различных условиях среды // Изв. ТИНРО. Т. 187. С. 162–186. https://doi.org/10.26428/1606-9919-2016-187-162-186
- Воловик С.П. 1967. Методы учета и некоторые особенности поведения покатной молоди горбуши в реках Сахалина // Изв. ТИНРО. Т. 61. С. 104–117.
- Дгебуадзе Ю.Ю. 2001. Экологические закономерности изменчивости роста рыб. М.: Наука, 276 с.
- Дементьева Т.Ф. 1976. Биологическое обоснование промысловых прогнозов. М.: Пищ. пром-сть, 240 с.
- Дулепова Е.П. 2002. Сравнительная биопродуктивность макроэкосистем дальневосточных морей. Владивосток: Изд-во ТИНРО-центр, 274 с.
- Иванков В.Н. 1968. К методике определения возраста горбуши // Изв. ТИНРО. Т. 65. С. 75–79.
- Каев А.М. 2003. Особенности воспроизводства кеты в связи с ее размерно-возрастной структурой. Южно-Сахалинск: Изд-во СахНИРО, 288 с.
- Каев А.М. 2012. Развитие некоторых тенденций в динамике стад горбуши восточного Сахалина и южных Курильских островов // Бюл. № 7 изучения тихоокеанских лососей на Дальнем Востоке. С. 135–142.
- Каев А.М. 2015а. Ретроспективная оценка роста горбуши Oncorhynchus gorbuscha по чешуе: региональная изменчивость // Вопр. ихтиологии. Т. 55. № 3. С. 298–312. https://doi.org/10.7868/S0042875215030078
- Каев А.М. 2015б. Ретроспективная оценка роста горбуши Oncorhynchus gorbuscha по чешуе: межгодовая изменчивость // Там же. Т. 55. № 5. С. 570–585. https://doi.org/10.7868/S0042875215050094
- Каев А.М. 2018. Снижение численности горбуши Oncorhynchus gorbuscha в Сахалино-Курильском регионе как следствие действия экстремальных факторов среды // Изв. ТИНРО. Т. 192. С. 3–14. https://doi.org/10.26428/1606-9919-2018-192-3-14
- Каев А.М. 2021. Особенности роста горбуши Oncorhynchus gorbuscha в поколениях с разным уровнем выживаемости в морском периоде жизни // Там же. Т. 201. №1. С. 62–75. https://doi.org/10.26428/1606-9919-2021-201-62-75
- Каев А.М., Животовский Л.А. 2016. Новые данные к дискуссии о локальных и флуктуирующих стадах горбуши Oncorhynchus gorbuscha // Там же. Т. 187. С. 122–144. https://doi.org/10.26428/1606-9919-2016-187-122-144
- Каев А.М., Ромасенко Л.В., Каев Д.А. 2022. Сезонная и годовая изменчивость склеритограмм чешуи горбуши Oncorhynchus gorbuscha (Walbaum, 1792) (Salmonidae) // Биология моря. Т. 48. № 2. С. 101–110. https://doi.org/10.31857/S0134347522020061
- Ли Р. 1926. Определение возраста рыб // Сборник статей по методике определения возраста и роста рыб. Красноярск: Гос. тип. им. Вейнбаума. С. 17–32.
- Найденко С.В., Темных О.С. 2016. Выживаемость тихоокеанских лососей в Северной Пацифике в зимне-весенний период // Изв. ТИНРО. Т. 185. С. 67–94. https://doi.org/10.26428/1606-9919-2016-185-67-94
- Найденко С.В., Хен Г.В., Фигуркин А.Л. и др. 2020. Условия нагула молоди горбуши в западной части Берингова моря осенью 2019 г. и в океане зимой 2020 г. // Бюл. № 15 изучения тихоокеанских лососей на Дальнем Востоке. С. 171–195.
- Найденко С.В., Хен Г.В., Фигуркин А.Л. и др. 2021. Условия нагула молоди горбуши в осенне-зимний период на примере сезона 2019–2020 гг. // Вопр. рыболовства. Т. 22. № 4. С. 96–115. https://doi.org/10.36038/0234-2774-2021-22-4-96-115
- Поляков Г.Д. 1975. Экологические закономерности популяционной изменчивости рыб. М.: Наука, 159 с.
- Плохинский Н.А. 1970. Биометрия. М.: Изд-во МГУ, 367 с.
- Старовойтов А.Н., Найденко С.В., Куренкова Е.В. и др. 2010. Новые данные о количественном распределении тихоокеанских лососей в центральной части Северной Пацифики в зимне-весенний период // Изв. ТИНРО. Т. 160. С. 89–104.
- Хрусталева А.М., Леман В.Н. 2007. Межгодовая изменчивость линейно-весовых показателей, возрастной структуры и темпа роста кеты Oncorhynchus keta и факторы, на нее влияющие (бассейн реки Большая, западная Камчатка) // Вопр. ихтиологии. Т. 47. № 3. С. 380–388.
- Шатилина Т.А., Великанов А.Я., Цициашвили Г.Ш., Радченкова Т.В. 2018. Аномальные гидрометеорологические условия в эстуарно-прибрежный период жизни горбуши Восточного Сахалина // Тр. ВНИРО. Т. 173. С. 181–192. https://doi.org/10.36038/2307-3497-2018-173-181-192
- Швыдкий Г.В., Вдовин А.Н. 1999. Сезонный рост горбуши Oncorhynchus gorbuscha охотоморских группировок (эколого-физиологический аспект) // Вопр. ихтиологии. Т. 39. № 2. С. 269–272.
- Шевляков Е.А., Шубкин С.В., Дубынин В.А. и др. 2013. Методики учета производителей тихоокеанских лососей на нерестилищах и путях миграции к ним // Бюл. № 8 изучения тихоокеанских лососей на Дальнем Востоке. С. 36–57.
- Шунтов В.П. 2001. Биология дальневосточных морей России. Т. 1. Владивосток: Изд-во ТИНРО-центр, 580 с.
- Шунтов В.П., Иванов О.А. 2021. “Неверная рыба” или неверные гипотезы: что происходит с нектоном прикурильских океанических вод? // Изв. ТИНРО. Т. 201. № 1. С. 3–23. https://doi.org/10.26428/1606-9919-2021-201-3-23
- Шунтов В.П., Темных О.С., Иванов О.А. 2017. Об устойчивости стереотипов в представлении о морской экологии тихоокеанских лососей (Oncorhynchus spp.) // Там же. Т. 188. С. 3–36. https://doi.org/10.26428/1606-9919-2017-188-3-36
- Шунтов В.П., Темных О.С., Найденко О.С. 2019. Еще раз о факторах, лимитирующих численность тихоокеанских лососей (Oncorhynchus spp., сем. Salmonidae) в океанический период их жизни // Там же. Т. 196. С. 3–22. https://doi.org/10.26428/1606-9919-2019-196-3-22
- Beacham T.D., Neville C.M., Tucker S., Trudel M. 2017. Is there evidence for biologically significant size-selective mortality of coho salmon during the first winter of marine residence? // Trans. Am. Fish. Soc. V. 146. № 3. P. 395–407. https://doi.org/10.1080/00028487.2017.1285349
- Beacham T.D., Araujo H.A., Tucker S., Trudel M. 2018. Validity of inferring size-selective mortality in Pacific salmon from scale circulus spacing // NPAFC Tech. Rep. № 11. P. 56–58. https://doi.org/10.23849/npafctr11/56.58
- Beamish R.J., Mahnken C. 2001. A critical size and period hypothesis to explain natural regulation of salmon abundance and the linkage to climate and climate change // Prog. Oceanogr. V. 49. № 1–4. P. 423–437. https://doi.org/10.1016/S0079-6611(01)00034-9
- Beamish R., Neville C. 2021. The natural regulation of wild and hatchery Coho salmon production in the Strait of Georgia // Fisheries. V. 46. № 11. P. 539–551. https://doi.org/10.1002/fsh.10651
- Beamish R.J., Mahnken C., Neville C.M. 2004. Evidence that reduced early marine growth is associated with lower marine survival of Coho salmon // Trans. Am. Fish. Soc. V. 133. № 1. P. 26–33. https://doi.org/10.1577/T03-028
- Claiborne A.M., Fisher J.P., Hayes S.A., Emmett R.L. 2011. Size at release, size-selective mortality, and age of maturity of Willamette River hatchery yearling Chinook salmon // Ibid. V. 140. № 4. P. 1135–1144. https://doi.org/10.1080/00028487.2011.607050
- Courtney D.L., Mortensen D.G., Orsi J.A. 2000. Digitized scale and otolith microstructures as correlates of juvenile pink salmon size // NPAFC Bull. № 2. P. 337–345.
- Cross A.D., Beauchamp D.A., Myers K.W., Moss J.H. 2008. Early marine growth of pink salmon in Prince William Sound and the coastal Gulf of Alaska during years of low and high survival // Trans. Am. Fish. Soc. V. 137. № 3. P. 927–939. https://doi.org/10.1577/T07-015.1
- Cross A.D., Beauchamp D.A., Moss J.H., Myers K.W. 2009. Interannual variability in early marine growth, size-selective mortality, and marine survival for Prince William Sound pink salmon // Mar. Coast. Fish. V. 1. № 1. P. 57–70. https://doi.org/10.1577/C08-005.1
- Farley E.V. Jr., Yasumiishi E., Moss J. et al. 2018. Critical size and period for Pacific salmon: a review and response to Beacham et al. (2018) // NPAFC Tech. Rep. № 11. P. 59–63. https://doi.org/10.23849/npafctr11/59.63
- Howard K.G., Murphy J.M., Wilson L.I. et al. 2016. Size-selective mortality of Chinook salmon in relation to body energy after the first summer in nearshore marine habitats // NPAFC Bull. № 6. P. 1–11. https://doi.org/10.23849/npafcb6/1.11
- Kaev A.M., Irvine J.R. 2016. Population dynamics of pink salmon in the Sakhalin-Kuril Region, Russia // Ibid. № 6. P. 297–305. https://doi.org/10.23849/npafcb6/297.305
- Malick M.J., Haldorson L.J., Piccolo J.J., Boldt J.L. 2011. Growth and survival in relation to body size of juvenile pink salmon in the northern Gulf of Alaska // Mar. Coast. Fish. V. 3. № 1. P. 261–270. https://doi.org/10.1080/19425120.2011.593467
- McLellan S.E. 1987. Guide for sampling structures used in age determination of Pacific salmon. Nanaimo: Dept. Fish. Ocean., Fish. Res. Branch, Pac. Biol. Stat., 27p.
- Morita K., Morita Sh.H., Fukuwaka M., Matsuda H. 2005. Rule of age and size at maturity of chum salmon (Oncorhynchus keta): implications of recent trends among Oncorhynchus spp. // Can. J. Fish. Aquat. Sci. V. 62. № 12. P. 2752–2759. https://doi.org/10.1139/f05-182
- Moss J.H., Beauchamp D.A., Cross A.D. et al. 2005. Evidence for size-selective mortality after the first summer of ocean growth by pink salmon // Trans. Am. Fish. Soc. V. 134. № 5. P. 1313–1322. https://doi.org/10.1577/T05-054.1
- Neville C.-E.M., Beamish R.J. 2018. Understanding the mechanisms that regulate Coho salmon abundance in the Strait of Georgia, British Columbia, Canada // NPAFC Tech. Rep. № 11. P. 67–71. https://doi.org/10.23849/npafctr11/67.71
- Orsi J.A., Fergusson E.A., Wertheimer A.C. et al. 2016. Forecasting pink salmon production in Southeast Alaska using ecosystem indicators in times of climate change // NPAFC Bull. № 6. P. 483–499. https://doi.org/10.23849/npafcb6/483.499
- Parker R.R. 1968. Marine mortality schedules of pink salmon of the Bella Coola River, central British Columbia // J. Fish. Res. Board Can. V. 25. № 4. P. 757–794. https://doi.org/10.1139/f68-068
- Walker B.M., Sutton T.M. 2016. Growth-increment formation using otoliths and scales for age-0 Chinook salmon // N. Am. J. Fish. Manag. V. 36. № 5. P. 995–999. https://doi.org/10.1080/02755947.2016.1184202
- Wertheimer A.C., Orsi J.A., Fergusson E.A., Sturdevant M.V. 2010. Calibration of juvenile salmon catches using paired comparisons between two research vessels fishing nordic 264 surface trawls in Southeast Alaska, July 2009 // NPAFC Doc. № 1277. 19 p.
- Yasumiishi E.M., Farley E.V., Ruggerone G.T. et al. 2016. Trends and factors influencing the length, compensatory growth, and size-selective mortality of juvenile Bristol Bay, Alaska, sockeye salmon at sea // Mar. Coast. Fish. V. 8. № 1. P. 315–333. https://doi.org/10.1080/19425120.2016.1167793
Supplementary files






