Search for New Resonances in Proton–Proton Interactions at 13 TeV
- Authors: Smirnova I.A.1, Smirnova L.N.1
-
Affiliations:
- Faculty of Physics, Moscow State University
- Issue: Vol 86, No 2 (2023)
- Pages: 296-309
- Section: ЭЛЕМЕНТАРНЫЕ ЧАСТИЦЫ И ПОЛЯ. Эксперимент
- URL: https://medbiosci.ru/0044-0027/article/view/139686
- DOI: https://doi.org/10.31857/S0044002723020113
- EDN: https://elibrary.ru/RJFKZY
- ID: 139686
Cite item
Full Text
Abstract
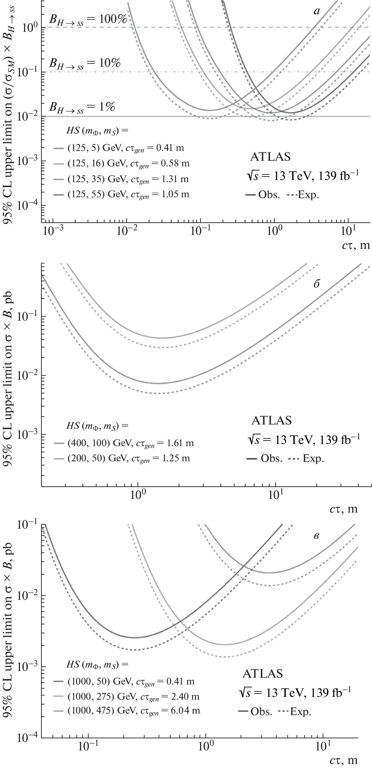
The results of searches for new resonances in the ATLAS experiment at the Large Hadron Collider (LHC) on the basis of data collected for proton–proton interactions at a collision energy of 13 TeV within the LHC operation period spanning 2015 and 2018 are considered.
About the authors
I. A. Smirnova
Faculty of Physics, Moscow State University
Email: Ilya.kochergin@cern.ch
Moscow, Russia
L. N. Smirnova
Faculty of Physics, Moscow State University
Author for correspondence.
Email: Ilya.kochergin@cern.ch
Moscow, Russia
References
- ATLAS Collab., JINST 03, S08003 (2008).
- CMS Collab., JINST 03, S08004 (2008).
- ATLAS Collab., JHEP 2003, 145 (2020); arXiv: 1910.08447.
- M. V. Chizhov and G. Dvali, Phys. Lett. B 703, 593 (2011); arXiv: 0908.0924 [hep-ph].
- M. V. Chizhov, V. A. Bednyakov, and J. A. Budagov, Phys. At. Nucl. 75, 90 (2012); arXiv: 1010.2648 [hep-ph].
- G. Choudalakis, arXiv: 1101.0390 [physics.data-an].
- ATLAS Collab., Phys. Rev. Lett. 121, 081801 (2018); arXiv: 1804.03496.
- ATLAS Collab., Phys. Rev. D 96, 052004 (2017); arXiv: 1703.09127.
- U. Baur, I. Hinchliffe, and D. Zeppenfeld, Int. J. Mod. Phys. A 02, 1285 (1987).
- U. Baur, M. Spira, and P. Zerwas, Phys. Rev. D 42, 815 (1990).
- P. Langacker, Rev. Mod. Phys. 81, 1199 (2009); arXiv: 0801.1345 [hep-ph].
- E. Eichten, I. Hinchliffe, K. Lane, and C. Quigg, Rev. Mod. Phys. 56, 579 (1984); Rev. Mod. Phys. 58, 1065 (Erratum) (1986).
- G. Altarelli, B. Mele, and M. Ruiz-Altaba, Z. Phys. C 45, 109 (1989); Z. Phys. C 47, 676 (Erratum) (1990).
- J. Abdallah, H. Araujo, A. Arbey, A. Ashkenazi, A. Belyaev, J. Berger, C. Boehm, A. Boveia, A. Brennan, J. Brooke, O. Buchmueller, M. Buckley, G. Busoni, L. Calibbi, S. Chauhan, N. Daci, et al., Phys. Dark Univ. 9–10, 8 (2015); arXiv: 1506.03116 [hep-ph].
- M. Fairbairn, J. Heal, F. Kahlhoefer, and P. Tunney, JHEP 1609, 018 (2016); arXiv: 1605.07940 [hep-ph].
- D. Abercrombie, N. Akchurin, E. Akilli, J. A. Maestre, B. Allen, B. A. Gonzalez, J. Andrea, A. Arbey, G. Azuelos, P. Azzi, M. Backović, Y. Bai, S. Banerjee, J. Beacham, A. Belyaev, A. Boveia, et al., arXiv: 1507.00966 [hep-ex].
- D. Gingrich, J. Phys. G 37, 105008 (2010); arXiv: 0912.0826 [hep-ph].
- X. Calmet, W. Gong, and S. Hsu, Phys. Lett. B 668, 20 (2008); arXiv: 0806.4605 [hep-ph].
- L. Randall and R. Sundrum, Phys. Rev. Lett. 83, 3370 (1999); hep-ph/9905221.
- B. C. Allanach, K. Odagiri, M. J. Palmer, M. A. Par- ker, A. Sabetfakhri, and B. R. Webber, JHEP 0212, 039 (2002); hep-ph/0211205.
- T. Sjöstrand, S. Mrenna, and P. Z. Skands, Comput. Phys. Commun. 178, 852 (2008); arXiv: 0710.3820 [hep-ph].
- ATLAS Collab., Phys. Rev. D 106, 032005 (2022); arXiv: 2203.00587.
- ATLAS Collab., JHEP 2206, 005 (2022); arXiv: 2203.01009.
- ATLAS Collab. JHEP 2111, 229 (2021); arXiv: 2107.06092.
- ATLAS Collab., Phys. Rev. D 101, 052013 (2020); arXiv: 1911.12575.
- ATLAS Collab., Eur. Phys. J. C 79, 481 (2019); arXiv: 1902.03094.
- ATLAS Collab., Phys. Rev. D 99, 072001 (2019); arXiv: 1811.07370.
- ATLAS Collab., Phys. Rev. D 99, 01200 (2019); arXiv: 1808.03057 [hep-ex].
- K. Jedamzik, Phys. Rev. D 74, 103509 (2006); hep-ph/0604251.
- ATLAS Collab., Phys. Rev. D 101, 012002 (2020); arXiv: 1909.02845 [hep-ex].
- CMS Collab., Eur. Phys. J. C 79, 421 (2019); arXiv: 1809.10733 [hep-ex].
- И. А. Кочергин, Учен. зап. физ. фак-та Моск. ун-та, № 3, 2130302 (2021).
- D. Curtin and C. B. Verhaaren, JHEP 1512, 072 (2015); arXiv: 1506.06141 [hep-ph].
- S. Bock, R. Lafaye, T. Plehn, M. Rauch, D. Zerwas, and P. M. Zerwas, Phys. Lett. B 694, 44 (2010); arXiv: 1007.2645 [hep-ph].
- M. J. Strassler and K. M. Zurek, Phys. Lett. B 651, 374 (2007); hep-ph/0604261.
- ATLAS Collab., Phys. Rev. D 102, 112006 (2020); arXiv: 2005.12236 [hep-ex].
- ATLAS Collab., JHEP 1810, 031 (2018); arXiv: 1806.07355 [hep-ex].
- D. London and J. L. Rosner, Phys. Rev. D 34, 1530 (1986).
- ATLAS Collab., Phys. Lett. B 796, 68 (2019); arXiv: 1903.06248.
- ATLAS Collab., Phys. Rev. Lett. 125, 051801 (2020); arXiv: 2002.12223.
- G. C. Branco, P. M. Ferreira, L. Lavoura, M. N. Rebelo, M. Sher, and J. P. Silva, Phys. Rept. 516, 1 (2012); arXiv: 1106.0034 [hep-ph].
- P. Fayet, Phys. Lett. B 64, 159 (1976).
- P. Faiet, Phys. Lett. B 69, 489 (1977).
- ATLAS Collab., Phys. Lett. B 716, 1 (2012).
- ATLAS Collab., JHEP 2203, 041 (2022); arXiv: 2110.13673.
- D. Curtin, R. Essig, S. Gori, P. Jaiswal, A. Katz, T. Liu, Z. Liu, D. McKeen, J. Shelton, M. Strassler, Ze’ev Surujon, B. Tweedie, and Yi-Ming Zhong, Phys. Rev. D 90, 075004 (2014); arXiv: 1312.4992 [hep-ph].
- A. Belyaev, J. Pivarski, A. Safonov, S. Senkin, and A. Tatarinov, Phys. Rev. D 81, 075021 (2010); arXiv: 1002.1956 [hep-ph].
- ATLAS Collab., JHEP 2106, 145 (2021); arXiv: 2102.10076.
- T. D. Lee, Phys. Rev. D 8, 1226 (1973).
- K. Inoue, A. Kakuto, H. Komatsu, and S. Takeshita, Prog. Theor. Phys. 68, 927 (1982).
- J. F. Gunion and H. E. Haber, Phys. Rev. D 67, 075019 (2003); hep-ph/0207010.
- A. Djouadi and J. Quevillon, JHEP 1310, 028 (2013); arXiv: 1304.1787 [hep-ph].
- T. P. Cheng and L.-F. Li, Phys. Rev. D 22, 2860 (1980).
- J. Schechter and J. W. F. Valle, Phys. Rev. D 22, 2227 (1980).
- G. Lazarides, Q. Shafi, and C. Wetterich, Nucl. Phys. B 181, 287 (1981).
- R. N. Mohapatra and G. Senjanovic, Phys. Rev. D 23, 165 (1981).
Supplementary files














