The Effect of Sodium Additives on the Anodic Behavior of AlTi0.1 Aluminum Conductor Alloy in a Medium of NaCl Electrolyte
- Authors: Ganiev I.N.1, Rakhmatulloeva G.M.2, Zokirov F.S.3, Eshov B.B.2
-
Affiliations:
- Nikitin Institute of Chemistry, National Academy of Sciences of Tajikistan
- Center for Research of Innovative Technologies, National Academy of Sciences of Tajikistan
- Osimi Tajik Technical University
- Issue: Vol 59, No 4 (2023)
- Pages: 451-455
- Section: ФИЗИКО-ХИМИЧЕСКИЕ ПРОБЛЕМЫ ЗАЩИТЫ МАТЕРИАЛОВ
- URL: https://medbiosci.ru/0044-1856/article/view/139734
- DOI: https://doi.org/10.31857/S0044185623700432
- EDN: https://elibrary.ru/YPLXBM
- ID: 139734
Cite item
Full Text
Abstract
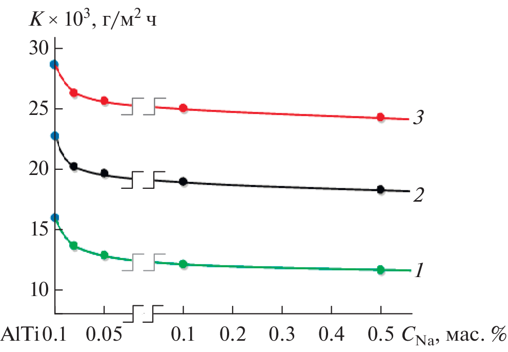
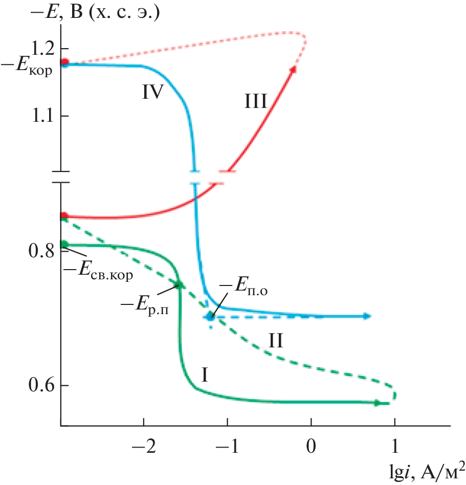
The results of the experimental study of the effect of sodium on the anodic behavior of AlTi0.1 aluminum conductor alloy in a medium of NaCl electrolyte are presented. Studies have been carried out using the potentiostatic method in the potentiodynamic mode at a potential sweep rate of 2 mV/s. It has been shown that sodium modification of the AlTi0.1 aluminum conductor alloy contributes to the shift of the potentials of free corrosion, pitting formation, and repassivation to the positive range of values. The corrosion rate of AlTi0.1 aluminum conductor alloy when modified with 0.01–0.5 wt % sodium is reduced by 10–20%. Depending on the concentration of chloride ions in the NaCl electrolyte, the corrosion rate of the alloys increased and the electrochemical potentials shifted to the region of negative values.
About the authors
I. N. Ganiev
Nikitin Institute of Chemistry, National Academy of Sciences of Tajikistan
Email: ganievizatullo48@gmail.com
Dushanbe, Tajikistan
G. M. Rakhmatulloeva
Center for Research of Innovative Technologies, National Academy of Sciences of Tajikistan
Email: ganievizatullo48@gmail.com
Dushanbe, Tajikistan
F. Sh. Zokirov
Osimi Tajik Technical University
Email: ganievizatullo48@gmail.com
Dushanbe, Tajikistan
B. B. Eshov
Center for Research of Innovative Technologies, National Academy of Sciences of Tajikistan
Author for correspondence.
Email: ganievizatullo48@gmail.com
Dushanbe, Tajikistan
References
- Захаров М.В., Лисовская Т.Д. // Известия ВУЗов. Цветная металлургия. 1965. № 3. С. 51–55.
- Мальцев М.В. Модифицирование структуры металлов и сплавов. М.: Металлургия, 1984. 282 с.
- Куцова В.З., Погребна Н.Є. Хохлова Т.С. Алюміній та сплави на його основі. навч. Посібник. Д.: Пороги, 2004. 135 с.
- Оно А. Затвердевание металлов. М.: Металлургия, 1980. 147 с.
- Чалмерс Б. Теория затвердевания. М.: Металлургия, 1986. 287 с.
- Тушинский Л.И. Теория и технология упрочнения металлических сплавов. Новосибирск: Наука, 1990. 306 с.
- Калинина Н.Е. Термоупрочняющая обработка многокомпонентных алюминиевых сплавов. Новые процессы термической обработки. Харьков: ННЦХФТ., 2004. С. 171–199.
- Ганиев И.Н., Пархутик П.А., Вахобов А.В., Куприянова И.Ю. Модифицированием силуминов стронцием. Минск: Наука и техника, 1985. 152 с.
- Фрейман Л.И., Макаров В.А., Брыксин И.Е. Потенциостатические методы в коррозионных исследованиях и электрохимической защите. М.: Химия, 1972. 240 с.
- Ганиев И.Н. // Журн. прикладной химии. 2004. Т. 77. № 6. С. 939–943.
- Ганиев И.Н., Алиев Дж.Н., Нарзуллоев З.Ф. // Журн. прикладной химии. 2019. Т. 92. № 11. С. 1420–1426.
- Ганиев И.Н., Нуров Н.Р., Якубов У.Ш., Ботуров К. // Вестник Пермского национального исследовательского политехнического университета. Машиностроение, материаловедение. 2022. Т. 24. № 1. С. 62–69.
- Ганиев И.Н., Додхоев Э.С., Якубов У.Ш. // Вестник Казанского государственного технического университета им. А.Н. Туполева. 2021. Т. 77. № 1. С. 19–23.
- Зокиров Ф.Ш., Ганиев И.Н., Бердиев А.Э., Сангов М.М. // Докл. АН Республики Таджикистан. 2019. Т. 62. № 1–2. С. 93–98.
- Ганиев И.Н., Додхоев Э.С., Сафаров А.Г., Якубов У.Ш. // Вестник Пермского национального исследовательского политехнического университета. Машиностроение, материаловедение. 2021. Т. 23. № 1. С. 13–19.
- Ганиев И.Н., Файзуллоев Р.Дж., Зокиров Ф.Ш. // Известия Санкт-Петербургского государственного технологического института (технического университета). 2021. № 58(84). С. 33–37.
- Бокиев Л.А., Ганиев И.Н., Ганиева Н.И., Хакимов А.Х., Якубов У.Ш. // Вестник Тверского государственного университета. Серия: Химия. 2019. № 3 (37). С. 79–89.
- Зокиров Ф.Ш., Ганиев И.Н., Бердиев А.Э., Сангов М.М. // Вестник Таджикского технического университета. Серия: Инженерные исследования. 2018. № 3 (43). С. 30–33.
- Строганов Г.Б., Ротенберг В.А., Гершман Г.Б. Сплавы алюминия с кремнием. М.: Металлургия, 1977. 272 с.
- Постников Н.С. Коррозионностойкие алюминиевые сплавы. М.: Металлургия. 1976. 301 с.
Supplementary files







