Thermodynamics of Sorption of Organic Compounds by Sorbents Based on Supramolecular Liquid Crystal HPFAB and β-Cyclodextrin Derivatives under Gas Chromatography Conditions
- Authors: Kuraeva Y.G.1, Tugareva D.A.1, Onuchak L.A.1, Kapralova T.S.1
-
Affiliations:
- Korolev Samara National Research University
- Issue: Vol 59, No 6 (2023)
- Pages: 593-601
- Section: МЕТОДЫ ИЗУЧЕНИЯ ФИЗИКО-ХИМИЧЕСКИХ СИСТЕМ
- URL: https://medbiosci.ru/0044-1856/article/view/233776
- DOI: https://doi.org/10.31857/S0044185623700742
- EDN: https://elibrary.ru/GXVWRA
- ID: 233776
Cite item
Full Text
Abstract
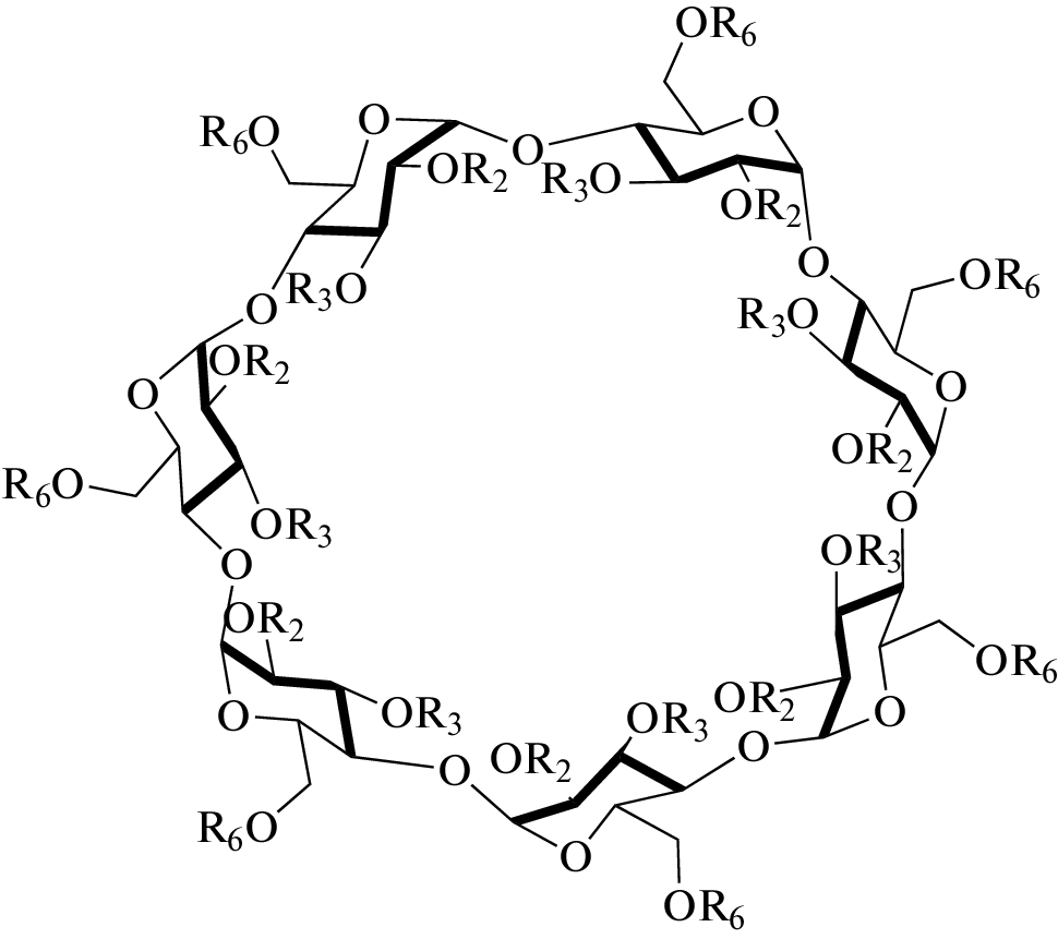
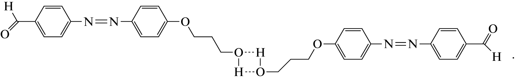
Using gas chromatography, we studied the influence of the nature of substituents in the β-cyclodextrin (CD) molecule on the sorption properties and the possibility of complex formation with the macrocycle of 26 organic compounds (hydrocarbons and alcohols) in binary sorbents based on the smectic–nematic supramolecular liquid crystal 4-(3-hydroxypropyloxy)-4'-formylazobenzene (HPOFAB) and four derivatives β-CD. It has been established that the nature of the substituents in the β-CD molecule significantly affects the manifestation of solvation interactions between LC and macrocyclic additive and, as a consequence, the mesomorphic, sorption, and selective properties of the studied composite sorbents.
About the authors
Yu. G. Kuraeva
Korolev Samara National Research University
Email: kuraeva81@mail.ru
443086, Samara, Russia
D. A. Tugareva
Korolev Samara National Research University
Email: kuraeva81@mail.ru
443086, Samara, Russia
L. A. Onuchak
Korolev Samara National Research University
Email: kuraeva81@mail.ru
443086, Samara, Russia
T. S. Kapralova
Korolev Samara National Research University
Author for correspondence.
Email: kuraeva81@mail.ru
443086, Samara, Russia
References
- Grajek H., Witkiewicz Z., Purchała M., Drzewin’ski W. // Chromatographia. 2016. V. 79. P. 1217–1245.
- Ocak H., Mutlu-Yanic S., Cakar F., Bilgin-Eran B., Guzeller D., Karaman F., Cankurtaran O. // J. Molecular Liquids. 2016. V. 223. P. 861–867.
- Vaňkátová P., Kubíčková A., Kalíková K. // J. Chromatography A. 2022. V. 1673. P. 463074.
- Кувшинова С.А., Кувшинов Г.А., Койфман О.И. // Журн. аналит. химии. 2017. Т. 72. № 12. С. 1084–1092.
- Кувшинова С.А., Литов К.М., Кувшинов Г.В., Новиков И.В., Александрийский В.В., Бурмистров В.А., Койфман О.И. // Журн. общ. химии. 2016. Т. 86. № 7. С. 1156–1163.
- Кувшинов Г.В., Литов К.М., Кувшинова С.А., Койфман О.И. // Жидк. крист. и их практич. использ. 2017. Т. 17. № 2. С. 42–50.
- Онучак Л.А., Уколова Д.А., Бурматнова Т.С., Кураева Ю.Г., Кувшинова С.А., Бурмистров В.А., Степанова Р.Ф. // Журн. физ. химии. 2015. Т. 89. № 1. С. 121–128.
- Тугарёва Д.А., Онучак Л.А., Капралова Т.С., Кураева Ю.Г., Кувшинова С.А., Бурмистров В.А. // Жидк. крист. и их практич. использ. 2015. Т. 15. № 1. С. 81–90.
- Онучак Л.А., Тугарёва Д.А., Капралова Т.С., Кураева Ю.Г., Кувшинова С.А., Бурмистров В.А. // Физикохимия поверхности и защита материалов. 2015. Т. 51. № 6. С. 587–594.
- Тугарёва Д.А., Кураева Ю.Г., Онучак Л.А., Капралова Т.С., Кувшинова С.А., Бурмистров В.А. // Жидк. крист. и их практич. использ. 2016. Т. 16. № 2. С. 52–61.
- Бурмистров В.А., Кареев В.Ю., Корженевский А.Б., Койфман О.И. // Изв. вузов. Химия и хим. технология. 1986. Т. 29. № 4. С. 34–36.
- Кувшинова С.А., Завьялов А.В., Койфман О.И., Александрийский В.В., Бурмистров В.А. // Журн. орг. химии. 2004. Т. 40. № 8. С. 1161–1164.
- Кувшинова С.А., Бурмистров В.А., Фокин Д.С., Блохина С.В., Койфман О.И. // Журн. аналит. химии. 2009. Т. 64. № 5. С. 521–524.
- Кудряшов С.Ю., Арутюнов Ю.И., Онучак Л.А. // Журн. физ. химии. 2007. Т. 81. № 1. С. 107–112.
- Онучак Л.А., Кудряшов С.Ю., Арутюнов Ю.И., Даванков В.A. // Журн. физ. химии. 2006. Т. 80. № 8. С. 1493–1498.
Supplementary files











