An Effective PtNi/CNTs Catalyst for the Hydrogen Oxidation Reaction in an Alkaline Electrolyte
- Authors: Bogdanovskaya V.A.1,2, Vernigor I.E.1,2, Radina M.V.1, Sinitsyn P.A.3, Andreev V.N.1,2, Nikol’skaya N.F.1
-
Affiliations:
- Frumkin Institute of Physical Chemistry and Electrochemistry, Russian Academy of Sciences
- Samara National Research University
- Skolkovo Institute of Science and Technology
- Issue: Vol 59, No 6 (2023)
- Pages: 646-656
- Section: НАНОРАЗМЕРНЫЕ И НАНОСТРУКТУРИРОВАННЫЕ МАТЕРИАЛЫ И ПОКРЫТИЯ
- URL: https://medbiosci.ru/0044-1856/article/view/233789
- DOI: https://doi.org/10.31857/S0044185623700808
- EDN: https://elibrary.ru/AFPVYS
- ID: 233789
Cite item
Full Text
Abstract
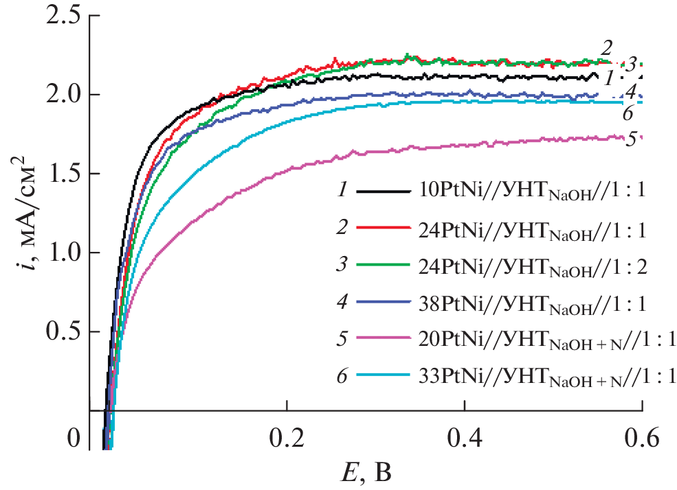
PtNi catalysts on carbon nanotubes (CNTs) subjected to preliminary treatment are synthesized and studied in the hydrogen oxidation reaction (HOR) in an alkaline electrolyte. A comparison of the structural and morphological and electrochemical characteristics of monoplatinum (Pt/CNTs) and bimetallic (PtNi/CNTs) catalysts in the HOR at equal concentrations of platinum and the same CNTs is conducted. It is found that catalysts synthesized on nanotubes functionalized in an alkali (CNTsNaOH) are significantly superior to PtNi catalysts synthesized on CNTs doped with nitrogen and monoplatinum catalyst in terms of stability and activity in the HOR. A PtNi/CNTsNaOH catalyst with a weight concentration of platinum of 10% manifests the highest activity in the HOR at a Pt : Ni ratio of 1 : 1. The main parameters providing high characteristics of the bimetallic system are the presence of active sites for the fixation of the metal phase on the CNTsNaOH, concentration of platinum on the surface of the catalyst, and ratio of the metals.
About the authors
V. A. Bogdanovskaya
Frumkin Institute of Physical Chemistry and Electrochemistry, Russian Academy of Sciences; Samara National Research University
Email: bogd@elchem.ac.ru
119071, Moscow, Russia; 443086, Samara, Russia
I. E. Vernigor
Frumkin Institute of Physical Chemistry and Electrochemistry, Russian Academy of Sciences; Samara National Research University
Email: bogd@elchem.ac.ru
119071, Moscow, Russia; 443086, Samara, Russia
M. V. Radina
Frumkin Institute of Physical Chemistry and Electrochemistry, Russian Academy of Sciences
Email: bogd@elchem.ac.ru
119071, Moscow, Russia
P. A. Sinitsyn
Skolkovo Institute of Science and Technology
Email: bogd@elchem.ac.ru
121205, Moscow, Russia
V. N. Andreev
Frumkin Institute of Physical Chemistry and Electrochemistry, Russian Academy of Sciences; Samara National Research University
Email: bogd@elchem.ac.ru
119071, Moscow, Russia; 443086, Samara, Russia
N. F. Nikol’skaya
Frumkin Institute of Physical Chemistry and Electrochemistry, Russian Academy of Sciences
Author for correspondence.
Email: bogd@elchem.ac.ru
119071, Moscow, Russia
References
- Varcoe J.R., Atanassov P., Dekel D.R. et al. // Energy Environ. Sci. 2014. V. 7. P. 3135.
- Firouzjaie H.A., Mustain W.E. // ACS Catal. 2020. V. 10. P. 225
- Wang H., Wang R., Sui S. et al. // Automot. Innov. 2021. V. 4. P. 144.
- Talukder N., Wang Y., Nunna B.B. et al. // Catalysts. 2022. V. 12. P. 791.
- Shao Y., Dodelet J.-P., Wu G. et al. // Adv. Mater. 2019. V. 31. № 1807615.
- Hu C., Dai L. // Adv. Mater. 2019. V. 31. № 1804672.
- Zhang X., Zhang X., Zhao S. et al. // Electrochimica Acta. 2021. V. 370. № 137712.
- Vernigor I., Bogdanovskaya V., Radina M. et al. // Catalysts. 2023. V. 13. P. 161.
- Rheinlander P.J., Herranz J., Durst J. et al. // J. Electrochem. Soc. 2014. V. 161 P. 1448.
- Qiu Y., Xie X., Li W. et al. // Chinese J. Catalysis. 2021. V. 42. I. 12. P. 2094.
- Sheng W.C., Gasteiger H.A., Shao-Horn Y. // J. Electrochemical Society. 2010 V. 157. P. 1529.
- Durst J., Simon C., Hasche F., Gasteiger H. A. // J. Electrochemical Society. 2015. V. 162. P. 190.
- Hu J., Kuttiyiel K.A., Sasaki K. et al. // J. Electrochemical Society. 2018. V. 165. I. 15. P. 3355.
- Campos‑Roldán C.A., Alonso‑Vante N. // Electrochemical Energy Reviews. 2019. V. 2. № 2. P. 312.
- Cong Y., Yi B., Song Y. // Nano Energy. 2018. V. 44. P. 288.
- Wang Y., Wang G., Li G. et al. // Energy Environ. Sci. 2015. V. 8. P. 177.
- Li J., Ghoshal S., Bates M.K. et al. // Angew Chem Int. Ed. Engl. 2017 V. 56. I. 49. P. 15594.
- Lu S., Zhuang Z. // J. Am. Chem. Soc. 2017. V. 139. P. 5156.
- Sheng W., Bivens A.P., Myint M. et al. // Energy Environ. Sci. 2014. V. 7. P. 1719.
- Bakos I., Paszternák A., Zitoun D. // Electrochimica Acta. 2015. V. 176. P. 1074.
- Davydova E., Zaffran J., Dhaka K. et al. // Catalysts. 2018. V. 8. № 10. P. 454.
- Montserrat-Sisó G., Wickman B. // Electrochimica Acta. 2022. V. 420. P. 140425.
- Zhou Z., Liu Y., Zhang J. et al. // Electrochemistry Communications. 2020. V. 121. P. 106871.
- Богдановская В.А., Кузов А.В., Радина М.В. и др. // Электрохимия. 2020. Т. 56. С. 1083.
- Volfkovich Y.M., Sakars A.V., Volinsky A.A. // Int. J. Nanotechnol. 2005. V. 2. P. 292.
- Hussein L. // RSC Adv. 2016. V. 6. P. 13088.
- Bogdanovskaya V., Vernigor I., Radina M. et al. // Catalysts. 2021. V. 11. P. 1354.
- Bogdanovskaya V., Vernigor I., Radina M. et al. // Catalysts. 2023. V. 13. P. 161.
- Казаринов И.А., Волынский В.В., Клюев В.В. и др. // Электрохимическая энергетика. 2017. № 4. С. 173.
- Вольфкович Ю.М., Михалин А.А., Рычагов А.Ю. и др. // Электрохимия. 2020. Т. 56. С. 963.
Supplementary files










