Self-Assembly of Alkanethiols on an Oxide-Free Surface of a Copper Electrode from Alkaline Solutions under Electrochemical Control
- Authors: Ovchinnikova S.N.1, Alexandrova T.P.1,2
-
Affiliations:
- Institute of Solid State Chemistry and Mechanochemistry, Siberian Branch, Russian Academy of Sciences
- Novosibirsk State Technical University
- Issue: Vol 59, No 6 (2023)
- Pages: 657-664
- Section: НАНОРАЗМЕРНЫЕ И НАНОСТРУКТУРИРОВАННЫЕ МАТЕРИАЛЫ И ПОКРЫТИЯ
- URL: https://medbiosci.ru/0044-1856/article/view/233791
- DOI: https://doi.org/10.31857/S004418562370081X
- EDN: https://elibrary.ru/ABRKYD
- ID: 233791
Cite item
Full Text
Abstract
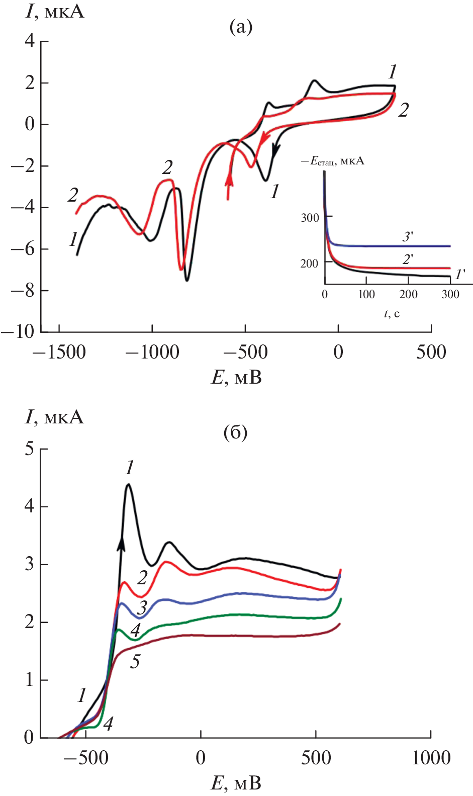
Using voltammetry and chronoamperometry, the formation process and properties of insulating nanofilms of alkanethiols with different chain lengths (butane-, octane-, dodecanethiol) obtained on an oxide-free copper surface were studied. The electrochemical method for modifying the copper surface includes the removal of the oxide layer by its cathodic reduction, the adsorption of a thiol under electrochemical control, followed by studying the properties of the resulting nanofilm by voltammetry in one solution. It is shown that, with this approach, a dense thiol film is formed, with its blocking properties depending on the adsorption potential, the time of contact of the electrode with the thiol-containing solution, the thiol concentration, and the presence of dissolved oxygen in the solution. The introduction of ethanol into an aqueous alkali solution leads to a significant acceleration of the process of self-assembly of dodecanethiol, but greatly inhibits the process of self-assembly of butanethiol. The approach proposed in this work makes it possible to use aerated low-concentration thiol-containing solutions to obtain alkanethiol films on the Cu surface with good blocking properties.
Keywords
About the authors
S. N. Ovchinnikova
Institute of Solid State Chemistry and Mechanochemistry, Siberian Branch, Russian Academy of Sciences
Email: ovchin@solid.nsc.ru
630128, Novosibirsk, Russia
T. P. Alexandrova
Institute of Solid State Chemistry and Mechanochemistry, Siberian Branch, Russian Academy of Sciences; Novosibirsk State Technical University
Author for correspondence.
Email: taleks99@mail.ru
630128, Novosibirsk, Russia; 630073, Novosibirsk, Russia
References
- Love J.C., Estroff L.A., Kriebel J.K. et al. // Chem. Rev. 2005. V. 105. P. 1103.
- Petta J.R., Slater S.K., Ralph D.C. // Phys. Rev. Lett. 2004. V. 93. P. 136601.
- Iost R.M., Crespilho F.N. // Biosens. Bioelectron. 2012. V. 31. P. 1.
- Newton L., Slater T., Clark N. et al. // J. Mater. Chem. C 2013. V. 1. P. 376.
- Devillers S., Hennart A., Delhalle J., Mekhalif Z. // Langmuir. 2011. V. 27. P. 14849.
- Hoerts P.G., Niskala J.R., Dai P. et al. // J. Am. Chem. Soc. 2008. V. 130. P. 9763.
- Laibinis P.E., Whitesides G.M. // J. Am. Chem. Soc. 1992. V. 114. P. 1990.
- Овчинникова С.Н. // Электрохимия. 2016. Т. 52. С. 301.
- Raya D.G., Madueno R., Blazquez M. et al. // Langmuir. 2010. V. 26. P. 11790.
- Muglari M.I., Erbe A., Chen Y. et al. // Electrochimica Acta. 2013. V. 90. P. 17.
- Byloos M., Al-Maznai H., Morin M. // J. Phys. Chem. B. 2001. V. 105. P. 5900.
- Yang D.-F., Wilde C.P., Morin M. // Langmuir. 1997. V. 13. P. 243.
- Sadler J.E., Szumski D.S., Kierzkowska A. // Phys. Chem. Chem. Phys. 2011. V. 13. P. 17987.
- Azzaroni O., Vela M.E., Fonticelli M. et al. // J. Phys. Chem. B. 2003. V. 107. P. 13446.
- Ovchinnikova S.N. // J. Sol. State Electrochem. 2020. V. 24. P. 987.
- Ovchinnikova S.N., Aleksandrova T.P. // Nanobiotechnology Reports. 2022. V. 17. P. 758.
- Volmer M., Stratmann M., Viefhaus H. // Surf. Interface Anal. 1990. V. 16. P. 278.
- Mekhalif Z., Riga J., Pireaux J-J. et al. // Langmuir. 1997. V. 13. P. 2285.
- Зелинский А.Г., Бек Р.Ю. // Электрохимия. 1985. Т. 21. С. 66.
- Ron H., Cohen H., Matlis S. et al. // J. Phys. Chem. B. 1998. V. 102. P. 9861.
- Sinapi F., Lejeune I., Delhalle J. et al. // Electrochem. Acta. 2007. V. 52. P. 5182.
- Meticos-Hukovic M., Babic R., Petrovic Z. et al. // J. Electrochem. Soc. 2007. V 154. P. 138.
- Dilimon V.S., Denayer J., Delhalle J. et al. // Langmuir. 2012. V. 28. P. 6857.
- Fonder G., Volcke C., Csoka B. et al. // Electrochem. Acta. 2010. V. 55. P. 1557.
- Calderon C.A., Ojeda C., Macagno V.A. et al. // J. Phys. Chem. C. 2010. V. 114. P. 3945.
- Jennings G., Munro J., Yong T. et al. // Langmuir. 1998. V. 14. P. 6130.
- Hosseinpour S., Magnus Johnson C., Leygard C. // J. Electrochem. Soc. 2013. V. 160. P. 270.
- Клетеник Ю.Б., Александрова Т.П. // ЖАХ. 1997. Т. 52. С. 752.
- Wu S., Chen Z., Qiu Y. et al. // J. Electrochem. Soc. 2012. V. 159. P. 277.
- Laiho T., Leiro J.A. // Appl. Surf. Sci. 2006. V. 252. P. 6304.
- Maho A., Denayer J., Delhalle J. et al. // Electrochim. Acta. 2011. V. 56. P. 3954.
- Salvarezza R.C., Carro P. // J. Electroanal. Chem. 2018. V. 819. P. 234.
- Kakiuchi T., Usui H., Hobara D. et al. // Langmuir. 2002. V. 18. P. 5231.
- Hatchett D., Uibel C.R., Stevenson K. et al. // J. Am. Chem. Soc. 1998. V. 120. P. 1062.
- Dai J., Li Z., Jin J. et al. // J. Electroanal. Chem. 2008. V. 624. P. 315.
- Mekhalif Z., Laffineur F., Couturier N. et al. // Langmuir. 2003. V. 19. P. 637.
- Никольский Б.П. Справочник химика. М.: Химия, 1965. 1006 с.
- Bowker M., Madix R. // J. Surf. Sci. 1982. V. 116. P. 549.
- Мурин В. И. и др. Технология переработки природного газа и конденсата. Справочник в 2 ч. М.: ООО “Недра-Бизнесцентр”, 2002. С. 517.
Supplementary files









