Sequential Injection Amperometric Determination of Glucose in Saliva Using a Screen-Printed Electrode Modified with a Gold–Cobalt Binary System
- Authors: Shaidarova L.G.1, Chelnokova I.A.1, Gafiatova I.A.1, Gedmina A.V.1, Budnikov G.K.1
-
Affiliations:
- Butlerov Institute of Chemistry, Kazan Federal University
- Issue: Vol 78, No 3 (2023)
- Pages: 253-259
- Section: ORIGINAL ARTICLES
- Submitted: 14.10.2023
- URL: https://medbiosci.ru/0044-4502/article/view/136013
- DOI: https://doi.org/10.31857/S004445022303012X
- EDN: https://elibrary.ru/FUUDHQ
- ID: 136013
Cite item
Full Text
Abstract
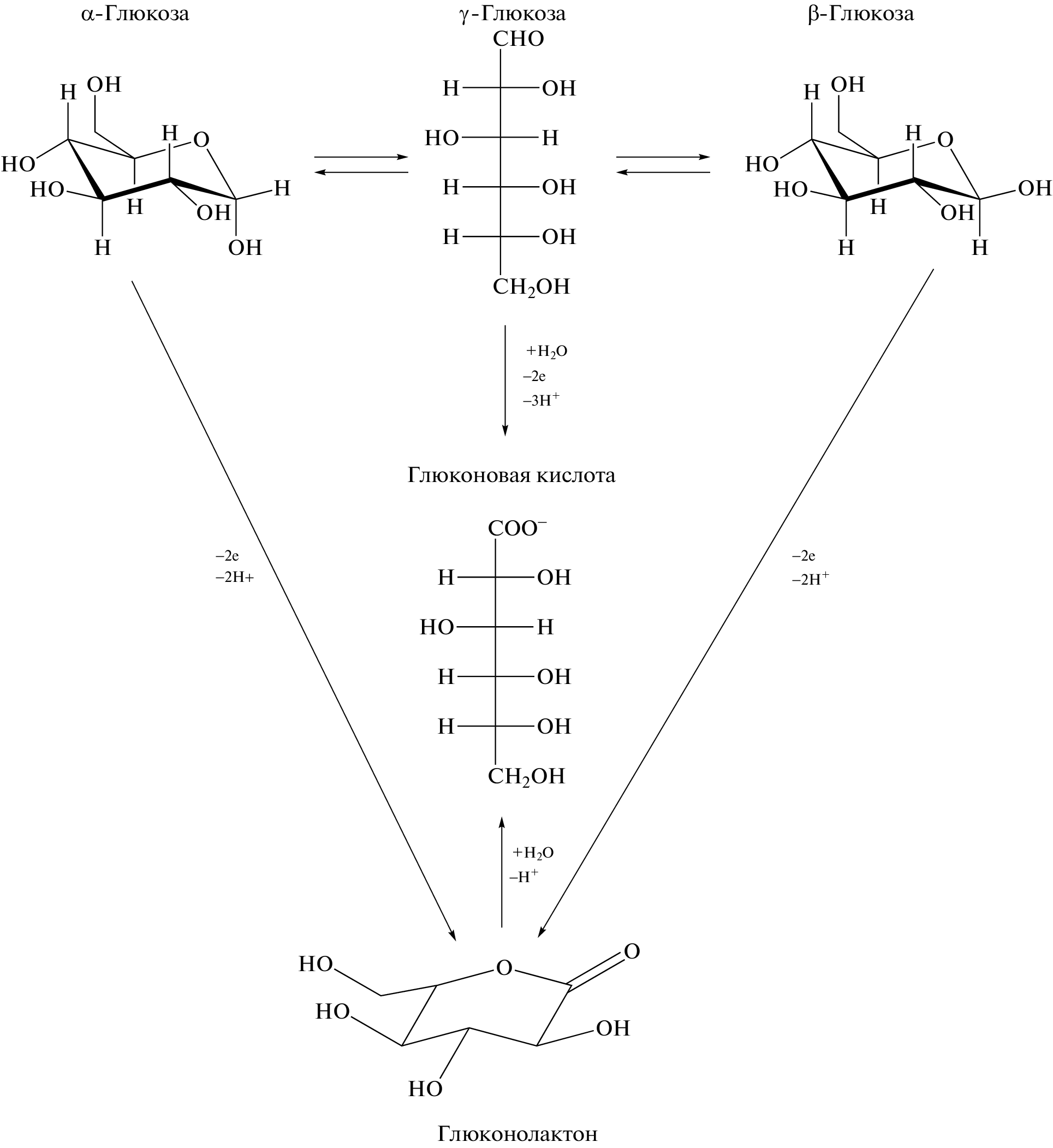
The catalytic activity of particles of gold, cobalt, and a gold–cobalt binary system electrodeposited on the surface of planar carbon electrodes was found in the oxidation of glucose in a neutral medium. The amperometric response of a screen-printed electrode modified with a gold–cobalt binary system was used as an analytical signal in the determination of glucose in a sequential injection system. The linear logarithmic dependence of current on the glucose concentration was observed in the range from 5 × 10–8 to 5 × 10–2 M. The use of a screen-printed electrode modified with a gold–cobalt binary system as an amperometric detector in a sequential injection system makes it possible to selectively determine glucose in saliva in the concentration range used for medical diagnosis.
About the authors
L. G. Shaidarova
Butlerov Institute of Chemistry, Kazan Federal University
Email: larisashaidarova@mail.ru
420008, Kazan, Tatarstan, Russia
I. A. Chelnokova
Butlerov Institute of Chemistry, Kazan Federal University
Email: larisashaidarova@mail.ru
420008, Kazan, Tatarstan, Russia
I. A. Gafiatova
Butlerov Institute of Chemistry, Kazan Federal University
Email: larisashaidarova@mail.ru
420008, Kazan, Tatarstan, Russia
A. V. Gedmina
Butlerov Institute of Chemistry, Kazan Federal University
Email: larisashaidarova@mail.ru
420008, Kazan, Tatarstan, Russia
G. K. Budnikov
Butlerov Institute of Chemistry, Kazan Federal University
Author for correspondence.
Email: larisashaidarova@mail.ru
420008, Kazan, Tatarstan, Russia
References
- Барсуков И.А., Демина А.А. Новые технологии в управлении сахарным диабетом: от теории − к практике // Consilium Medicum. 2018. Т. 4. № 4. С. 24.
- Ortiz-Martinez M., Flores-DelaToba R., Gonzalez-Gonzalez M., Rito-Palomares M. Current challenges and future trends of enzymatic paper-based point-of-care testing for diabetes mellitus type 2 // Biosensors. 2021. V. 11. № 482. P. 1.
- Mitra K., Ghosh A.B., Sarkar A., Saha N., Dutta A.K. Colorimetric estimation of human glucose level using c-Fe2O3 nanoparticles: An easily recoverable effective mimic peroxidase // Biochem. Biophys. Res. Commun. 2014. V. 451. № 1. P. 30.
- Galant A.L., Kaufman R.C., Wilson J.D. Glucose: Detection and analysis // Food Chemistry. 2015. V. 188. P. 149.
- Zayed M.A., Taha M.M. Spectrophotometric determination of glucose in pure form and in human embryos' culture medium using selective reagent via studying their reaction product // J. Pharm. Appl. Chem. 2018. V. 4. № 1. P. 1.
- Mohammadnejad P., Soleimani S., Aminzadeh S., Haghbeen K. A new sensitive spectrophotometric method for determination of saliva and blood glucose // Spectrochim. Acta A. 2020. V. 229. P. 1.
- Suksom W., Wannachai W., Boonchiangma S., Chanthai S., Srijaranai S. Ion chromatographic analysis of monosaccharides and disaccharides in raw sugar // Chromatographia. 2015. V. 78. № 13–14. P. 873.
- Pereira da Costa M., Conte-Junior C.A. Chromatographic methods for the determination of carbohydrates and organic acids in foods of animal origin // Comrehensive Reviews in Food and Safety. 2015. V. 14. № 5. P. 586.
- Perez-Olmos R., Soto J.C., Zarate N., Araújo A.N., Montenegro M.C.B.S.M. Sequential injection analysis using electrochemical detection: A review // Anal. Chim. Acta. 2005. V. 554. № 1–2. P. 1.
- Шайдарова Л.Г., Будников Г.К. Амперометрическое детектирование лекарственных веществ в проточно-инжекционном анализе / Фармацевтический анализ. Сер. “Проблемы аналитической химии”. М.: АНРАМАК-МЕДИА, 2013. С. 580.
- Park S., Boo H., Chung T.D. Electrochemical non-enzymatic glucose sensors // Anal. Chim. Acta. 2006. V. 556. № 1. P. 46.
- Zhao C., Shao C., Li M., Jiao K. Flow-injection analysis of glucose without enzyme based on electrocatalytic oxidation of glucose at a nickel electrode // Talanta. 2007. V. 71. № 4. P. 1769.
- Prabhu S., Baldwin R. Constant potential amperometric detection of carbohydrates at a copper-based chemically modified electrode // Anal. Chem. 1989. V. 61. № 8. P. 852.
- Шайдарова Л.Г., Челнокова И.А., Дегтева М.А., Лексина Ю.А., Гедмина А.В., Будников Г.К. Порционно-инжекционное определение креатинина на электроде, модифицированном наночастицами золота // Ученые записки КазГУ. Сер. Естеств. науки. 2014. Т. 156. № 4. С. 40.
- Будников Г.К., Евтюгин Г.А., Майстренко В.Н. Модифицированные электроды для вольтамперометрии в химии, биологии и медицине. М.: БИНОМ. Лаборатория знаний, 2010. 416 с.
- Шайдарова Л.Г., Челнокова И.А., Махмутова Г.Ф., Гедмина А.В., Будников Г.К. Вольтамперометрическое и проточно-инжекционное определение углеводов на композитных электродах на основе углеродных нанотрубок и гексацианоферрата никеля(II) // Журн. аналит. химии. 2014. Т. 69. № 7. С. 725.
Supplementary files







