Highly Sensitive Determination of Carbamazepine and Oxcarbazepine and Identification of Their Degradation Products in Material Evidences and Human Cadaveric Liver by Gas Chromatography–Mass Spectrometry
- Authors: Pirogov A.V.1, Gandlevskii N.A.1, Vasil’eva A.A.1, Barsegyan S.S.2, Nosyrev A.E.3
-
Affiliations:
- Department of Chemistry, Moscow State University
- Russian Center of Forensic Expertise, Ministry of Health of the Russian Federation
- Sechenov First Moscow State Medical University
- Issue: Vol 78, No 6 (2023)
- Pages: 546-558
- Section: ORIGINAL ARTICLES
- Submitted: 14.10.2023
- URL: https://medbiosci.ru/0044-4502/article/view/136040
- DOI: https://doi.org/10.31857/S0044450223060099
- EDN: https://elibrary.ru/DWRVPO
- ID: 136040
Cite item
Full Text
Abstract
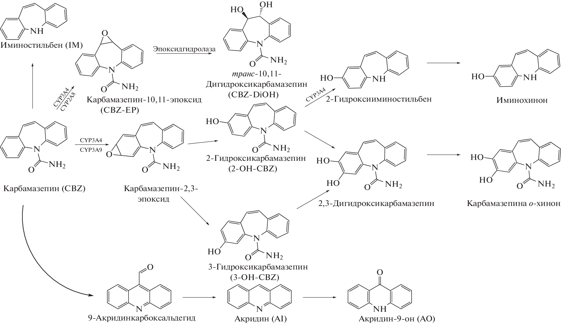
The work is devoted to the search for conditions for the sample preparation and determination of carbamazepine and oxcarbazepine and identification of the products of their metabolism and degradation in human liver (post mortem) and material evidences by gas chromatography–mass spectrometry. A QUECHERS approach was developed to the sample preparation of carbamazepine and oxcarbazepine. Amitriptyline was proposed as an internal standard. Degradation products of carbamazepine and oxcarbazepine were studied in model solutions upon alkaline and acid hydrolysis and oxidation; 14 metabolites and degradation products were identified. The main analytical characteristics of the developed procedure were determined. The limits of detection are 0.1 and 0.2 µg/g for carbamazepine and oxcarbazepine, respectively. The developed procedure complies with the Validation Guidelines of the Russian Center for Forensic Medical Examination.
Keywords
About the authors
A. V. Pirogov
Department of Chemistry, Moscow State University
Email: Pirogov@analyt.chem.msu.ru
119991, Moscow, Russia
N. A. Gandlevskii
Department of Chemistry, Moscow State University
Email: Pirogov@analyt.chem.msu.ru
119991, Moscow, Russia
A. A. Vasil’eva
Department of Chemistry, Moscow State University
Email: Pirogov@analyt.chem.msu.ru
119991, Moscow, Russia
S. S. Barsegyan
Russian Center of Forensic Expertise, Ministry of Health of the Russian Federation
Email: Pirogov@analyt.chem.msu.ru
119048, Moscow, Russia
A. E. Nosyrev
Sechenov First Moscow State Medical University
Author for correspondence.
Email: Pirogov@analyt.chem.msu.ru
119048, Moscow, Russia
References
- Schmidt D., Elger C.E. What is the evidence that oxcarbazepine and carbamazepine are distinctly different antiepileptic drugs? // Epilepsy Behav. 2004. V. 5 № 5. P. 627.
- Furst S. M., Uetrecht J. P. The effect of carbamazepine and its reactive metabolite, 9-acridine carboxaldehyde, on immune cell function in vitro // Int. J. Immunopharmacol. 1995. V. 17. № 5. P. 445.
- Wad N., Guenat C., Krämer G. Carbamazepine: detection of another metabolite in serum, 9 hydroxymethyl-10-carbamoyl acridan // Ther. Drug Monit. 1997. V. 19. № 3. P. 314.
- Iida A., Sasaki E., Yano A., Tsuneyama K., Fukami T., Nakajima M., Yokoi T. Carbamazepine-induced liver injury requires CYP3A-mediated metabolism and glutathione depletion in rats // Drug Metab. Dispos. 2015. V. 43. № 7. P. 958.
- Jiang W., Xia T., Yun Y., Li M., Zhang F., Gao S., Chen W. UHPLC-MS/MS method for simultaneous determination of carbamazepine and its seven major metabolites in serum of epileptic patients // J. Chromatogr. B: Anal. Technol. Biomed. Life Sci. 2019. V. 1108. P. 17.
- Eichelbaum M., Tomson T., Tybring G., Bertilsson L. Carbamazepine metabolism in man // Clin. Pharmacokinet. 1985. V. 10. № 1. P. 80.
- Knowles S.R., Uetrecht J., Shear N.H. Idiosyncratic drug reactions: The reactive metabolite syndromes // The Lancet. 2000. V. 356. № 9241. P. 1587.
- Brenton H., Cociglio M., Bressolle F., Peyriere H., Blayac J., Hillairebuys D. Liquid chromatography–electrospray mass spectrometry determination of carbamazepine, oxcarbazepine and eight of their metabolites in human plasma // J. Chromatogr. B: Anal. Technol. Biomed. Life Sci. 2005. V. 828. № 1–2. P. 80.
- Csetenyi J., Baker K.M., Frigerio A., Morselli P.L. Iminostilbene-a metabolite of carbamazepine isolated from rat urine // J. Pharm. Pharmacol. 1973. V. 25. № 4. P. 340.
- Pearce R.E. Pathways of carbamazepine bioactivation in vitro I. Characterization of human cytochromes P450 responsible for the formation of 2- and 3-hydroxylated metabolites // Drug Metab. Dispos. 2002. V. 30 № 11. P. 1170.
- Furst S.M., Uetrecht J.P. Carbamazepine metabolism to a reactive intermediate by the myeloperoxidase system of activated neutrophils // Biochem. Pharmacol. 1993. V. 45. № 6. P. 1267.
- Larkin J., McKee P., Forrest G., Beastall G., Park B., Lowrie J., Brodie M. Lack of enzyme induction with oxcarbazepine (600 mg daily) in healthy subjects // Br. J. Clin. Pharmacol. 1991. V. 31. № 1. P. 65.
- Flesch G. Overview of the clinical pharmacokinetics of oxcarbazepine // Clin. Drug Investig. 2004. V. 24. № 4. P. 185.
- Schütz H., Feldmann K.F., Faigle J.W., Kriemler H.P., Winkler T. The metabolism of 14C-oxcarbazepine in man. Xenobiotica // 1986. V. 16. № 8. P. 769.
- Mandrioli R., Albani F., Casamenti G., Sabbioni C., Raggi M.A. Simultaneous high-performance liquid chromatography determination of carbamazepine and five of its metabolites in plasma of epileptic patients // J. Chromatogr. B: Biomed. Sci. Appl. 2001. V. 762. № 2. P. 109.
- Deeb S., McKeown D.A., Torrance H.J., Wylie F.M., Logan B.K., Scott K.S. Simultaneous analysis of 22 antiepileptic drugs in postmortem blood, serum and plasma using LC–MS-MS with a focus on their role in forensic cases // J. Anal. Toxicol. 2014. V. 38. № 8. P. 485.
- Jiang W., Xia T., Yun Y., Li M., Zhang F., Gao S., Chen W. UHPLC-MS/MS method for simultaneous determination of carbamazepine and its seven major metabolites in serum of epileptic patients // J. Chromatogr. B: Anal. Technol. Biomed. Life Sci. 2019. V. 1108. P. 17.
- Ferrari Júnior E., Caldas E. D. Simultaneous determination of drugs and pesticides in postmortem blood using dispersive solid-phase extraction and large volume injection-programmed temperature vaporization-gas chromatography–mass spectrometry // Forensic Sci. Int. 2018. V. 290. P. 318.
- Moffat A.C., Osselton M.D., Widdop B., Watts J. Clarke’s Analysis of Drugs and Poisons in pharmaceuticals, body fluids and postmortem material. 4th Ed. Química Farmacêutica, 2011. 2609 p.
- Levine B., Phipps R.J., Naso C., Fahie K., Fowler D. Tissue distribution of newer anticonvulsant drugs in postmortem cases // J. Anal. Toxicol. 2010. V. 34. № 8. P. 506.
- Lionetto L., Casolla B., Cavallari M., Tisei P., Buttinelli C., Simmaco M. High-performance liquid chromatography–tandem mass spectrometry method for simultaneous quantification of carbamazepine, oxcarbazepine, and their main metabolites in human serum // Ther. Drug Monit. 2012. V. 34. № 1. P. 53.
- Wu S., Xu W., Subhani Q., Yang B., Chen D., Zhu Y., Li L. Ion chromatography combined with online electrochemical derivatization and fluorescence detection for the determination of carbamazepine in human plasma // Talanta. 2012. V. 101. P. 541.
- Veiga A., Dordio A., Carvalho A. J.P., Teixeira D.M., Teixeira J.G. Ultra-sensitive voltammetric sensor for trace analysis of carbamazepine // Anal. Chim. Acta. 2010. V. 674. № 2. P. 182.
- Gibbons S.E., Wang C., Ma Y. Determination of pharmaceutical and personal care products in wastewater by capillary electrophoresis with UV detection // Talanta. 2011. V. 84. № 4. P. 1163.
- Cámara M.S., Mastandrea C., Goicoechea H.C. Chemometrics-assisted simple UV-spectroscopic determination of carbamazepine in human serum and comparison with reference methods // J. Biochem. Biophys. Methods. 2005. V. 64. № 3. P. 153.
- Kalanur S.S., Seetharamappa J. Electrochemical oxidation of bioactive carbamazepine and its interaction with DNA // Anal. Lett. 2010. V. 43. № 4. P. 618.
- Burke J.T., Thénot J.P. Determination of antiepileptic drugs // J. Chromatogr. B: Biomed. Sci. Appl. 1985. V. 340. P. 199.
- Godolphin W., Thoma J. Quantitation of anticonvulsant drugs in serum by gas-chromatography on the stationary phase SP-2510 // Clin. Chem. 1978. V. 24. № 3. P. 483.
- Kupferberg H.J. GLC determination of carbamazepine in plasma // J. Pharm. Sci. 1972. V. 61. № 2. P. 284.
- Least C.J., Johnson G.F., Solomon H.M. Therapeutic monitoring of anticonvulsant drugs: Gas-chromatographic simultaneous determination of primidone, phenylethylmalonamide, carbamazepine, and diphenylhydantoin // Clin. Chem. 1975. V. 21. № 11. P. 1658.
- Abraham C.V., Joslin H.D. Simultaneous gas-chromatographic analysis for phenobarbital, diphenylhydantoin, carbamazepine, and primidone in serum // Clin. Chem. 1976. V. 22. № 6. P. 769.
- Trager W.E, Levy R.H., Patel I.H., Neal J.M. Pharmacokinetics of carbamazepine-10,11-epoxide before and after autoinduction in rhesus monkeys // J. Pharmacol. Exp. Ther. 1978. V. 206. № 3. P. 607.
- Hallbach J., Vogel H., Guder W.G. Determination of lamotrigine, carbamazepine and carbamazepine epoxide in human serum by gas chromatography mass spectrometry // Eur. J. Clin. Chem. Clin. Biochem. 1997. V. 35. № 10. P. 755.
- Speed D.J., Dickson S.J., Cairns E.R., Kim N.D. Analysis of six anticonvulsant drugs using solid-phase extraction, deuterated internal standards, and gas chromatography-mass spectrometry // J. Anal. Toxicol. 2000. V. 24. № 8. P. 685.
- Inotsume N., Higashi A., Kinoshita E., Matsuoka T., Nakano M. Rapid and sensitive determination of ethotoin as well as carbamazepine, phenobarbital, phenytoin and primidone in human serum // J. Chromatogr. B: Biomed. Sci. Appl. 1986. V. 383. № 1. P. 166.
- Maurer H.H. Detection of anticonvulsants and their metabolites in urine within a “general unknown” analysis procedure using computerized gas chromatography-mass spectrometry // Arch. Toxicol. 1990. V. 64. № 7. P. 554.
- Palmér L., Bertilsson L., Coliste P., Rawlins, M. Quantitative determination of carbamazepine in plasma by mass fragmentography // Clin. Pharmacol. Ther. 1973. V. 14. № 5. P. 827.
- Ferrari Júnior E., Caldas E.D. Simultaneous determination of drugs and pesticides in postmortem blood using dispersive solid-phase extraction and large volume injection-programmed temperature vaporization-gas chromatography–mass spectrometry // Forensic Sci. Int. 2018. V. 290. P. 318.
- Lewis R.J., Angier M.K., Johnson R.D. False carbamazepine positives due to 10,11-dihydro-10-hydroxycarbamazepine breakdown in the GC–MS injector port // J. Anal. Toxicol. 2014. V. 38. № 8. P. 519.
- Von Unruh G.E., Paar W.D. Gas chromatographic/mass spectrometric assays for oxcarbazepine and its main metabolites, 10-hydroxy-carbazepine and carbazepine-10,11-trans-diol // Biomed. Environ. Mass Spectrom. 1986. V. 13. № 12. P. 651.
- Erarpat S., Bodur S., Fırat Ayyıldız M., Tahir Günkara Ö., Erulaş F., Chorme, D.S., Bakırdere S. Accurate and simple determination of oxcarbazepine in human plasma and urine samples using switchable-hydrophilicity solvent in GC-MS // Biomed. Chromatogr. 2020. V. 34. № 10. Article e4915.
- Rani S., Malik A.K. A novel microextraction by packed sorbent-gas chromatography procedure for the simultaneous analysis of antiepileptic drugs in human plasma and urine // J. Sep. Sci. 2012. V. 35. № 21. P. 2970.
- Барсегян С.С., Саломатин Е.М., Плетенева Т.В., Максимова Т.В., Долинкин А.О. Методические рекомендации по валидации аналитических методик, используемых в судебно-химическом и химико-токсикологическом анализе биологического материала. М.: Российский центр судебно-медицинской экспертизы, 2014. 52 с.
Supplementary files




















